Next Article in Journal
Inverse Evaluation of Monopile Pile–Soil Interaction Parameters Using Random Search
Previous Article in Journal
Prediction of Wave Forces on the Box-Girder Superstructure of the Offshore Bridge with the Influence of Floating Breakwater
 
 
Font Type:
Arial Georgia Verdana
Font Size:
Aa Aa Aa
Line Spacing:
Column Width:
Background:
Article

Direction-of-Arrival Estimation of Bottom-Mounted Horizontal Linear Array Based on the Weighted Phase Velocity

1
School of Marine Science and Technology, Northwestern Polytechnical University, Xi’an 710072, China
2
Key Laboratory of Ocean Acoustics and Sensing, Ministry of Industry and Information Technology, Northwestern Polytechnical University, Xi’an 710072, China
3
Ocean Institute, Northwestern Polytechnical University, Taicang 215400, China
*
Author to whom correspondence should be addressed.
J. Mar. Sci. Eng. 2023, 11(7), 1328; https://doi.org/10.3390/jmse11071328
Submission received: 25 May 2023 / Revised: 20 June 2023 / Accepted: 28 June 2023 / Published: 29 June 2023
(This article belongs to the Section Ocean Engineering)

Abstract

The direction-of-arrival (DOA) estimation of an underwater bottom-mounted horizontal linear array (HLA) based on weighted phase velocity has been proposed in this paper. The directional response is mainly affected by differences in the modal phase velocities and the sound speed of the water column. Based on the mode theory, the acoustic intensity distribution characteristics and beam deviation were analyzed. The beamforming result obtained provides a distinguishing feature of bearing deviation when the measured sound speed was used. By applying the modal weighted phase velocity instead, source bearing can be well estimated. Particularly, in the presence of a thermocline, the propagating modes can be selected on the basis of the mode trapping theory. Both surface and submerged sources were taken into account based on the experimental data, and the deviation was well explained and reduced. For a source near the end-fire direction, the bearing estimation error was reduced from several degrees to tenths of degrees.

1. Introduction

Using a hydrophone array to receive an underwater acoustic signal is a basic method used for the estimation of the bearing of underwater targets, by which the target position can be determined through beamforming [1,2]. In an ocean waveguide, the directional response of a linear array significantly depends on the characteristics of underwater acoustic propagation [3,4]. In order to enlarge the range of detection, the operating frequency is usually kept as low as tens to hundreds of hertz. In this situation, the reference sound speed in beamforming has a particularly prominent influence on the results of the direction-of-arrival (DOA) estimation [5,6].
In the field of underwater detection and communication, bottom-mounted horizontal arrays have received a great deal of attention since its advent. Severe challenges were posed towards deploying scheme designs and signal processing on account of that the underwater acoustic channel is variable and highly dependent on environmental factors, such as temperature, pressure, or salinity of the water column [7,8,9]. Plenty of bearing estimation methods have been developed to collect directional information about these sources [10,11]. These methods are all based on the plane-wave hypothesis, and conventional weighting was conducted in beamforming, which resulted in a deviated bearing estimation due to the multimode mechanism. There are differences present between the sound speed in the water column and the phase velocities of the propagative modes. Furthermore, the modal phase velocity of each mode varies considerably, and the phase velocity of the low-frequency band has displayed obvious characteristics in changing with the frequency [12,13,14]. Furthermore, in an experimental environment, the mode theory was used to analyze the directional response of the horizontal linear array (HLA) to an acoustic source in the deep ocean, and it can be explained based on ray theory [15,16]. Additionally, Zhai [17] reconstructed the incoherent beamformed outputs in the wavenumber domain for a horizontally moving source using an original method, which can be used for normal mode energy estimation to remove the energy leakage between the modes. Based on a signal measured by an HLA in shallow water, Conan [18] developed a near-surface and submerged source classification method, which relies on an estimation of the trapped energy ratio in mode space. Premus [19] also exploited the phenomenon of mode trapping, wherein a shallow acoustic source cannot excite the lowest-order waveguide modes due to its evanescent amplitude dependence near the surface to derive a solution to the problem of acoustic source depth discrimination. In turn, based on this characteristic, with the prior information of the source depth, the energy-dominant modes can thereby be determined.
In order to obtain unbiased estimation results, Gong [20] suggested that the reference sound speed used for the time delay compensation for conventional beamforming should be designated as the phase velocity, based on which a matched field method was introduced to improve the preciseness of the DOA estimation. In general, bearing estimation using matched field processing (MFP) requires either a computationally expensive three-dimensional search, or a priori knowledge of the source ranges and depths. A subspace-based bearing estimation method was then introduced. By the use of the subspace intersection (SI) algorithm, source bearing can be detected. However, the horizontal wavenumber is supposed to be exactly known, and the computational cost is still considerable when the frequency or number of elements increases [21,22].
Correspondingly, as an operation to compensate for the bearing mismatch in conventional beamforming, this paper mainly focuses on the DOA estimation error caused by the inappropriate selection of the reference sound speed. Theoretical analysis and numerical simulation indicate that comparing with the sound speed in the water column, the modal phase velocity is a more reasonable choice for the reference sound speed, rather than the measured sound speed at the receiving depth. This theory has been validated with experimental data. Based on the source depth, energy-dominant modes are selected to derive the weighted average. Then, the bearing estimation error can reduced through conducting the weighted phase velocity in beamforming. The bearing estimation results for different source depths are then analyzed. This paper is organized as follows. In Section 2, we briefly introduce the algorithmic principle for the directional response of a bottom-mounted HLA and the nature of beam deviation in beamforming. Section 3 provides the HLA directional response based on a numerical model and the bearing estimation error analysis in terms of the reference sound speed. Section 4 presents the bearing estimation results of the experimental data, and finally Section 5 summarizes the conclusions.

2. Numerical Modelling of DOA Estimation

2.1. Directional Response of the HLA

Assuming that a uniform N-sensor HLA is located at depth z r , with a sensor spacing of d, the total length is L = N 1 d . If the first sensor is made as the origin of the coordinate system, the corresponding horizontal ranges and bearings can be represented by r n and θ n ( n = 1 ,   2 ,   ,   N ), respectively. A schematic diagram is shown in Figure 1. Based on a normal mode model, the pressure on an array sensor can be expressed as a sum of M propagating modes:
p ω ; r n , z r i ρ z s 8 π r n e i π 4 m = 1 M Ψ m z s Ψ m z r e i k r m r n k r m , n = 1 ,   2 ,   ,   N ,
where ω is the angular frequency, z r represents the receiver depth, ρ z s is the density of the water column at the source depth z s , r n represents the horizontal range from the source to the nth sensor, and k r m and Ψ m are the horizontal modal wavenumber and eigenfunction of the mth mode, respectively.
According to Equation (1), the received data vector can be written as x ω , θ 0 = p ω ; r n , z r , ( n = 1 ,   2 ,   ,   N ), which is a function containing source bearing information. Then, under the far-field assumption ( r n d ), plane-wave beamforming is applied, and the amplitude response of the HLA steered in the direction of the acoustic field above is as follows:
B ω , θ = n = 1 N w n θ x n ω , θ T = w H θ x ω , θ T ,
where the superscript H denotes the conjugate transposition, and w θ represents the weight vector:
w θ = 1 , e i k r d cos θ , e i 2 k r d cos θ , , e i N 1 k r d cos θ T ,
where k r is the reference wavenumber at the HLA depth, and T denotes the transposition. In order to perform these analytical calculations, the far-field expansion of the source-receiver range can be written as r n = r 1 + n 1 d cos θ T , ( n = 1 ,   2 ,   ,   N ), where θ T represents the true source bearing. Thus, the following approximation can be made. Then,
e i k r m r i k r m r i = e i k r m r c k r m r c e i k r m n 1 d cos θ T 1 + n 1 d cos θ T r c e i k r m r c k r m r c e i k r m n 1 d cos θ T ,
where r c = r 1 N 1 d cos θ T / 2 , representing the range to the source from the center of the HLA.

2.2. Derivation of the Weighted Phase Velocity

The absolute value of the difference between the estimated bearing θ est and the true bearing θ T has been defined as the bearing estimation error, Δ θ = θ est θ T . Since the acoustic field is a coherent summation of the normal modes, the beams containing the dominant signal energy may be offset from the true source bearing by several degrees. For a source non-broadside, the mth mode of the signal arrives at a beam angle determined by:
cos θ m = cos θ T cos ϕ m = k m cos θ T / k 0 ,
where ϕ m represents the vertical arrival angle of the mth mode. Since cos ϕ m 1 , the estimated source bearing for each mode was thereby assumed to be steered to the broadside of the array, which makes θ m > θ T . In addition, the following conclusions can be further noted. On the one hand, Δ θ reaches its maximum in the end-fire direction and decreases to zero in the broadside direction of the HLA. On the other hand, Δ θ oscillates along the source range, and this phenomenon is most significant in the end-fire direction.
Theoretically, under the far-field approximation, for a pair of array sensors with a spacing of d, the phase difference in their received signals is ω d / v rp ω , where v rp ω represents the phase velocity. Since the signal energy is focused in several dominant modes, in a low-frequency acoustic field, DOA estimation errors are mainly caused by the deviation in the phase velocities from the measured sound speed, meaning the use of an appropriate reference sound speed should be taken into account. The modal phase velocity can be derived by v p m ω = ω / k r m , meaning then the relative phase velocity deviation is defined as D v ω = v p ω c r / c r , where c r represents the sound speed at the depth of the receiving HLA. The more energy a mode contains, the stronger the influence its phase has on the DOA estimation. According to Snell’s law, the critical grazing angle below which there is perfect reflection is found to be θ c = arccos c 1 / c 2 , where c 1 and c 2 represent the sound speed in the upper and lower interfaces, respectively. Thus, in this case, they refer to the water column and the sea bottom. Note that a critical angle only exists when the sound speed of the second medium is higher than that of the first. This indicates that the signal is predominantly contained in the modes with elevation angles less than the critical angle, which leads to a perfect reflection, and a low reflection loss. A downward refracting sound speed profile (SSP) is conducive to the concentration of the sound energy to the sea bottom, which is a typical situation in shallow water. Then, modes satisfying c m < v p m < c s are defined as reflecting modes, where c m and c s represent the maximum sound speed in the water column and the sound speed in the sediment, respectively. When v p m < c m , the corresponding modes are defined as refracting modes, whose energy is trapped below the upper layer of the thermocline.
In other words, a surface source can barely excite the refracting modes, and the acoustic field has been mainly dominated by the reflecting modes. However, there are strong, low-order refracting modes excited in a deep-source acoustic field. Under these constraints of propagating mechanisms, the signal energy can be concentrated in several modes (from m 1 to m 2 ). Taking the modal energy E m as a weighting vector, the weighted phase velocity can be expressed as:
c w r , z = A m = m 1 m 2 E m r , z v p ,
where A = E m 1 , , E m 2 , v p = v p m 1 , , v p m 2 T . Then, for a surface source, modes m 1 to m 2 refer to the reflecting modes. But for a submerged source in a thermocline, refracting modes should also be taken into account, which implies that m 1 = 1 .

3. Numerical Simulation

In this paper, the program KRAKEN [23] was used to obtain the eigenfunction Ψ m and the wavenumber k r m . The depth of the simulated bottom-mounted HLA is 103.6 m, and the sound speed of the sea bottom is 1600 m/s, respectively. The measured SSP is used, whose negative thermocline lies between 23.5 m and 87.7 m, respectively. The HLA consists of N = 32 uniformly spaced sensors, with an even spacing of d = 6.25 m, making the total length 193.75 m. In order to avoid the occurrence of grating lobes, the frequency band considered was below the design frequency (120 Hz) of the HLA. From the perspective of the mode theory, due to the differences in horizontal wavenumbers, the beam power has different peaks corresponding to each mode, and, as the mode order increases, the peak of B m ω , θ 2 shifted toward the broadside of the HLA, making the main lobe point to the mode carrying the dominant energy.
As analyzed above, the propagation angles of the high-order modes were quite steep. However, ‘perfect reflection’ only occurs when the elevation angles are less than the critical angle. Thus, it can be concluded that high-order modes suffer from a remarkable loss in transmission. The intensity distribution of the mode functions is displayed in Figure 2a, where it can be seen that the 1st mode is not fully excited by the shallow source. The characteristic of the source depth is distinguished by the depth of the upper layer of the thermocline, below which the acoustic field is dominated by the reflecting modes. Given that the source depth was 30 m, the energy transmission loss in the first ten propagating modes are displayed in Figure 2b. As the propagating range increased, the energy of the high-order (fourth to tenth) modes decayed rapidly as a result. In shallow sea circumstances, compared with the sound speed in the water column, the sound speed was found to be higher in the sandy sediment, meaning stresses on both sides of the boundary will not vanish. In an extreme case where the sediment has been regarded as a perfectly rigid boundary, each mode function reaches its maximum at the sea bottom. Hence, the amplitude of these mode functions will not hit zero at the depth of the sea bottom, meaning that the error caused by the inadequate sampling of the normal modes can be reduced.
Correspondingly, Figure 2c displays the relative phase velocity deviation of the first six propagating modes. In the single-frequency acoustic field, there were considerable variations between the phase velocities of each mode. Taking a 79 Hz signal as an example, the phase velocity of the first-order mode was 1531.3 m/s, and the phase velocity of the third-order mode was 1580.6 m/s, respectively; in comparison, the sound speed c r measured at the depth of the HLA was 1520.1 m/s. In addition, c s , c m , and c r are marked by red dashed lines. It has been indicated that the reflecting modes are the 2nd and the 3rd modes, and the 1st mode is a refracting mode. Note that the phase velocity also shows an obvious dependence on the frequency. The higher the frequency, the more propagating modes in the acoustic field, and the orders of refracting and reflecting modes are also related to the frequency. Furthermore, at the depth of the HLA, the phase velocity was always larger than the sound speed of the water column, although it approached the sound speed with an increasing frequency. It is intelligible that the phase velocity represents the horizontal velocity of a particular phase in the plane-wave representation of a mode, rather than the speed of energy transport, which must be clearly less than or equal to the speed of sound. Thus, for steep propagation angles, the phase velocity approaches infinity, whereas the horizontal propagation yields a phase velocity equal to the speed of sound, which in turn means that the plane waves interfere to produce a mode that propagates nearly vertically when approaching the cutoff frequency, whereas the modal plane waves in the high-frequency limit propagate close to the horizontal. These characteristics make the beam deviation more severe in low-frequency problems.
Figure 2d shows the mth modal beam power for a true source with θ T = 30 ° , with the reference sound speed selected as c r , and the phase velocity of each mode as v p m , respectively. The true source bearing is marked by the magenta dashed lines. This indicates that as the modal order increased, the DOA estimation approached the broadside of the HLA ( θ = 90 ° ), thereby confirming that the difference in these phase velocities indeed has an impact on the DOA estimation. Unlike c r , v p m is more adaptable to compensate the time delay of each mode, and as a result the true source bearing can be determined.
In Figure 3a, accompanying with the measured SSP, the distributions of the normalized mode functions of the first three propagating modes are denoted by black dot-dashed curves, whose zero axis are shifted to the axis of sound speed. In contrast with the negative-thermocline SSP, the mode functions showed an oscillatory depth dependence where the phase speed is higher than the sound speed (the whole water column for mode 2; below 49.3 m for mode 1). Each trapped mode (mode 1) showed an exponential decay near the surface, which limits the coupling with the surface sources. In contrast. The high-order modes, which can be excited by both surface and submerged sources, are defined as free modes. It is shown in Figure 3a that these modes can be clearly classified by c s , c m , and c r , respectively. Practically, as illustrated in Section 2, the separation mechanism between these two types of modes can be set by comparing the mode phase velocity to the maximum sound speed in the water column: a mode is trapped if its phase velocity is lower than the maximum sound speed; otherwise, it is a free mode. Generally, modes are indexed in the order of increasing phase velocity, which means that the lower-order modes are the trapped modes.
For different source depths, the simulated weighted phase velocities, c w , are shown in Figure 3b. Due to the attenuation of the high-order modes, c w becomes nearly fixed and unchanging in the far-field. According to the aforementioned analysis, the increasing propagating range equalizes the two kinds of weighted phase velocities (summation of all propagating modes, and of the modes m 1 to m 2 ). Thus, c w is a good alternate to be used as the reference sound speed of beamforming. The beamforming output was the focus of this paper, and the maximum output bearing was designated as the estimated source bearing, θ est . There is assumed to be a smaller deviation in bearing when the true bearing is close to the broadside of the HLA: that is, Δ θ decreases as θ T increases (0~90°, and symmetrically in the 180~90° sector). Taking the submerged source as an example, Figure 3c gives the simulated curve of Δ θ with respect to the true source bearing, which indicates the results of the theoretical bearing estimation error. Estimation errors are severe near the end-fire direction, which has been significantly corrected. Moreover, the error correction effect improves as the propagating range increases. Bearing estimation simulations of two sources are displayed in Figure 3d, where the estimated bearing was denoted by a pentagram, and the true source bearing was marked by a red dashed line. The phenomenon of bearing deviation is clearly shown, and θ est lies somewhere between θ T and the broadside of the HLA. Thus, when c r is taken to be the reference sound speed, compared with the true bearing angle, θ est is biased towards the broadside of the HLA. Then, after replacing the reference sound speed with c w , θ est is able to get closer to the true bearing. Δ θ for the submerged source reduced from 0.2° to 0°, respectively; and Δ θ for the surface source reduced from 2.9° to 0.45°, respectively.
Since precise environmental parameters are rarely available, the effect of an environmental mismatch should be studied. Figure 4a gives three mismatched SSPs. SSP I has a thicker isothermal layer, and the depth of upper boundary of the thermocline was found to be 50 m. SSP II has a cooler sea surface, and the gradient of the thermocline was deemed to be smaller. SSP III presents the absence of the isothermal layer, while the sound speed at lower boundary of the thermocline was determined to be equivalent to that of the measured SSP. Given that the SD = 30 m and the range = 4 km, repeating the simulation in Figure 3c as Δ θ is displayed in Figure 4b, which is dependent on the true source bearing θ T . DOA estimation performance suffers from a remarkable error when the SSP structure was deviated. On the basis of the mode trapping theory, the amplitude of the low-order mode functions was limited at the depth above the thermocline. The sound speed was smaller in the mixture layer of SSP II, but a similar depth range was found to have been retained. As a result, the produced estimation error was the smallest.

4. Application to Experimental Data

A shallow water experiment was conducted in the South China Sea in September, 2020. An HLA with 6.25 m sensor spacing was placed over the sea bottom, and to avoid invalidation of the far-field hypothesis, only the first 32 sensors were considered. Full water depth high-resolution conductivity temperature depth (CTD) data was gathered simultaneously. In the meantime, a support ship provided a 30 m sound source sailing away from the bottom-mounted HLA along the broadside direction, with a programmed 79 Hz CW signal transmitting. During the experiment, in order to reduce interference, the cable-laying ship was deployed 2 km away, provided a noise source with a depth of about 5 m, and the θ T was about 30°. In addition, the HLA sensors were self-localized previously.
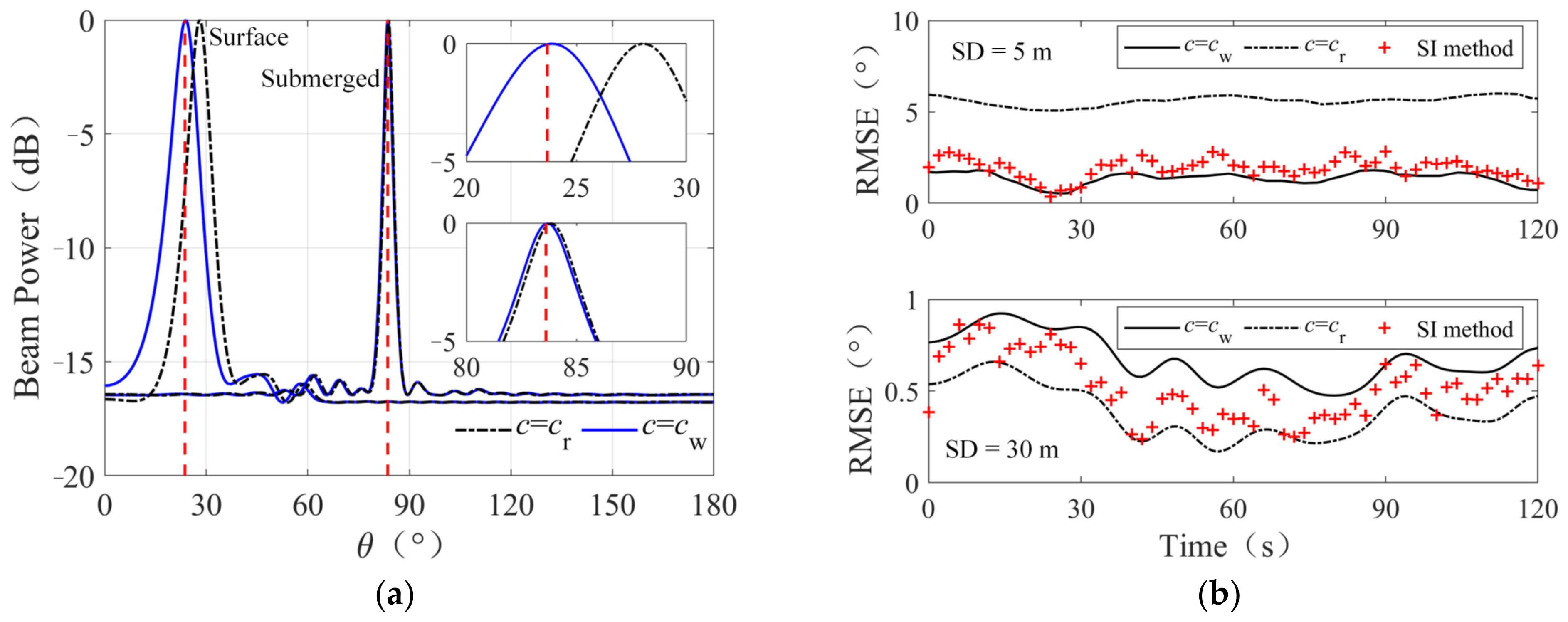
A segment of signal was then selected, during which the emission target was approximately located at the broadside of the HLA. According to the recorded GPS data, the true emission source bearing was 83.62°, and was 4.13 km away from the center of the HLA, and the cable-laying ship was at 23.89°, 2.06 km away from the HLA, respectively. The results of the bearing estimation of the two main sources are displayed in Figure 5a. Then, the weighted phase velocity of the surface cable-laying ship c w (m = 2, 3) and the submerged emission source c w (m = 1, 2, 3) were derived. By substituting c w for c r , the estimation error of the surface source went down from 4.38° to 0.247°, and the estimation error of the broadside submerged source went down from 0.236° to 0.081°. Note that the estimated bearing of the surface cable-laying ship was still deviating. Explanations of the tiny difference observed can be provided in that the mismatch in the modal phase velocity could have been caused by the measurement error of the sediment parameters and sea surface roughness. Moreover, the cable-laying ship was regarded as a near-surface source, and the refraction modes contained a low level of energy. Considering that the surface source is not far from the HLA, besides the refraction modes and the reflecting modes, there are multiple high-order modes carrying residual energy, which widens the main lobe, and makes c w slightly less than the theoretical value.
The two minute source bearing estimation result is shown in Figure 5b. After substituting the reference sound speed, the root mean square error (RMSE) of the surface source bearing estimation was reduced from 5.6° to 1.1°, respectively. As a comparison, the RMSE of the submerged source bearing estimation was reduced from 0.68° to 0.32°, respectively, indicating that for a non-broadside source, there is a larger bearing deviation and a more remarkable influence by phase velocity. Sensitivity to the phase velocity mismatch increases as the source deviates from the broadside. The bearing estimation result obtained using the SI method (Ref. [22]) was indicated by the red ‘+’, and the estimation performance was found to be almost equivalent to that derived by the proposed method. In the SI algorithm, precise wavenumber estimation is strictly required so that inaccurate bearing estimation results are mainly led by an erroneous wavenumber estimation. Computational costs are accumulated by the process of SVD decomposition and QR factorization in the SI algorithm, and as a result, the proposed method was accompanied with a higher computation efficiency. Compared with θ T , the source bearings have been well estimated, and the DOA results based on the weighted phase velocity are satisfactory and reliable for both the submerged and surface sources.

5. Summary and Conclusions

The beamforming results of the bottom-mounted HLA show significant errors in the bearing estimation due to the beam deviation caused by deviated reference sound speed. In this paper, the directional response of an HLA was studied. The analytical expression of the array response was presented by the mode theory, which indicated that the estimated bearing angles are bound to be biased towards the broadside of the HLA, and the bearing estimation error relies on the elevation angles of each mode. As the source HLA range increases and the plane-wave approximation can be implemented, several energy-dominant modes deviated the main lobe when compensating the time delay by c r . Differences in the modal phase velocities were found to decrease as the frequency was increased. As a result, for the arrival of a low-frequency plane wave on the HLA, the inaccuracy of the reference sound speed used in beamforming will lead to remarkable errors in the bearing estimation. Therefore, it is necessary to construct a reasonable reference sound speed based on the weighted phase velocity proposed, which approximates the multiple propagating modes into a single-mode arrival. Furthermore, for the surface source bearing estimation problem, the first several modes barely contributed, and only reflecting modes were taken into account. When conducting weighted phase velocity, the modes are supposed to be pre-selected according to the source depth. Downward refracting SSP with a negative thermocline is a typical circumstance in shallow water. Taking the source depth as a prior information, the DOA estimation has been corrected by c w . Compared with the MFP methods, true source bearing can be estimated with a low computational cost, which suggests that it can be used in a real-time signal processing system.
Experimental analysis was well explained by the theories presented in this paper. By conducting the weighting method proposed, the weighted phase velocity proved to be satisfactory as the reference sound speed for the source bearing estimation. Note that Δ θ was larger when the source was near the end-fire, the bearing estimation error of the surface source reduced markedly, and in RMSEs showed a well-estimated result. On the contrary, the improvement in the estimating effect of the submerged source was not found to be significant due to its direction close to the broadside. According to the mode theory, peaks corresponding to each mode are very close, and intend to appear in one beam. In addition, the effect of SSP mismatch has been analyzed. Compared with SSPs with other kinds of structure, the depth range of the thermocline played an important role when deciding the c w . For low-frequency cases, even a few propagating modes can lead to a satisfying result still being achieved. How to apply this method in a more complex ocean environment with inaccurate prior information will be considered in future research. In addition, the accuracy and resolution not being constant for all directions, robustness under conditions of limited aperture, SNR or snapshot should all be considered so as to ensure the accuracy of the bearing estimation for none-broadside sources.

Author Contributions

Conceptualization, Y.Z.; validation, Y.Z. and Q.Y.; resources, Y.Z. and K.Y.; writing—original draft preparation, Y.Z.; supervision, K.Y.; funding acquisition, Q.Y. All authors have read and agreed to the published version of the manuscript.

Funding

This research was funded by the National Natural Science Foundation of China, Grant No. 12204379, 52231013; the China Postdoctoral Science Foundation, Grant No. 2019M663822; the Fundamental Research Funds for the Central Universities, Grant No. G2023KY0604.

Institutional Review Board Statement

Not applicable.

Informed Consent Statement

Not applicable.

Data Availability Statement

For the data used or generated during the study, please contact the corresponding author.

Conflicts of Interest

The authors declare no conflict of interest.

References

  1. Shi, H.; Li, J.; Chang, H.; Liu, L. Research on passive localization method of shallow water acoustic source with single hydrophone based on hierarchical grid histogram filtering. Appl. Acoust. 2022, 194, 108812. [Google Scholar] [CrossRef]
  2. Zhu, Y.; Yang, K.; Duan, R.; Wu, F. Sparse spatial spectral estimation with heavy sea bottom reverberation in the fractional fourier domain. Appl. Acoust. 2020, 160, 107132. [Google Scholar] [CrossRef]
  3. Li, X.; Xiang, L.; Zeng, Y.; Jia, H. Analysis of mode mismatch in uncertain shallow ocean environment. Appl. Acoust. 2018, 139, 149–155. [Google Scholar] [CrossRef]
  4. Liu, H.; Yang, K.; Ma, Y.; Yang, Q.; Huang, C. Synchrosqueezing transform for geoacoustic inversion with air-gun source in the East China Sea. Appl. Acoust. 2020, 169, 107460. [Google Scholar] [CrossRef]
  5. Bogart, C.W.; Yang, T.C. Source localization with horizontal arrays in shallow water: Spatial sampling and effective aperture. J. Acoust. Soc. Am. 1994, 96, 1677–1686. [Google Scholar] [CrossRef]
  6. Zurk, L.M.; Rouseff, D. Striation-based beamforming for active sonar with a horizontal line array. J. Acoust. Soc. Am. 2012, 132, EL264–EL270. [Google Scholar] [CrossRef]
  7. Sendra, S.; Lloret, J.; Jimenez, J.M.; Parra, L. Underwater Acoustic Modems. IEEE Sens. J. 2016, 16, 4063–4071. [Google Scholar] [CrossRef]
  8. Erol-Kantarci, M.; Mouftah, H.T.; Oktug, S. A Survey of Architectures and Localization Techniques for Underwater Acoustic Sensor Networks. IEEE Commun. Surv. Tutor. 2011, 13, 487–502. [Google Scholar] [CrossRef]
  9. Tan, H.P.; Diamant, R.; Seah, W.K.G.; Waldmeyer, M. A survey of techniques and challenges in underwater localization. Ocean Eng. 2011, 38, 1663–1676. [Google Scholar] [CrossRef]
  10. White, P.R.; Leighton, T.G.; Finfer, D.C.; Powles, C.; Baumann, O.N. Localisation of sperm whales using bottom-mounted sensors. Appl. Acoust. 2006, 67, 1074–1090. [Google Scholar] [CrossRef]
  11. Li, P.; Zhang, X.H.; Li, L.R.; Zhang, W.L. Source depth discrimination using wavenumber domain feature with a horizontal array. Appl. Acoust. 2020, 164, 107287. [Google Scholar] [CrossRef]
  12. Yang, T.C. Beam intensity striations and applications. J. Acoust. Soc. Am. 2003, 113, 1342–1352. [Google Scholar] [CrossRef]
  13. Yang, K.; Li, H.; He, C.; Duan, R. Error analysis on bearing estimation of a towed array to a far-field source in deep water. Acoust. Aust. 2016, 44, 429–437. [Google Scholar] [CrossRef]
  14. Han, N.; Yao, S. Discrimination of the active submerged/bottom target based on the total scintillation index. Appl. Acoust. 2021, 172, 107646. [Google Scholar] [CrossRef]
  15. Wu, Y.; Zhang, W.; Hu, Z.; Zhang, W.; Zhang, B.; Wang, J.; Guo, W.; Xu, G.; Zhu, M. Directional response of a horizontal linear array to an acoustic source at close range in deep water. Acoust. Aust. 2022, 50, 91–103. [Google Scholar] [CrossRef]
  16. Wu, J.N.; Zhou, S.H.; Peng, Z.H.; Zhang, Y.; Zhang, R.H. Bearing splitting and near-surface source ranging in the direct zone of deep water. Chin. Phys. B 2016, 25, 124311. [Google Scholar] [CrossRef]
  17. Zhai, D.; Zhang, B.; Li, F.; Zhang, Y.; Yang, X. Passive source depth estimation in shallow water using two horizontally separated hydrophones. Appl. Acoust. 2022, 192, 108723. [Google Scholar] [CrossRef]
  18. Conan, E.; Bonnel, J.; Nicolas, B.; Chonavel, T. Using the trapped energy ratio for source depth discrimination with a horizontal line array: Theory and experimental results. J. Acoust. Soc. Am. 2017, 142, 2776–2786. [Google Scholar] [CrossRef]
  19. Premus, V.E.; Helfrick, M.N. Use of mode subspace projections for depth discrimination with a horizontal line array: Theory and experimental results. J. Acoust. Soc. Am. 2013, 133, 4019–4031. [Google Scholar] [CrossRef]
  20. Gong, Z.; Lin, J.; Guo, L. The effect of acoustic waves’ phase speed on preciseness of DOA estimation in shallow water. Acta Acust. 2002, 27, 492–496. [Google Scholar]
  21. Yi, F.; Sun, C.; Bai, X.H. Bearing estimation based on orthogonal projections technique with a horizontal linear array in shallow water. AIP Conf. Proc. 2012, 1495, 667–674. [Google Scholar]
  22. Lakshmipathig, S.; Anand, G.V. Subspace intersection method of high-resolution bearing estimation in shallow ocean. Signal Process. 2004, 84, 1367–1384. [Google Scholar] [CrossRef]
  23. Porter, M.B. The KRAKEN Normal Mode Program; Naval Research Lab.: Washington, DC, USA, 1992. [Google Scholar]
Figure 1. Schematic plot of the bottom-mounted HLA and beamforming anomaly.
Figure 1. Schematic plot of the bottom-mounted HLA and beamforming anomaly.
Jmse 11 01328 g001
Figure 2. Simulation results based on the mode theory. (a) Distribution of the normalized mode function amplitude with depth. (b) Modal transmission loss with the distance of propagation for the first ten propagating modes (the source depth is 30 m). (c) Relative phase velocity deviation of the first six propagating modes. (d) Beamforming results with the reference sound speeds of c = c r and c = v p m .
Figure 2. Simulation results based on the mode theory. (a) Distribution of the normalized mode function amplitude with depth. (b) Modal transmission loss with the distance of propagation for the first ten propagating modes (the source depth is 30 m). (c) Relative phase velocity deviation of the first six propagating modes. (d) Beamforming results with the reference sound speeds of c = c r and c = v p m .
Jmse 11 01328 g002aJmse 11 01328 g002b
Figure 3. Acoustic field analysis and simulation results. (a) Sound speed analysis of the experimental scene with the measured SSP attached, where the normalized mode functions of the first three propagating modes are denoted by dot-dashed lines. Depth of the 30-m submerged source, and required minimum source depth making the 1st mode fully excited are denoted by black dashed lines, respectively. c s , c m , and c r are denoted by red dashed lines, respectively. (b) Weighted phase velocity c w with the process of propagation. (c) Δ θ versus the true source bearing θ T , SD = 30 m, and range = 4 km, respectively. (d) Estimated source bearing, where pentagrams indicate the location of the peaks of directional response (given the source distance: 2 km and 4 km, and true source bearing: 30° and 85°, respectively).
Figure 3. Acoustic field analysis and simulation results. (a) Sound speed analysis of the experimental scene with the measured SSP attached, where the normalized mode functions of the first three propagating modes are denoted by dot-dashed lines. Depth of the 30-m submerged source, and required minimum source depth making the 1st mode fully excited are denoted by black dashed lines, respectively. c s , c m , and c r are denoted by red dashed lines, respectively. (b) Weighted phase velocity c w with the process of propagation. (c) Δ θ versus the true source bearing θ T , SD = 30 m, and range = 4 km, respectively. (d) Estimated source bearing, where pentagrams indicate the location of the peaks of directional response (given the source distance: 2 km and 4 km, and true source bearing: 30° and 85°, respectively).
Jmse 11 01328 g003
Figure 4. Effect of SSP mismatch. (a) Mismatched sound speed profiles with different structures of thermocline. (b) Simulated bearing estimation performance verses true source bearing, with impact of the mismatched environment.
Figure 4. Effect of SSP mismatch. (a) Mismatched sound speed profiles with different structures of thermocline. (b) Simulated bearing estimation performance verses true source bearing, with impact of the mismatched environment.
Jmse 11 01328 g004
Figure 5. Experimental results. (a) Beamforming output (500 snapshots, and θ T is denoted by red dashed lines): cable-laying ship ( c w is derived over modes 2 to 3), 2.18 km away from the center of the HLA, θ T = 23.68 ° ; emission source ( c w is derived over modes 1 to 3), 4.13 km away from the center of the HLA, θ T = 83.62 ° . The true source bearings are marked by red dotted lines. (b) Representation of the 2 min bearing estimation (32 sensors). The corrected DOA estimation is denoted by dot-dashed lines.
Figure 5. Experimental results. (a) Beamforming output (500 snapshots, and θ T is denoted by red dashed lines): cable-laying ship ( c w is derived over modes 2 to 3), 2.18 km away from the center of the HLA, θ T = 23.68 ° ; emission source ( c w is derived over modes 1 to 3), 4.13 km away from the center of the HLA, θ T = 83.62 ° . The true source bearings are marked by red dotted lines. (b) Representation of the 2 min bearing estimation (32 sensors). The corrected DOA estimation is denoted by dot-dashed lines.
Jmse 11 01328 g005
Disclaimer/Publisher’s Note: The statements, opinions and data contained in all publications are solely those of the individual author(s) and contributor(s) and not of MDPI and/or the editor(s). MDPI and/or the editor(s) disclaim responsibility for any injury to people or property resulting from any ideas, methods, instructions or products referred to in the content.

Share and Cite

MDPI and ACS Style

Zhang, Y.; Yang, Q.; Yang, K. Direction-of-Arrival Estimation of Bottom-Mounted Horizontal Linear Array Based on the Weighted Phase Velocity. J. Mar. Sci. Eng. 2023, 11, 1328. https://doi.org/10.3390/jmse11071328

AMA Style

Zhang Y, Yang Q, Yang K. Direction-of-Arrival Estimation of Bottom-Mounted Horizontal Linear Array Based on the Weighted Phase Velocity. Journal of Marine Science and Engineering. 2023; 11(7):1328. https://doi.org/10.3390/jmse11071328

Chicago/Turabian Style

Zhang, Yukun, Qiulong Yang, and Kunde Yang. 2023. "Direction-of-Arrival Estimation of Bottom-Mounted Horizontal Linear Array Based on the Weighted Phase Velocity" Journal of Marine Science and Engineering 11, no. 7: 1328. https://doi.org/10.3390/jmse11071328

APA Style

Zhang, Y., Yang, Q., & Yang, K. (2023). Direction-of-Arrival Estimation of Bottom-Mounted Horizontal Linear Array Based on the Weighted Phase Velocity. Journal of Marine Science and Engineering, 11(7), 1328. https://doi.org/10.3390/jmse11071328

Note that from the first issue of 2016, this journal uses article numbers instead of page numbers. See further details here.

Article Metrics

Back to TopTop