An Underwater Distributed SLAM Approach Based on Improved GMRBnB Framework
Abstract
:1. Introduction
2. Related Work
3. Proposed Distributed SLAM Method
| Algorithm 1: The overall algorithm process of Underwater Distributed SLAM |
| Input: Data collected by BlueRov |
| Output: A large scale grid map by registering multiple grid submaps |
| 1 Single underwater vehicle SLAM. |
| 2 Calculate the Oriented FAST and Rotated BRIEF (ORB) point of the submaps and save the 2D point set data. |
| 3 Use the GMRBnB algorithm to deduce the rotation and translation matrix, which is applied to the second point set, registering the two point sets. |
| 4 The registered point set should undergo the Nearest Neighbor Density Estimation (NNDE) method to determine the density. Set the threshold to identify the inlier that corresponds to regions of greater density. |
| 5 Save the interior points along with their corresponding points in the original point set. Next, conduct GMRBnB registration on the interior points to calculate a more precise transformation matrix prior to register the underwater maps. |
3.1. Submap Construction
3.2. Clustering Filtering and Density-Based Sampling for ORB Feature
| Algorithm 2: Density Uniformization for ORB Feature Point Extraction |
| Input: two submaps |
| Output: ORB feature point set and its GMM model |
| 1 Load the submaps and extract ORB feature points. |
| 2 Cluster the feature points and remove the clear outlier. |
| 3 Calculate the mean distance between the feature points. |
| 4 Choose a suitable voxel size based on the mean distance and create a KD-tree. |
| 5 Conduct nearest neighbor search to produce a voxel grid and carry out density sampling in each voxel. Randomly select one point from each voxel to serve as a density sampling point. |
| 6 Proceed to compute the GMM for the ORB feature point set. |
| 7 Return ORB feature points and its GMM model. |
3.3. GMRBnB Registration
3.4. GMRBnB with NNDE for the Inlier
| Algorithm 3: Global Space Registration Algorithm using GMRBnB |
![]() |
| Algorithm 4: GMRBnB with NNDE for inlier registration |
| Input: Original point sets A and B, initial transformation matrix from the first registration, density threshold. |
| Output: Estimated inlier and . |
| 1 Spatial Data Structure Construction: The first step involves loading the point cloud data into a KDTree to efficiently speed up the nearest neighbor search process. Computation of Mean Distances to K Nearest Neighbors: The calculation of the average distances to the K closest points from each point is carried out. The optimal value for K is usually determined through experimentation whereby the K value that produces the most favorable inlier extraction outcomes is selected. |
| 2 Calculation of Density: Upon completion of density estimates, the outcomes are visualized as density maps. |
| 3 Selecting Density Thresholds: Density is computed by using the derivative of distances as a parameter for density. |
| 4 Visualization: Density thresholds, indicated by threshold values, are selected to differentiate between points located in high-density and low-density areas. Points in high-density regions are labeled as ‘inlier’, while points in low-density regions are considered ‘outlier’. |
| 5 To extract an inlier, a point indexing mechanism is used to identify the corresponding points in the original data, which then serve as the initial point set for further registration. |
| 6 Perform GMRBnB registration on the inlier. |
| 7 Rotate and translate the original submaps, register them, and include the registered submap in the submap queue. |
| 8 Choose two submaps from the submap queue and align them through registration. |
4. Experimental Results and Analysis
4.1. Simulation Experiments
4.1.1. Convergence Validation
4.1.2. Registration with Different Outlier and Noise Rates
4.1.3. Registration with NNDE
4.1.4. Analysis
- As the outlier rate and noise level increase, the rotation error and translation error gradually increase. However, the algorithm still demonstrates accuracy with outlier and noise, as it converges;
- Additionally, higher rates of outlier or noise levels adversely affect computation time due to their influence;
- Eliminating the outlier through outlier filtering for the initial registration results can improve secondary registration results in some way.
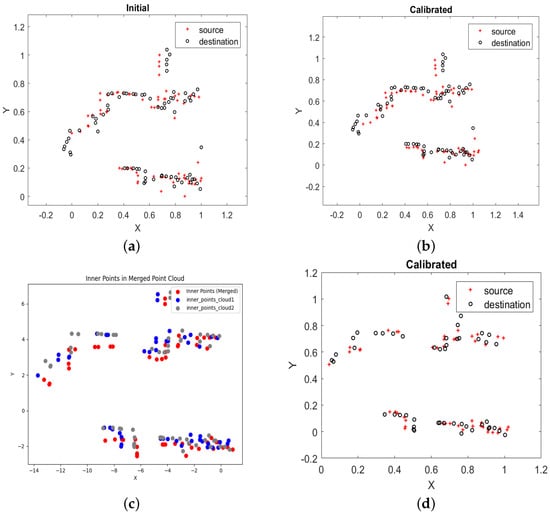
4.2. Experiments in Real Environments
5. Conclusions
6. Future Work
Author Contributions
Funding
Institutional Review Board Statement
Informed Consent Statement
Data Availability Statement
Acknowledgments
Conflicts of Interest
References
- Ohta, Y.; Yoshida, H.; Ishibashi, S.; Sugesawa, M.; Fan, F.H.; Tanaka, K. Seabed resource exploration performed by AUV “Yumeiruka”. In Proceedings of the OCEANS 2016 MTS/IEEE Monterey, Monterey, CA, USA, 19–23 September 2016; pp. 1–4. [Google Scholar]
- Hodne, L.M.; Leikvoll, E.; Yip, M.; Teigen, A.L.; Stahl, A.; Mester, R. Detecting and suppressing marine snow for underwater visual slam. In Proceedings of the IEEE/CVF Conference on Computer Vision and Pattern Recognition, New Orleans, LA, USA, 19–20 June 2022; pp. 5101–5109. [Google Scholar]
- Venkatesan, S. AUV for Search & Rescue at sea—An innovative approach. In Proceedings of the 2016 IEEE/OES Autonomous Underwater Vehicles (AUV), Tokyo, Japan, 6–9 November 2016; pp. 1–9. [Google Scholar]
- Hagen, P.E.; Storkersen, N.; Marthinsen, B.E.; Sten, G.; Vestgard, K. Military operations with HUGIN AUVs: Lessons learned and the way ahead. In Proceedings of the Europe Oceans 2005, Brest, France, 20–23 June 2005; Volume 2, pp. 810–813. [Google Scholar]
- Liu, M.; Dong, T.; Zhang, L. Underwater SLAM navigation algorithm based on random beacons. Syst. Eng. Electron. 2015, 37, 2830–2834. [Google Scholar]
- Suresh, S.; Sodhi, P.; Mangelson, J.G.; Wettergreen, D.; Kaess, M. Active SLAM using 3D submap saliency for underwater volumetric exploration. In Proceedings of the 2020 IEEE International Conference on Robotics and Automation (ICRA), Paris, France, 31 May–31 August 2020; pp. 3132–3138. [Google Scholar]
- Kim, A.; Eustice, R.M. Active visual SLAM for robotic area coverage: Theory and experiment. Int. J. Robot. Res. 2015, 34, 457–475. [Google Scholar] [CrossRef]
- Hong, S.; Kim, J.; Pyo, J.; Yu, S.C. A robust loop-closure method for visual SLAM in unstructured seafloor environments. Auton. Robot. 2016, 40, 1095–1109. [Google Scholar] [CrossRef]
- Wang, J.; Bai, S.; Englot, B. Underwater localization and 3D mapping of submerged structures with a single-beam scanning sonar. In Proceedings of the 2017 IEEE International Conference on Robotics and Automation (ICRA), Singapore, 29 May–3 June 2017; pp. 4898–4905. [Google Scholar]
- Guth, F.; Silveira, L.; Botelho, S.; Drews, P.; Ballester, P. Underwater SLAM: Challenges, state of the art, algorithms and a new biologically-inspired approach. In Proceedings of the 5th IEEE RAS/EMBS International Conference on Biomedical Robotics and Biomechatronics, Sao Paulo, Brazil, 12–15 August 2014; pp. 981–986. [Google Scholar]
- Ribas, D.; Ridao, P.; Tardós, J.D.; Neira, J. Underwater SLAM in a marina environment. In Proceedings of the 2007 IEEE/RSJ International Conference on Intelligent Robots and Systems, San Diego, CA, USA, 29 October–2 November 2007; pp. 1455–1460. [Google Scholar]
- Matsebe, O.; Mpofu, K.; Agee, J.T.; Ayodeji, S.P. Corner features extraction: Underwater SLAM in structured environments. J. Eng. Des. Technol. 2015, 13, 556–569. [Google Scholar] [CrossRef]
- Cheng, C.; Wang, C.; Yang, D.; Liu, W.; Zhang, F. Underwater SLAM Based on Forward-Looking Sonar. In Cognitive Systems and Signal Processing, Proceedings of the 5th International Conference, ICCSIP 2020, Zhuhai, China, 25–27 December 2020; Revised Selected Papers 5; Springer: Berlin/Heidelberg, Germany, 2021; pp. 584–593. [Google Scholar]
- Xu, Z.; Qiu, H.; Dong, M.; Wang, H.; Wang, C. Underwater Simultaneous Localization and Mapping Based on 2D-SLAM Framework. In Proceedings of the 2022 IEEE International Conference on Unmanned Systems (ICUS), Guangzhou, China, 28–30 October 2022; pp. 184–189. [Google Scholar]
- Chen, L.; Yang, A.; Hu, H.; Naeem, W. RBPF-MSIS: Toward rao-blackwellized particle filter SLAM for autonomous underwater vehicle with slow mechanical scanning imaging sonar. IEEE Syst. J. 2019, 14, 3301–3312. [Google Scholar] [CrossRef]
- Rahman, S.; Li, A.Q.; Rekleitis, I. Svin2: An underwater slam system using sonar, visual, inertial, and depth sensor. In Proceedings of the 2019 IEEE/RSJ International Conference on Intelligent Robots and Systems (IROS), Macau, China, 3–8 November 2019; pp. 1861–1868. [Google Scholar]
- Rahman, S.; Quattrini Li, A.; Rekleitis, I. SVIn2: A multi-sensor fusion-based underwater SLAM system. Int. J. Robot. Res. 2022, 41, 1022–1042. [Google Scholar] [CrossRef]
- Jang, H.; Yoon, S.; Kim, A. Multi-session underwater pose-graph slam using inter-session opti-acoustic two-view factor. In Proceedings of the 2021 IEEE International Conference on Robotics and Automation (ICRA), Xi’an, China, 30 May–5 June 2021; pp. 11668–11674. [Google Scholar]
- Xu, S.; Luczynski, T.; Willners, J.S.; Hong, Z.; Zhang, K.; Petillot, Y.R.; Wang, S. Underwater visual acoustic SLAM with extrinsic calibration. In Proceedings of the 2021 IEEE/RSJ International Conference on Intelligent Robots and Systems (IROS), Prague, Czech Republic, 27 September–1 October 2021; pp. 7647–7652. [Google Scholar]
- Andriyanov, N.; Vasiliev, K. Using local objects to improve estimation of mobile object coordinates and smoothing trajectory of movement by autoregression with multiple roots. In Intelligent Systems and Applications, Proceedings of the 2019 Intelligent Systems Conference (IntelliSys) Volume 2, London, UK, 5–6 September 2019; Springer: Berlin/Heidelberg, Germany, 2020; pp. 1014–1025. [Google Scholar]
- Viset, F.; Helmons, R.; Kok, M. An extended Kalman filter for magnetic field SLAM using Gaussian process regression. Sensors 2022, 22, 2833. [Google Scholar] [CrossRef] [PubMed]
- Chaplot, D.S.; Gandhi, D.; Gupta, S.; Gupta, A.; Salakhutdinov, R. Learning to explore using active neural slam. arXiv 2020, arXiv:2004.05155. [Google Scholar]
- Pfingsthorn, M.; Birk, A.; Bülow, H. An efficient strategy for data exchange in multi-robot mapping under underwater communication constraints. In Proceedings of the 2010 IEEE/RSJ International Conference on Intelligent Robots and Systems, Taipei, Taiwan, 18–22 October 2010; pp. 4886–4893. [Google Scholar]
- Ma, T.; Zhang, W.; Li, Y.; Zhao, Y.; Zhang, Q.; Mei, X.; Fan, J. Communication-constrained cooperative bathymetric simultaneous localisation and mapping with efficient bathymetric data transmission method. J. Navig. 2022, 75, 1000–1016. [Google Scholar] [CrossRef]
- Bonin-Font, F.; Burguera, A. Towards multi-robot visual graph-SLAM for autonomous marine vehicles. J. Mar. Sci. Eng. 2020, 8, 437. [Google Scholar] [CrossRef]
- Lajoie, P.Y.; Beltrame, G. Swarm-SLAM: Sparse Decentralized Collaborative Simultaneous Localization and Mapping Framework for Multi-Robot Systems. arXiv 2023, arXiv:2301.06230. [Google Scholar] [CrossRef]
- McConnell, J.; Huang, Y.; Szenher, P.; Collado-Gonzalez, I.; Englot, B. DRACo-SLAM: Distributed Robust Acoustic Communication-efficient SLAM for Imaging Sonar Equipped Underwater Robot Teams. In Proceedings of the 2022 IEEE/RSJ International Conference on Intelligent Robots and Systems (IROS), Kyoto, Japan, 23–27 October 2022; pp. 8457–8464. [Google Scholar]
- Palomer, A.; Ridao, P.; Ribas, D. Multibeam 3D underwater SLAM with probabilistic registration. Sensors 2016, 16, 560. [Google Scholar] [CrossRef] [PubMed]
- Yang, J.; Li, H.; Campbell, D.; Jia, Y. Go-ICP: A Globally Optimal Solution to 3D ICP Point-Set Registration. IEEE Trans. Pattern Anal. Mach. Intell. 2016, 38, 2241–2254. [Google Scholar] [CrossRef] [PubMed]
- Liu, Y.; Dong, Y.; Song, Z.; Wang, M. 2D-3D Point Set Registration Based on Global Rotation Search. IEEE Trans. Image Process. 2019, 28, 2599–2613. [Google Scholar] [CrossRef] [PubMed]
- Campbell, D.; Petersson, L. GOGMA: Globally-Optimal Gaussian Mixture Alignment. In Proceedings of the 2016 IEEE Conference on Computer Vision and Pattern Recognition (CVPR), Las Vegas, NV, USA, 27–30 June 2016; pp. 5685–5694. [Google Scholar] [CrossRef]
- Cheng, C.; Wang, C.; Yang, D.; Liu, W.; Zhang, F. Underwater localization and mapping based on multi-beam forward looking sonar. Front. Neurorobot. 2022, 15, 189. [Google Scholar] [CrossRef] [PubMed]
- Li, X.; Liu, Y.; Lakshminarasimhan, V.; Cao, H.; Zhang, F.; Knoll, A. Globally Optimal Robust Radar Calibration in Intelligent Transportation Systems. IEEE Trans. Intell. Transp. Syst. 2023, 24, 6082–6095. [Google Scholar] [CrossRef]









Disclaimer/Publisher’s Note: The statements, opinions and data contained in all publications are solely those of the individual author(s) and contributor(s) and not of MDPI and/or the editor(s). MDPI and/or the editor(s) disclaim responsibility for any injury to people or property resulting from any ideas, methods, instructions or products referred to in the content. |
© 2023 by the authors. Licensee MDPI, Basel, Switzerland. This article is an open access article distributed under the terms and conditions of the Creative Commons Attribution (CC BY) license (https://creativecommons.org/licenses/by/4.0/).
Share and Cite
Zhang, F.; Xu, D.; Cheng, C. An Underwater Distributed SLAM Approach Based on Improved GMRBnB Framework. J. Mar. Sci. Eng. 2023, 11, 2271. https://doi.org/10.3390/jmse11122271
Zhang F, Xu D, Cheng C. An Underwater Distributed SLAM Approach Based on Improved GMRBnB Framework. Journal of Marine Science and Engineering. 2023; 11(12):2271. https://doi.org/10.3390/jmse11122271
Chicago/Turabian StyleZhang, Feihu, Diandian Xu, and Chensheng Cheng. 2023. "An Underwater Distributed SLAM Approach Based on Improved GMRBnB Framework" Journal of Marine Science and Engineering 11, no. 12: 2271. https://doi.org/10.3390/jmse11122271
APA StyleZhang, F., Xu, D., & Cheng, C. (2023). An Underwater Distributed SLAM Approach Based on Improved GMRBnB Framework. Journal of Marine Science and Engineering, 11(12), 2271. https://doi.org/10.3390/jmse11122271


