Abstract
Deep-sea mining vehicles (DSMVs) are highly prone to sinking and slippage when traveling on extremely soft seafloor sediments. In addition, DSMVs can be vulnerable to dangerous situations such as overturning due to the non-homogeneous characteristic of the seafloor sediments, the heavy loads carried by DSMVs, and the complex and varied topography of the seafloor. When the terrain is uneven, four-tracked DSMVs can show excellent traveling abilities and safety performances compared with conventional dual-tracked vehicles, thus having a broad range of applications. Consequently, modeling and simulation of a four-tracked DSMV are essential for the study of DSMV traveling performance. To enhance adaptability to uneven terrain, the tracks are designed to be rotatable. First, a multi-body dynamics model is built in the Recurdyn software based on the actual structural properties of a specially designed four-tracked DSMV prototype. Then, the model’s forces are modified to reflect the actual circumstances of seafloor travel. Applying a more accurate shear model, a user subroutine is written to modify the track–soil force. Moreover, internal resistance and water resistance are considered and applied to the model in the form of external loads. Then, based on the multi-pass effect, the track–soil force to the rear track is modified. Moreover, considering the relationship between soil forces and velocity, a velocity coefficient is summarized and added to the resistance estimation equation. Consequently, a more realistic dynamic model of the mining vehicle has been developed. On this basis, simulations of straight-line travel on flat ground are performed. In addition, to investigate the effects of rotatable tracks, a straight-line travel simulation with tracks fixed is also performed. By analyzing the simulation results, the motion features and dynamic characteristics of a four-tracked DSMV with rotatable tracks when traveling in a straight line on flat ground can be studied.
1. Introduction
Terrestrial minerals are in low supply [1]. Population growth and economic expansion are driving the need for metals, including manganese, nickel, and cobalt [2], especially for new electric vehicles. There are many minerals on the seafloor, including seafloor massive sulfides (SMS), ferromanganese crusts, and polymetallic nodules, with enormous reserves and a variety of uses. As a result of the increasing demand for metal resources and economic growth, deep-sea mining has begun to develop rapidly [3]. Looking for solutions that are both economical and environmentally friendly is necessary, as while the exploitation of deep-sea mineral resources may result in significant economic gains, it may also bring governance challenges, such as ecological concerns [4].
Specific technology and equipment are needed for mining considering the unusual deep-sea environment in which mineral deposits are found [5]. As a crucial part of deep-sea mining operations [6], the tracked deep-sea mining vehicle (DSMV) is recognized as suitable for traveling and mining on soft seafloor soils because of its high traction, low ground-specific pressures, and excellent passing abilities [7]. The physical and mechanical characteristics of seafloor sediments are different from those of terrestrial sediments, featuring high water contents, high compressibility, and low shear strengths. Therefore, seafloor sediments are soft and have poor bearing capacities [8]. Furthermore, the complicated terrain, the lack of light, and the interference of complex currents can also lead to accidents such as overturning. Therefore, the safety performances and traveling capacities of DSMVs must be properly researched to lower the risk and improve safety.
During the travel of a DSMV, the seafloor sediment is not only the provider of a load-bearing force but also the generator of a traction force. It is mainly the track plate that contacts and interacts with the ground. Therefore, the research on the interaction mechanism between the track plate and the sediment is the foundation of the dynamics modeling study of DSMVs.
Simulated sediments were recreated in the laboratory by mixing bentonite with water since in-situ seafloor sediments are expensive to obtain. By recreating seafloor sediments, Choi et al. [9] performed a series of track–sediment interaction tests and evaluated the effect of the DSMV dimensions on the traction performance. Then, Schulte et al. [10] analyzed the mechanical characteristics of simulated sediments under various shear devices and acquired the shear stress–shear displacement relationship. Additionally, Dai et al. [11] constructed simulated sediments to conduct track–soil interaction tests based on the in-situ data and obtained soil mechanical parameters based on the Bekker model and the Wong model. Baek et al. [12] conducted an experimental study on the soil thrust mechanism of cohesive soils and proposed two damage mechanisms of simulated sediments.
Based on the research of track plate–sediment interactions, a number of studies on DSMV dynamics modeling have been performed. Li et al. [13] built a tracked DSMV multi-body dynamics model in the software ADAMS/ATV, analyzed the abilities of the DSMV in the ditch and obstacle crossing and slope climbing, and verified the simulation with 150-m lake test results. To analyze the effects of the buoyancy position on the climbing ability, Lee et al. [14] used the DSMV MineRo as the base for dynamics modeling in the software Recurdyn and ran simulations for climbing from 0° to 40° on various soils. To qualitatively analyze the traction performances of DSMVs on a soft seafloor, Dai et al. [15] built a dynamics model in the software Recurdyn and wrote a track–soil force user subroutine based on the experimental results. Moreover, DSMVs travel performance testing on simulated sediments was carried out with a test vehicle. Kim et al. [16] made a comparison of the computational accuracy and solution efficiency of single-body and multi-body dynamics methods. A trencher’s travel performance and operational performance were evaluated during a seafloor operation by Morgan et al. [17], who also investigated the relationship between the driving traction and resistance to motion of the trencher and the parameters of the seafloor sediment. To verify the validity of the experiment and theory, Katsui et al. [18] built a small-scale test device of a mining vehicle and established the climbing dynamics equations of a tracked vehicle. They also theoretically analyzed the changes in posture, center of gravity, and floating center of the tracked vehicle during climbing. Subsequently, Dai et al. [19] developed a lifting pipe model by secondary development of the RecurDyn/PrcocessNet software. The collaborative simulation of the entire mining system, including the DSMV, pipe, and mining vessel, was then accomplished, and the interaction forces between the pipe and mining vehicle were analyzed. Edwin et al. [20] proposed an algorithmic method to calculate soft soil deformation in the track contact patch, which was verified through multi-body dynamics modeling in ADAMS.
Compared with the seafloor plains where polymetallic nodules lie, the enrichment zones of polymetallic sulfides and cobalt-rich crusts are, respectively, hydrothermal vents and seamounts [21,22,23,24], featuring highly rough and complicated topographies with many slopes and obstacles. Thus, four-tracked DSMVs are deemed to be more suitable for seafloor massive sulfide and ferromanganese crust mining than dual-tracked DSMVs because they have better uneven terrain trafficability and adaptability [25] and better obstacle-crossing capabilities.
Consequently, research has been conducted on the dynamics modeling of four-tracked DSMVs. To study the effects of the driving mode and the hinge connection on the travel performances of DSMVs, the modeling of a hinged four-track DSMV was accomplished in the software Recurdyn [26]. Then, Kim et al. [27] achieved modeling of the four-track polymetallic sulfide DSMV and created the analysis program TRACSIM-III based on the subsystem synthesis method. The dynamics of a four-track DSMV overcoming obstacles were studied by Liu et al. [25], who also performed a simulation of the performance of a DSMV when climbing and steering under complex terrain conditions. For a four-tracked DSMV, Xu et al. [28] established a traction model that considered dynamic sinkage and front and rear track effects. On this basis, a dynamics model was created, and the effects of the track characteristics on the straight-line traveling capacity were evaluated.
In this paper, the motion features and dynamic characteristics of a four-tracked mining vehicle with rotatable tracks during straight-line travel on flat ground are mainly studied. The flow chart for the overall content of this paper is shown in Figure 1. The general idea of this study is as follows:
Figure 1.
Flowchart of the research content in this paper.
- First, the mining vehicle structure was recreated as accurately as possible in the model;
- Second, the force conditions of the mining vehicle in the model were established as close as possible to the actual situation, including adding the water resistance and the internal resistance to the model, optimizing the track–soil force calculation equations in the user subroutine (USUB) and considering the multi-pass effect and the relationship between force and velocity;
- Third, simulations were then carried out to evaluate the motion characteristics of the four-tracked mining vehicle model during travel, including the actual travel velocity, sinkage, and pitch angle. The effect of two designs, rotatable and fixed tracks, on the mining vehicle model was also studied;
- Additionally, since the track–soil forces in the simulation are difficult to extract, an approach for estimating soil-related resistances was introduced into this study by modifying the classical resistance equation based on the multi-pass effect and the force-velocity relationship. As the calculation of soil-related resistances was already included in Recurdyn.USUB, the estimation equations were added to the model without affecting the calculation results. They are the only equations to obtain the estimated values of the soil-related resistances based on the motion parameters calculated by the simulation.
Based on this study, it is possible to avoid risky situations and gather knowledge for the development and optimization of commercial DSMVs in the future.
2. Modeling of Deep-Sea Mining Vehicles (DSMVs)
A four-tracked DSMV designed for SMS mining was used for modeling. As shown in Figure 2, the original vehicle structure was recreated in the software Recurdyn, and a multi-body dynamics model was established. This software was an integrated multidisciplinary computer-aided engineering software based on recursive algorithms with excellent calculation efficiency, providing outstanding performances in multi-body problems.
Figure 2.
Multi-body dynamics model of four-tracked DSMV.
The model mainly consisted of a chassis, four tracks, a vehicle body, mining devices and buoyancy materials.
Additionally, they were all regarded as rigid bodies during the simulation. The center of the chassis was set as the zero point of the whole model.
The detailed mass and dimensions of the DSMV prototype are demonstrated in Table 1. Except for the tracks, there would be no apparent displacement between the remaining components relative to the chassis during travel, so that the vehicle body, mining devices, and buoyancy materials were set as a whole, and then fixed to the chassis. All components in the model were modeled as precisely as possible based on their original positions, dimensions, and materials in the prototype, so that their masses, inertias, and coordinates could be deemed as accurate and convincing, which would play a significant role in the simulation calculation. Moreover, the underwater weight, which can be obtained by converting gravity minus buoyancy, was used in the model.
Table 1.
Main structural parameters of DSMV.
As the tracks are the crucial factor determining the dynamic characteristics and safety performance of a DSMV, they are also the primary focus of the modeling. Each track had 28 track plate units, and the relevant dimensions of each track plate are listed in Table 1. These dimensional parameters of the track plate are defined in Figure 3.
Figure 3.
Schematic diagram of dimensions of track plate.
Furthermore, as shown in Figure 4a, in the software Recurdyn, the shape of the track plate was determined by a set of points. Each point represents a line on the track plate along the plate width. When the track contacted the hard ground, Recurdyn calculated the track–soil force by defining shoe points, which were selected from the points in Figure 4a. However, when the track was in contact with the soft seafloor sediment, this calculation method did not meet the requirements.
Figure 4.
Schematic diagram of track plate: (a) drawing of track plate in Recurdyn and (b) grouser mesh.
Therefore, to increase the accuracy of the simulation results, the mesh on the surface of the track plate was drown. Along the direction of the plate width, the width between the two sides of the track plate was divided into several depth segments, and similarly, the length between neighboring points on the same side was divided into length segments. As shown in Figure 4b, in this DSMV model, the surface of the track plate was drawn as a mesh, where the length segment and depth segment were, respectively, set to 2 and 3.
In addition to track plates, each track included a track frame, a sprocket, an idler, three road wheels, and a carrier roller. Every wheel was also attached to the track frame by revolutes. Furthermore, to ensure the tension of the tracks, each track had springs as tensioners that were applied between the idler and the track frame, increasing the stability of the entire track structure. As displayed in Table 2, the preload of the springs was set according to the vehicle’s real weight.
Table 2.
Parameters of seafloor sediment related to track–soil force and resistance.
It is worth noting that every track frame was connected to the chassis by a cylindrical shaft. One end of the shaft was fixed to the chassis, and the other end was connected to the center of the track frame by revolutes. With such a structure, the design of rotatable tracks can be realized, which enabled the DSMV to possess a good obstacle-crossing capability. When walking on an uneven seafloor, the tracks could be rotated to achieve terrain self-adaptation. Meanwhile, the rotation of the tracks was limited within a certain range to prevent the rotation angle from being too large.
2.1. Track–Soil Force Calculation
The most important part is the setting of the track–soil interaction forces that provide support force and soil thrust for the travel of the model. As shown in Figure 5, FNf and FNr are, respectively, the support force of the front and rear track, Ftf and Ftr are, respectively, the soil thrust of the front and rear track, G is the gravity, and FB is the buoyancy force. G and FB can be considered together by setting the underwater weight for the model.
Figure 5.
Schematic diagram of track–soil interaction force.
The normal support force provided by the soil is mainly related to the pressure-sinkage relationship. The most popular pressure–sinkage relationship equation was created by Bekker [29]. Although it is an empirical formula, a significant collection of experimental data has proven its reliability. As a result, the normal track–soil force can be calculated as follows:
where p is the normal pressure, b is the track width, kc is the soil cohesive deformation coefficient, kφ is the coefficient of soil friction deformation, z is the depth at which the track plate sinks into the sediment, and n is the soil deformation exponent.
In addition to the normal support force, the traction force of the DSMV mainly comes from the shear interactions between the track plate and the sediment. As shown in Figure 6, there are two main classical equations. Janosi and Hanamoto [30] proposed a shear stress–shear displacement equation to describe the plastic ground based on a large number of experimental studies. The Janosi and Hanamoto (J-H) model is shown as follows:
where τmax is the maximum shear stress, and K is the shear displacement parameter, which represents the shear displacement when the shear stress reaches its maximum. Furthermore, by conducting track plate–soil multi-parameter testing, Wong et al. [31] proposed the following shear stress–shear displacement model:
where Kr is the ratio of the residual shear stress to the maximum shear stress, KW is the shear displacement at the maximum shear stress, and j is the shear displacement.
Figure 6.
Curves of two shear stress–shear displacement models.
According to the Mohr–Coulomb law, τmax can be calculated as follows:
where c is the cohesion, and φ is the internal friction angle.
According to Equations (2)–(4), it can be learned that in both models mentioned above, the shear stress is related to two parameters, which are normal pressure and shear displacement. According to Table 2, the same parameters were set for both models, and the relationship between the shear stress and the two parameters in both models are respectively presented in Figure 7 and Figure 8. It can be observed that the difference between the two models is quite noticeable.
Figure 7.
Relationship surface of shear stress relating to positive pressure and shear displacement in the J-H model.
Figure 8.
Relationship surface of shear stress relating to positive pressure and shear displacement in the Wong’s model.
Based on the physical characteristics tests conducted on seafloor sediments, it was concluded that the seafloor sediments could be classified as “undisturbed firm soil” [32]. Additionally, the Wong shear stress–shear displacement model is believed to be more accurate for this type of soil [16].
However, in the software Recurdyn, the Janosi and Hanamoto (J-H) shear stress–shear displacement model is used as the default track–soil force model. Therefore, written in Visual Studio in the C# language, a customized user subroutine (USUB) was created, and a .dll file was added to the model to calculate the track–soil force.
The longitudinal soil thrust can be calculated from the integral of the shear stress over the ground surface. Therefore, the soil thrust of a single track can be calculated as follows:
where L and b are, respectively, the length and width of a single track’s ground surface.
The equation above is the same as the track–soil force calculation equation in the Recurdyn.USUB. The soil parameters in the Equation (5) were set as shown in Table 2. As a result, the DSMV dynamics model was optimized based on a more accurate shear stress–shear displacement model.
2.2. Resistance Calculation and Estimation
In addition to traction forces, the DSMV is also influenced by various resistance forces during travel, as demonstrated in Figure 9.
Figure 9.
Schematic diagram of the resistance to the model.
- (1)
- Internal resistance (Rin)
First, the internal resistance of a tracked vehicle is generated by the friction and collision of the track components, which is mainly related to the vehicle weight and the velocity during the track travel [33]. It can be estimated empirically by the following equation:
where Ci is the coefficient of internal resistance, which is 3–8% according to the structure of the track, and W is the DSMVs underwater weight.
- (2)
- Water resistance (RW)
Moreover, despite the low velocity, the resistance of the flow field is also an influential factor in the dynamic performance of the DSMV owing to the high seawater density and large vehicle volume. According to the computational fluid dynamics simulation results of the DSMV, water resistance caused by hydrodynamic effects can be calculated as follows [34]:
where Cd is the coefficient of water resistance, ρ is the density of seawater, v is the motion velocity, and A is the waterfront area.
- (3)
- Bulldozing resistance (Rb)
Furthermore, the seafloor sediment, in addition to providing traction for the DSMV, also generates resistance. Due to the sinkage of the tracks, sediments are raised up at the front end of the tracks, leading the tracks continuously push horizontally against the soil wall in front of it. As a result, the track is subjected to a reaction force known as the bulldozing resistance, which plays a major role in all resistance [35]. Considering the track’s pitch angle, track plates sinking in the soil will also be hindered by the soil in front of them. Based on Rankine passive soil compression theory, the bulldozing resistance of a single track is equal to the horizontal force of the soil pressure on a vertical retaining wall of equal height. The following equations were used for calculating the bulldozing resistance of a single track [36]:
where h is the height of the raised soil wall at the front of the track, zB is the bulldozing height of the track in the horizontal direction, namely, the sinking depth of the rear end of the track, as shown in Figure 10, γs is the specific weight of the sediment, Kc and Kγ are coefficients related to the passive earth pressure, and Nγ and Nc are the Terzaghi bearing capacity coefficients, which are determined by the sediment’s internal friction angle. Since the soil raised at the front of the track is squeezed and deformed, the internal structure of the soil is almost destroyed, so the blocking effect by this part of the soil is quite weak. Therefore, h can be considered approximately to be 0.
Figure 10.
Schematic diagram of the orthogonal decomposition of track–soil forces.
- (4)
- Compaction resistance (Rc)
Apart from the bulldozing resistance, the track also consumes energy in the vertical compaction of the sediment. This part of the lost mechanical energy can then be equivalently expressed as the compaction resistance that hinders the DSMVs movement forward.
The work W1 performed by the track bottom to compact the soil into a rut can be calculated by integrating the normal pressure. The work W2 performed by the equivalent longitudinal compaction resistance can be obtained by multiplying the value of the force with the rut length L. Moreover, W2 should be equal to W1, shown as follows:
where l is the length of the rut.
Thus, the equation for the compaction resistance is shown as follows [28]:
where zc is the depth of the rut, as shown in Figure 10, namely, the sinking depth of the track plate at the rear end of the track.
In addition, considering the track’s pitch angle, the orthogonal decomposition of support force and soil thrust are demonstrated in Figure 10. It can be observed that the support force has a horizontal partial force hindering the travel of the mining vehicle and is called gradient resistance [37].
In combination with the previous analysis, the essence of the gradient resistance is the horizontal bulldozing resistance of the track due to track pitch, so the two are essentially the same force. Meanwhile, as the vehicle travels, the vertical partial forces of soil thrust and support force continuously compact the soil into a rut.
Therefore, given that the support force and soil thrust are the track–soil forces calculated in the Recurdyn.USUB, the bulldozing resistance, and the compaction resistance were already included in the model.
Assuming that the pitch angle and soil thrust of the front and rear tracks are the same and the mining vehicle is in static equilibrium in the vertical direction during the stabilization phase of travel, the total gradient resistance can be calculated by the following equation.
where α are the pitch angle of the track.
It can be seen that it is the horizontal component of the soil thrust that actually provides the longitudinal traction. Moreover, the vertical components of both the soil thrust and the support force together provide the sources of the compaction resistance, and the horizontal component of the support force provides the bulldozing resistance.
In summary, the soil-related resistances were already included in the model’s track–soil force. Instead of setting up friction contact between the track components during the modeling process, the internal resistance was simplified to a resultant force and added to the model in the form of an external load. Moreover, the effect of water resistance, which cannot be accurately simulated in the software Recurdyn, was also introduced into the model by adding an external load.
As a result, the above-mentioned resistances can all be realized in the dynamics model. As shown in Figure 11, the water resistance was applied at the front face of the vehicle body, and the internal resistance was applied at the mass center of the chassis.
Figure 11.
Schematic diagram of DSMV in process of travel (the blue and purple arrows represent the resistance acting on the DSMV during travel and the red curve represents the trace of the model.).
As it is difficult to extract the values of soil-related resistance directly from the software Recurdyn, the estimation equations for compaction resistance and bulldozing resistance were added to the model in the form of Expression. The estimation equations for soil-related resistances added to the model would not participate in any simulation calculations of the model and do not have any influence on the simulation results. They are just equations that obtain relevant parameters simultaneously from the results of the simulation. Hence, as the simulation proceeds, curves for the change in the values of soil-related resistances can be estimated from the equations.
2.3. Multi-Pass Effect
Based on the multi-pass effect [38], soil characteristics at the same location can change as a result of multiple passes of the track. This results in different properties of the ground in contact with the front and rear track, thus leading to a change in the traction performance and the resistance to the track.
After the compression of the front track, the soil in the rut will become stronger. At the same time, after the shear interaction of the front track, the rutted soil undergoes excessive shear displacement deformation, and the strength will be reduced. Given the thin and soft characteristics of the seafloor sediment, as well as the slippage and dynamic sinkage, the shear destruction on the soil by the front track will be more considerable. As a result, the rutted soil can be approximately regarded to have decreased compressibility and lower shear strength.
2.3.1. Repetitive Compression Characteristics of Soils
According to classical geotechnical theory [39], cohesive soil has an elastic-plastic nature, so most of the compressive deformation is irreversible plastic deformation, except for a small part which is irreversible elastic deformation. Therefore, as shown in Figure 12a, when the soil is loaded (OA) and subsequently unloaded (AB), the deformation of the soil does not return to zero. Additionally, e1-e0, the amount of rebound due to unloading, is much smaller than e1, the amount of virgin compression. As shown in section BA’, after unloading, reloading to the original load p0 will produce a new normal strain e2-e0 that is similarly much smaller than e1.
Figure 12.
Cohesive soil consolidation characteristic curve: (a) the normal stress-strain relationship of the soil under consolidation condition, and (b) estimation for unloading and reloading processes of soil.
Hence, although both loadings are loaded from zero to p0, the normal strains generated by the soil are not the same. This indicates that after loading and unloading, the compressibility of the soil recompressed in the original stress range is much smaller than that at the virgin compression.
In order to calculate the sinkage during unloading and secondary loading, as shown in Figure 12b, it is assumed that the pressure-sinkage relationship curves of the unloading section AB and the reloading section BA’ are overlapping straight lines, which means that e1 = e2.
Therefore, according to the above analysis, for soil in a certain location:
- OA: The front track compressed the sediment into a rut, resulting in a sinkage that corresponds to the sinkage z1;
- AB: The front track moved away and the sediment in the rut rebounded, the amount of rebound corresponds to the sinkage reduction z1-zuf;
- BA’: The rear track moved up to this position, and the track again applied load to the sediment, resulting in a second compression, which corresponds to the sinkage zur—zuf. Moreover, the second compression of the rear track is much smaller than the virgin compression of the front track. Therefore, the total amount of sinkage in the rear track corresponds to the total sinkage zur generated by the two loads;
- A’E: After the rear track left, a second rebound of the sediment occurred.
The range between unloading and reloading can be approximated by a linear function in the pressure-sinkage relationship.
where p and z are, respectively, the pressure and sinkage during unloading or reloading, p1 and z1 are the pressure and sinkage when unloading begins, k is the average slope of the unloading-reloading line, and rs is the sinkage ratio.
As displayed in Equation (17), the compression index Cc and the expansion index Ce were respectively applied to describe the soil’s compressive characteristics in the compression section and unloading-reloading section. The expansion index Ce is generally several times less than the compression index Cc [40]. For a typical cohesive soil, Ce = (0.1~0.2)Cc [39]. Therefore, the value of rs was taken as 0.1.
where e is the void ratio, and Δe can represent the soil strain during compression.
In conclusion, the sediments in the ruts were compressed by the front track, the soil properties were changed, and the compressibility was greatly reduced. Therefore, in this model, the second compression depth of the rear track on the rutted sediment was set to be 10% of the depth of the virgin compression caused by the front track. So, it can be assumed that sinkage-related parameters of rutted soil change correspondingly.
According to this setting, based on Bekker’s equation, the pressure-sinkage relationship equation for the rear track on the rut can be gained as follows:
where kcr and kφr are, respectively, the rut’s coefficient of soil cohesive deformation and soil friction deformation, and zr is the second compression depth of the rear track.
Since the equations of soil-related resistance are closely related to the depth of sinking, the new sinkage zr generated by the rear track and rutted soil’s parameters kcr and kφr should be used instead in the soil-related resistance estimation equation of the rear track. Furthermore, Equations (15), (16) and (18) were also included in the Recurdyn.USUB for the track–soil force calculation.
2.3.2. Residual Shear Characteristics of Soils
Due to the damage to the soil’s structure, the rutted soil that experienced a large shear deformation can only generate relatively low shear strength and a different shear stress-shear displacement model should be applied instead, which is exactly the residual shear characteristics of soils.
As demonstrated in Figure 13, according to Mohr Coulomb’s formula (Equation (4)), the relationship between the shear strength and normal stress of undisturbed clay is shown in the AB line segment. In addition, for the soil after a large shear deformation, the relationship between residual shear strength and normal stress is shown as the OC segment.
Figure 13.
Shear curves for cohesive soils.
The angle between the two lines and the horizontal axis are, respectively, the internal friction angle φ and the residual internal friction angle φr. The value of the residual internal friction angle is smaller than the internal friction angle and is mainly determined by the mineral composition of the soil. Besides, based on the results of a series of tests, since the previous shear deformation destroyed the structural strength of the soil, the cohesion in the residual shear relationship can be taken to zero [40], thus enabling the failure envelope of sheared soil to be a line through the zero point.
Therefore, for the soil at a certain location:
- AB: Compression and shear occurred when the front track passed by, and the shear strength increased and finally stabilized at point B;
- BO: The front track left, and both normal stress and shear strength became zero;
- OC: The rear track went up to this position, and the residual shear strength increased and finally stabilized at point C. After the rear track left, it returned to the zero point.
From the above analysis, it is clear that zero cohesion of sheared soil also means that the soil becomes plastic after shear deformation. Consequently, the soil thrust generated by the rear track should not be calculated by Equation (3), but rather the J-H model needs to be used. As a result, a residual shear model can be obtained, as shown in Equations (19) and (20).
A modified empirical equation was obtained for the residual internal friction angle of the soil by fitting some selected experimental data based on the characteristics of the seafloor sediments [40], which is shown as follows:
where Ip is the plasticity index of the soil.
Accordingly, Nγ and Nc, which are related to the angle of internal friction, would also change. As a result, the passive soil pressure coefficients Kcr and Kγr can be calculated for the rutted soil based on the residual internal friction angle, which can be used to estimate the bulldozing resistance of the rear track in the rut.
Similarly, the parameters in the residual shear model were set according to Table 2. The relationship surface of the residual shear stress relating to the two parameters was obtained, as shown in Figure 14. Compared with Figure 7 and Figure 8, the residual shear stress is apparently lower.
Figure 14.
Relationship surface of residual shear stress relating to positive pressure and shear displacement in the J-H model.
2.3.3. Distance between Front and Rear Tracks
However, it is also worth noting that the rear tracks did not walk on the ruts left by the front tracks from the very beginning. There is a distance between the front end of the rear track and the rear end of the front track. Assuming that d is the longitudinal distance between tracks and L is the ground length of a single track. As a result, the travel of the rear track during the starting phase can be described as follows:
- When the travel distance was less than d, the ground interacting with the rear track was still undisturbed sediments;
- When the travel distance of the rear track was greater than d, the rear track gradually started to walk on the ruts. As shown in Figure 15, only part of the rear track entered the rut when the travel distance was still less than L + d. Thus, only part of the soil interacting with the rear track was rutted soil, while the other part was still relatively undisturbed sediments;
Figure 15. Schematic diagram of the process of the track entering the rut. - When the travel distance was greater than L + d, the rear track had completely entered the rut, and all that interacted with the rear track thereafter was rutted soil.
Taking this phenomenon into account, the final shear stress and soil thrust calculation equation for the rear track are demonstrated in Equations (22) and (23).
where xg is the global position of each contact patch on the track mesh. Since the zero point is at the center of the chassis, the contact patch can be regarded as having entered the rut when the position was greater than d/2.
Similarly, the estimation equation for soil-related resistance of rear tracks can be modified as follows:
where s is the travel distance of the mining vehicle, h is the sinking depth of the rear end of the rear track, z0 is the sinking depth of the track in undisturbed soil, and zr is the second compression depth of the rear track in ruts.
Since the parameters that can be used to calculate the resistance in the Expression of the software Recurdyn are the states of the model components. Therefore, the sinkage in the calculation equation is converted into the form expressed in h. The amount of sinkage h expressed in the software for the rear track should be the total amount of sinkage for the front and rear tracks, namely, the z1 in Figure 12b so that the amount of sinkage for the rear track can be expressed with the use of rs.
In summary, in the Recurdyn.USUB, the calculation equations for the track–soil force of the rear track were modified according to Equations (15), (16), (18) and (23), and the estimation equations for soil-related resistances to the rear track were modified in the model according to Equations (24)–(27). As a consequence, modifications of the soil-related resistance and soil thrust based on the multi-pass effect were achieved.
2.4. Velocity-Related Resistance Coefficient
The results of numerical simulation [41] concerning soil compression show that the pressure does not vary with increasing loading rate during the elastic phase (sinkage < 0.05 m). After the elastic phase, the loading rate and the normal pressure are positively correlated. Additionally, based on the results of another numerical simulation [42], the soil thrust obtained by the track plate during bulldozing is also positively related to the velocity.
Since the compaction resistance is directly related to the work performed by the normal pressure, the greater the travel velocity, the more work will be performed in unit time. Consequently, it can be approximately inferred that the values of the compaction resistance are directly proportional to the velocity. Furthermore, the equation of bulldozing resistance is derived from the passive soil pressure theory in the bulldozing process of the track plate. It can be inferred that the value of bulldozing resistance is also positively related to velocity. Therefore, a velocity-related coefficient was introduced into soil-related resistance estimation equations.
Based on the results of numerical simulations, the classical empirical equation for soil-related resistance was modified as shown in Equations (28)–(30). As a result, soil-related resistances can vary with the sinking depth and velocity during the travel.
where zd is the dividing point between the elastic phase and the transition phase, which is taken as 0.05 m, V0 is the base velocity, and CsV is the velocity-related coefficient for the estimation of soil-related resistances.
In addition, the internal resistance is closely associated with the energy consumed by friction and collision, which is also work-related. Therefore, it can be deduced that the value of the internal resistance is also positively related to the velocity. However, the internal resistance is a constant value, which is obviously contrary to the actual situation. As shown in Equation (31), the original internal resistance coefficient is modified to a new velocity-related empirical coefficient CiV. This makes the internal resistance vary with the travel velocity while not exceeding its maximum value, which is set as 8% of the self-weight.
2.5. Traction Force Calculation
By combining the abovementioned analysis, the calculation equation of net longitudinal traction force can be obtained as follows:
where αf and αr are, respectively, the pitch angles of the front and rear track.
In summary, the soil thrust and soil-related resistance can be generated by the Recurdyn.USUB. Additionally, the rest of the resistances were added to the model as external loads by means of the translation force in the software Recurdyn. Based on the multi-pass effect, the shear model used to calculate the soil thrust generated by the rear track was amended in Recurdyn.USUB and soil-related resistance of the rear track were modified in estimation equations. In addition, velocity-related coefficients were also added to calculation equations for internal resistance and estimation equations of soil-related resistances.
Detailed information on the parameters in each of the abovementioned resistance equations is shown in Table 2 and Table 3. The soil mechanical parameters of the sediments, such as kc, kφ, Kr, and Kw, were set with reference to the experiment results of simulated sediments [32]. Additionally, the soil physical properties of the sediments, such as γ, c, φ, and Ip, were set with reference to the test results of the seafloor sediments in the CCZ mining area [8,43].
Table 3.
Parameters of DSMV structure.
3. Simulation: Straight-Line Travel on Flat Ground
In the beginning, the bottom of the track grouser just contacted the ground, and the initial height of the mass center of the chassis was zero.
Since the DSMV moved by the rotation of the drive wheels to propel the tracks, the sprockets were used as the drive wheels, and the idlers were used as the driven wheels, so the driving mode of each track was rear-wheel drive. The velocity of the model was set as follows: From 0 to 1 s, the DSMV accelerated from zero to the designed velocity, and from 44 to 45 s, it decelerated to zero. The angular velocity of the driving wheels was defined using the STEP function.
In the software Recurdyn, the STEP function is an interpolation equation using a cubic polynomial linking two points. Since it is a smooth gradual curve, it can give the drive wheel a smooth velocity change process. The detailed angular velocity values can be calculated based on the pitch circle radius of the drive wheel, as shown in Table 4. Then, the model was given a design velocity to simulate straight-line travel.
Table 4.
Conditions of simulation.
The simulation-related parameters are listed in Table 4. Additionally, the simulation process is shown in Figure 11, where the red line represents the trace of the vehicle.
In addition, to investigate the rotatable design of the tracks for the DSMVs travel characteristics on flat ground, the model was modified to fix the tracks to the body. The other conditions were kept the same, and another travel simulation was also carried out.
3.1. Sinkage and Pitch Angle
Figure 16 and Figure 17, respectively, display the sinkage and pitch angle of the vehicle model. Due to the rotatable design of the track, the motion characteristics of the bow end and the stern end of the track were not identical. To investigate this difference, the driving and driven wheels are respectively used to represent the bow and stern ends of the track.
Figure 16.
Sinkage curves of different parts of DSMV.
Figure 17.
Pitch angle curves of the track and vehicle body.
3.1.1. Phases of Travel
According to the motion characteristics of the vehicle model, the whole travel process can be divided into the following phases: the starting phase, the fluctuation phase, the stabilization phase, and the deceleration phase. Additionally, the starting phase can be divided into the following two parts: initial sinkage and climbing.
At the beginning, the time period 0–3.7 s is called the starting phase.
- (1)
- Initial sinkage
To start with, the vehicle body and tracks sank rapidly from 0 to 0.35 s. As the track was already accelerating, the track sheared the sediment at the same time the DSMV was sinking due to gravity. Therefore, this was the result of a combination of the static sinking caused by gravity and the dynamic sinkage caused by the tracks shearing the sediment. However, because the velocity was still relatively low at the beginning, the DSMVs own weight should play a major role in this period. The sinkage during this period is called the “initial sinkage.”
As shown in Figure 18a,b, the period of initial sinkage consists of the following two parts:
Figure 18.
Schematic diagram of starting phase: (a) the first stage of initial sinkage, (b) the second stage of initial sinkage, (c) the first stage of the climbing phase (stern sinkage), and (d) the second stage of the climbing phase.
- First, the bow end and stern end of the track were sinking down together;
- Then, the position of the bow end of the track rose, while the position of the stern end of the track and vehicle body were still sinking.
Throughout the starting phase, the pitch angle of the track rose rapidly. This “track buckling” phenomenon is the result of the following two reasons:
- First, dynamic sinkage is the dominant reason. The shearing interaction caused the sediment beneath the track to be removed, thus increasing the sinkage. As shown in Figure 19, the shear displacement increased linearly along the ground surface from bow to stern. Therefore, the dynamic sinkage in the stern was significantly greater [44];
Figure 19. Schematic diagram of shear displacement under the track. - Additionally, successive compression also plays a role. For a certain location, the short passing time of a single-track plate is not sufficient to compress the soil completely. As a result, the ground at a certain location will be compressed more as the number of passing track plates increases. Then, the sediment underneath the rear end of the track is relatively more compressed, which leads to greater sinkage.
- (2)
- Climbing phase
Then, as shown in Figure 18c,d, because of the rise in vehicle height, the time period of 0.35–3.1 s is called the “climbing phase,” which consisted of the following two parts:
- First, during the period 0.35–1.35 s, the drive wheels continued to sink downwards while the vehicle body and driven wheel positions rose. This extra sinkage of the track’s stern end is called “stern sinkage,” which was nearly the same for the front and rear tracks. Meanwhile, the pitch angle of the track was still rising. The reason for this is that as the velocity of travel increased, the effect of dynamic sinkage and successive compression became more significant, resulting in the increasing height difference between the front and rear ends;
- Second, during the period of 1.35–3.1 s, the positions of all the parts of the vehicle model rose together. This was due to the pitch angle of the tracks, which enabled the DSMV to have an upward climbing posture. The rate of climbing gradually decreased, and eventually, the position of the vehicle body reached its maximum climb height at the end of this phase. At around 2.5 s, the pitch angle of both the vehicle body and tracks reached the maximum.
- (3)
- Fluctuation phase
After the starting phase, the time period 3.1–6.1 s is called the fluctuation phase. During this phase, there were more apparent and constant fluctuations in the sinking depth and pitch angle of the vehicle body. The sinking depth of the track’s front ends fluctuated quite apparently, while the sinkage of the rear track varied relatively smoothly.
- First, during the period 3.1–4.7 s, the vehicle’s position and pitch angle fluctuated continuously. The front ends of the tracks were all fluctuating strongly. Additionally, for the rear ends, the rear track was rising while the front track was falling. So, for the pitch angle, the rear track was decreasing while the front track was increasing;
- Second, there was a sudden change in vehicle position and pitch angle at 4.7 s, with the position dropping and the pitch angle rising. The front end of the track also changed abruptly, with the front track rising and the rear track falling. Subsequently, the sinkage and pitch angle of each component gradually stabilized.
It can be noted that there were strong fluctuations in the status of the mining vehicle throughout the fluctuation phase. This is due to the fact that both the traction and the soil-related resistance of the rear tracks were changed significantly as the rear tracks gradually drove into the ruts, leading to instability and reduced safety.
Apart from the fluctuation, another obvious characteristic is the pitch difference between the front and rear track.
The pitch angle of the rear track decreased for the following two main reasons:
- The rutted soil became less compressible;
- Weaker shear interactions lead to less dynamic sinkage of the rear track.
As more of the rear track entered the ruts, the traction generated by the rear tracks was reduced. In order for the vehicle model to travel at the designated velocity, more traction was required from the front tracks to compensate for this loss of traction. As a result, the front track had to shear the sediment harder, and the dynamic sinkage grew greater, thus leading to an increase in the pitch of the front track.
- (4)
- Stabilization phase
During the period of 6.1–44 s, the sinkage and pitch angles of the vehicle model no longer changed significantly, so this phase is called the stabilization phase.
- (5)
- Deceleration phase
From 44 to 45 s, the brake caused the DSMV position to fluctuate and then stay steady.
When braking, the track’s shear direction would turn opposite. Therefore, as opposed to the acceleration process, it is not the rear end of the track but the front end that had the greater shear displacement. During this period, a drop in the sinking depth of the vehicle body occurred, which resulted from the tracks shearing the sediment harder during the braking process to gain sufficient braking forces. The stronger shearing interaction would bring about a greater dynamic sinkage at the front of the tracks.
Therefore, the DSMV had a tendency to lean forward as a result of the brakes, and the pitch angles of both the vehicle and the tracks were reduced.
3.1.2. Detailed Sinkage of Different Components
Since the track had a slightly inverted trapezoidal shape, at the initial moment, the track plates under the drive and driven wheels were overhanging from the ground. While the sinkage curves in Figure 16 can only represent the height drops based on the initial position, as shown in Table 5, the detailed sinkage of the drive and driven wheels could be obtained by subtracting this overhang distance from the sinkage in Figure 16.
Table 5.
Detailed values of sinkage of components of the mining vehicle.
It can be noticed that the initial sinkage of the front track was slightly larger than that of the rear track. This is because the mining vehicle has a forward center of gravity and therefore tended to lean forward during the initial sinking, which is also reflected in Figure 17. The initial value of the body pitch angle was negative and could reach a maximum of −0.24°.
In addition, the stable sinkage of the rear track was deeper than that of the front track, which is displayed in Table 5. The difference in sinkage between the front and rear tracks would lead to a certain elevation angle of the vehicle body, as shown in Figure 17.
What is more, from Equation (35) and the related parameters, the static sinking depth of DSMV can be calculated as 28.74 cm, while the initial sinkage of the vehicle body was 28.87 cm, as shown in Figure 16 and Table 5, which was very close to each other with a relative error of 0.45%, thus proving the simulation calculation are reliable and realistic.
Additionally, as can be seen in Table 5, the average sinkage of the mining truck during the stabilization phase was 18.88 mm, which was much reduced compared to the previously calculated static sinkage. The reason for the static sinkage is due to the self-weight of the mining vehicle, but in essence, it is directly related to the support force provided by the soil. Considering the pitch angle of the track, a more accurate description would be that static sinkage is directly related to the vertical component of the soil support force. When the vertical component of the soil support force is less than the gravity due to the presence of other forces, then the static sinkage would decrease correspondingly.
As shown in Figure 10, during the stabilization phase, the vehicle is approximately balanced in the vertical direction, so the sum of the vertical component of the soil thrust and the support force should be equal to the gravity. Due to the increase in the track pitch angle in the starting phase, the vertical component of the soil thrust force increased gradually, and then the vertical component of the soil support force should decrease as a result. As a consequence, the required support force provided by the soil-track plate’s normal interaction force would be less than the gravity. Then, in the stabilization phase, the static sinkage would be less than the initial sinkage. The gradual reduction of the soil support force is also the essential reason for the climbing phase. In addition, since the acceleration required by the mining vehicle in the stabilization phase is lower than that in the starting phase, the dynamic sinkage is also reduced.
Therefore, given that the sinkage is considered the sum of static sinkage and dynamic sinkage, then it can be concluded that the sinkage of the mining vehicle in the stabilization phase is much smaller than that in the starting phase, which is also reflected in Table 5 and Figure 16. In other words, after the climbing phase, the sinking depth of the mining vehicle will be greatly reduced.
Furthermore, based on the fact that the sinkage in this study was the sinking depth of the end of the grouser, the entire range of sinking depths corresponding to the grousers was calculated, as shown in Table 5. It was this part of a range of depths that generated the soil thrust.
According to the in-situ tests conducted on the seafloor sediments from the CCZ mining area [45], 14–20 cm of the seafloor sediments had relatively good physical and mechanical properties with a relatively homogeneous shear strength and penetration resistance. So, they were considered suitable as the shear-bearing layer of the track.
Although the sinking depth of the grouser at the bow end of the track was quite shallow and the sinkage at the stern end of the grouser was a little deeper, it can be inferred from the average range of the grouser depths that most of the grousers fell in the shear-bearing layer. Therefore, the designed DSMV exhibited good dynamic performances from the perspective of sinkage.
Additionally, for safety considerations, the maximum sinking depth of the mining vehicle should not exceed the height of the chassis from the ground at the initial moment. If it does, not only will the chassis sink into the sediments, but the chassis will also suffer additional soil-related resistances. This can lead to a significant undermining of the dynamic performance of the mining vehicle and can even make the vehicle unable to move. The simulation results show that the maximum sinkage of the whole process was 307.11 mm, which is much less than the initial height of the chassis and left a sufficient margin of distance. Consequently, from this point of view, it can be deduced that the safety performance of this mining vehicle model is excellent.
3.1.3. Trend of Pitch Angle
Figure 17 demonstrates that the pitch angle of the front and rear tracks during stabilization was respectively 10.86° and 9.76°, and the maximum of both front and rear tracks was 11.31°. As shown in Figure 11 and Table 5, the large pitch angle of the tracks led to the front ends of the tracks buckling out of the ground. The maximum pitch angle of the vehicle body was 0.72°, and the pitch angle during stabilization was 0.50°. It can be inferred that even when the tracks had a large pitch angle, the vehicle body’s pitch angle was quite small.
As shown in Figure 17, after fixing the tracks to the chassis, the tracks and the body had the same pitch angle. As a comparison, although the pitch angle of the track was reduced, the maximum pitch angle of the vehicle body was increased from 0.72° to 2.6°, and in the stabilization phase, it increased from 0.50° to 2.11°. This represented a significant enlargement in instability and insecurity compared with rotatable tracks.
Therefore, it is clear from the comparison that this design of rotatable tracks consequently increased the track’s pitch angle but enabled the vehicle body to maintain a more stable posture, which is as shown in Figure 11, considerably enhanced the safety performance of the DSMV and would be beneficial for the normal functioning of equipment such as mineral collection devices inside the vehicle body.
However, Figure 17 reveals that the pitch angle of the vehicle body fluctuated more compared to a fixed track, although the degree of fluctuation was still within an acceptable range. Additionally, with fixed tracks, no forward pitch occurred during the starting phase. Hence, it can be deduced that the design of the rotatable tracks increased the freedom of the mining vehicle structure and consequently undermined the overall stability in order to enhance its dynamic performance on uneven ground.
Besides, the pitch angle and dynamic sinkage were closely related to the shear interaction of the tracks. Consequently, it can be inferred that the rotatable design of the tracks made the effect of dynamic sinkage more significant, and so did the effect of shear interaction. The difference in the shearing interaction of the tracks can be deduced from the difference in pitch angle as follows:
- During the deceleration phase, as demonstrated in Figure 16 and Figure 17, there was a fairly apparent drop in the sinking depth and pitch angle of the front ends of the front track, while the sinking depth and a pitch angle of the front ends of the rear track did not change significantly in comparison. It can be deduced that the front tracks contributed more braking force to the mining vehicle.
3.2. Resistance Force
3.2.1. Trend of Resistance
According to the equations for calculation and estimation of resistance added to the model, the trend of the resistances during the simulation is presented in Figure 20. Additionally, in the stabilization phase, the average values of each resistance are shown in Table 6.
Figure 20.
Variation curves of resistances with rotatable tracks.
Table 6.
Average value of resistance for two simulations.
During the 0–4.7 s period, all the resistances changed dramatically. During this period, the soil-related resistances and the following other two types of resistance showed different trends:
- The compaction resistance and the bulldozing resistance were zero until the track plate began to interact with the soil at 0.15 s. After that, they grew rapidly and reached maximum value of 1.35 s. This is due to the fact that the sinking depth of the track rapidly increased as the initial sinkage progressed. After reaching the maximum, both began a sharp decline. This is due to the fact that at 1.35 s, the stern sinkage had finished, and the sinkage of the tracks was reduced, as demonstrated in Figure 15. Apart from that, the rear track would enter the ruts at some time during the resistance-reduction period. As can be noted from the previous analysis, the part of the rear track that entered the ruts would be subject to less soil-related resistances;
- In addition to soil-related resistances, the trend of the water resistance and internal resistance was not identical. The two resistances increased with the increase in velocity. The rate of increase first increased and then decreased, and finally, the resistance values stabilized, which coincided with the increased rate of velocity. It is worth mentioning that for the water resistance, since the second power of the velocity parameter in the calculation equation and, according to Figure 21a, the velocity of the model at the beginning was quite low and grew slowly, thus leading to a very insignificant growth trend of resistance values at the beginning.
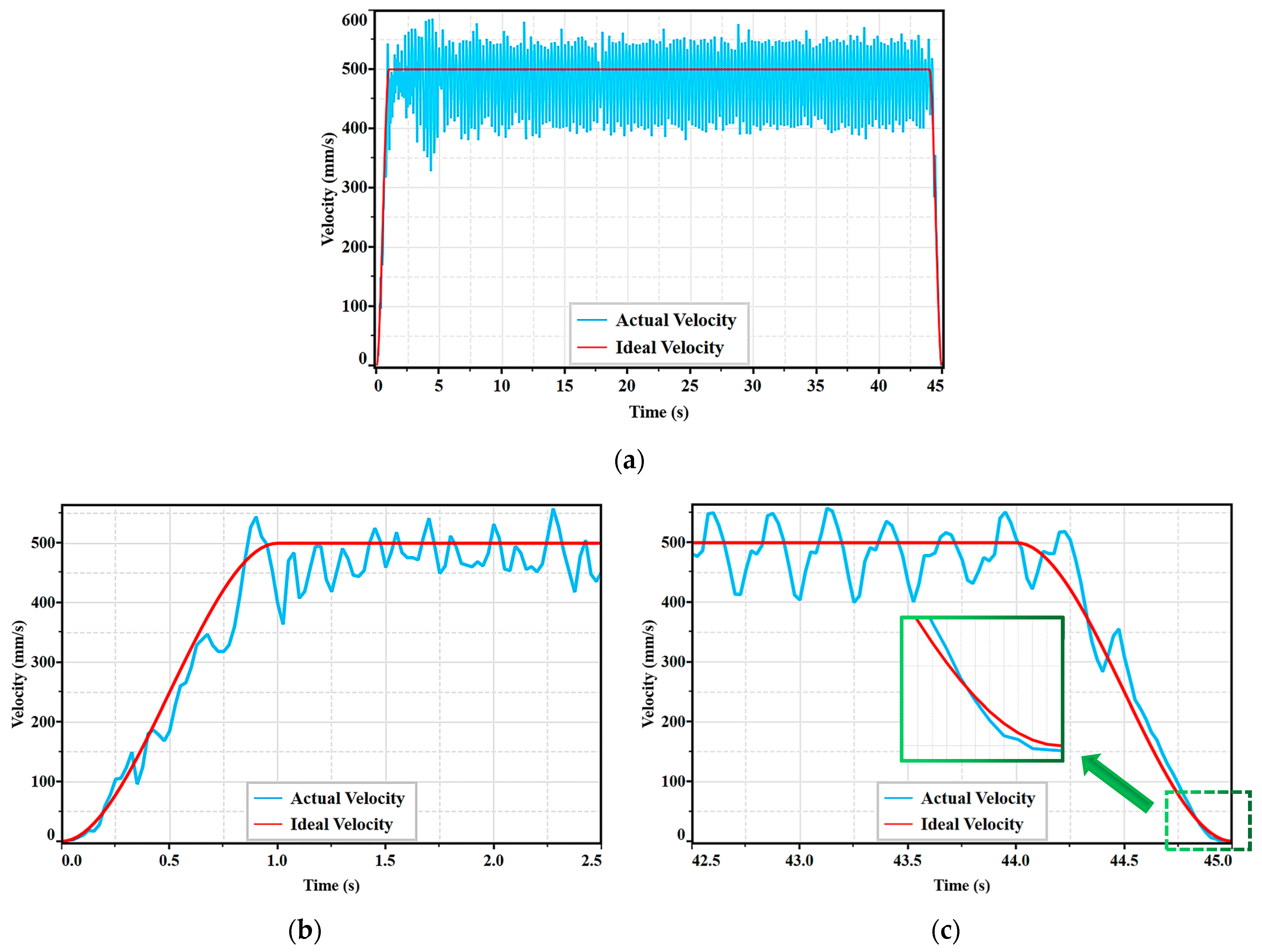
Figure 21.
Velocity curve: (a) actual and ideal velocities, (b) acceleration phase, and (c) deceleration phase.
At around 4.7 s, all resistance values fluctuated. This is owing to the fact that the motion of the mining vehicle would fluctuate just as the rear track was about to enter the rut completely, and likewise, its force conditions would also significantly change. Subsequently, after 5 s, the values of all resistance stabilized and slightly fluctuated with the velocity. Afterward, the values of all resistances gradually decreased to zero as the velocity decreased over the deceleration phase.
Moreover, the proportion of each resistance value to the total resistance is shown in Figure 22. It can be concluded that the soil-related resistance was most significant during the starting phase. Additionally, in the stabilization phase, soil-related resistance still played a major role, especially bulldozing resistance. As the value of the bulldozing resistance was the largest and fluctuated most dramatically, it was the most dominant resistance of the four and had the greatest impact on the dynamic performance of the DSMV. During the stabilization phase, the proportion of the soil-related resistance was reduced, while the internal resistance and the water resistance took up a larger proportion than before.
Figure 22.
Schematic diagram of the proportion of each resistance to the total resistance: (a) maximum value in the starting phase; (b) stabilization value in the stabilization phase.
3.2.2. Comparison with Fixed Track
Additionally, the resistance to the model with the tracks fixed to the vehicle body is shown in Figure 23. It can be observed that the trend of the resistance was generally consistent with the simulation results for the rotatable track but with slightly less fluctuation. The maximum and stabilization values of each resistance for both conditions are listed in Table 6.
Figure 23.
Variation curves of resistances in the simulation with fixed tracks.
It can be noticed that the water resistance and internal resistance for both two cases were approximately the same. However, the stabilization and maximum values of soil-related resistances to the rotatable tracks were much greater in comparison. This was because the increase in the pitch angle of the track thus led to an increase in the sinking depth of the track’s rear end, which in turn caused the track’s bulldozing height hB and rut depth zc to be greatly enlarged.
Consequently, it is crucial to limit the maximum angle of rotation of the tracks. If the degree of rotation is too much, it will lead to excessively high soil-related resistances. Higher resistances can result in heavier slippage, which can strongly reduce the dynamic and safety performance of the mining vehicle. Therefore, it is necessary to focus on determining the proper maximum angle at which the mining vehicle is subject to an acceptable level of soil-related resistance.
3.2.3. Difference between Front and Rear Track
The soil-related resistances to the front and rear tracks under the two conditions are presented in Figure 24 and Figure 25, respectively. As can be observed, there was a large difference in the resistance conditions suffered by the front and rear tracks. To investigate this difference, the average values of the two soil-related resistances and their sum are listed in Table 7.
Figure 24.
Variation curves of soil-related resistance to front and rear tracks with rotatable tracks.
Figure 25.
Variation curves of soil-related resistance to front and rear tracks in the simulation with fixed tracks.
Table 7.
Average value of resistance for two simulations.
It can be seen that during the stabilization phase, the front tracks were exposed to much higher soil-related resistance than the rear tracks, which was exactly the influence of the multi-pass effect.
Moreover, it can be noted that the rotatable design of the tracks aggravated this difference. For fixed tracks and rotatable tacks, the difference in the soil-related resistance between the two passes was, respectively, 85.46% and 93.80%, which also reflects the different levels of damage to the soil caused by the track in the two cases.
Based on the relevant experiment results [38], the resistance will decrease as the number of passes increases. Additionally, the resistance decreases most apparently between the first and second passes, and the difference maximum may exceed 50%. Solid terrestrial soils such as dry sand and tilled loam soil were used by the abovementioned tests. Considering the soft characteristics of seafloor sediments, the change in soil properties by the track passage should be more noticeable. Therefore, by comparing the level of resistance variation with the experiment results, it can be considered that the estimation of soil-related resistances in this study is reasonable and valid.
Furthermore, as can be seen in Figure 24 and Figure 25, for the front and rear tracks, the maximum values of soil-related resistances did not vary considerably, mainly owing to the rear tracks having not yet entered the ruts when the resistances reached their maximum values. The difference in the maximum values was caused by the different sinking depths of the front and rear tracks.
3.2.4. Comparison with Classical Equations
In the modeling process, the multi-pass effect and the relationship between force and velocity were taken into account to modify the classical model. To better understand what difference the above factors would make to the results of the simulation calculations, another simulation using only the classical model was carried out with the above two factors removed from the Recurdyn.USUB and resistance equations, the remaining conditions were kept unchanged. The comparison results are shown in Figure 26, Figure 27 and Figure 28.
Figure 26.
Comparison results for the estimation equation of the compaction resistance.
Figure 27.
Comparison results for the estimation equation of the internal resistance.
Figure 28.
Comparison results for the estimation equation of the bulldozing resistance.
It can be observed that for the front track, soil-related resistances in the stabilization phase obtained by the two models were essentially identical. However, after ignoring the multi-pass effect, since the rear track had a deeper sinkage than the front track, the soil-related resistance of the rear track would be much greater. It clearly violates the relevant experimental results [38], thus proving the classical model’s variance from the actual situation.
In addition, after disregarding the relationship between velocity and force, it can be seen that the degree of fluctuation of soil-related resistances becomes reduced. Moreover, the trend of the soil-related resistance value was exactly the same as that of the sinkage, and the resistance value only decreased slightly with the decrease in sinkage during the deceleration phase. Based on the previously mentioned simulation calculations [41,42], it is clear that this is not in accordance with the reality that soil forces are closely linked to velocity.
Furthermore, it can also be noticed that the values of the internal resistance during the stabilization phase obtained by the two models were almost the same. However, after neglecting the effect of velocity on the resistance, it can be found that there is a clear difference between the following two models: The internal resistance calculated by the classical equation was a constant value without any fluctuation during the whole simulation, and no change occurred even during the acceleration and deceleration phases, which was obviously different from the actual situation.
In general, after a comparative analysis of the resistance values obtained from the two models, it can be concluded that the resistance model proposed in this research is relatively more reasonable. To some degree, the modifications made to the classical model based on the multi-pass effect and the relationship between force and velocity can be accepted as believable and realistic.
Besides the above comparison, a traction model was proposed in the references [32,44] and validated by drawbar pull tests. The compaction resistance model in this traction model is the same as the one in this paper, while the bulldozing resistance model is not. The experimentally validated pushover resistance model is shown below.
The most significant difference between this equation and Equation (8) is that in this equation, the dynamic sinkage is expressed as a function related to the slip rate and grouser height, and then the bulldozing height zB is considered as the sum of static sinkage and dynamic sinkage. From the previous analysis, it is known that the stable sinking depth of the mining vehicle after the climbing phase is smaller than the initial sinkage. However, this method of sinkage calculation does not take this into account, and the calculated sinkage would always be larger than the initial sinkage. Consequently, it can be deduced that this method of sinkage calculation is relatively more suitable for the starting phase rather than the stabilization phase. As a result, the slip rate at 1.35 s was brought into the Equation (35), and the calculated results were compared with the maximum value of the resistance during the starting phase. The results are presented in Table 8.
Table 8.
Comparison of the bulldozing resistance.
According to the previous analysis, the climbing phase will reduce the sinkage of the mining vehicle, and the climbing phase has already started at 0.35 s, so the climbing phase has been carried out for a while at 1.35 s. Therefore, it is acceptable that the result obtained by Equation (35) is slightly larger.
Therefore, after another comparison with the experimentally validated resistance model, the estimation equation for soil-related resistance proposed in this study is further proved to be convincing and realistic.
3.3. Velocity and Slip
Since the velocity of the model was set by giving sprockets an angle velocity, the velocity control strategy in the model is to adapt the driving power to ensure that the angular velocity of the drive wheel matches the designed velocity so that the rotation velocity of the track plate around the drive wheel can therefore be guaranteed.
As displayed in Figure 21a, it can be noted that the actual travel velocity of the model fluctuated around the ideal velocity. The velocity variation trends during the acceleration and deceleration phases are respectively shown in Figure 21b,c. It can be known that the velocity in the acceleration phase was less than the ideal velocity, while in the deceleration phase, it was overall greater than the ideal velocity. What is more, during the designed velocity stabilization phase (1–44 s), the average value of actual travel velocity was 481.92 mm/s, which was less than the ideal velocity of 500 mm/s.
These velocity deviations were the result of track slippage. As the DSMV moved forward, the tracks generated forward soil thrust by shearing the sediments backward. As the seafloor sediment was very soft, the sheared sediment would deform itself while undergoing shearing. This deformation would cause a difference between the shear displacement of the track and the actual distance traveled by the DSMV. As a result, the ensured velocity of track shearing the sediments would not ensure the actual travel velocity of the vehicle, which was less than the track rotation velocity.
The equation for calculating the slip rate is shown as follows:
where is the ideal velocity of the track, namely, the track plate rolling linear velocity, and is the actual travel velocity of the mining vehicle.
Besides, the actual travel velocity of the vehicle model did not stabilize after 1 s as the ideal velocity was set, but the actual velocity fluctuated quite sharply above and below the set velocity during 1–5 s. According to the abovementioned analyzation, this was attributed to the forces and posture of the vehicle model varying significantly before 5 s, resulting in increased slippage, as demonstrated in Figure 29. After 5 s, the posture and forces stabilized, and so did the velocity and slippage.
Figure 29.
Slip rate curve.
The average slip rates for each period are shown in Table 9. As Figure 29 demonstrates, the DSMV slipped quite severely when it initially started moving, after which the slippage rate gradually decreased and stabilized at around 5 s. After 5 s, the slip rate still stabilized and remained around a relatively low level.
Table 9.
Average slip rate at different phases.
During the acceleration phase, the mining vehicle would need a high level of acceleration. To overcome the effects of the resistance and obtain the required velocity and acceleration, the tracks would need to generate a high level of soil thrust. Consequently, the tracks would shear the soil much harder during this period, resulting in a higher slip rate.
The reason why the slip rate in the deceleration phase was negative is that during this period, the tracks were still moving, but their velocity was less than that of the DSMV, so the direction of slip was the same as the direction of movement of the DSMV. To generate sufficient deceleration, the track sheared the sediment forward, providing the DSMV not with traction but with a braking force.
As shown in Figure 21c, at the last moment of braking (44.89–45 s), the velocity became negative, and the slip rate increased positively consequently. This was because the tendency of the body to lean forward during braking caused the tension springs in the track’s front end to compress and absorb energy. When the braking was over, the braking force which used to compress the springs before disappeared, and the springs extended, releasing energy and causing the body to lean backward slightly.
Additionally, there was slightly less slippage during the deceleration phase than the acceleration phase, as the resistance also provided a proportion of the braking force during deceleration. As a result, the braking force required from the tracks was consequently decreased, thus slightly reducing the slip rate.
4. Conclusions
In this paper, the dynamic characteristics and motion features of a four-tracked mining vehicle model during its straight-line travel on the flat ground were mainly studied. A specially designed SMS DSMV was used to conduct multi-body dynamics modeling in the software Recurdyn, with accurate modeling of the vehicle’s structure and dimensions.
In addition, after modifying the classical resistance model based on the multi-pass effect and the relationship between force and velocity, applying the water resistance and the internal resistance to the model, and amending the track–soil force calculation equations in Recurdyn.USUB, the model’s force conditions were also modeled as realistic as possible.
On the basis of this model, DSMV straight-line travel simulation and another simulation with tracks fixed were performed together. Analyzing the simulation results revealed the following:
- (1)
- In this paper, a new resistance model and a new track–soil force calculation model for the four-tracked DSMV were found by modifying the classical model based on multi-pass effects and the force-velocity relationship. After comparing the resistance, respectively, calculated by the new model and the classical model, it is possible to conclude that the modifications made to the classical resistance model can be deemed as relatively realistic. In addition, the reliability of the proposed resistance estimation model was further supported by another comparison with an experimentally validated model. However, since the models proposed in this paper were empirical equations summarized based on the results of previous research findings, more specific experimental studies on multi-pass effects and the relationship between force and velocity need to be carried out in the future;
- (2)
- The tracks slipped more during acceleration and deceleration to generate sufficient soil thrust. During the braking phase, the resistance also provided some of the braking force, so there was slightly less slippage than in the starting phase. For mining vehicles, the starting phase can be challenging already. Because the tracks must generate sufficient acceleration while overcoming resistance, slippage can be quite severe. Plus, there was a high level of soil-related resistances during the starting phase, which can further worsen slippage. Meanwhile, the sinkage during the starting phase was high and could be prone to dangerous situations. Therefore, the safety performance of the starting phase should be a key concern;
- (3)
- The entire travel process can be divided into the following phases from the perspective of sinkage and pitch angle: initial sinkage, climbing, fluctuation, stabilization, and deceleration. As the travel began, the position of the DSMV dropped rapidly at first and then gradually increased. After reaching the maximum climbing height, the sinkage gradually stabilized at a certain depth after a period of fluctuation. As a result, the stable sinkage of the mining vehicle will be significantly reduced compared to the initial sinkage. Then the braking phase began, and the sinkage of the vehicle deepened to a certain extent;
- (4)
- In the starting phase, the maximum sinking depth was less than the height of the chassis from the ground at the beginning, thus proving the satisfactory safety performance of this mining vehicle. Furthermore, during the stabilization phase, the sinkage of the entire grouser basically fell within the range of 14–20 cm, which was the section of the sediment that was suitable as a shear-bearing layer. Therefore, the dynamics of the DSMV were excellent from the point of view of the sinking depth;
- (5)
- Based on the multi-pass effect, the change in the characteristics of the rutted soil would result in the rear track generating much less traction and being exposed to much less soil-related resistances after entering the rut. The soil-related resistances of the rear tracks are reduced, respectively, by 85.46% and 93.80% for the fixed and rotatable tracks compared to the front tracks. This result is also consistent with the relevant experimental data, considering the soft characteristics of the seafloor sediment. Additionally, according to the estimation results, it can be seen that the bulldozing resistance is the most significant one among the four resistances in the entire travel process;
- (6)
- During the progression of the rear tracks into the ruts, the pitch angle of the front tracks increased, and that of the rear tracks decreased. This is because the shear force generated by the rear track was reduced so the front track must compensate for the reduced traction of the rear track. During this period, there were also some fluctuations in the posture, sinkage, and velocity. Once the rear track was fully in the rut, the mining vehicle’s force situation would gradually enter a stabilization phase;
- (7)
- The track’s stern end had a higher dynamic sinkage than the bow end. What is more, as track plates successively passed, the sediment under the rear end of the track was relatively more compressed, and the sinkage would have been larger. As a result, the track maintained a pitch angle while traveling. The tracks’ pitch angle was greater than that of the vehicle body because tracks were designed to be rotatable to enhance the mobility in uneven terrain. This design allows the effect of shear interaction and dynamic sinkage to be more obvious. It is known by observing the difference in dynamic sinkage that during the stabilization phase, the front track generated more traction than the rear track, and during the braking phase, the front track generated more braking force;
- (8)
- Compared to fixed tracks, in the conditions of straight travel on flat ground, the design of rotatable tracks significantly reduced the pitch angle of the vehicle, improving the working conditions of the mining equipment and enhancing the safety performance. However, the increased structural freedom of the mining vehicle undermined the internal structural stability, as the price of improved flexibility and adaptability. Moreover, this design could lead to an increase in the pitch angle of the track and higher sinkage of the rear ends of the track, increasing the soil-related resistances and reducing the traction performance. Therefore, the maximum angle of rotation of the tracks must be limited, and this maximum value must be designed appropriately. As a result, terrain adaptation and safety performance can be strengthened without too much loss of traction.
Author Contributions
M.X.: Conceptualization; methodology; software; validation; formal analysis; resources; data curation; writing—original draft; writing—review and editing; supervision, project administration; funding acquisition. H.L.: Software; validation; formal analysis; data curation; writing—original draft; visualization. J.Y.: Methodology; software; validation; investigation; visualization; writing—review and editing. P.S.: Software; validation; writing—review and editing. All authors have read and agreed to the published version of the manuscript.
Funding
This study was supported by the State Key Laboratory of Ocean Engineering. This work was also supported by Project of Sanya Yazhou Bay Science and Technology City (SCKJ-JYRC-2022-39), the Science and Technology Committee of Shanghai Municipality (19DZ1207300), Major Projects of Strategic Emerging Industries in Shanghai, and Natural Science Foundation of Hainan Province (520LH015).
Informed Consent Statement
Informed consent was obtained from all subjects involved in the study.
Data Availability Statement
The data presented in this study are available on request from the corresponding author.
Acknowledgments
The authors would like to thank the anonymous reviewers for their constructive suggestions which comprehensively improve the quality of the paper.
Conflicts of Interest
The authors declare no conflict of interest.
References
- Sharma, R.; Smith, S. Deep-Sea Mining and the Environment: An Introduction. In Environmental Issues of Deep-Sea Mining; Springer: Berlin/Heidelberg, Germany, 2019; pp. 3–22. [Google Scholar]
- Sharma, R. Approach Towards Deep-Sea Mining: Current Status and Future Prospects. In Perspectives on Deep-Sea Mining: Sustainability, Technology, Environmental Policy and Management; Sharma, R., Ed.; Springer International Publishing: Cham, Switzerland, 2022; pp. 13–51. [Google Scholar]
- Kung, A.; Svobodova, K.; Lèbre, E.; Valenta, R.; Kemp, D.; Owen, J.R. Governing deep sea mining in the face of uncertainty. J. Environ. Manag. 2021, 279, 111593. [Google Scholar] [CrossRef]
- Lodge, M.W.; Segerson, K.; Squires, D. Sharing and preserving the resources in the deep sea: Challenges for the international seabed authority. Int. J. Mar. Coast. Law 2017, 32, 427–457. [Google Scholar] [CrossRef]
- Kang, Y.; Liu, S. The development history and latest progress of deep-sea polymetallic nodule mining technology. Minerals 2021, 11, 1132. [Google Scholar] [CrossRef]
- Leng, D.; Shao, S.; Xie, Y.; Wang, H.; Liu, G. A brief review of recent progress on deep sea mining vehicle. Ocean Eng. 2021, 228, 108565. [Google Scholar] [CrossRef]
- Sun, P.; Lu, H.; Yang, J.; Liu, M.; Li, S. Numerical Simulation of Multi-Parameter Interaction Between Track Plate of Deep-Sea Mining Vehicle and Seabed Sediments. In Proceedings of the 32nd International Ocean and Polar Engineering Conference, Shanghai, China, 5–10 June 2022. [Google Scholar]
- Song, L. The physical properties of surface sediments in oceanic polymetallic nodule. Acta Oceanol. Sin. 1999, 6, 47–54. [Google Scholar]
- Kim, H.-W.; Hong, S.; Choi, J.-S.; Lee, T.H. An experimental study on tractive performance of tracked vehicle on cohesive soft soil. In Proceedings of the Fifth ISOPE Ocean Mining Symposium, Tsukuba, Japan, 15–19 September 2003. [Google Scholar]
- Schulte, E.; Schwarz, W. Simulation of tracked vehicle performance on deep sea soil based on soil mechanical laboratory measurements in bentonite soil. In Proceedings of the Eighth ISOPE Ocean Mining Symposium, Chennai, India, 20–24 September 2009. [Google Scholar]
- Dai, Y.; Zhu, X.; Chen, L.; Liu, H.; Zhang, T.; Liu, S. A new multi-body dynamic model for seafloor miner and its trafficability evaluation. Int. J. Simul. Model. 2015, 14, 732–743. [Google Scholar] [CrossRef]
- Baek, S.-H.; Shin, G.-B.; Chung, C.-K. Experimental study on the soil thrust of underwater tracked vehicles moving on the clay seafloor. Appl. Ocean Res. 2019, 86, 117–127. [Google Scholar] [CrossRef]
- Li, L.; Jue, Z. Research of China’s Pilot-miner In the Mining System of Poly-metallic Nodule. In Proceedings of the Sixth ISOPE Ocean Mining Symposium, Changsha, China, 9–13 October 2005. [Google Scholar]
- Lee, C.-H.; Kim, H.-W.; Hong, S.; Kim, S.-M. A study on the driving performance of a tracked vehicle on an inclined plane according to the position of buoyancy. In Proceedings of the Ninth ISOPE Ocean Mining Symposium, Maui, HI, USA, 19–24 June 2011. [Google Scholar]
- Dai, Y.; Su, Q.; Zhang, Y. A new dynamic model and trajectory tracking control strategy for deep ocean mining vehicle. Ocean Eng. 2020, 216, 108162. [Google Scholar] [CrossRef]
- Kim, H.-W.; Hong, S.; Choi, J.-S. Comparative study on tracked vehicle dynamics on soft soil: Single-body dynamics vs. multi-body dynamics. In Proceedings of the Fifth ISOPE Ocean Mining Symposium, Tsukuba, Japan, 15–19 September 2003. [Google Scholar]
- Morgan, N.; Cathie, D.; Pyrah, J.; Steward, J. Tracked subsea trencher mobility and operation in soft clays. In Proceedings of the The Seventeenth International Offshore and Polar Engineering Conference, Lisbon, Portugal, 1–6 July 2007. [Google Scholar]
- Katsui, T.; Murakami, H.; Kajikawa, S.; Inoue, T. Moving performance of crawler driven ROV on the inclined sea bottom. In Proceedings of the International Conference on Offshore Mechanics and Arctic Engineering, Lisbon, Portugal, 1–6 July 2010; pp. 41–47. [Google Scholar]
- Dai, Y.; Yin, W.; Ma, F. Nonlinear multi-body dynamic modeling and coordinated motion control simulation of deep-sea mining system. IEEE Access 2019, 7, 86242–86251. [Google Scholar] [CrossRef]
- Edwin, P.; Shankar, K.; Kannan, K. Soft soil track interaction modeling in single rigid body tracked vehicle models. J. Terramechanics 2018, 77, 1–14. [Google Scholar] [CrossRef]
- Kawano, S.; Furuya, H. Mining and Processing of Seafloor Massive Sulfides: Experiences and Challenges. In Perspectives on Deep-Sea Mining: Sustainability, Technology, Environmental Policy and Management; Sharma, R., Ed.; Springer International Publishing: Cham, Switzerland, 2022; pp. 167–197. [Google Scholar]
- Usui, A.; Suzuki, K. Geological Characterization of Ferromanganese Crust Deposits in the NW Pacific Seamounts for Prudent Deep-Sea Mining. In Perspectives on Deep-Sea Mining: Sustainability, Technology, Environmental Policy and Management; Sharma, R., Ed.; Springer International Publishing: Cham, Switzerland, 2022; pp. 81–113. [Google Scholar]
- Bruyne, K.D.; Stoffers, H.; Flamen, S.; Beuf, H.D.; Taymans, C.; Smith, S.; Nijen, K.V. A precautionary approach to developing nodule collector technology. In Perspectives on Deep-Sea Mining; Springer: Berlin/Heidelberg, Germany, 2022; pp. 137–165. [Google Scholar]
- Miller, K.A.; Thompson, K.F.; Johnston, P.; Santillo, D. An overview of seabed mining including the current state of development, environmental impacts, and knowledge gaps. Front. Mar. Sci. 2018, 4, 418. [Google Scholar] [CrossRef]
- Liu, W. Research and Design of Four-Tracked Cobalt Crust Mining Vehicle Chassis for Cobalt Crusts in the Deep Sea; Changsha Institude of Mining Research: Changsha, China, 2018. [Google Scholar]
- Kim, H.-W.; Hong, S.; Lee, C.-H.; Choi, J.; Yeu, T.-K.; Kim, S.-M. Dynamic analysis of an articulated tracked vehicle on undulating and inclined ground. In Proceedings of the Ninth ISOPE Ocean Mining Symposium, Maui, HI, USA, 19–24 June 2011. [Google Scholar]
- Kim, H.-W.; Lee, C.-H.; Hong, S.; Oh, J.-W.; Min, C.-H.; Yeu, T.-K.; Choi, J. Dynamic analysis of a tracked vehicle based on a subsystem synthesis method. In Proceedings of the Tenth ISOPE Ocean Mining and Gas Hydrates Symposium, Szczecin, Poland, 22–26 September 2013. [Google Scholar]
- Xu, Z.; Liu, Y.; Yang, G.; Xia, J.; Dou, Z.; Meng, Q.; Xu, X. Research on contact model of track-soft sediment and traction performance of four-tracked seabed mining vehicle. Ocean Eng. 2022, 259, 111902. [Google Scholar] [CrossRef]
- Bekker, M.G. Introduction to Terrain-Vehicle Systems. Part I: The Terrain. Part II: The Vehicle; University of Michigan: Ann Arbor, MI, USA, 1969. [Google Scholar]
- Janosi, Z. The Analytical Determination of Drawbar Pull as a Function of Slip for Tracked Vehicles in Defarmable Soils. Proceedings of the International Society for Terrain-Vehicle Systems the 1st International Conference of ISTVS, Torino-Saint Vincent, Italy, 12–16 June 1961. Available online: https://ci.nii.ac.jp/ncid/BB0562643X?l=en (accessed on 22 February 2023).
- Wong, J.; Garber, M.; Preston-Thomas, J. Theoretical prediction and experimental substantiation of the ground pressure distribution and tractive performance of tracked vehicles. Proc. Inst. Mech. Eng. Part D Transp. Eng. 1984, 198, 265–285. [Google Scholar] [CrossRef]
- Wang, M.; Wu, C.; Ge, T.; Gu, Z.M.; Sun, Y.H. Modeling, calibration and validation of tractive performance for seafloor tracked trencher. J. Terramechanics 2016, 66, 13–25. [Google Scholar] [CrossRef]
- Merritt, H. Some considerations influencing the design of high-speed track-vehicles. Proc. Inst. Automob. Eng. 1939, 33, 398–430. [Google Scholar] [CrossRef]
- Dai, Y.; Xue, C.; Su, Q. An integrated dynamic model and optimized fuzzy controller for path tracking of deep-sea mining vehicle. J. Mar. Sci. Eng. 2021, 9, 249. [Google Scholar] [CrossRef]
- Varshney, N.; Janarthanan, C.; Muthuvel, P.; Ramesh, N.; Deepak, C.; Atmanand, M. Virtual modelling and navigation controls of underwater mining machine. In Proceedings of the 2013 Ocean Electronics (SYMPOL), Kochi, India, 23–25 October 2013; pp. 202–207. [Google Scholar]
- Wong, J. Terramechanics and Off-Road Vehicle Engineering; Terrain Behavior, off-Road Vehicle Performance and Design; Elsevier: Amsterdam, The Netherlands, 2010; pp. 129–149. [Google Scholar]
- Janarthanan, C.; Kuttikrishnan, G.; Sundaramoorthi, V.; Chandran, V.; Ramadass, G.A. Deep Sea Soil Sinkage Simulation and Experimental Studies for Development of Deep Water Mining Machine. Mar. Technol. Soc. J. 2022, 56, 72–82. [Google Scholar] [CrossRef]
- Lyasko, M. Multi-pass effect on off-road vehicle tractive performance. J. Terramechanics 2010, 47, 275–294. [Google Scholar] [CrossRef]
- Li, G. Advanced Soil Mechanics; Tsinghua University Press: Beijing, China, 2004. [Google Scholar]
- Knappett, J. Craig’s Soil Mechanics; Spon Press: London, UK, 2012; Volume 8. [Google Scholar]
- Sun, P.; Lu, H.; Yang, J.; Deng, L.; Liu, M.; Li, S. Numerical Study on Multiple Parameters of Sinkage Simulation between the Track Plate of the Deep-Sea Mining Vehicle and the Seafloor Soil. J. Mar. Sci. Eng. 2022, 10, 1680. [Google Scholar] [CrossRef]
- Sun, P.; Lu, H.; Yang, J.; Liu, M.; Li, S.; Zhang, B. Numerical study on shear interaction between the track plate of deep-sea mining vehicle and the seafloor sediment based on CEL method. Ocean Eng. 2022, 266, 112785. [Google Scholar] [CrossRef]
- Ma, W.-B.; Rao, Q.-H.; Li, P.; Guo, S.-C.; Feng, K. Shear creep parameters of simulative soil for deep-sea sediment. J. Cent. South Univ. 2014, 21, 4682–4689. [Google Scholar] [CrossRef]
- Wang, M.; Wang, X.; Sun, Y.; Gu, Z. Tractive performance evaluation of seafloor tracked trencher based on laboratory mechanical measurements. Int. J. Nav. Archit. Ocean Eng. 2016, 8, 177–187. [Google Scholar] [CrossRef]
- Wu, H.; Chen, X.; Gao, Y.; He, J.; Liu, S. In-situ shearing strength and penetration resistance testing of soft seabed sediments in western mining area. J. Cent. South Univ. 2010, 41, 1801–1806. [Google Scholar]
Disclaimer/Publisher’s Note: The statements, opinions and data contained in all publications are solely those of the individual author(s) and contributor(s) and not of MDPI and/or the editor(s). MDPI and/or the editor(s) disclaim responsibility for any injury to people or property resulting from any ideas, methods, instructions or products referred to in the content. |
© 2023 by the authors. Licensee MDPI, Basel, Switzerland. This article is an open access article distributed under the terms and conditions of the Creative Commons Attribution (CC BY) license (https://creativecommons.org/licenses/by/4.0/).




























