Next Article in Journal
A Construction Method of a Sequential Decision Chain for Unmanned-Ship Autonomous Collision Avoidance Based on Human-Like Thinking
Next Article in Special Issue
Cross-Scale Reliability Analysis Framework for LNG Storage Tanks Considering Concrete Material Uncertainty
Previous Article in Journal
Analytical Solution of Time-Optimal Trajectory for Heaving Dynamics of Hybrid Underwater Gliders
Previous Article in Special Issue
Molecular Dynamics Investigation of the Effect of Shear during Extrusion on the Permeation Behavior of CH4 in High-Density Polyethylene
 
 
Font Type:
Arial Georgia Verdana
Font Size:
Aa Aa Aa
Line Spacing:
Column Width:
Background:
Article

A Novel Method for Fatigue Damage Assessment in Bimodal Processes Considering High- and Low-Frequency Reduction Effects

1
College of Engineering, Ocean University of China, Qingdao 266100, China
2
Shandong Provincial Key Laboratory of Marine Environment and Geological Engineering, Ocean University of China, Qingdao 266100, China
*
Author to whom correspondence should be addressed.
J. Mar. Sci. Eng. 2023, 11(12), 2217; https://doi.org/10.3390/jmse11122217
Submission received: 2 November 2023 / Revised: 20 November 2023 / Accepted: 21 November 2023 / Published: 22 November 2023

Abstract

Due to inherent nonlinearities within floating systems and the second-order wave forces affecting them, the dynamic responses of floating systems manifest as bimodal Gaussian processes. Consequently, the classical spectral fatigue assessment method grounded in the Rayleigh distribution cannot be applied. This paper introduces the double frequency coupled (DFC) method as a spectral fatigue assessment approach, providing an accurate estimation of fatigue damage originating from bimodal Gaussian processes. Within the DFC method, the bimodal Gaussian process is partitioned into two components: low-frequency (LF) and high-frequency (HF) processes. A Gaussian distribution is employed to describe the probability distribution function (PDF) of the amplitude reduction induced by the interaction between LF and HF processes. The PDF of small-cycle fatigue can be computed by convoluting the PDF of HF amplitudes and the reduction amplitude between LF and HF. Similarly, the PDF of large-cycle fatigue can be determined through convolution, which involves the PDF of LF amplitudes and small-cycle fatigue. The overall fatigue damage arising from the bimodal Gaussian process is obtained by directly summing the contributions of small-cycle and large-cycle fatigue. Numerical investigations of the DFC method’s effectiveness are presented through a series of parametric studies, demonstrating its robustness, efficiency, and accuracy within engineering expectations. Furthermore, the DFC method is found to be applicable to both single-slope and two-slope S-N curves.

1. Introduction

During the service life of a floating system, stochastic hydrodynamic loads can lead to the cumulative fatigue damage of a system. Even if the dynamic response remains below the system’s allowable threshold, this fatigue damage may eventually result in system failure [1]. Therefore, fatigue assessment is a crucial design criterion for floating systems. Two primary methods are available for estimating the fatigue damage of such systems: the time-domain method [2,3] and the spectral-based method [4,5]. In the time-domain method, the dynamic response of the floating system is obtained through a coupled dynamic analysis model, which can account for system nonlinearities and hydrodynamic loads. Stress/tension ranges and their corresponding cycle counts are determined from the dynamic response using the rain-flow counting method. Fatigue damage is then estimated based on the linear Palmgren–Miner (P-M) rule and S-N/T-N curves [6]. This method is often considered a benchmark due to its accuracy. However, it is time-consuming [7,8].
In the spectral-based fatigue assessment method, it is assumed that the dynamic response of the floating system follows a narrowband Gaussian process, with the probability distribution of response amplitudes obeying the Rayleigh distribution. Closed-form expressions for fatigue damage can be derived based on the P-M rule and S-N/T-N curves [9,10]. Nevertheless, this method may not accurately assess the fatigue damage of bimodal Gaussian processes, often leading to conservative results. Spectral methods for assessing fatigue damage in bimodal Gaussian processes typically fall into two categories. In the first category, stresses generated in different spectral components are coupled and superimposed, and the rain-flow probability distribution function (PDF) of cycles is approximated to determine fatigue damage. Due to its amplitude PDF can be established directly; first-category methods can describe the accumulation mechanism of a structure’s fatigue damage, and can be applicable to different fatigue curves and structures. However, the accuracy of these methods is usually closely related to the input spectrum and more complex to implement. In the second category, all spectral components are treated as ideal narrowband processes, and fatigue damage for each component is calculated based on this narrowband assumption. The total fatigue damage is then determined by combining the damage from each component through various superposition methods. Second-category methods are easy to carry out and not limited by the input spectrum. However, they cannot explain the interaction mechanism between different spectral components and the accumulation mechanism of structure’s fatigue damage, which are limited in engineering applications.
Methods in the first category were initially proposed by Jiao and Moan [11], who established that bimodal processes generate small-cycle and large-cycle stresses. Small-cycle amplitudes are equal to the high-frequency (HF) amplitudes produced in the HF component, while large-cycle amplitudes are estimated to be the superposition of HF amplitudes and low-frequency (LF) amplitudes. This method served as a foundation for subsequent studies on fatigue damage in bimodal processes. Shinsuke and Okamura [12] suggested that the PDF of stress amplitude for a bimodal process can be derived from two Rayleigh distributions with different weights, determined by the center frequencies of the HF and LF components. Fu and Cebon [13] proposed that the PDF of large-cycle fatigue is a convolution of two Rayleigh distributions and introduced a novel cycle counting method. Benasicutti and Tovo [14] noted that the Fu–Cebon method overestimated fatigue damage in bimodal processes and improved it based on Jiao and Moan’s cycle counting method. Additionally, Zhu and Li [15] obtained satisfactory results by directly characterizing the amplitude PDF of bimodal processes using the exponential distribution and the two-parameter Weibull distribution.
Low [16] found that small cycles, as determined through rain-flow counting, are shorter than the HF amplitudes due to LF time series (Effect A). Furthermore, large cycles are shorter than the superposition of HF and LF amplitudes due to their phase difference (Effect B). Low proposed a new method that accounts for both Effect A and Effect B, providing a high accuracy. However, the integral with the variable lower limit in the theoretical equation proved challenging to compute, limiting its practical application in engineering. Huang [17] consolidated Effect A and Effect B as reduction effects resulting from the interaction between LF and HF processes. He introduced a method for large and small cycles that considers these reduction effects with relatively straightforward calculations. Nevertheless, this method does not achieve the same level of accuracy as the Low method.
It is worth noting that, while all the previously mentioned methods are suitable for assessing fatigue damage using a single-slope S-N curve, those that do not provide the PDF for large and small cycles cannot be used to evaluate fatigue damage using a double-slope S-N curve, such as the Low and Huang methods. On the other hand, the Jiao–Moan method, Shinsuke–Okamura method, Fu–Cebon method, and Zhu–Li method provide the PDF for large and small cycles to calculate fatigue damage in a double-slope S-N curve, but they do not account for reduction effects.
The fundamental principle of techniques within the second category of ideas involves the overlay of damage computations stemming from distinct spectral components, employing various methodologies. Initially, prior studies suggested determining cumulative fatigue damage by directly superimposing the fatigue damage arising from the two spectral components. However, in contrast, Lotsberg [18] contended that this approach significantly underestimated the true fatigue damage. He introduced a novel damage superposition technique, which takes into account the zero-crossing rate and the fatigue strength index. Similarly, Huang [19] proposed a nonlinear superimposition of fatigue damage within two narrowband spectral components, incorporating the spectral width parameter. Numerical simulations demonstrated that, in most instances, these methods exhibited an underestimation of fatigue damage.
Benasicutti et al. [20], Braccesi et al. [21], and Han et al. [22] employed different derivation procedures to propose new superposition methods, which were conceptually consistent. However, it was observed that the superposition equation neglected the interaction among various spectral components, resulting in the underestimation of fatigue damage to structures in most cases. To account for the interactions between the different components, Gao et al. [10] and Yuan et al. [23] introduced distinct coupling parameters to consider the coupling effects among the various components.
Methods falling under the second category of ideas excel in terms of their structural formulation and solution complexity when compared to those within the first category. Nevertheless, due to the intricate interplay between various components, there is no established norm for the quantity of energy spectrum components and their corresponding bandwidths. Moreover, due to the inclusion of multiple variables in the partitioning process, the second-category method falls short of providing a precise depiction of the fatigue damage mechanism within the bimodal process. Additionally, techniques associated with this category exhibit a close relationship with the slope of the S-N curve, thus limiting their utility to the evaluation of fatigue damage within a single-slope S-N curve, while being incapable of quantifying fatigue damage in the context of a double-slope S-N curve. This constraint significantly hampers their practical application in engineering contexts.
Offshore structures are typically constructed from steel, and their fatigue assessments primarily rely on double-slope S-N curves. However, methods based on the second category of ideas cannot estimate the fatigue damage in double-slope S-N curves. Moreover, due to the absence of the PDF of stress cycles, the Low and Huang methods based on the first category of ideas also cannot evaluate fatigue damage in double-slope S-N curves. While the Jiao–Moan and Fu–Cebon methods can be used for fatigue damage assessment in double-slope S-N curves, these methods lack precision in their assessment results since they cannot account for reduction effects. Consequently, there is no method that can consider the reduction effects and calculate fatigue damage in double-slope S-N curves.
Based on the fact that the PDF of the reduction effects follows a Gaussian distribution [17], this study developed a distribution model that accounts for these reduction effects to describe the PDF of cycles in the bimodal Gaussian process. Using the DFC method, the PDF of small cycles is described through a convolution of the Rayleigh and Gaussian distributions, and the PDF of large cycles is described by the triple convolution integral of two Rayleigh distributions and one Gaussian distribution, accurately predicting the fatigue damage of the bimodal Gaussian process. Using rectangular spectra with different frequency ratios and energy ratios, the accuracy of the DFC method and other methods is verified. Additionally, two actual bimodal spectra in offshore structures were used to validate the accuracy of each method. This paper is organized as follows: Section 2 presents the basic theory of fatigue assessment. Section 3 and Section 4 describe the conventional and proposed spectral methods for assessing fatigue damage in bimodal processes. Section 5 presents a series of numerical examples validating the effectiveness of the developed method. Section 6 and Section 7 present the discussions and conclusions of this paper.

2. Basic Theory

2.1. Spectral Parameters of Stochastic Processes

For a stationary stochastic process X ( t ) with a one-sided power spectrum S ( f ) , the nth-order spectral moment of the power spectrum can be mathematically represented as follows:
m n = 0 f n S f d f n = 0,1 , 2,3 ,
where f is the frequency (Hz) and n is the order of the spectral moment.
By utilizing several nth-order moments of the power spectrum, one can derive the average zero-crossing rate v 0 and the average peak rate v p of the stochastic process. These quantities are expressed as follows:
v 0 = m 2 / m 0 , v p = m 4 / m 2
Furthermore, the Wirsching spectral width parameter ε [24] of the stochastic process can be determined based on the spectral moment and is expressed as follows:
ε = 1 m 2 2 / m 0 m 4

2.2. Fatigue Analysis

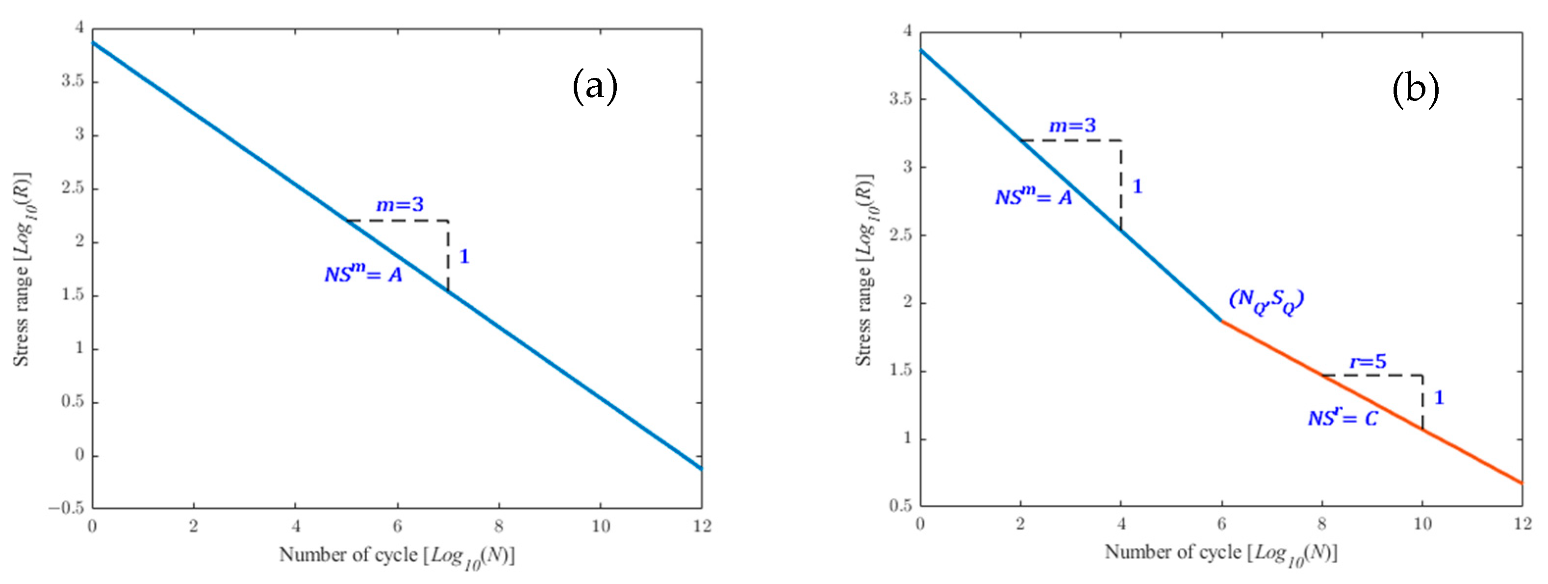
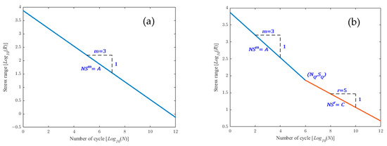
In the fatigue analysis, the stress range S and the corresponding number of fatigue failures N are defined by the S-N curve. The S-N curve is empirically established by fitting the extensive fatigue test data of materials, as depicted in Figure 1a, using the following expression:
N = A S m
where A and m are material parameters, both obtained from fatigue tests.
Offshore structures are typically constructed from steel, and their S-N curves exhibit a double-slope characteristic [1,25], as depicted in Figure 1b. Applicable codes stipulate that utilizing Equation (4) in isolation would lead to an overestimation of the structure’s fatigue damage. Therefore, the S-N curve associated with Equation (4) is employed when the stress load exceeds the critical stress SQ. Conversely, when the stress load falls below the critical stress SQ, the S-N curve corresponding to Equation (5) is applied. The expressions are as follows:
N = C S r
where C and r   are material parameters, which are obtained from fatigue tests.
The prevailing fatigue accumulation criterion in engineering is the Palmgren–Miner linear damage accumulation rule [6]. This rule posits that the fatigue damage of a structure is solely contingent on the magnitude of the loads it experiences. It further assumes that these loads are independent of each other and unaffected by the order in which they are applied. Consequently, the expression for accumulated fatigue damage is as follows:
D a l l = i = 1 k d i = i = 1 k n S i N S i
where n(Si) represents the number of cycles for the load level Si, N(Si) denotes the number of cycles at which the fatigue failure of the material occurs within the stress range Si, and k signifies the number of stress ranges included in the loading time history.
Performing a fatigue damage assessment via the spectral method during the structural design phase is a cost-effective and logical choice. However, to evaluate the accuracy of the spectral method, one must compare its results to those obtained through a time domain analysis, which serves as a benchmark. To generate the stress time history, a Fourier transformation of the spectrum is employed. The range of stress cycles and their frequency can be determined using rain-flow counting. The fatigue damage of the structure can then be calculated using the Palmgren–Miner rule, serving as a reference point to assess the precision of the spectral method.
In the case of an ideal narrowband Gaussian process with stress amplitudes following the Rayleigh distribution, the fatigue damage incurred over a time period T for a single slope S-N curve and can be mathematically represented as follows:
D = v 0 T A 2 2 σ x m Γ 1 + m 2
where v 0 is the mean up-crossing rate, and σ x is the standard deviation of the process.
For a narrowband Gaussian process featuring a double-slope S-N curve [25], where the slope of the S-N curve at the point (SQ, NQ) changes from m to r, and the parameter A changes to C, the fatigue damage accumulated over time T can be expressed as:
D = μ v 0 T A 2 2 σ x m Γ 1 + m 2
where μ is the continuum function, calculated as:
μ = 1 0 S Q S m f S d S A / C 0 S Q S r f S d S 0 S m f S d S
If a spectral method can provide the PDF of cycle f S , it can be applied for evaluating fatigue damage in the context of a double-slope S-N curve. In this scenario, the fatigue damage accumulated over time T can be expressed as follows:
D = v 0 T C 0 S Q S r f S d S + v 0 T A S Q S m f S d S
The PDF of stress amplitudes can be converted into the PDF of stress ranges. Given that the stress range S is twice the stress amplitude R, the transformation between these two PDFs is as follows:
f S S = 1 2 f R S / 2

3. Conventional Spectral Method for Bimodal Process

The bimodal process X ( t ) results from the combination of two mutually independent Gaussian processes: the LF process X L F t and the HF process X H F ( t ) , as described in the following expression:
X t = X L F t + X H F t
The one-sided power spectral density function S ( f ) of X ( t ) is derived by summing the spectral density functions S L F f of X L F t and S H F f of X H F t . The expression is as follows:
S f = S L F f + S H F f
The n-th-order spectral moments of the LF and HF components are given as follows:
m n , L = 0 f n S L F f d f     n = 0,1 , 2,3 , m n , H = 0 f n S H F f d f     n = 0,1 , 2,3 ,
The average zero-crossing rates for the LF and HF components are as follows:
v 0 , L = m 2 , L / m 0 , L , v 0 , H = m 2 , H / m 0 , H
The two parameters are defined as follows:
β = f 2 / f 1 , α = E 2 / E 1
The parameter β represents the ratio of the center frequency of the HF component to the center frequency of the LF component, while α signifies the ratio of the energy of the HF component to the energy of the LF component.
The current spectral method for bimodal processes involves combining the damage generated by large-cycle and small-cycle events, expressed as follows:
D = D L + D S

3.1. Jiao–Moan Method

Jiao and Moan [11] proposed that the small-cycle R S is equal to the HF amplitude RHF, with its amplitude probability following the Rayleigh distribution function, which is expressed as follows:
f R S J M R S = R S m 0 , H exp R S 2 2 m 0 , H
The fatigue damage induced by small-cycle R S in time T is:
D S = v 0 , H T A ( 2 2 m n , H ) m Γ ( 1 + m 2 )
where Γ(∙) represents the Gamma function; v 0 , H is the zero-crossing rate of the HF component, and σ 0 , H is the standard deviation of the HF component.
The large-cycle R L can be estimated as the summation of the envelopes of the LF and HF components, and its PDF can be formulated as follows:
f R L J M R L = m 1 * R L e x p R L 2 2 m 1 * + m 2 * q e x p R L 2 2 m 2 * + 2 π m 1 * m 2 * ( R L 2 1 ) × e x p R L 2 2 × Φ m 1 * m 2 * R L + Φ m 2 * m 1 * R L 1
where m 1 * = m 0 , L m 0 , L + m 0 , H ; m 2 * = m 0 , H m 0 , L + m 0 , H .
The fatigue damage induced by the large-cycle R L in time T is:
D L = v 0 , p T A 2 2 m Γ 1 + m 2 m 1 * m 2 + 2 1 m 2 * m 1 * + π m 1 * m 2 * m Γ 1 2 + m 2 Γ 1 + m 2
where v 0 , p can be calculated as follows:
v 0 , p = m 1 * v 0,1 1 + m 2 * m 1 * v 0,2 v 0,1 1 m 1,2 2 m 0,2 m 2,2 2

3.2. Fu–Cebon Method

Fu and Cebon [13] agreed with the small-cycle solution presented by Jiao and Moan but introduced an alternative count, n S = ( v 0 , H v 0 , L ) × T ; the fatigue damage caused by small-cycle events over time T is expressed as follows:
D S = ( v 0 , H v 0 , L ) T A 2 2 m n , H m Γ 1 + m 2
Fu and Cebon proposed that the count of large-cycle events was v 0 , L × T , and the PDF can be described as the convolution of the LF and HF magnitude PDFs. Given that both LF and HF components follow the Rayleigh distribution, the PDF of the large-cycle R L can be expressed as follows:
f R L F C R L = 1 m 0 , L m 0 , H e R L 2 2 m 0 , H 0 R L ( R L y y 2 ) e U y 2 + V y R L d y
where U = 1 m 0 , L + 1 m 0 , H / 2 ; V = 1 m 0 , H .
The fatigue damage caused by large-cycle events within the time period T can be expressed as follows:
D L = 2 m v 0 , L T A 0 R L m A f R L F C R L d R L

3.3. Low Method

Low [16] observed that when the LF time series exhibits a similar upward or downward trend as the HF time series, the small-cycle R S is smaller than the HF amplitude R H F , and he labeled this phenomenon as “Effect A”. Low validated the accuracy of the Fu–Cebon cycle counting method and introduced the phase angle to address Effect A. Low suggested that the fatigue damage resulting from small-cycle events over a period of time T can be calculated as follows:
D S = 2 m v 0 , H v 0 , L T A 0 π 4 β π 2 ε R L F , θ R H F ε R L F , θ m × f R H F R H F f Θ θ f R L F R L F d R H F d θ d R L F
where
ε R L F , θ = π 2 v 0 , L v 0 , H R L F s i n θ
RLF represents the LF amplitude, and RHF stands for the HF amplitude, both of which adhere to the Rayleigh distribution.
As LF and HF amplitudes may not occur simultaneously, there is a phase difference denoted as θ. Assuming that θ follows a uniform distribution, its expression is as follows:
f Θ θ = π 2 π 4 v 0 , L v 0 , H 1 , π 4 v 0 , L v 0 , H θ < π 2
In addition, Low noted the presence of a phase difference between the peaks of the LF and HF amplitudes, and it was observed that the large cycle is, in fact, smaller than the combined sum of the LF and HF amplitudes, which he termed Effect B. To address Effect B, Low suggested that the fatigue damage resulting from large-cycle event over a period of time T can be expressed as follows:
D L = 2 m v 0 , L T A 0 0 0 π R L R L F , R H F , Ψ m f Ψ Ψ × f R H F R H F f R L F R L F d Ψ d R H F d R L F
where R L R L F , R H F , Ψ is the large-cycle event taking into account Effect B, which is expressed as:
R L R L F , R H F , Ψ = R L F cos c R L F , R H F Ψ + R H F cos ( v 0 , H v 0 , L c R L F , R H F 1 ) Ψ
Ψ represents the phase difference between the amplitudes of the LF and HF components, and it is presumed to follow a uniform distribution:
f Ψ Ψ = 1 π , 0 Ψ < π
c R L F , R H F can be expressed as follows:
c R L F , R H F = R H F v 0 , H v 0 , L / R L F + R H F v 0 , H v 0 , L 2

3.4. Huang Method

Regarding the small cycle, Huang [17] introduced an alternative calculation method. By examining the superposition of two sinusoidal curves at different frequencies, Huang determined that within an HF cycle, small-cycle event corresponds to the HF amplitude minus the change in the LF time series. Employing the same cycle counting method as the Fu–Cebon solution, the fatigue damage resulting from small-cycle over a period of time T can be expressed as follows:
D S = 2 m v 0 , H v 0 , L T A R H F > Δ R H F Δ m f R H F R H F f Δ Δ d R H F d Δ
where R H F is the amplitude of the HF component, and it conforms to the Rayleigh distribution.
Δ follows a normal distribution [17], with a mean of zero and a variance of σ Δ , and σ Δ is calculated as:
σ Δ 2 = 2 σ L F 2 2 0 S H F f cos f     μ H F / 2 d f
where S H F f is the spectrum density function of the HF component, and μ H F represents the mean or expected value of the HF component frequencies.
For large-cycle events, Huang proposed the following equation:
R L = R H F + R L F ( c o s ω L c Δ t L p )
where R H F is the amplitude of the HF process, and R L F is the amplitude of the LF process; both conform to the Rayleigh distribution. The time interval Δ t L p is defined as the disparity between the time when the LF peaks and the time when the bimodal process reaches its peak. This interval is presumed to follow a uniform distribution in the interval T H F / 2 , T H F / 2 . ω L c is the frequency of the LF component.
The fatigue damage resulting from large cycles within the time period T can be represented as follows:
D L = 2 m v 0 , L T A 0 0 T H F / 2 T H F / 2 R H F + R L F cos ω L c Δ t L p m × f Δ t L p Δ t L p f R H F R H F f R L F R L F d Δ t L p d R H F d R L F

4. The Double-Frequency Coupled Method for the Bimodal Process

The aim of this paper is to establish an innovative method for evaluating fatigue damage in bimodal processes, where both the LF and HF components adhere to Gaussian distributions. This method employs Gaussian distribution to model reduction effects, effectively coupling the LF and HF processes, referred to as double-frequency coupled (DFC) method. The DFC method provides the PDF for large-cycle and small-cycle events, including not only the reduction effects but also facilitating fatigue damage assessment within a double-slope S-N curve context.

4.1. Fatigue Damage Caused by Small-Cycle Events

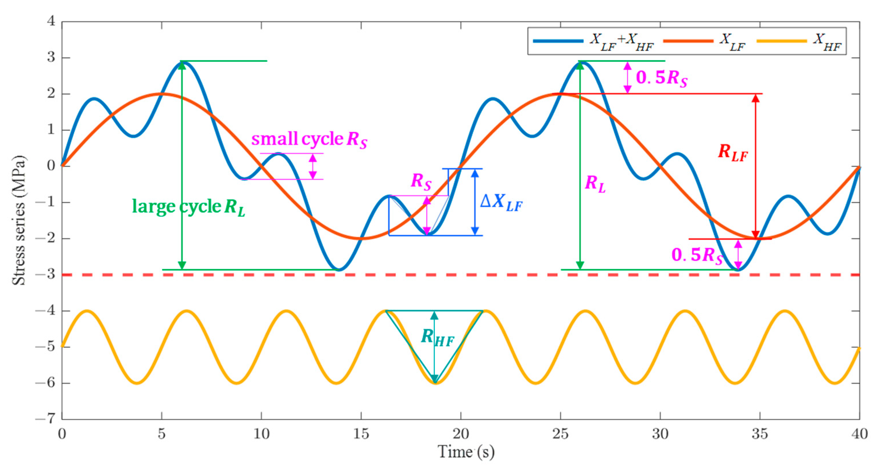
As depicted in Figure 2, the bimodal process X(t) is the result of adding the LF process XLF(t) to the HF process XHF(t). Due to the reduction effects, the small-cycle R S is notably smaller than the HF amplitude R H F . According to Huang’s theory, within a high-frequency interval, the small-cycle R S equals the HF amplitude R H F minus the alteration in the LF process Δ X L F , i.e.,:
R S = R H F Δ X L F
Consequently, the PDF of the small-cycle R S can determined from the PDF of R H F and Δ X L F .
R H F represents the HF amplitude, which adheres to the Rayleigh distribution, as follows:
f R H F ( R H F ) = R H F m 0 , H e x p ( R H F 2 2 m 0 , H )
The solution for Δ X L F is based on Huang’s theory [17]. According to this theory, the Δ X L F can be expressed as Δ X L F = X L F t h + T H F / 2 X L F t h , where t h is the point in time when the HF process is at a maximum.
Since X L F t h + T H F / 2 and X L F t h are Gaussian processes, their difference Δ X L F is also a Gaussian process. Its mean value μ Δ is zero, and its variance σ Δ 2 can be expressed as follows:
σ Δ 2 = 2 σ L F 2 1 ρ L F T H F / 2
where ρ L F T H F / 2 reflects the correlation coefficient between X L F t h + T H F / 2 and X L F t h .
Since the T H F is a random variable, its expectation can be used to calculate σ Δ 2 , and σ Δ 2 can be expressed as follows:
σ Δ 2 = 2 σ L F 2 1 ρ L F μ T H F / 2
The correlation coefficient ρ L F μ T H F / 2 can be calculated as follows:
ρ L F μ T H F / 2 = 0 S H F ω cos ω     μ T H F / 2 d ω μ L F 2 / σ L F 2
Therefore, σ Δ 2 can be solved using the following equation [17]:
σ Δ 2 = 2 σ L F 2 2 0 S H F f cos f     μ H F / 2 d f
The number of small cycles in the bimodal process is ( v 0 , H v 0 , L ) × T according to Fu–Cebon and Low [13,16]. Since Δ X L F and X H F do not necessarily show the same upward or downward trends, the absolute value of the Δ X L F is used. When R S is below | Δ X L F | , the small cycle disappears. At this time, R S is zero and can be expressed as:
R S = R H F | Δ X L F |   ,   R H F > | Δ X L F | 0   ,   o t h e r s w i s e
Since R H F follows the Rayleigh distribution and Δ X L F follows the normal distribution, the PDF of the small-cycle R S is the convolution of R H F and Δ X L F , which can be expressed as:
f R S D F C R S = 2 π σ Δ σ H F 2 e R S 2 2 σ H F 2 0 R S y + R S e 1 2 σ Δ 2 + 1 2 σ H F 2 y 2 1 σ H F 2 y R S d y
Then, the fatigue damage caused by small cycles in time T can be expressed as:
D S = 2 m v 0 , H v 0 , L T A 0 R S m f R S N e w R S d R S
The theory presented by Huang is utilized to address small-cycle events, and the PDF of a small-cycle event is provided. Differing from the Huang method, a novel method for resolving the large-cycle event is introduced, and the magnitude PDF is discussed in the following section.

4.2. Fatigue Damage Caused by Large-Cycle Events

As depicted in Figure 2, due to the reduction effects, the large-cycle R L is significantly smaller than the sum of the HF amplitude R H F and the LF amplitude R L F . Since the bimodal process involves the HF component reciprocating the LF process at the equilibrium position, it is expected that the large-cycle should include the complete LF process. Additionally, as the HF process reciprocates with the LF process at the equilibrium position, its amplitude is no longer that of the HF process but rather the small-cycle R S . Therefore, this study proposes a new large-cycle solution, which is the sum of the LF amplitude R L F and the small-cycle R S , expressed as follows:
R L = R L F + R S
R L F represents the amplitude of the low-frequency (LF) process, and it follows the Rayleigh distribution:
f R L F R L F = R L F m 0 , L exp R L F 2 2 m 0 , L
Since R L F follows the Rayleigh distribution, the distribution of R S is shown in Equation (43). The PDF of the large-cycle event is caused by the convolution of R L F and R S , which can be expressed as follows:
f R L D F C R L = 2 π σ Δ σ H F 2 σ L F 2 e R L 2 2 σ L F 2 0 R L 0 Z R L z y + z e 1 2 σ L F 2 + 1 2 σ H F 2 z 2 + 1 σ L F 2 s z 1 2 σ Δ 2 + 1 2 σ H F 2 y 2 1 σ H F 2 y s d y d z
Hence, the fatigue damage caused by large cycles within the time T can be expressed as follows:
D L = 2 m v 0 , L T A 0 R L m f R L N e w R L d R L

5. Numerical Study

In this section, the effectiveness of the spectral fatigue assessment method is described. For the single-slope S-N curve, the Jiao–Moan method, Fu–Cebon method, Low method, Huang method, and DFC method are all validated. However, for the double-slope S-N curve, methods that do not provide amplitude PDFs are not suitable for fatigue damage assessment. These methods include the Low method and the Huang method. Therefore, validation is performed using the narrow-band method, Jiao–Moan method, Fu–Cebon method, and DFC method. To validate these methods, the fatigue damage obtained from a time domain analysis is used as the benchmark. The time domain analysis includes 217 sample points of time history data, corresponding to over 5000 resulting rain-flow cycles. The results from the various spectral methods are normalized according to the following equation:
D i * = D F D i D T D i
where i is the ith bimodal spectrum; D F D is the fatigue damage derived from the spectral method; and D T D is the fatigue damage derived from the time domain method.
The root-mean-square error was employed for comparing the overall error of each method and calculated as follows:
E r = 1 N i = 1 N 1 D i * 2 × 100 %
The accuracy of each method for different parameters is investigated using the rectangular bimodal spectrum. Additionally, the applicability of each method is validated with the actual stress bimodal spectra from two ocean engineering projects.

5.1. Rectangular Bimodal Spectra

Figure 3a depicts an ideal rectangular bimodal spectrum, while Figure 3b shows a typical bimodal process.

5.1.1. Single-Slope S-N Curve

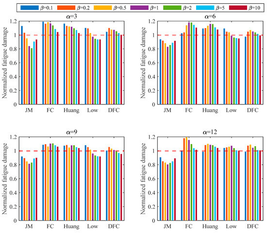
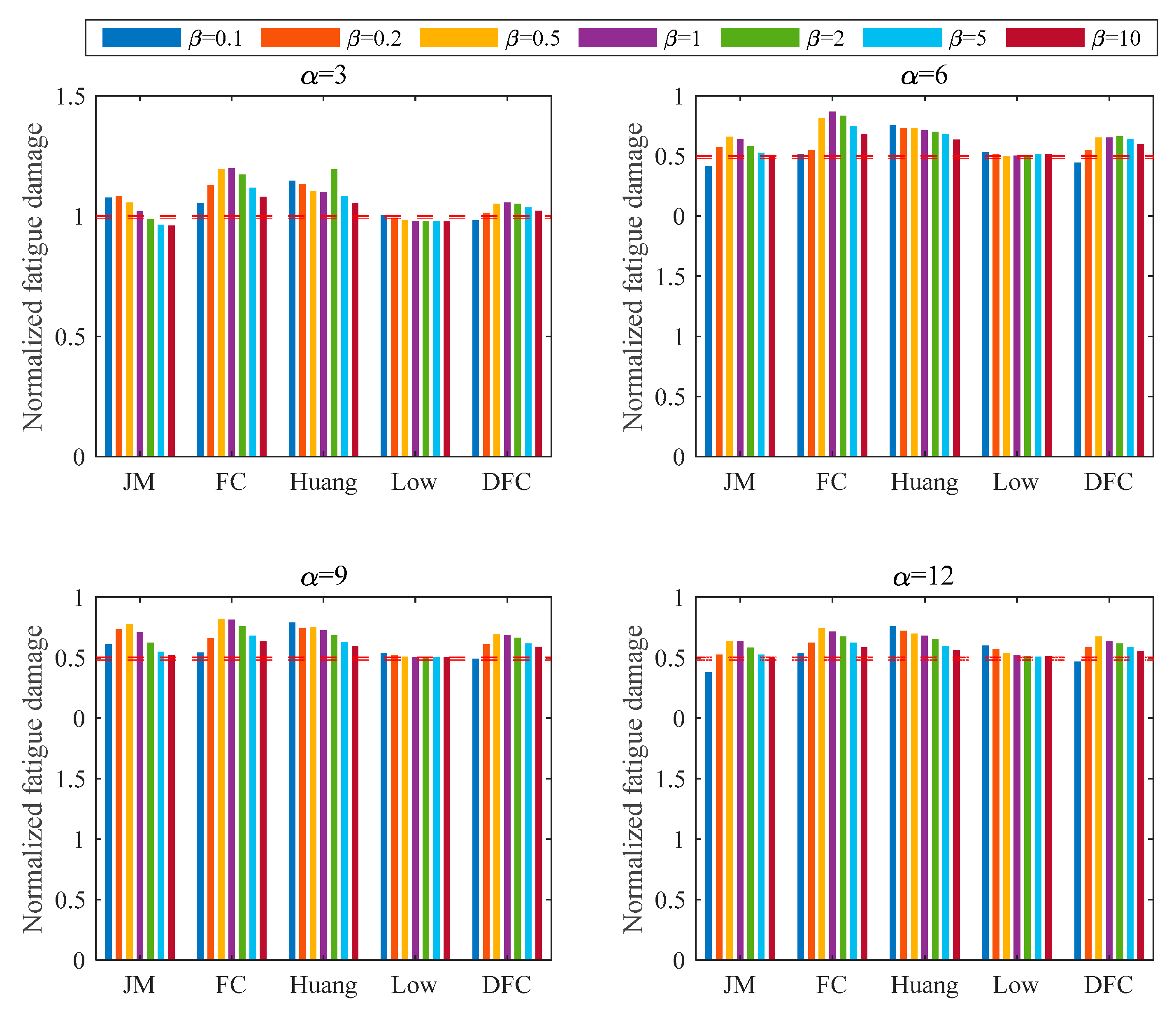
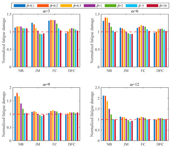
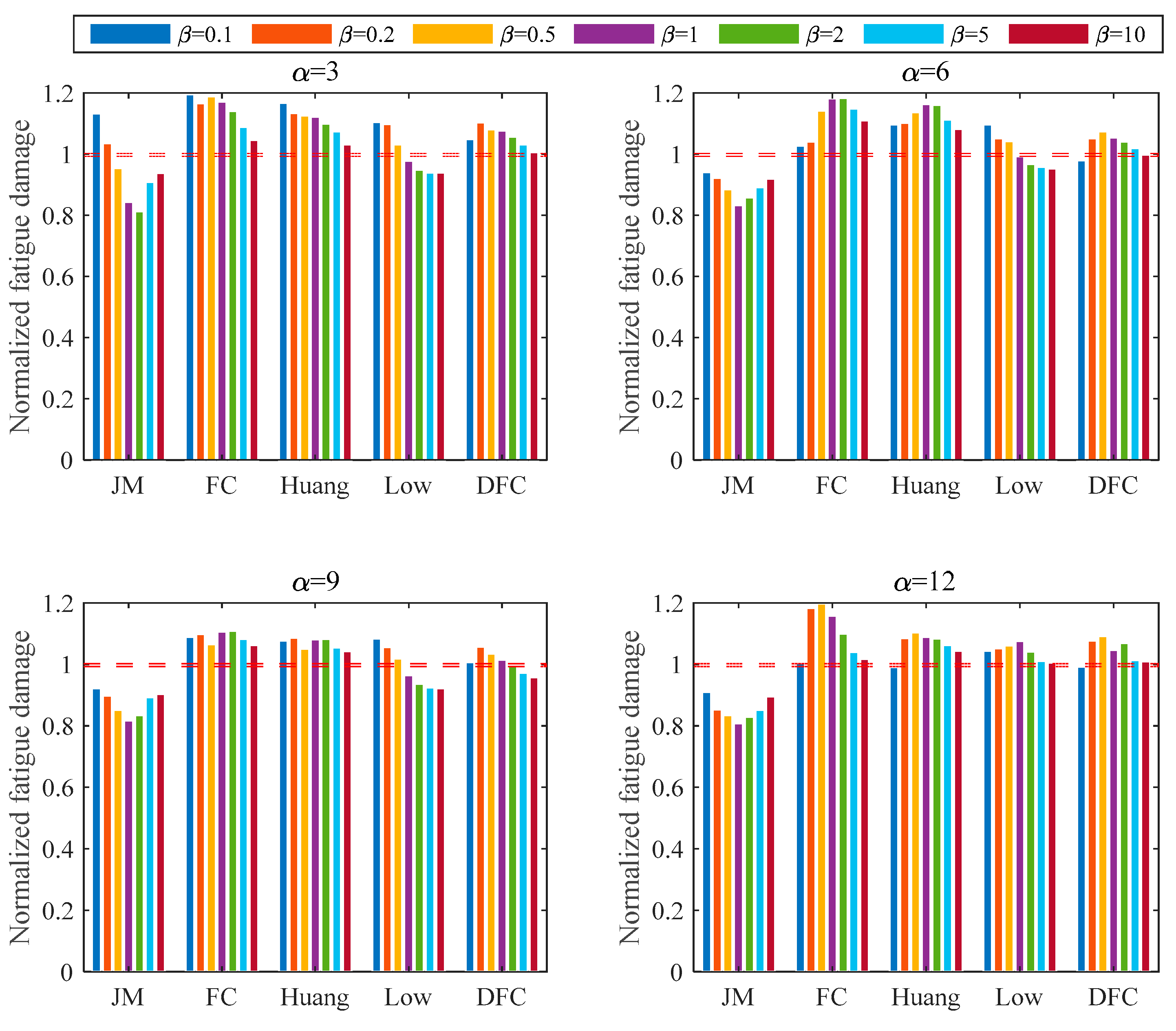
To ensure that all components of the bimodal spectrum fall within the narrowband range, a Wirsching parameter ε = 0.0719 was chosen as the bandwidth for each band. The ratios (β) of the HF component’s center frequency f2 to the LF component’s center frequency f1 in this study are set as 3, 6, 9, and 12, respectively. The ratios (α) of the HF component’s energy E2 to the LF component’s energy E1 are specified as 0.1, 0.2, 0.5, 1, 2, 5, and 10, respectively. The slopes (m) of the single-slope S-N curve are 3 and 5.
Figure 4 and Figure 5 illustrate the variation of fatigue damage with α and β as predicted by each spectral method at m = 3 and m = 5, respectively. The fatigue damage calculated using the Jiao–Moan method (JM) is generally accurate for most cases at m = 3, with a maximum error of 11%. However, at m = 5, the Jiao–Moan method consistently underestimates fatigue damage in the majority of cases, with a maximum error exceeding 20%. The Fu–Cebon method (FC), due to its inability to account for reduction effects, tends to overestimate fatigue damage, with errors larger at m = 5 than at m = 3, reaching a maximum error of 20%.
In contrast, the Huang method (Huang) and Low method (Low), which consider reduction effects, do not overestimate fatigue damage as significantly as the Fu–Cebon method. For the Huang method, the maximum overestimation is 11% at m = 3 and 15% at m = 5. The Low method consistently exhibits the highest accuracy, with an error of only 1% at m = 3 and an error remaining under 10% at m = 5.
The DFC method, also accounting for reduction effects, maintains a maximum error under 10% at both m = 3 and m = 5.
To compare the accuracy of different spectral methods, the root-mean-square error of each method is presented in Table 1.
Table 1 outlines the root-mean-square errors for each spectral method at both m = 3 and m = 5. Notably, the root-mean-square error is larger at m = 5 for all methods. Due to its omission of the reduction effect, the Fu–Cebon method exhibits the largest overall root-mean-square error at 11.69%. While the Jiao–Moan method demonstrates good accuracy at m = 3, its accuracy significantly declines at m = 5, resulting in a root-mean-square error of 9.81%. The Huang method, which accounts for reduction effects, offers better accuracy than the Fu–Cebon method and demonstrates robustness for various values of m, with a root-mean-square error of 9.79%. The Low method, accurately describing the fatigue damage of both large-cycle and small-cycle events, attains the highest accuracy with a root-mean-square error of only 1.47% at m = 3 and 5.79% at m = 5, leading to the smallest overall root-mean-square error at 4.23%. The DFC method’s root-mean-square errors are 4.99% and 5.07% at m = 3 and m = 5, respectively, with an overall root-mean-square error of 5.03%. Hence, the DFC method offers an assessment accuracy comparable to the Low method and is more suitable for practical engineering applications due to its simplified calculations.

5.1.2. Double-Slope S-N Curve

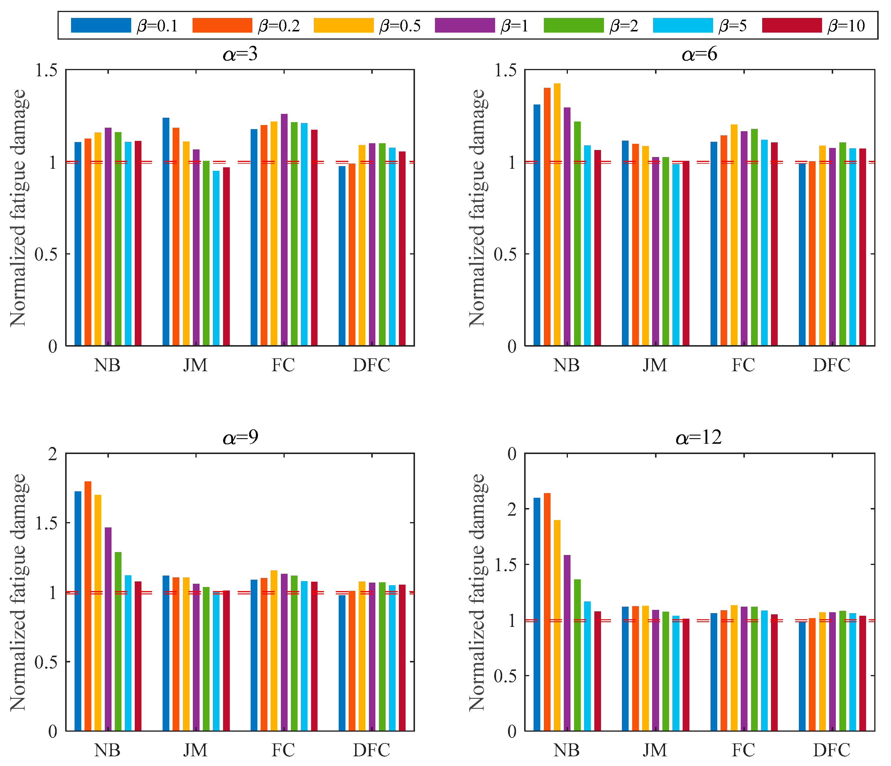
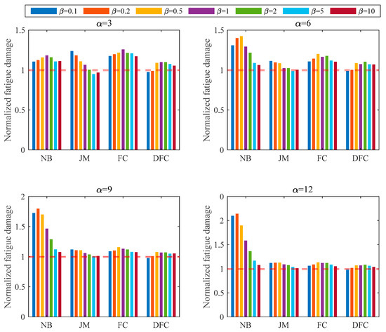
Offshore structures are typically constructed from steel and rely on double-slope S-N curves for fatigue assessments. The fatigue code [25] shows that the fatigue damage resulted from the single-segment S-N curve is overconservative, and a double-slope S-N curve may be more suitable for the structure with cathodic protection. The choice between using m = 5 or m = 3 to calculate fatigue damage is determined by the critical stress level. When stresses exceed the critical stress, m = 5 is employed, while m = 3 is used for stresses below the critical threshold. The specific stress quantile corresponding to the critical stress, denoted as S Q , determines the distribution of stresses for fatigue assessment with different S-N curve slopes. To examine the performance of each spectral method under different critical stress percentiles, this paper analyzes two typical cases with 30% and 70% of the stresses falling below the critical stress.
In this section, the same β and α values as those in Section 5.1.1 are employed. The fatigue damage obtained from the time domain method serves as the benchmark, and the results from different spectral methods are normalized.
The normalized fatigue damage derived from each spectral method with the critical stresses at the 30th and 70th percentiles is presented in Figure 6 and Figure 7. Each method exhibits good agreement with the critical stress at different percentiles. The error of the narrowband method gradually increases as α increases, with a maximum error exceeding 110%. The accuracy of the Jiao–Moan method improves as α increases, reaching a maximum error of 29%. The Fu–Cebon method consistently overestimates fatigue damage, with a maximum error of 36%. The DFC method demonstrates the highest accuracy, with a maximum error below 10%, attributed to its consideration of reduction effects. The root-mean-square error for each spectral method is presented in Table 2.
Table 2 displays the root-mean-square errors for spectral methods at different critical stress percentiles. Notably, the narrowband method (NB) is unsuitable for analyzing the fatigue damage of bimodal processes, with an overall root-mean-square error of 47.02%. The Fu–Cebon method (FC) yields an overall root-mean-square error of 15.82% as it cannot account for reduction effects. The Jiao–Moan method (JM) reports a root-mean-square error of 9.71%. The DFC method stands out with the highest accuracy, featuring an overall root-mean-square error of only 6.36%. Consequently, the DFC method is well-suited for assessing fatigue damage in double-slope S-N curves and holds substantial potential for practical engineering applications.

5.2. Actual Bimodal Spectra

In practical engineering, stress spectra often deviate from rectangular shapes. Therefore, it is essential to validate the accuracy of each spectral method when dealing with real stress spectra. In this section, two actual stress spectra are selected to assess the performance of each spectral method in two scenarios: (1) Single-slope S-N curves with m = 3 and m = 5, and (2) double-slope S-N curves with critical loads positioned at the 30th and 70th percentiles of the stress probability distribution.
Figure 8 depicts a bimodal response spectrum generated in Case 1 [26]. In the figure, the blue line represents the stress power spectral density (PSD), and the red dotted lines represent the peaks of the stress PSD. The stress PSD under analysis comprises two components: an LF component that includes the surge response with a peak frequency of 0.067 Hz and a HF component with the wind flow response featuring a peak frequency of 0.2 Hz. A frequency of 0.1 Hz serves to differentiate between the LF and HF components. Subsequently, the LF component bandwidth is ε L F = 0.0694 and the HF component bandwidth is ε H F = 0.7052 . Table 3 provides the relative errors for each spectral method with respect to the single-slope S-N curve, while Table 4 presents the relative errors for each spectral method concerning the double-slope S-N curve.
Table 3 reveals that the Fu–Cebon method exhibits the highest error rate for the single-slope S-N curve, with errors of 13.38% at m = 3 and 23.2% at m = 5. The Huang method demonstrates error rates of 7.9% at m = 3 and 18.32% at m = 5, leading to an overestimation of fatigue damage in both cases. In contrast, the Jiao–Moan method, Low method, and DFC method deliver precise assessments of fatigue damage, displaying error rates not exceeding 5% at m = 3 and 10% at m = 5. It should be noted that the Low method underestimates structure’s fatigue damage for m = 3 case, and the Jiao–Moan method underestimates structure’s fatigue damage for m = 5 case.
Table 4 highlights the errors associated with the critical stress at two percentiles for the double-slope S-N curve. The narrow-band method overestimates fatigue damage, with errors of 14.45% and 12.92%. The Fu–Cebon method overestimates fatigue damage, resulting in errors of 18.54% and 18.18%. The Jiao–Moan method yields relatively better results, with errors of 10.74% and 10.35%. The DFC method achieves the lowest error rates, with none exceeding 8.5%.
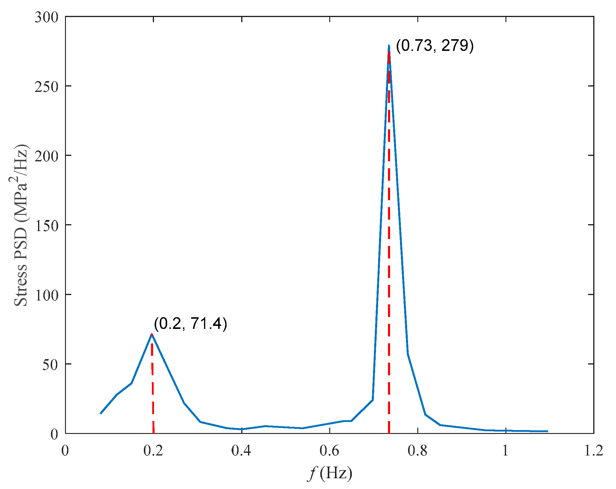
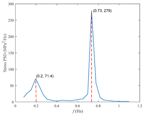
Figure 9 presents the bimodal stress spectrum for a large bulk carrier in Case 2 [27], acquired through field measurements. In the figure, the blue line represents the stress PSD, and the red dotted lines represent the peaks of the stress PSD. This stress PSD’s LF component comprises the wave frequency process with a peak frequency of 0.2 Hz, while the HF component includes the second-order resonance process of the ship hull with a peak frequency of 0.73 Hz. A frequency of 0.5 Hz serves to distinguish the LF and HF components. As a result, the LF component bandwidth is ε L F = 0.5839 , and the HF component bandwidth is ε H F = 0.1891 . Table 5 provides the relative errors for each spectral method in the context of the single-slope S-N curve, while Table 6 presents the relative errors for each spectral method concerning the double-slope S-N curve.
As demonstrated in Table 5, the Fu–Cebon method exhibits a maximum error of 20.19% for single-slope S-N curves. The Huang method, on the other hand, maintains errors below 15%. The Jiao–Moan method displays error rates of 8.18% at m = 3 and –12.95% at m = 5 (the negative values indicate that the fatigue damage is underestimated). Both the Low method and the DFC method offer accurate assessments of fatigue damage, with errors not exceeding 8% across different slopes.
Table 6 presents errors associated with the critical stress at two percentiles for double-slope S-N curves. The narrow-band method overestimates fatigue damage with errors of 17.27% and 16.26%. The Fu–Cebon method overestimates fatigue damage, showing errors of 15.31% and 14.39%. The Jiao–Moan method and the DFC method yield favorable assessment results, none of which exceed a 6.5% error.

6. Discussion

According to the comparison results of fatigue damage contributed by different spectral methods, one can find that the Jiao–Moan method and the Fu–Cebon method can provide the PDFs of the response amplitude; therefore, they can estimate structure fatigue damage under the double-slope S-N curves. However, the Jiao–Moan method and Fu–Cebon method fail to consider the reduction effects between the low- and high-frequency responses; therefore, the fatigue damages resulted from these two methods deviate from the benchmark ones. In addition, the Low method and Huang method do not provide the PDF of the response amplitude, and thus cannot estimate structure fatigue damage under the double-slope S-N curves.
Different from the Jiao–Moan, Fu–Cebon, Low and Huang methods, the DFC method not only provides the PDF of the response amplitude associated with the large- and small-cycle events, but also considers the reduction effects between the low- and high-frequency responses. Therefore, the DFC method can be applied to both single- and double-slope S-N curves, and the fatigue damage resulting from this method is very close to the benchmark values. These qualities make the DFC method a powerful tool in the preliminary fatigue damage design of offshore structure. However, the PDF of the DFC method should be established using numerical integration, which limits computational speed to some extent. Future research should focus on the analytical expression of the response amplitude PDF for the small and large cycles associated with the bimodal Gaussian and non-Gaussian processes.

7. Conclusions

In this paper, a novel method is proposed for assessing fatigue damage in bimodal processes while considering reduction effects. Based on Huang’s algorithm [17] for small-cycles, the large cycle is formed by superimposing small-cycle events and the LF amplitude, thereby creating a new PDF for the rain-flow amplitude in bimodal processes. The DFC method accommodates for reduction effects and furnishes the PDFs for both large-cycle and small-cycle events. As it depends solely on the spectral moments and the autocorrelation function of the LF and HF components, the DFC method can directly calculate the fatigue damage of bimodal processes. By evaluating its accuracy using various rectangular spectra and real bimodal spectra from offshore structures, the performance of the DFC method is confirmed and compared with other existing methods. The conclusions are as follows:
(1)
For bimodal processes, all methods provide accurate predictions of fatigue damage, with m = 3 for single-slope S-N curves.
(2)
Methods that do not account for reduction effects yield larger errors compared to those that do, underscoring the critical role of reduction effects in predicting fatigue damage in bimodal processes.
(3)
Errors in methods neglecting reduction effects exhibit greater variability since M increases to 5. In contrast, methods considering reduction effects show a more modest increase in errors for m = 5 compared to m = 3, reflecting their robustness.
(4)
The Low method and DFC method demonstrate excellent applicability, with overall errors below 10%. The DFC method can effectively address reduction effects and is suitable for predicting fatigue damage in double-slope S-N curves. Offering a broader range of applications and simpler calculations, the DFC method holds significant promise for practical engineering applications.

Author Contributions

Conceptualization, Y.G. and X.S.; methodology, Y.G.; software, Y.G. and X.S.; validation, S.W. and H.G.; formal analysis, Y.G. and X.S.; writing—original draft preparation, Y.G. and X.S.; writing—review and editing, S.W. and H.G.; supervision, S.W.; project administration, S.W. and X.S.; funding acquisition, S.W. and X.S. All authors have read and agreed to the published version of the manuscript.

Funding

This research was funded by the National Natural Science Foundation of China (52088102, 52301351), the Natural Science Foundation of Shandong Province (ZR2021QE101) and the Major Research Development Program of Shandong Province (2021CXGC010701).

Institutional Review Board Statement

Not applicable.

Informed Consent Statement

Not applicable.

Data Availability Statement

The data presented in this study are all included in this article.

Conflicts of Interest

The authors declare no conflict of interest.

References

  1. Song, X.; Wang, S. A novel spectral moments equivalence based lumping block method for efficient estimation of offshore structural fatigue damage. Int. J. Fatigue 2019, 118, 162–175. [Google Scholar] [CrossRef]
  2. Mohammadi, S.F.; Galgoul, N.S.; Starossek, U.; Videiro, P.M. An efficient time domain fatigue analysis and its comparison to spectral fatigue assessment for an offshore jacket structure. Mar. Struct. 2016, 49, 97–115. [Google Scholar] [CrossRef]
  3. Mendes, P.; Correia, J.A.F.O.; Mourão, A.; Pereira, R.; Fantuzzi, N.; De Jesus, A.; Calçada, R. Fatigue Assessments of a Jacket-Type Offshore Structure Based on Static and Dynamic Analyses. Pract. Period. Struct. Des. Constr. 2020, 26, 04020054. [Google Scholar] [CrossRef]
  4. Zheng, T.; Chen, N.-Z. Time-domain fatigue assessment for blade root bolts of floating offshore wind turbine (FOWT). Ocean Eng. 2022, 262, 112201. [Google Scholar] [CrossRef]
  5. Haselibozchaloee, D.; Correia, J.; Mendes, P.; de Jesus, A.; Berto, F. A review of fatigue damage assessment in offshore wind turbine support structure. Int. J. Fatigue 2022, 164, 107145. [Google Scholar] [CrossRef]
  6. Miner, M.A. Cumulative Damage in Fatigue. J. Appl. Mech. 1945, 12, A159–A164. [Google Scholar] [CrossRef]
  7. Low, Y.M.; Huang, X. Long-term extreme response analysis of offshore structures by combining importance sampling with subset simulation. Struct. Saf. 2017, 69, 79–95. [Google Scholar] [CrossRef]
  8. He, W.; Xie, L.; Wang, S.; Hu, Z.; Xie, D.; Wang, C. Preliminary assessment of the mooring fatigue performance of a semi-submersible platform in time-domain utilizing fracture mechanics-based approach. Appl. Ocean Res. 2022, 129, 103407. [Google Scholar] [CrossRef]
  9. Newland, D.E. An Introduction to Random Vibrations, Spectral and Wavelet Analysis; Courier Corporation: Chelmsford, UK, 2013; Volume 108, pp. 140–147. [Google Scholar]
  10. Gao, S.; Zheng, X.Y. An improved spectral discretization method for fatigue damage assessment of bimodal Gaussian processes. Int. J. Fatigue 2019, 119, 268–280. [Google Scholar] [CrossRef]
  11. Jiao, G.; Moan, T. Probabilistic analysis of fatigue due to Gaussian load processes. Probabilistic Eng. Mech. 1990, 5, 76–83. [Google Scholar] [CrossRef]
  12. Sakai, S.; Okamura, H. On the Distribution of Rainflow Range for Gaussian Random Process with Bimodal PSD. Trans. Jpn. Soc. Mech. Eng. Ser. A 1994, 60, 1464–1469. [Google Scholar] [CrossRef][Green Version]
  13. Fu, T.T.; Cebon, D. Predicting fatigue lives for bi-modal stress spectral densities. Int. J. Fatigue 2000, 22, 11–21. [Google Scholar] [CrossRef]
  14. Benasciutti, D.; Tovo, R. On fatigue damage assessment in bimodal random processes. Int. J. Fatigue 2007, 29, 232–244. [Google Scholar] [CrossRef]
  15. Zhu, Y.; Li, P.; Sun, J. A probability density model of stress amplitude under bimodal vibration response. Int. J. Fatigue 2023, 170, 107540. [Google Scholar] [CrossRef]
  16. Low, Y.M. A method for accurate estimation of the fatigue damage induced by bimodal processes. Probabilistic Eng. Mech. 2010, 25, 75–85. [Google Scholar] [CrossRef]
  17. Huang, W. The Rain-Flow Estimate of Fatigue Damage of Combined High and Low Frequency Load Effects. In Proceedings of the ASME 2013 32nd International Conference on Ocean, Offshore and Arctic Engineering, Nantes, France, 9–14 June 2013. [Google Scholar]
  18. Lotsberg, I.E.A. Background for Revision of Dnv-RP-C203 Fatigue Analysis of Offshore Steel Structure. In Proceedings of the International Conference on Offshore Mechanics and Arctic Engineering, Halkidiki, Greece, 12–17 June 2005. [Google Scholar]
  19. Huang, W.M.T. Fatigue Under Combined High and Low Frequency Loads. In Proceedings of the International Conference on Offshore Mechanics & Arctic Engineering, Hamburg, Germany, 4–9 June 2006. [Google Scholar]
  20. Benasciutti, D.; Braccesi, C.; Cianetti, F.; Cristofori, A.; Tovo, R. Fatigue damage assessment in wide-band uniaxial random loadings by PSD decomposition: Outcomes from recent research. Int. J. Fatigue 2016, 91, 248–250. [Google Scholar] [CrossRef]
  21. Braccesi, C.; Cianetti, F.; Tomassini, L. Random fatigue. A new frequency domain criterion for the damage evaluation of mechanical components. Int. J. Fatigue 2015, 70, 417–427. [Google Scholar] [CrossRef]
  22. Han, C.; Ma, Y.; Qu, X.; Yang, M.; Qin, P. A practical method for combination of fatigue damage subjected to low–frequency and high–frequency Gaussian random processes. Appl. Ocean Res. 2016, 60, 47–60. [Google Scholar] [CrossRef]
  23. Yuan, K.; Jin, H.; Chai, W. Development of a new spectral method for fatigue damage assessment in bimodal and trimodal Gaussian random processes. Ocean Eng. 2023, 267, 113273. [Google Scholar] [CrossRef]
  24. Wirsching, P.H.; Light, M.C. Fatigue under Wide Band Random Stresses. J. Struct. Div. 1980, 106, 1593–1607. [Google Scholar] [CrossRef]
  25. Shipping, A.B.o. Guide for the Fatigue Assessment of Offshore Structures; American Bureau of Shipping: Houston, TX, USA, 2003. [Google Scholar]
  26. Olagnon, M.; Guédé, Z. Rainflow fatigue analysis for loads with multimodal power spectral densities. Mar. Struct. 2008, 21, 160–176. [Google Scholar] [CrossRef][Green Version]
  27. Stiansen, S.G.; Mansour, A.E. Ship Primary Strength Based on Statistical Data Analysis. In Proceedings of the Annual Meeting of the Society of Naval Architects and Marine Engineers, New York, NY, USA, 13–15 November 1975. [Google Scholar]
Figure 1. S-N curves: (a) single-slope S-N curve; (b) double-slope S-N curve.
Figure 1. S-N curves: (a) single-slope S-N curve; (b) double-slope S-N curve.
Jmse 11 02217 g001
Figure 2. Small and large amplitude stress cycles of the bimodal Gaussian process.
Figure 2. Small and large amplitude stress cycles of the bimodal Gaussian process.
Jmse 11 02217 g002
Figure 3. Bimodal spectrum and process: (a) Rectangular bimodal spectrum; (b) Bimodal processes.
Figure 3. Bimodal spectrum and process: (a) Rectangular bimodal spectrum; (b) Bimodal processes.
Jmse 11 02217 g003
Figure 4. Variation in fatigue damage with α and β at m = 3.
Figure 4. Variation in fatigue damage with α and β at m = 3.
Jmse 11 02217 g004
Figure 5. Variation in fatigue damage with α and β at m = 5.
Figure 5. Variation in fatigue damage with α and β at m = 5.
Jmse 11 02217 g005
Figure 6. Fatigue damage with the critical stress at the 30th percentile.
Figure 6. Fatigue damage with the critical stress at the 30th percentile.
Jmse 11 02217 g006
Figure 7. Fatigue damage with the critical stress at the 70th percentile.
Figure 7. Fatigue damage with the critical stress at the 70th percentile.
Jmse 11 02217 g007
Figure 8. Real bimodal spectrum, comprising both wave response and surge response.
Figure 8. Real bimodal spectrum, comprising both wave response and surge response.
Jmse 11 02217 g008
Figure 9. Bimodal stress spectrum of a large bulk carrier.
Figure 9. Bimodal stress spectrum of a large bulk carrier.
Jmse 11 02217 g009
Table 1. Root-mean-square error of each method.
Table 1. Root-mean-square error of each method.
Methodm = 3m = 5m = 3 & 5
JM5.28%12.83%9.81%
FC10.67%12.63%11.69%
Huang9.55%9.92%9.79%
Low1.47%5.79%4.23%
DFC4.99%5.07%5.03%
Table 2. Root-mean-square error of each spectral method.
Table 2. Root-mean-square error of each spectral method.
Method30th Percentile70th PercentileOverall
NB48.24%45.78%47.02%
JM9.73%9.69%9.71%
FC15.29%16.34%15.82%
DFC6.82%5.87%6.36%
Table 3. Relative error of each method for single slope S-N curve.
Table 3. Relative error of each method for single slope S-N curve.
MethodJMFCHuangLowDFC
m = 34.60%13.38%7.90%−1.25%3.35%
m = 5−9.07% *23.20%18.32%5.76%8.19%
* Negative values indicate an underestimation of fatigue damage.
Table 4. Relative error of each method for double-slope S-N curve.
Table 4. Relative error of each method for double-slope S-N curve.
MethodNBJMFCDFC
30th percentile11.45%10.74%18.54%8.48%
70th percentile12.92%10.35%18.18%8.10%
Table 5. Relative error of each method for a single-slope S-N curve.
Table 5. Relative error of each method for a single-slope S-N curve.
MethodJMFCHuangLowDFC
m = 38.18%20.19%14.72%5.72%6.47%
m = 5−12.95% *16.15%14.99%6.99%7.72%
* Negative values indicate an underestimation of fatigue damage.
Table 6. Relative error of each method for a double-slope S-N curve.
Table 6. Relative error of each method for a double-slope S-N curve.
MethodNBJMFCDFC
30th percentile17.27%8.12%15.31%6.49%
70th percentile16.26%7.42%14.39%5.50%
Disclaimer/Publisher’s Note: The statements, opinions and data contained in all publications are solely those of the individual author(s) and contributor(s) and not of MDPI and/or the editor(s). MDPI and/or the editor(s) disclaim responsibility for any injury to people or property resulting from any ideas, methods, instructions or products referred to in the content.

Share and Cite

MDPI and ACS Style

Guo, Y.; Wang, S.; Guo, H.; Song, X. A Novel Method for Fatigue Damage Assessment in Bimodal Processes Considering High- and Low-Frequency Reduction Effects. J. Mar. Sci. Eng. 2023, 11, 2217. https://doi.org/10.3390/jmse11122217

AMA Style

Guo Y, Wang S, Guo H, Song X. A Novel Method for Fatigue Damage Assessment in Bimodal Processes Considering High- and Low-Frequency Reduction Effects. Journal of Marine Science and Engineering. 2023; 11(12):2217. https://doi.org/10.3390/jmse11122217

Chicago/Turabian Style

Guo, Yuanzhi, Shuqing Wang, Haiyan Guo, and Xiancang Song. 2023. "A Novel Method for Fatigue Damage Assessment in Bimodal Processes Considering High- and Low-Frequency Reduction Effects" Journal of Marine Science and Engineering 11, no. 12: 2217. https://doi.org/10.3390/jmse11122217

APA Style

Guo, Y., Wang, S., Guo, H., & Song, X. (2023). A Novel Method for Fatigue Damage Assessment in Bimodal Processes Considering High- and Low-Frequency Reduction Effects. Journal of Marine Science and Engineering, 11(12), 2217. https://doi.org/10.3390/jmse11122217

Note that from the first issue of 2016, this journal uses article numbers instead of page numbers. See further details here.

Article Metrics

Back to TopTop