Integrated Model for Wave-Induced Oscillatory and Residual Soil Response in a Poro-Elastic Seabed: Partially Dynamic Model
Abstract
1. Introduction
- First, a new model for wave-induced residual pore pressure based on approximation will be proposed, in which the acceleration of soil particles will be included in the model for residual mechanism.
- Second, the oscillatory and residual mechanisms will be coupled, in which both mechanisms will affect each other. Furthermore, this study will clarify when individual mechanisms will dominate the development of pore pressure.
2. Theoretical Model
2.1. Partially Dynamic () Oscillatory Seabed Model
2.2. Partially Dynamic () Residual Seabed Model
2.3. Boundary Conditions
2.4. Integrated Process of Two Mechanisms
- (1)
- (2)
- The residual pore pressure for the first wave cycle () is determined by solving (18).
- (3)
- In the next wave cycle, substituting , into (5)–(9), we can determine the oscillatory soil response in the second wave cycle (), and obtain the maximum shear stress and source term for the second wave cycle. Then, the residual pore pressure for the second wave cycle () can be determined using (18). This will integrate both oscillatory and residual mechanisms.
- (4)
- Repeating the above procedure for the following wave cycles by replacing and with and .
3. Mesh Convergence
4. Model Validation
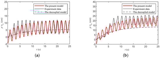
4.1. Validation #1: Comparison with Wave Flume Tests [15]
4.2. Validation #2: Comparison with Centrifugal Test [33]
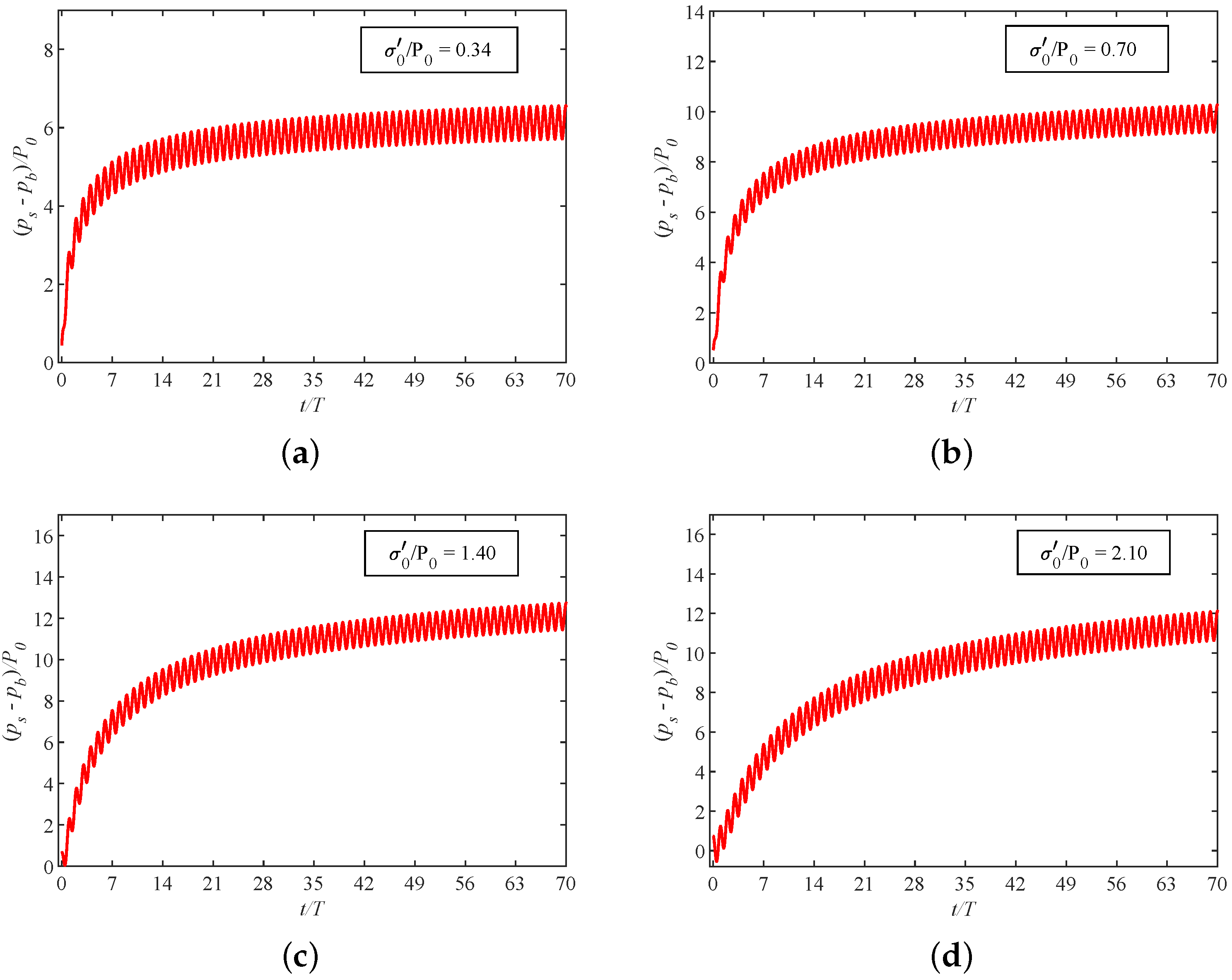
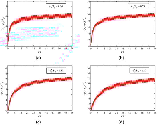
5. Results and Discussions
5.1. Cases Considered in Numerical Examples
5.2. Liquefaction Criterion
5.3. Momentary Liquefaction and Residual Liquefaction
6. Conclusions
- (1)
- In the case of oscillatory-dominant soil response (Case 1), the development of pore pressure is greatly affected by the oscillatory part of pore pressure. The maximum value of total pore pressure appears after 30 cycles of wave loading. Compared with the residual-dominant cases, the pore pressure growth rate is relatively slow. Resulting from the residual-dominant cases (Case 2), the development of pore pressure is greatly affected by residual pore pressure but less by oscillatory pore pressure. The pore pressure reaches the peak after 70 cyclic loading cycles, and the pore pressure increases rapidly.
- (2)
- The maximum liquefaction depth of the oscillatory-dominant liquefaction zone (Case 1) is relatively stable and will not change significantly with the wave cycle, while the development of the residual-dominant liquefaction depth (Case 2) is rapid, resulting in a large liquefaction range. The initial loading process of pore pressure cumulative liquefaction under the coupling mechanism (Case 3) is similar to that under the oscillatory mechanism. The maximum liquefaction trend of the coupling mechanism is similar to that under the residual mechanism, and the maximum liquefaction depth is between the two mechanisms.
- (3)
- Using the concept of accumulative ratio (), the development trend of accumulative pore pressure is clarified. When approaches 1.0, residual pore pressure and oscillatory pore pressure play an equally important role. It may be an important feature for analysing the applications of coupling or decoupled models.
Author Contributions
Funding
Institutional Review Board Statement
Informed Consent Statement
Data Availability Statement
Conflicts of Interest
References
- Sumer, B.M. Liquefaction around Marine Structures; World Scientific: Singapore, 2014. [Google Scholar] [CrossRef]
- Ye, J.; Shan, J.; Zhou, H.; Yan, N. Numerical modelling of the wave interaction with revetment breakwater built on reclaimed coral reef islands in the South China Sea—Experimental verification. Ocean Eng. 2021, 235, 109325. [Google Scholar] [CrossRef]
- Zen, K.; Yamazaki, H. Mechanism of wave-induced liquefaction and densification in seabed. Soils Found. 1990, 30, 90–104. [Google Scholar] [CrossRef] [PubMed]
- Sumer, B.M.; Fredsøe, J. The Mechanics of Scour in the Marine Environment; World Scientific: Singapore, 2002. [Google Scholar] [CrossRef]
- Jeng, D.S. Porous Models for Wave-Seabed Interaction; Springer: Berlin/Heidelberg, Germany, 2012. [Google Scholar] [CrossRef]
- Yamamoto, T.; Koning, H.; Sellmeijer, H.; Hijum, E.V. On the response of a poro-elastic bed to water waves. J. Fluid Mech. 1978, 87, 193–206. [Google Scholar] [CrossRef]
- Hsu, J.R.C.; Jeng, D.S. Wave-induced soil response in an unsaturated anisotropic seabed of finite thickness. Int. J. Numer. Anal. Methods Geomech. 1994, 18, 785–807. [Google Scholar] [CrossRef]
- Li, C.; Gao, F.; Yang, L. Breaking-wave induced transient pore pressure in a sandy seabed: Flume modeling and observations. J. Mar. Sci. Eng. 2021, 9, 160. [Google Scholar] [CrossRef]
- Yang, L.J.; Qi, W.; Li, Y.; Gao, F.P. Wave-current coupling effects on the variation modes of pore pressure response in a sandy seabed: Physical modeling and explicit approximations. J. Geophys. Res. Ocean. 2023, 128, e2022JC019158. [Google Scholar] [CrossRef]
- Wang, N.; Qi, W.; Gao, F. Predicting the instability trajectory of an obliquely loaded pipeline on a clayey seabed. J. Mar. Sci. Eng. 2022, 10, 299. [Google Scholar] [CrossRef]
- Yang, L.J.; Gao, F.P.; Li, C.F. Combined nonlinear wave and current induced instantaneously-liquefied soil depth in a non-cohesive seabed. Coast. Eng. 2023, 179, 104229. [Google Scholar] [CrossRef]
- Tong, L.; Liu, P.L.F. Transient wave-induced pore-water-pressure and soil responses in a shallow unsaturated poroelastic seabed. J. Fluid Mech. 2022, 938, A36. [Google Scholar] [CrossRef]
- Seed, H.B.; Rahman, M.S. Wave-induced pore pressure in relation to ocean floor stability of cohesionless soils. Mar. Geotechnol. 1978, 3, 123–150. [Google Scholar] [CrossRef]
- Jeng, D.S.; Seymour, B.R.; Gao, F.; Wu, Y.X. Ocean waves propagating over a porous seabed: Residual and oscillatory mechanisms. Sci. China Ser. E Technol. Sci. 2007, 50, 81–89. [Google Scholar] [CrossRef]
- Sumer, B.M.; Kirca, V.S.O.; Fredsøe, J. Experimental Validation of a Mathematical Model for Seabed Liquefaction Under Waves. Int. J. Offshore Polar Eng. 2012, 22, 133–141. [Google Scholar]
- Jeng, D.S.; Zhao, H.Y. Two-dimensional model for accumulation of pore pressure in marine sediments. J. Waterw. Port Coastal Ocean Eng. ASCE 2015, 141, 04014042. [Google Scholar] [CrossRef]
- Ye, J.; Yu, D. ABAQUS–OlaFlow integrated numerical model for fluid–seabed–structure interaction. Mar. Struct. 2021, 78, 103016. [Google Scholar] [CrossRef]
- Shanmugasundaram, R.K.; Rusche, H.; Windt, C.; Kirca, V.; Sumer, B.M.; Goseberg, N. Towards the numerical modelling of residual seabed liquefaction using OpenFOAM. OpenFOAM J. 2021, 2, 94–115. [Google Scholar] [CrossRef]
- Jeng, D.S.; Cha, D. Effects of dynamic soil behavior and wave non-linearity on the wave-induced pore pressure and effective stresses in porous seabed. Ocean Eng. 2003, 30, 2065–2089. [Google Scholar] [CrossRef]
- Ulker, M.B.C.; Rahman, M.S.; Jeng, D.S. Wave-induced response of seabed: Various formulations and their applicability. Appl. Ocean Res. 2009, 31, 12–24. [Google Scholar] [CrossRef]
- Biot, M.A. Theory of propagation of elastic waves in a fluidsaturated porous solid, Part I: Low frequency range. J. Acoust. Soc. Am. 1956, 28, 168–177. [Google Scholar] [CrossRef]
- Zienkiewicz, O.C.; Chang, C.T.; Bettess, P. Drained, undrained, consolidating and dynamic behaviour assumptions in soils. Géotechnique 1980, 30, 385–395. [Google Scholar] [CrossRef]
- Jeng, D.S.; Rahman, M.; Lee, T. Effects of inertia forces on wave-induced seabed response. Int. J. Offshore Polar Eng. 1999, 9, 207–313. [Google Scholar]
- Wang, R.; Zhang, J.M.; Wang, G. A unified plasticity model for large post-liquefaction shear deformation of sand. Comput. Geotech. 2014, 59, 54–66. [Google Scholar] [CrossRef]
- Ye, J.; Wang, G. Seismic dynamics of offshore breakwater on liquefiable seabed foundation. Soil Dyn. Earthq. Eng. 2015, 76, 86–99. [Google Scholar] [CrossRef]
- Liu, X.L.; Cui, H.N.; Jeng, D.S.; Zhao, H.Y. A coupled mathematical model for accumulation of wave-induced pore water pressure and its application. Coast. Eng. 2019, 154, 103577. [Google Scholar] [CrossRef]
- Dean, R.; Dalrymple, R.A. Water Wave Mechanics for Engineers and Scientists; World Scientific: Singapore, 1984. [Google Scholar]
- Jeng, D.S. Mechanics of Wave-Seabed-Structure Interactions: Modelling, Processes and Applications; Cambridge University Press: Cambridge, UK, 2018. [Google Scholar] [CrossRef]
- Tsotsos, S.; Georgiadis, M.; Damaskindou, A. Numerical analysis of liquefaction potential of partially drained seafloor. Coast. Eng. 1989, 13, 117–128. [Google Scholar] [CrossRef]
- De Alba, P.; Seed, H.B.; Chan, C.K. Sand liquefaction in large-scale simple shear tests. J. Geotech. Div. ASCE 1976, 102, 909–927. [Google Scholar] [CrossRef]
- Jeng, D.S.; Cui, L. Poro-Elastic Theory with Applications to Transport in Porous Media; CRC Press: Landon, UK, 2023. [Google Scholar] [CrossRef]
- Ye, J.H.; Jeng, D.S. Response of Porous Seabed to Nature Loadings: Waves and Currents. J. Eng. Mech. 2011, 138, 601–613. [Google Scholar] [CrossRef]
- Sassa, S.; Sekiguchi, H. Wave-induced liquefaction of beds of sand in a centrifuge. Géotechnique 1999, 49, 621–638. [Google Scholar] [CrossRef]













| Characteristics | Value | Unit |
|---|---|---|
| Wave characteristics | ||
| Wave height (H) | 0.18 | [m] |
| Water depth (d) | 0.55 | [m] |
| Wave period (T) | 1.6 | [s] |
| Wave length (L) | 3.18 | [m] |
| Bulk modules (K) | 1.9 × 10 | [N/m] |
| Amplitude of pore pressure () | 534.63 | [pa] |
| Seabed characteristics | ||
| Porosity () | 0.51 | – |
| Permeability () | 1.5 × 10 | [m/s] |
| Seabed length () | 3L | [m] |
| Poisson’s ratio () | 0.29 | – |
| Shear modules () | 1.92 × 10 | [N/m] |
| Relative density () | 0.28 | – |
| Seabed thickness (h) | 0.4 | [m] |
| Degree of saturation () | 100 | % |
| Submerged weight of soil () | 8140 | [N/m] |
| Pressure buildup characteristics | ||
| Residual parameter () | 0.1792 | – |
| Residual parameter () | −0.3564 | – |
| Lateral earth pressure coefficient () | 0.42 | – |
| Coefficient of consolidation () | 9.71 × 10 | – |
| Location | Coupling Model | Decoupled Model |
|---|---|---|
| = (5.0, −0.085) m [Figure 5a] | 1.32 | 4.14 |
| = (5.0, −0.24) m [Figure 5b] | 5.38 | 7.56 |
| Characteristics | Value | Unit |
|---|---|---|
| Wave characteristics | ||
| Wave height (H) | 2.06 | [m] |
| Water depth (d) | 4.5 | [m] |
| Wave period (T) | 4.5 | [s] |
| Wave length (L) | 25.43 | [m] |
| Bulk modules (K) | 1.9 × 10 | [N/m] |
| Amplitude of pore pressure () | 6000 | [pa] |
| Seabed characteristics | ||
| Porosity () | 0.45 | – |
| Permeability () | 1.5 × 10 | [m/s] |
| Seabed length () | 3L | [m] |
| Poisson’s ratio () | 0.3 | – |
| Shear modules () | 1.0 × 10 | [N/m] |
| Relative density () | 0.437 | – |
| Seabed thickness (h) | 5.0 | [m] |
| Degree of saturation () | 100 | % |
| Submerged weight of soil () | 8600 | [N/m] |
| Pressure buildup characteristics | ||
| Residual parameter () | 0.2326 | – |
| Residual parameter () | −0.2983 | – |
| Lateral earth pressure coefficient () | 0.52 | – |
| Coefficient of consolidation () | 5.25 × 10 | – |
| Case Number | H (m) | d (m) | T (s) | (m/s) | ||
|---|---|---|---|---|---|---|
| 1 | 2.8 | 4.0 | 5.0 | 0.100 | 0.143 | 1.0 × 10 |
| 2 | 2.8 | 4.0 | 4.0 | 0.134 | 0.191 | 1.0 × 10 |
| 3 | 2.8 | 4.0 | 4.0 | 0.134 | 0.191 | 7.0 × 10 |
Disclaimer/Publisher’s Note: The statements, opinions and data contained in all publications are solely those of the individual author(s) and contributor(s) and not of MDPI and/or the editor(s). MDPI and/or the editor(s) disclaim responsibility for any injury to people or property resulting from any ideas, methods, instructions or products referred to in the content. |
© 2023 by the authors. Licensee MDPI, Basel, Switzerland. This article is an open access article distributed under the terms and conditions of the Creative Commons Attribution (CC BY) license (https://creativecommons.org/licenses/by/4.0/).
Share and Cite
Wan, Z.; Cui, L.; Jeng, D.-S. Integrated Model for Wave-Induced Oscillatory and Residual Soil Response in a Poro-Elastic Seabed: Partially Dynamic Model. J. Mar. Sci. Eng. 2023, 11, 833. https://doi.org/10.3390/jmse11040833
Wan Z, Cui L, Jeng D-S. Integrated Model for Wave-Induced Oscillatory and Residual Soil Response in a Poro-Elastic Seabed: Partially Dynamic Model. Journal of Marine Science and Engineering. 2023; 11(4):833. https://doi.org/10.3390/jmse11040833
Chicago/Turabian StyleWan, Zhipeng, Lin Cui, and Dong-Sheng Jeng. 2023. "Integrated Model for Wave-Induced Oscillatory and Residual Soil Response in a Poro-Elastic Seabed: Partially Dynamic Model" Journal of Marine Science and Engineering 11, no. 4: 833. https://doi.org/10.3390/jmse11040833
APA StyleWan, Z., Cui, L., & Jeng, D.-S. (2023). Integrated Model for Wave-Induced Oscillatory and Residual Soil Response in a Poro-Elastic Seabed: Partially Dynamic Model. Journal of Marine Science and Engineering, 11(4), 833. https://doi.org/10.3390/jmse11040833

