Laboratory Studies of Internal Solitary Waves Propagating and Breaking over Submarine Canyons
Abstract
:1. Introduction
2. Materials and Methods
3. Results and Discussion
3.1. Evolution of ISWs
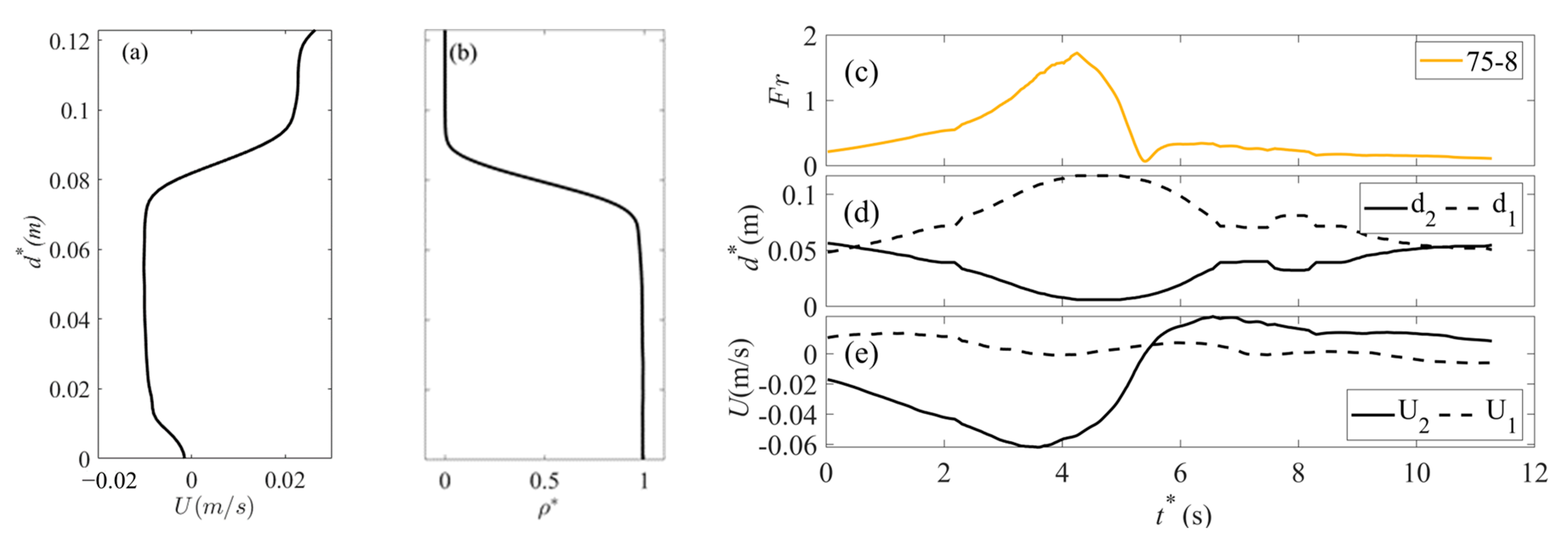
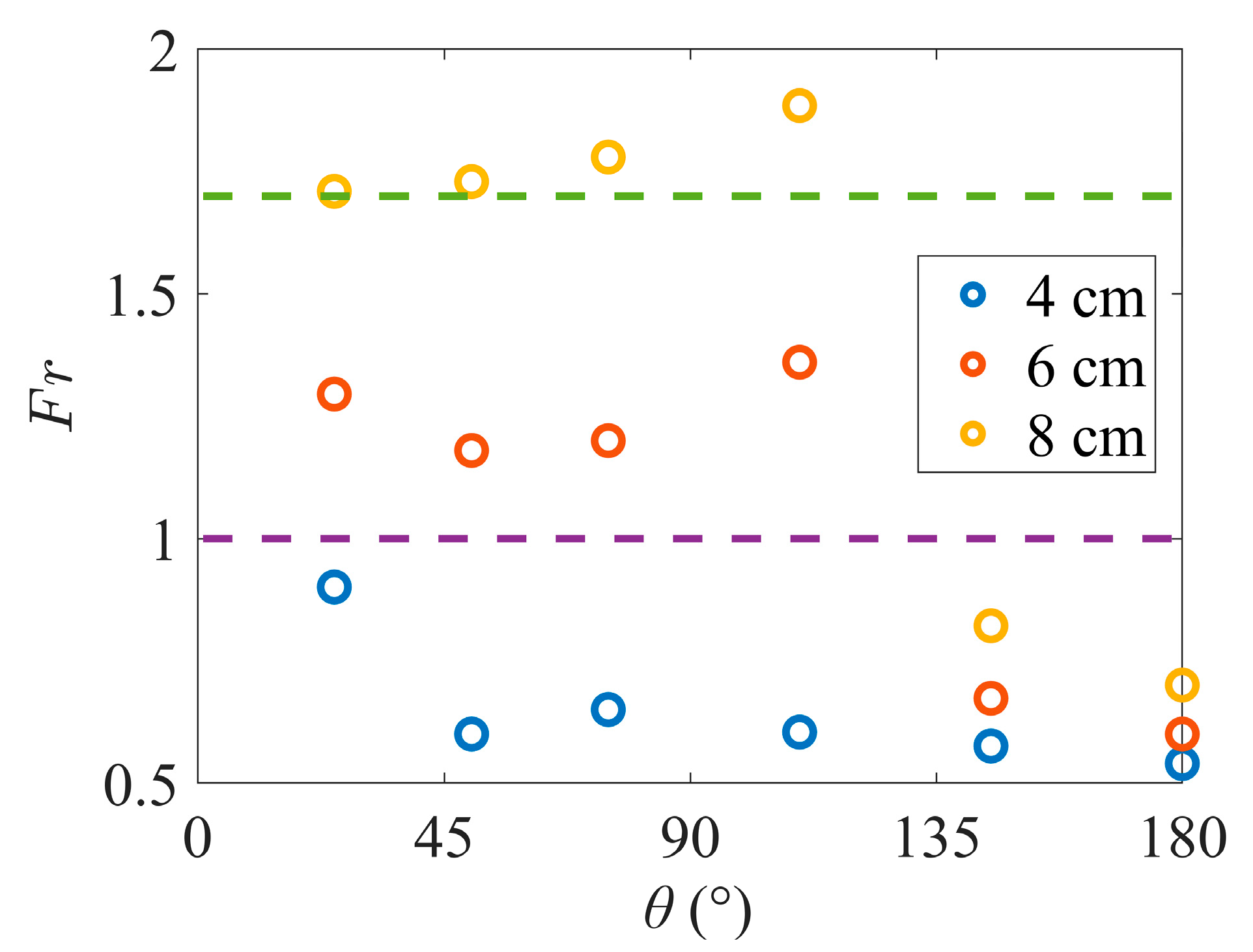
3.2. Internal Hydraulic Jump Classification
3.3. Energy Loss
3.4. Evolution of Turbulence Intensity
3.5. Distribution of Vorticity Probability Density Distribution
4. Conclusions
Author Contributions
Funding
Institutional Review Board Statement
Informed Consent Statement
Data Availability Statement
Conflicts of Interest
References
- Osborne, A.R.; Burch, T.L. Internal solitons in the Andaman sea. Science 1980, 208, 451–460. [Google Scholar] [CrossRef]
- Cai, S.; Xie, J.; He, J. An overview of internal solitary waves in the south China sea. Surv. Geophys. 2012, 33, 927–943. [Google Scholar] [CrossRef]
- Guo, C.; Chen, X. A review of internal solitary wave dynamics in the northern South China Sea. Prog. Oceanogr. 2014, 121, 7–23. [Google Scholar] [CrossRef]
- Klymak, J.M.; Legg, S.; Alford, M.; Buijsman, M.; Pinkel, R.; Nash, J. The direct breaking of internal waves at steep topography. Oceanography 2012, 25, 150–159. [Google Scholar] [CrossRef]
- Helfrich, K.R. Internal solitary wave breaking and run-up on a uniform slope. J. Fluid Mech. 1992, 243, 133–154. [Google Scholar] [CrossRef]
- Michallet, H.; Ivey, G.N. Experiments on mixing due to internal solitary waves breaking on uniform slopes. J. Geophys. Res. Oceans 1999, 104, 13467–13477. [Google Scholar] [CrossRef]
- Boegman, L.; Imberger, G. The degeneration of internal waves in lakes with sloping topography. Limnol. Oceanogr. 2005, 50, 1620–1637. [Google Scholar] [CrossRef]
- Vlasenko, V.I.; Hutter, K. Generation of second mode solitary waves by the interaction of a first mode soliton with a sill. Nonlinear Process. Geophys. 2001, 8, 223–239. [Google Scholar] [CrossRef]
- Chen, C.Y. Amplitude decay and energy dissipation due to the interaction of internal solitary waves with a triangular obstacle in a two-layer fluid system: The blockage parameter. J. Mar. Sci. Technol. 2009, 14, 499–512. [Google Scholar] [CrossRef]
- Chen, C.Y.; Hsu, J.R.; Kuo, C.F. Laboratory observations on internal solitary waves evolution over a submarine ridge. China Ocean Eng. 2006, 20, 61–72. [Google Scholar] [CrossRef]
- Wessels, F.; Hutter, K. Interaction of internal waves with a topographic sill in a two-layered fluid. J. Phys. Oceanogr. 1996, 26, 5. [Google Scholar] [CrossRef]
- Huttemann, H.; Hutter, K. Baroclinic solitary water waves in a two-layer fluid system with diffusive interface. Exp. Fluids 2001, 30, 317–326. [Google Scholar] [CrossRef]
- Talipova, T.; Terletska, K.; Maderich, V.; Brovchenko, I.; Jung, K.T.; Pelinovsky, E.N.; Grimshaw, R.H. Internal solitary wave transformation over a bottom step: Loss of energy. Phys. Fluids 2013, 25, 032110. [Google Scholar] [CrossRef]
- Du, H.; Wang, S.D.; Wang, X.L.; Xu, J.-N.; Guo, H.-L.; Wei, G. Experimental investigation of elevation internal solitary waves propagation over a ridge. Phys. Fluids 2021, 33, 042108. [Google Scholar] [CrossRef]
- Moore, C.; Koseff, J.; Hult, E. Characteristics of bolus formation and propagation from breaking internal waves on shelf slopes. J. Fluid Mech. 2016, 791, 260–283. [Google Scholar] [CrossRef]
- Mu, H.; Chen, X.; Li, Q. Laboratory Experiments on an interna solitary waves over a Triangular Barrier. Ocean Univ. China 2019, 18, 1061–1069. [Google Scholar] [CrossRef]
- Nittrouer, C.A.; Wright, L.D. Transport of particles across continental helves. Rev. Geophys. 1994, 32, 85–113. [Google Scholar] [CrossRef]
- Zhu, W.L.; Zhong, K.; LI, Y.C.; Xu, Q.; Fang, D. Characteristics of hydrocarbon accumulation and exploration potential of the northern South China Sea deep water basins. Chin. Sci. Bull. 2012, 57, 3121–3129. [Google Scholar] [CrossRef]
- Wang, C.S.; Zhu, J.J.; Zhao, D.D. Origin and evolution of submarine canyons. Mar. Geol. Front. 2021, 37, 1–15. [Google Scholar] [CrossRef]
- Burrier, D.A. The Internal Wave Dynamics of Barkley Submarine Canyon. Master’s Thesis, San Jose State University, San Jose, CA, USA, 2019. [Google Scholar] [CrossRef]
- Kunze, E.; Rosenfeld, L.K.; Carter, G.S.; Gregg, M.C. Internal waves in Monterey submarine canyon. J. Phys. Oceanogr. 2002, 32, 1890–1913. [Google Scholar] [CrossRef]
- Gardner, W.D. Periodic resuspension in Baltimore canyon by focusing of internal waves. J. Geophys. Res. Atmos. 1989, 94, 18185–18194. [Google Scholar] [CrossRef]
- Gordon, R.L.; Marshall, N.F. Submarine canyons: Internal wave traps? Geophys. Res. Lett. 1976, 3, 622–624. [Google Scholar] [CrossRef]
- Hickey, B.M. The response of a steep-sided, narrow canyon to time-variable wind forcing. J. Phys. Oceanogr. 1997, 27, 697–726. [Google Scholar] [CrossRef]
- Ledwell, J.R.; Montgomery, E.T.; Polzin, K.L.; Laurent, L.C.; Schmitt, R.W.; Toole, J.M. Evidence for enhanced mixing over rough topography in the abyssal ocean. Nature 2000, 403, 179–182. [Google Scholar] [CrossRef]
- Hickey, B.M.; Banas, N.S. Why is the northern end of the california current system so productive? Oceanography 2008, 21, 90–107. [Google Scholar] [CrossRef]
- Hotchkiss, F.S.; Wunsch, C. Internal waves in Hudson canyon with possible geological implications. Deep-Sea Res. Part A. Oceanogr. Res. Pap. 1982, 29, 415–442. [Google Scholar] [CrossRef]
- Nazarian, R.H.; Legg, S. Internal wave scattering in continental slope canyons, Part 1: Theory and development of a ray tracing algorithm. Ocean Model. 2017, 118, 1–15. [Google Scholar] [CrossRef]
- Nazarian, R.H.; Legg, S. Internal wave scattering in continental slope canyons, Part 2: A comparison of ray tracing and numerical simulations. Ocean Model. 2017, 118, 16–30. [Google Scholar] [CrossRef]
- Kelly, S.; Jones, N.; Nash, J.; Waterhouse, A. The geography of semidiurnal mode-1 internal-tide energy loss. Geophys. Res. Lett. 2013, 40, 4689–4693. [Google Scholar] [CrossRef]
- Min, W.; Li, Q.; Xu, Z.; Wang, Y.; Li, D.; Zhang, P.; Robertson, R.; Yin, B. High-resolution, non-hydrostatic simulation of internal tides and solitary waves in the southern East China Sea. Ocean. Model. 2023, 181, 102141. [Google Scholar] [CrossRef]
- Nazarian, R.H.; Burns, C.M.; Legg, S.; Buijsman, M.C.; Arbic, B.K. Calculating Global Dissipation of Internal Tides in Submarine Canyons. In Proceedings of the 23rd EGU General Assembly 2021, Online, 19–30 April 2021. EGU21-512. [Google Scholar] [CrossRef]
- Hamann, M.M.; Alford, M.H.; Lucas, A.J.; Waterhouse, A.F.; Voet, G. Turbulence Driven by Reflected Internal Tides in a Supercritical Submarine Canyon. J. Phys. Oceanogr. 2021, 51, 591–609. [Google Scholar] [CrossRef]
- Lin, Y.T.; Luo, Y.Y.; Yu, J.Y.; Song, J.B.; Yuan, Y.P. Laboratory investigation of turbulent dissipation in an internal solitary wave breaking over a submerged Gaussian ridge. Phys. Fluids 2021, 33, 096602. [Google Scholar] [CrossRef]
- Harris, P.T.; Whiteway, T. Global distribution of large submarine canyons: Geomorphic differences between active and passive continental margins. Mar. Geol. 2011, 285, 69–86. [Google Scholar] [CrossRef]
- Pawlak, G.; Armi, L. Vortex dynamics in a spatially accelerating shear layer. J. Fluid Mech. 1998, 376, 1–35. [Google Scholar] [CrossRef]
- Zhu, D.Z.; Lawrence, G.A. Holmboe’s instability in exchange flows. J. Fluid Mech. 2001, 429, 391–409. [Google Scholar] [CrossRef]
- Crimaldi, J.P. Planar laser induced fluorescence in aqueous flows. Exp. Fluids 2008, 44, 851–863. [Google Scholar] [CrossRef]
- Grue, J.; Friis, H.A.; Palm, E.; Rusås, P.O. A method for computing unsteady fully nonlinear interfacial waves. J. Fluid Mech. 2000, 351, 223–252. [Google Scholar] [CrossRef]
- Sutherland, B. Interfacial waves. In Internal Gravity Waves; Cambridge University Press: Cambridge, UK, 2010; pp. 74–140. [Google Scholar] [CrossRef]
- Zou, L.; Wen, Z.H.; Sun, T.Z.; Ma, X.Y.; Wang, X.Y. Experimental study on transformation and energy properties of depression internal solitary waves over a Bottom Step. Phys. Fluids 2021, 33, 032109. [Google Scholar] [CrossRef]
- Robinson, S.K. Coherent Motions in the Turbulent Boundary Layer. Annu. Rev. Fluid Mech. 1991, 23, 601–639. [Google Scholar] [CrossRef]
- Hunt, J.; Wray, A.; Moin, P. Eddies, streams, and convergence zones in turbulent flows. Studying Turbulence Using Numerical Simulation Databases, 2. Proceedings of the 1988 Summer Program. 1988, pp. 193–208. Available online: https://web.stanford.edu/group/ctr/Summer/201306111537.pdf (accessed on 16 November 2022).
- Holmén, V. Methods for Vortex Identification. Master’s Theses, Lund University, Lund, Sweden, 2012. [Google Scholar]
- Zhang, Y.N.; Liu, K.H.; Xian, H.Z.; Du, X.Z. A review of methods for vortex identification in hydroturbines. Renew. Sustain. Energy Rev. 2018, 81, 1269–1285. [Google Scholar] [CrossRef]
- Liu, J.M.; Liu, C.Q. Modified normalized rortex/vortex identification method. Phys. Fluids 2019, 31, 061704. [Google Scholar] [CrossRef]
- Wood, I.R.; Simpson, J.E. Jumps in layered miscible fluids. J. Fluid Mech. 1984, 140, 329–342. [Google Scholar] [CrossRef]
- Farmer, D.M.; Armi, L. Maximal two-layer exchange over a sill and through the combination of a sill and contraction with barotropic flow. J. Fluid Mech. 1986, 164, 53–76. [Google Scholar] [CrossRef]
- Lawrence, G.A.; Armi, L. Stationary internal hydraulic jumps. J. Fluid Mech. 2022. [Google Scholar] [CrossRef]
- Negm, A.M. Optimal roughened length of prismatic stilling basins. In Proceedings of the 5th International Conference on Hydro Science and Engineering Conference, Warsaw, Poland, 18–21 September 2002. [Google Scholar]
- Alberty, M.S.; Billheimer, S.; Hamann, M.M.; Ou, C.Y.; Tamsitt, V.; Lucas, A.; Alford, M.H. A reflecting, steepening, and breaking internal tide in a submarine canyon. J. Geophys. Res. Oceans 2017, 122, 6872–6882. [Google Scholar] [CrossRef]
- Wain, D.J.; Gregg, M.C.; Alford, M.H.; Lien, R.C.; Carter, G.S.; Hall, R.A. Propagation and dissipation of the internal tide in upper Monterey Canyon. J. Geophys. Res. 2013, 118, 4855–4877. [Google Scholar] [CrossRef]
- Carter, G.S.; Gregg, M.C. Intense, variable mixing near the head of Monterey Submarine Canyon. J. Phys. Oceanogr. 2002, 32, 3145–3165. [Google Scholar] [CrossRef]












| Run | (°) | D (cm) | (cm) | a (cm) | Internal Hydraulic Jump | Bolus | ||
|---|---|---|---|---|---|---|---|---|
| 25-4 | 1.030 | 1.050 | 25 | 10 | 4 | 1.513 | no | no |
| 25-6 | 1.030 | 1.050 | 25 | 10 | 6 | 2.337 | wavy | yes |
| 25-8 | 1.030 | 1.050 | 25 | 10 | 8 | 2.745 | complete | yes |
| 50-4 | 1.030 | 1.050 | 50 | 10 | 4 | 1.267 | no | yes |
| 50-6 | 1.030 | 1.050 | 50 | 10 | 6 | 2.203 | wavy | yes |
| 50-8 | 1.030 | 1.050 | 50 | 10 | 8 | 2.448 | complete | yes |
| 75-4 | 1.030 | 1.050 | 75 | 10 | 4 | 1.291 | no | yes |
| 75-6 | 1.030 | 1.050 | 75 | 10 | 6 | 2.391 | wavy | yes |
| 75-8 | 1.030 | 1.050 | 75 | 10 | 8 | 2.41 | complete | yes |
| 110-4 | 1.030 | 1.050 | 110 | 5.4 | 4 | 1.373 | no | yes |
| 110-6 | 1.030 | 1.050 | 110 | 5.4 | 6 | 2.279 | wavy | yes |
| 110-8 | 1.030 | 1.050 | 110 | 5.4 | 8 | 2.466 | complete | yes |
| 145-4 | 1.030 | 1.050 | 145 | 2.4 | 4 | 1.545 | no | no |
| 146-6 | 1.030 | 1.050 | 145 | 2.4 | 6 | 2.378 | no | no |
| 145-8 | 1.030 | 1.050 | 145 | 2.4 | 8 | 2.552 | no | no |
| 180-4 | 1.030 | 1.050 | 180 | 0 | 4 | 1.478 | no | no |
| 180-6 | 1.030 | 1.050 | 180 | 0 | 6 | 2.272 | no | no |
| 180-8 | 1.030 | 1.050 | 180 | 0 | 8 | 2.454 | no | no |
Disclaimer/Publisher’s Note: The statements, opinions and data contained in all publications are solely those of the individual author(s) and contributor(s) and not of MDPI and/or the editor(s). MDPI and/or the editor(s) disclaim responsibility for any injury to people or property resulting from any ideas, methods, instructions or products referred to in the content. |
© 2023 by the authors. Licensee MDPI, Basel, Switzerland. This article is an open access article distributed under the terms and conditions of the Creative Commons Attribution (CC BY) license (https://creativecommons.org/licenses/by/4.0/).
Share and Cite
Lin, Y.-T.; Liu, L.; Sheng, B.; Yuan, Y.; Hu, K. Laboratory Studies of Internal Solitary Waves Propagating and Breaking over Submarine Canyons. J. Mar. Sci. Eng. 2023, 11, 355. https://doi.org/10.3390/jmse11020355
Lin Y-T, Liu L, Sheng B, Yuan Y, Hu K. Laboratory Studies of Internal Solitary Waves Propagating and Breaking over Submarine Canyons. Journal of Marine Science and Engineering. 2023; 11(2):355. https://doi.org/10.3390/jmse11020355
Chicago/Turabian StyleLin, Ying-Tien, Ling Liu, Biyun Sheng, Yeping Yuan, and Keke Hu. 2023. "Laboratory Studies of Internal Solitary Waves Propagating and Breaking over Submarine Canyons" Journal of Marine Science and Engineering 11, no. 2: 355. https://doi.org/10.3390/jmse11020355
APA StyleLin, Y.-T., Liu, L., Sheng, B., Yuan, Y., & Hu, K. (2023). Laboratory Studies of Internal Solitary Waves Propagating and Breaking over Submarine Canyons. Journal of Marine Science and Engineering, 11(2), 355. https://doi.org/10.3390/jmse11020355

