Application of the Gini Index on the Evaluation of the Environmental Heterogeneity and Habitat Suitability Index for Larval Gobies
Abstract
:1. Introduction
2. Materials and Methods
2.1. Data Collection
2.2. Data Analysis
3. Results
3.1. Environmental Heterogeneity
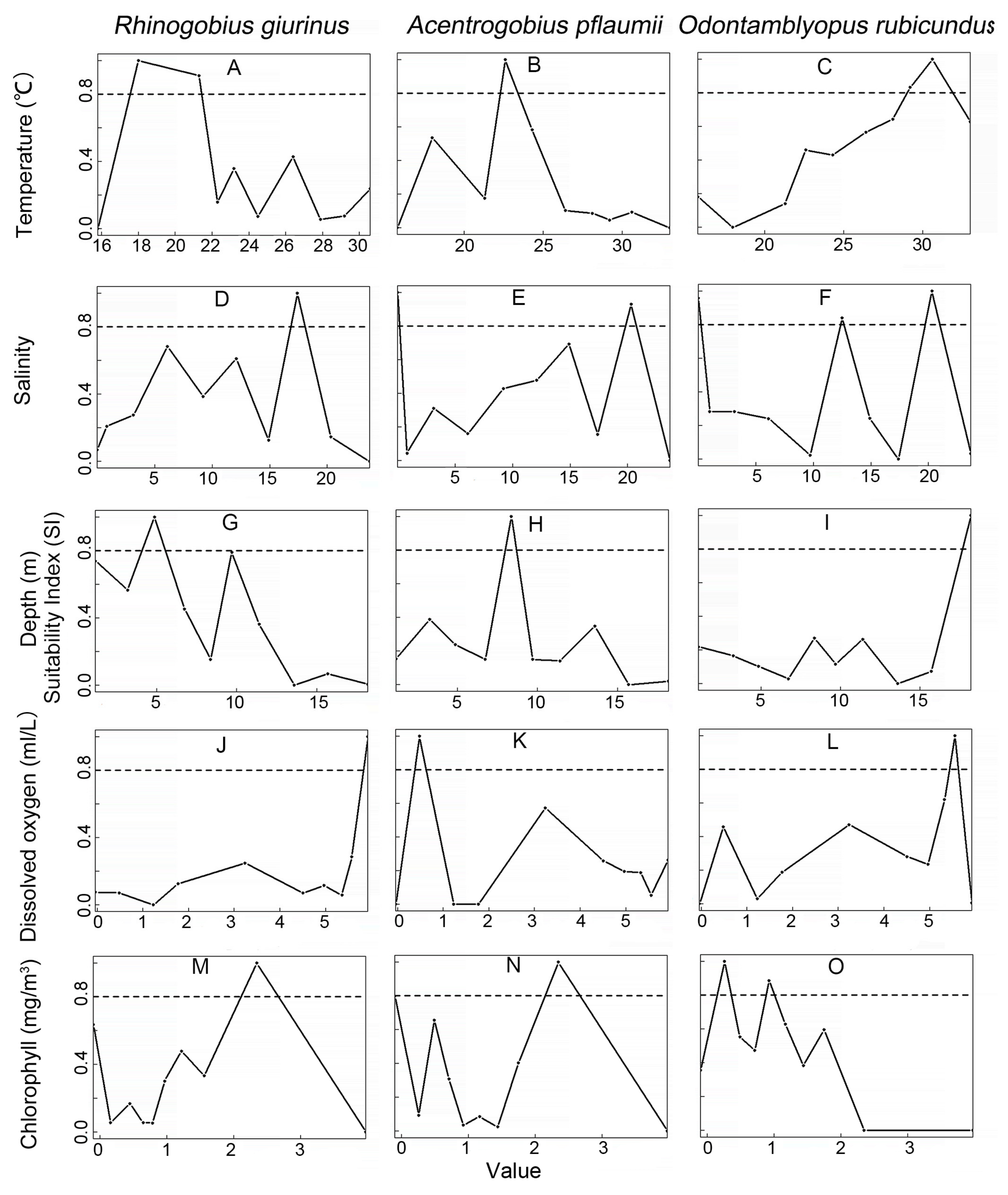
3.2. The SIC and the Optimal Environmental Conditions
3.3. Model Validation and HSIgini Evaluation
4. Discussion
5. Conclusions
Supplementary Materials
Author Contributions
Funding
Institutional Review Board Statement
Informed Consent Statement
Data Availability Statement
Acknowledgments
Conflicts of Interest
References
- Dulvy, N.K.; Sadovy, Y.; Reynolds, J.D. Extinction vulnerability in marine populations. Fish Fish. 2003, 4, 25–64. [Google Scholar] [CrossRef]
- Bilkovic, D. Assessment of Spawning and Nursery Habitat Suitability for American Shad (Alosa sapidissima) in the Mattaponi and Pamunkey Rivers (Virginia). Ph.D. Thesis, The College of William and Mary, Williamsburg, VA, USA, 2001. [Google Scholar]
- Franklin, J. Predictive vegetation mapping: Geographic modelling of biospatial patterns in relation to environmental gradients. Prog. Phys. Geogr. 1995, 19, 474–499. [Google Scholar] [CrossRef]
- Hirzel, A.H.; Le Lay, G. Habitat suitability modelling and niche theory. J. Appl. Ecol. 2008, 45, 1372–1381. [Google Scholar] [CrossRef]
- Xue, Y.; Guan, L.; Tanaka, K.; Li, Z.; Chen, Y.; Ren, Y. Evaluating effects of rescaling and weighting data on habitat suitability modeling. Fish. Res. 2017, 188, 84–94. [Google Scholar] [CrossRef]
- Schickele, A.; Goberville, E.; Leroy, B.; Beaugrand, G.; Hattab, T.; Francour, P.; Raybaud, V. European small pelagic fish distribution under global change scenarios. Fish Fish. 2021, 22, 212–225. [Google Scholar] [CrossRef]
- Munsch, S.H.; Cordell, J.R.; Toft, J.D. Fine-scale habitat use and behavior of a nearshore fish community: Nursery functions, predation avoidance, and spatiotemporal habitat partitioning. Mar. Ecol. Prog. Ser. 2016, 557, 1–15. [Google Scholar] [CrossRef]
- Scales, K.L.; Miller, P.I.; Ingram, S.N.; Hazen, E.L.; Bograd, S.J.; Phillips, R.A. Identifying predictable foraging habitats for a wide-ranging marine predator using ensemble ecological niche models. Divers. Distrib. 2016, 22, 212–224. [Google Scholar] [CrossRef]
- U.S. Fish Wildlife Service. Standards for the Development of Habitat Suitability Index Models (103 ESM); U.S. Fish Wildlife Service: Washington, DC, USA, 1981.
- Bilkovic, D.M.; Hershner, C.H.; Olney, J.E. Macroscale assessment of American shad spawning and nursery habitat in the Mattaponi and Pamunkey Rivers, Virginia. N. Am. J. Fish. Manag. 2002, 22, 1176–1192. [Google Scholar] [CrossRef]
- McManus, M.C.; Hare, J.A.; Richardson, D.E.; Collie, J.S. Tracking shifts in Atlantic mackerel (Scomber scombrus) larval habitat suitability on the Northeast US Continental Shelf. Fish. Oceanogr. 2018, 27, 49–62. [Google Scholar] [CrossRef]
- Blanchard, J.L.; Jennings, S.; Holmes, R.; Harle, J.; Merino, G.; Allen, J.I.; Holt, J.; Dulvy, N.K.; Barange, M. Potential consequences of climate change for primary production and fish production in large marine ecosystems. Philos. Trans. R. Soc. B Biol. Sci. 2012, 367, 2979–2989. [Google Scholar] [CrossRef]
- Yu, W.; Guo, A.; Zhang, Y.; Chen, X.; Qian, W.; Li, Y. Climate-induced habitat suitability variations of chub mackerel Scomber japonicus in the East China Sea. Fish. Res. 2018, 207, 63–73. [Google Scholar] [CrossRef]
- Rogers, L.A.; Griffin, R.; Young, T.; Fuller, E.; St Martin, K.; Pinsky, M.L. Shifting habitats expose fishing communities to risk under climate change. Nat. Clim. Chang. 2019, 9, 512–516. [Google Scholar] [CrossRef]
- Inglis, G.J.; Hurren, H.; Oldman, J.; Haskew, R. Using habitat suitability index and particle dispersion models for early detection of marine invaders. Ecol. Appl. 2006, 16, 1377–1390. [Google Scholar] [CrossRef] [PubMed]
- Hjort, J. Fluctuations in the great fisheries of northern Europe viewed in the light of biological research. In Rapports et Proce‘s-Verbaux des Re´unions du Conseil Permanent International pour l’Exploration de la Mer; International Council for the Exploration of the Sea: Copenhagen, Denmark, 1914; pp. 1–228. [Google Scholar]
- Hjort, J. Fluctuations in the year classes of important food fishes. ICES J. Mar. Sci. 1926, 1, 5–38. [Google Scholar] [CrossRef]
- Ramos, S.; Re, P.; Bordalo, A.A. Environmental control on early life stages of flatfishes in the Lima Estuary (NW Portugal). Estuar. Coast. Shelf Sci. 2009, 83, 252–264. [Google Scholar] [CrossRef]
- Nissling, A.; Westin, L. Egg mortality and hatching rate of Baltic cod (Gadus morhua) in different salinities. Mar. Biol. 1991, 111, 29–32. [Google Scholar] [CrossRef]
- Pepin, P. Effect of temperature and size on development, mortality, and survival rates of the pelagic early life history stages of marine fish. Can. J. Fish. Aquat. Sci. 1991, 48, 503–518. [Google Scholar] [CrossRef]
- Norcross, B.L.; Shaw, R.F. Oceanic and estuarine transport of fish eggs and larvae: A review. Trans. Am. Fish. Soc. 1984, 113, 153–165. [Google Scholar] [CrossRef]
- Sondi, I.; Juračić, M.; Prohíć, E.; Pravdić, V. Particulates and the environmental capacity for trace metals: A small river as a model for a land-sea transfer system: The Raša River estuary. Sci. Total Environ. 1994, 155, 173–185. [Google Scholar] [CrossRef]
- Anderson, J.B.; Rodriguez, A.B.; Milliken, K.; Taviani, M. The Holocene evolution of the Galveston estuary complex, Texas: Evidence for rapid change in estuarine environments. In Response of Upper Gulf Coast estuaries to Holocene Climate Change and Sea-Level Rise, Geological Society of America Special Paper; Geological Society of America: Boulder, CO, USA, 2008; pp. 89–104. [Google Scholar]
- Zhuang, P. Fish in the Yangtze River Estuary, 2nd ed.; China Agricultural Press: Beijing, China, 2019; p. 497. [Google Scholar]
- Li, S.; Ge, Z.; Xin, P.; Tan, L.; Li, Y.; Xie, L. Interactions between biotic and abiotic processes determine biogeomorphology in Yangtze Estuary coastal marshes: Observation with a modeling approach. Geomorphology 2021, 395, 107970. [Google Scholar] [CrossRef]
- Wang, D.; Wan, R.; Li, Z.; Zhang, J.; Long, X.; Song, P.; Zhai, L.; Zhang, S. The Non-stationary Environmental Effects on Spawning Habitat of Fish in Estuaries: A Case Study of Coilia mystus in the Yangtze Estuary. Front. Mar. Sci. 2021, 8, 766616. [Google Scholar] [CrossRef]
- Zhang, M.; Townend, I.; Zhou, Y.; Cai, H. Seasonal variation of river and tide energy in the Yangtze estuary, China. Earth Surf. Process. Landf. 2016, 41, 98–116. [Google Scholar] [CrossRef]
- Gao, Q.; Xu, Z.; Zhuang, P. The relation between distribution of zooplankton and salinity in the Changjiang Estuary. Chin. J. Oceanol. Limnol. 2008, 26, 178–185. [Google Scholar] [CrossRef]
- Ramos, S.; Amorim, E.; Elliott, M.; Cabral, H.; Bordalo, A.A. Early life stages of fishes as indicators of estuarine ecosystem health. Ecol. Indic. 2012, 19, 172–183. [Google Scholar] [CrossRef]
- Liu, X.; Shi, Z.; Tang, J.; Huang, J. Applications of Gini Coefficient on Climatic Evaluation of Human Settlement Environment. Trop. Geogr. 2008, 28, 20. [Google Scholar]
- Stein, A.; Kreft, H. Terminology and quantification of environmental heterogeneity in species-richness research. Biol. Rev. 2015, 90, 815–836. [Google Scholar] [CrossRef]
- Ricklefs, R.E. Environmental heterogeneity and plant species diversity: A hypothesis. Am. Nat. 1997, 111, 376–381. [Google Scholar] [CrossRef]
- Tews, J.; Brose, U.; Grimm, V.; Tielbörger, K.; Wichmann, M.C.; Schwager, M.; Jeltsch, F. Animal species diversity driven by habitat heterogeneity/diversity: The importance of keystone structures. J. Biogeogr. 2004, 31, 79–92. [Google Scholar] [CrossRef]
- Stein, A.; Gerstner, K.; Kreft, H. Environmental heterogeneity as a universal driver of species richness across taxa, biomes and spatial scales. Ecol. Lett. 2014, 17, 866–880. [Google Scholar] [CrossRef]
- Long, X.; Wan, R.; Li, Z.; Wang, D.; Song, P.; Zhang, F. Sampling Designs for Monitoring Ichthyoplankton in the Estuary Area: A Case Study on Coilia mystus in the Yangtze Estuary. Front. Mar. Sci. 2022, 8, 767273. [Google Scholar] [CrossRef]
- Mao, X. Analysis of Saltwater Instrusion in Yangtze River Estuary in 2014. J. China Hydrol. 2016, 36, 73–77. [Google Scholar]
- Li, W.; Wang, H.; Zuo, C.; Dong, J.; Xu, H.; Pan, S.; Jin, B.; Gao, T. The variation characteristics and causes analysis of salt intrusion in the Changjiang River Estuary. Haiyang Xuebo 2020, 42, 32–40. [Google Scholar]
- Campbell, R.A. Constructing stock abundance indices from catch and effort data: Some nuts and bolts. Fish. Res. 2015, 161, 109–130. [Google Scholar] [CrossRef]
- Hastie, T.; Tibshirani, R. Generalized Additive Models: Some Applications. J. Am. Stat. Assoc. 1987, 82, 371–386. [Google Scholar] [CrossRef]
- Stier, D.J.; Crance, J.H. Habitat Suitability Index Models and Instream Flow Suitability Curves: American Shad; National Coastal Ecosystems Team, Division of Biological Services, Research and Development, Fish and Wildlife Service, US Department of the Interior: Washington, DC, USA, 1985.
- Baptista, V.; Morais, P.; Cruz, J.; Castanho, S.; Ribeiro, L.; Pousão-Ferreira, P.; Leitão, F.; Wolanski, E.; Teodósio, M.A. Swimming abilities of temperate pelagic fish larvae prove that they may control their dispersion in coastal areas. Diversity 2019, 11, 185. [Google Scholar] [CrossRef]
- Chen, X.; Gong, C.; Tian, S.; Guan, W.; Li, G. Application Habitat Theory in Marine Fisheries, Chinese ed.; Ocean Press: Beijing, China, 2019; p. 376. [Google Scholar]
- Morris, D.W. Habitat-dependent population regulation and community structure. Evol. Ecol. 1988, 2, 253–269. [Google Scholar] [CrossRef]
- Block, W.M.; Brennan, L.A. The habitat concept in ornithology. In Current Ornithology; Power, D.M., Ed.; Springer: Boston, MA, USA, 1993; pp. 35–91. [Google Scholar]
- Pickett, S.T.; Cadenasso, M.L. Landscape ecology: Spatial heterogeneity in ecological systems. Science 1995, 269, 331–334. [Google Scholar] [CrossRef]
- Collins, S.L.; Avolio, M.L.; Gries, C.; Hallett, L.M.; Koerner, S.E.; La Pierre, K.J.; Rypel, A.L.; Sokol, E.R.; Fey, S.B.; Flynn, D.F. Temporal heterogeneity increases with spatial heterogeneity in ecological communities. Ecology 2018, 99, 858–865. [Google Scholar] [CrossRef]
- Tamme, R.; Hiiesalu, I.; Laanisto, L.; Szava-Kovats, R.; Pärtel, M. Environmental heterogeneity, species diversity and co-existence at different spatial scales. J. Veg. Sci. 2010, 21, 796–801. [Google Scholar] [CrossRef]
- Jarre, A.; Hutchings, L.; Kirkman, S.P.; Kreiner, A.; Tchipalanga, P.C.; Kainge, P.; Uanivi, U.; van der Plas, A.K.; Blamey, L.K.; Coetzee, J.C. Synthesis: Climate effects on biodiversity, abundance and distribution of marine organisms in the Benguela. Fish. Oceanogr. 2015, 24 (Suppl. 1), 122–149. [Google Scholar] [CrossRef]
- Boyd, P.W.; Cornwall, C.E.; Davison, A.; Doney, S.C.; Fourquez, M.; Hurd, C.L.; Lima, I.D.; McMinn, A. Biological responses to environmental heterogeneity under future ocean conditions. Glob. Chang. Biol. 2016, 22, 2633–2650. [Google Scholar] [CrossRef]
- Feng, G.P.; Zhuang, P.; Zhang, L.Z.; Liu, J.Y.; Zhao, Y.; Chen, L.H.; Qu, L. Embryonic and pre-larval development of Tridentiger trigonocephalus and adaptability to saliniy. Acta Hydrobiol. Sin. 2009, 33, 170–176. [Google Scholar] [CrossRef]
- Zhang, H.; Wang, Y.; Liang, C.; Liu, S.; Xian, W. Estuarine Ichthyoplankton Studies—A Review. Front. Mar. Sci. 2022, 9, 794433. [Google Scholar] [CrossRef]
- Do Souto, M.; Spinelli, M.L.; Brown, D.R.; Pájaro, M.; Diaz, M.V.; Capitanio, F.L. Benefits of frontal waters for the growth of Engraulis anchoita larvae: The influence of food availability. Fish. Res. 2018, 204, 181–188. [Google Scholar] [CrossRef]
- Bruestle, E.L.; Karboski, C.; Hussey, A.; Fisk, A.T.; Mehler, K.; Pennuto, C.; Gorsky, D. Novel trophic interaction between lake sturgeon (Acipenser fulvescens) and non-native species in an altered food web. Can. J. Fish. Aquat. Sci. 2019, 76, 6–14. [Google Scholar] [CrossRef]
- Pennuto, C.M.; Mehler, K.; Weidel, B.; Lantry, B.F.; Bruestle, E. Dynamics of the seasonal migration of Round Goby (Neogobius melanostomus, Pallas 1814) and implications for the Lake Ontario food web. Ecol. Freshw. Fish 2021, 30, 151–161. [Google Scholar] [CrossRef]
- Zander, C.D. Gobies as predator and prey. In The Biology of Gobies; Patzner, R.A., Tassell, J.L., Kovačić, M., Kapoor, B.G., Eds.; CRC Press: Boca Raton, FL, USA, 2011; pp. 291–344. [Google Scholar]
- Vanalderweireldt, L.; Winkler, G.; Forget-Lacoursière, E.; Mingelbier, M.; Sirois, P. Habitat use by early life stages of the re-established striped bass and conspecific fish species along the St. Lawrence estuary. Estuar. Coast. Shelf Sci. 2020, 237, 106696. [Google Scholar] [CrossRef]
- Ceola, S.; Pugliese, A.; Ventura, M.; Galeati, G.; Montanari, A.; Castellarin, A. Hydro-power production and fish habitat suitability: Assessing impact and effectiveness of ecological flows at regional scale. Adv. Water Resour. 2018, 116, 29–39. [Google Scholar] [CrossRef]
- Huston, M.A. Biological Diversity: The Coexistence of Species; Cambridge University Press: Cambridge, UK, 1994; p. 10. [Google Scholar]
- López, N.; Navarro, J.; Barría, C.; Albo-Puigserver, M.; Coll, M.; Palomera, I. Feeding ecology of two demersal opportunistic predators coexisting in the northwestern Mediterranean Sea. Estuar. Coast. Shelf Sci. 2016, 175, 15–23. [Google Scholar] [CrossRef]
- Paradis, A.; Pepin, P.; Brown, J. Vulnerability of fish eggs and larvae to predation: Review of the influence of the relative size of prey and predator. Can. J. Fish. Aquat. Sci. 1996, 53, 1226–1235. [Google Scholar] [CrossRef]





| SST | SSS | Depth | Sdo | Schl | ||
|---|---|---|---|---|---|---|
| Gini Coefficient Range | Spring | 0.06 | 0.66 | 0.35 | 0.36 | 0.26 |
| Summer | 0.05 | 0.59 | 0.29 | 0.33 | 0.28 | |
| 0~0.2 | very low heterogeneity | √ | ||||
| 0.2~0.3 | low heterogeneity | * | √ | |||
| 0.3~0.4 | medium heterogeneity | ** | √ | |||
| 0.4~0.5 | high heterogeneity | |||||
| 0.5 < Gini < 1 | very high heterogeneity | √ |
| Species | Environmental Factor | Optimalmin | Optimalmax |
|---|---|---|---|
| Rhinogobius giurinus | SST | 17.6 | 19.0 |
| SSS | 16.8 | 18.1 | |
| Depth | 4.1 | 5.5 | |
| Sdo | 5.8 | 6.4 | |
| Schl | 0.5 | 2.1 | |
| Acentrogobius pflaumii | SST | 22.3 | 23.4 |
| SSS | 19.8 (0) | 20.8 (0.5) | |
| Depth | 8.0 | 8.7 | |
| Sdo | 0.4 | 0.6 | |
| Schl | 2.1 | 2.1 | |
| Odontamblyopus rubicundus | SST | 28.9 | 31.9 |
| SSS | 0.7 (0/12.2) | 15.5 (0.5/12.7) | |
| Depth | 17.7 | 20.4 | |
| Sdo | 5.4 | 5.6 | |
| Schl | 0.1 (0.9) | 0.4 (1.1) |
| Species | Season | Tweedie variance power | Adj-R2 | Deviance Explained | AIC | Factors with Significant Effects |
|---|---|---|---|---|---|---|
| Rhinogobius giurinus | Spring | 1.50 | 0.61 | 0.66 | −62.39 | sst **, sss **, sdo **, schl * |
| Rhinogobius giurinus | Summer | 1.51 | 0.30 | 0.43 | −43.70 | depth **, schl ** |
| Acentrogobius pflaumii | Spring | 1.37 | 0.30 | 0.58 | 44.04 | depth **, schl * |
| Acentrogobius pflaumii | Summer | 1.37 | 0.33 | 0.45 | 36.46 | sst **, sss **, depth **, sdo **, schl ** |
| Odontamblyopus rubicundus | Spring | 1.56 | 0.02 | 0.73 | 23.43 | sdo ** |
| Odontamblyopus rubicundus | Summer | 1.53 | 0.10 | 0.14 | 29.31 | depth *, sdo **, schl * |
| Species | AIC | R2 | RMSE | Formula |
|---|---|---|---|---|
| Rhinogobius giurinus | −164 | 87.3% | 0.06 | y = 1.03x + 0.002 |
| Acentrogobius pflaumii | −165 | 52.0% | 0.75 | y = −0.16x + 0.72 |
| Odontamblyopus rubicundus | −216 | 94.1% | 0.03 | y = −0.94x + 0.03 |
Disclaimer/Publisher’s Note: The statements, opinions and data contained in all publications are solely those of the individual author(s) and contributor(s) and not of MDPI and/or the editor(s). MDPI and/or the editor(s) disclaim responsibility for any injury to people or property resulting from any ideas, methods, instructions or products referred to in the content. |
© 2023 by the authors. Licensee MDPI, Basel, Switzerland. This article is an open access article distributed under the terms and conditions of the Creative Commons Attribution (CC BY) license (https://creativecommons.org/licenses/by/4.0/).
Share and Cite
Zhai, L.; Wan, R.; Tian, S.; Li, Z.; Song, P.; Lin, J. Application of the Gini Index on the Evaluation of the Environmental Heterogeneity and Habitat Suitability Index for Larval Gobies. J. Mar. Sci. Eng. 2023, 11, 381. https://doi.org/10.3390/jmse11020381
Zhai L, Wan R, Tian S, Li Z, Song P, Lin J. Application of the Gini Index on the Evaluation of the Environmental Heterogeneity and Habitat Suitability Index for Larval Gobies. Journal of Marine Science and Engineering. 2023; 11(2):381. https://doi.org/10.3390/jmse11020381
Chicago/Turabian StyleZhai, Lu, Rong Wan, Siquan Tian, Zengguang Li, Pengbo Song, and Jun Lin. 2023. "Application of the Gini Index on the Evaluation of the Environmental Heterogeneity and Habitat Suitability Index for Larval Gobies" Journal of Marine Science and Engineering 11, no. 2: 381. https://doi.org/10.3390/jmse11020381
APA StyleZhai, L., Wan, R., Tian, S., Li, Z., Song, P., & Lin, J. (2023). Application of the Gini Index on the Evaluation of the Environmental Heterogeneity and Habitat Suitability Index for Larval Gobies. Journal of Marine Science and Engineering, 11(2), 381. https://doi.org/10.3390/jmse11020381
