Predictive Modeling of Eastern Little Tuna (Euthynnus affinis) Catches in the Makassar Strait Using the Generalized Additive Model
Abstract
1. Introduction
2. Materials and Methods
2.1. Study Area
2.2. Data
2.2.1. Oceanographic Parameter Data Processing
2.2.2. Eastern Little Tuna Data Processing
2.2.3. Fishing Prediction Area Processing
- g = link function
- i = response variable
- b = constant model
- xn = developed parameter
- sn = spline function smooth factor.
- formula = a formula refers to the oceanographic parameters
- xlab = a character label for the x-axis
- ylab = a character label for the y-axis
- col = a string that indicates the color for the bars on the histogram
- object = a fitted ‘gam’ object as produced by ‘gam()’
- NewData = a data frame containing the values of the model covariates at which predictions are required
- type ‘response’ = to return predicted values on the same scale of the response you need to set.
3. Results and Discussion
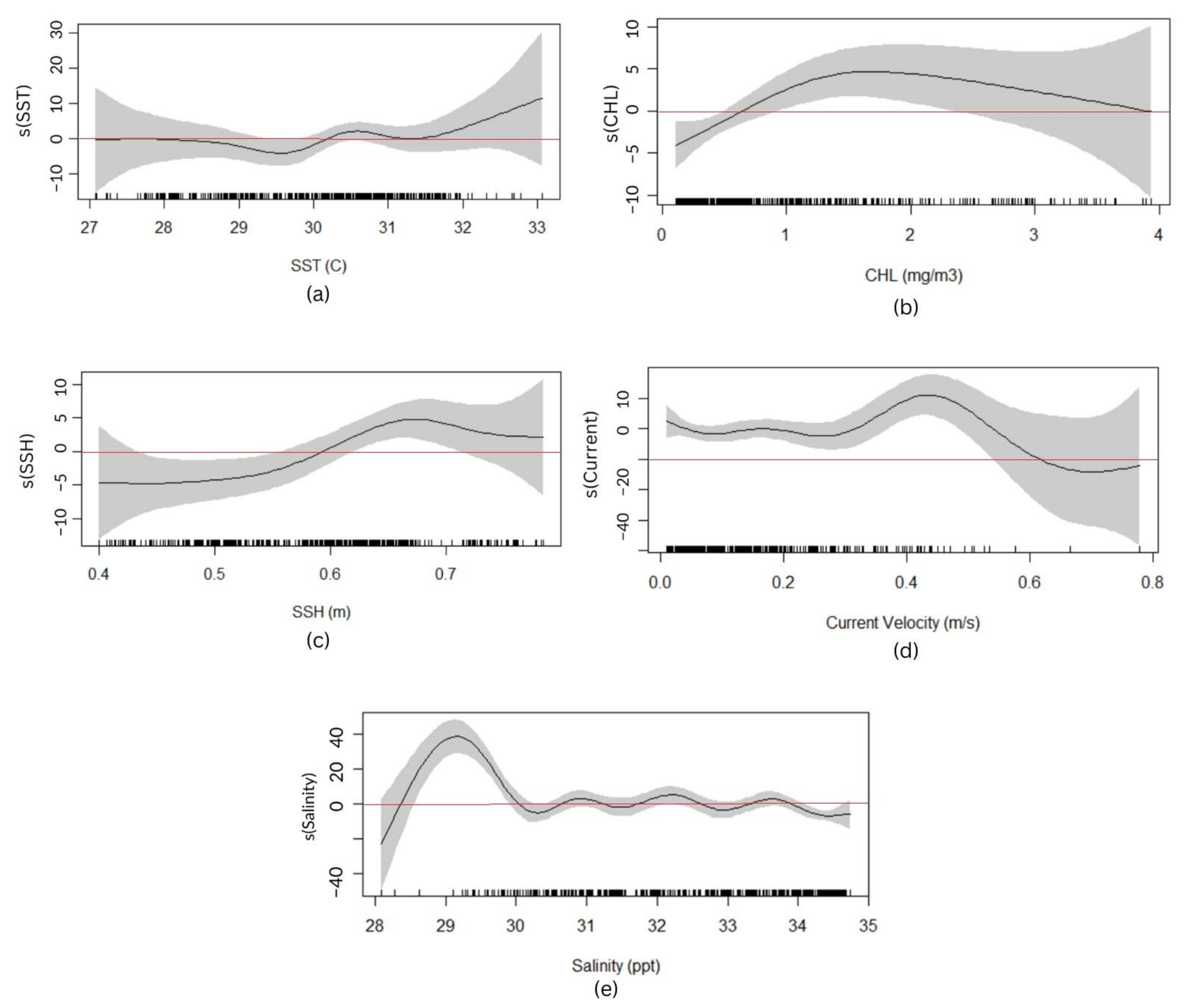
3.1. Sea Surface Temperature Variability
3.2. Chlorophyll-a Concentration Variability
3.3. Sea Surface Salinity Variability
3.4. Ocean Current Direction and Velocity Variability
3.5. Sea Surface Height Variability
4. Conclusions
Author Contributions
Funding
Institutional Review Board Statement
Informed Consent Statement
Data Availability Statement
Acknowledgments
Conflicts of Interest
References
- Ridha, M. Kajian Pendekatan Ekosistem Dalam Pengelolaan Perikanan Di Wilayah Pengelolaan Perikanan (Wpp) 571 Selat Malaka Provinsi Sumatera Utara. Geografi 2016, 8, 166–176. Available online: https://jurnal.unimed.ac.id/2012/index.php/geo/article/viewFile/5780/5176 (accessed on 17 October 2022).
- Siregar, N.M.A.; Swastanto, Y.; Said, B.D. Fishery resources management in the Republic of Indonesia’s fishery management region 711 for the sustainable fishery resources control. J. Pertahanan 2019, 5, 19–33. [Google Scholar] [CrossRef]
- Koeshendrajana, S.; Rusastra, I.W.; Martosubroto, P. Wilayah Pengelolaan Perikanan Negara Republik Indonesia (WPPNRI) 713: Gambaran Umum, Potensi dan Pemanfaatannya. Potensi Sumber Daya Kelaut. Perikanan. WPPNRI 2019, 713, 1–248. [Google Scholar]
- Purba, N.P.; Pranowo, W.S.; Ndah, A.B.; Nanlohy, P. Seasonal variability of temperature, salinity, and surface currents at 0° latitude section of Indonesia seas. Reg. Stud. Mar. Sci. 2021, 44, 101772. [Google Scholar] [CrossRef]
- Jufri, A.; Nur, M. Distribusi Spasial dan Temporal Arus Permukaan Laut di Selat Makassar Spatial and Temporal Distribution of Sea Surface Currents in the Makassar Strait Siganus. J. Fish. Mar. Sci. 2020, 1, 69–73. [Google Scholar]
- Putri, A.R.S.; Zainuddin, M.; Musbir, M.; Hidayat, R.; Mustapha, M.A. Mapping potential fishing zones for skipjack tuna in the southern Makassar Strait, Indonesia, using Pelagic Habitat Index (PHI). Biodivers. J. Biol. Divers. 2021, 22, 3037–3045. [Google Scholar] [CrossRef]
- Pratiwi, D. Pemetaan Zona Potensial Penangkapan Ikan Cakalang (Katsuwonus pelamis) Berbasis Data Citra Satelit dan Data Hasil Tangkapan Di Perairan Barru, Selat Makassar; Universitas Hasanuddin: Makassar, Indonesia, 2018. [Google Scholar]
- Nurdin, S.; Mustapha, M.A.; Lihan, T.; Zainuddin, M. Applicability of remote sensing oceanographic data in the detection of potential fishing grounds of Rastrelliger kanagurta in the archipelagic waters of Spermonde, Indonesia. Fish. Res. 2017, 196, 1–12. [Google Scholar] [CrossRef]
- Putri, A.R.S.; Zainuddin, M. Impact of Climate Changes on Skipjack tuna (Katsuwonus pelamis) catch during May–July in the Makassar Strait. IOP Conf. Ser. Earth Environ. Sci. 2019, 253, 012046. [Google Scholar] [CrossRef]
- Solanki, H.U.; Bhatpuria, D.; Chauhan, P. Applications of generalized additive model (GAM) to satellite-derived variables and fishery data for prediction of fishery resources distributions in the Arabian Sea. Geocarto Int. 2015, 32, 30–43. [Google Scholar] [CrossRef]
- Akhlak, M.A. Hubungan Variabel Suhu Permukaan Laut, Klorofil-a Dan Hasil Tangkapan Kapal Purse Seine Yang Didaratkan di TPI Bajomulyo Juwana, Pati. Manag. Aquat. Resour. J. 2015, 4, 128–135. [Google Scholar]
- Patty, S.I. Distribusi Suhu, Salinitas dan Oksigen Terlarut Di Perairan Kema, Sulawesi Utara. J. Ilm. Platax 2013, 1, 148–157. [Google Scholar] [CrossRef]
- Cahya, C.N.; Setyohadi, D.; Surinati, D. Pengaruh Parameter Oseanografi terhadap Distribusi Ikan. Oseana 2016, 41, 1–14. [Google Scholar]
- Syamsuddin, M.; Sunarto; Yuliadi, L. Oceanographic factors related to Eastern Little Tuna (Euthynnus affinis) catches in the west Java Sea. IOP Conf. Ser. Earth Environ. Sci. 2018, 162, 012044. [Google Scholar] [CrossRef]
- Zainuddin, M.; Saitoh, K.; Saitoh, S.-I. Albacore (Thunnus alalunga) fishing ground in relation to oceanographic conditions in the western North Pacific Ocean using remotely sensed satellite data. Fish. Oceanogr. 2008, 17, 61–73. [Google Scholar] [CrossRef]
- Rajapaksha, J.K.; Nishida, T.; Samarakoon, L. Environmental preferences of yellowfin tuna (Thunnus albacores) in the northeast Indian Ocean: An application of remote sensing data to longline catches. Int. J. Fish. Aquat. Sci. 2013, 2, 72–80. [Google Scholar]
- Siregar, E.S.Y.; Siregar, V.P.; Agus, S.B. Analisis daerah penangkapan ikan tuna sirip kuning Thunnus albacares di perairan sumatera barat berdasarkan model gam. J. Ilmu Teknol. Kelaut. Trop. 2018, 10, 501–516. [Google Scholar] [CrossRef]
- Syamsuddin, M.L.; Saitoh, S.-I.; Hirawake, T.; Bachri, S.; Harto, A.B. Effects of El Niño–Southern Oscillation events on catches of Bigeye Tuna (Thunnus obesus) in the eastern Indian Ocean off Java. Fish. Bull. 2013, 111, 175–188. [Google Scholar] [CrossRef]
- Swathi, B.; Swarnalatha, V.; Jogu, V. The Use of Generalized Additive Model (GAM) To Assess Fish Abundance and Spatial Occupancy in North-West Bay of Bengal. Int. J. Sci. Res. Sci. Technol. 2019, 17–28. [Google Scholar] [CrossRef]
- Zuur, A.F.; Ieno, E.; Walker, N.; Saveliev, A.; Smith, G.M. Reviewer: Aaron Christ Alaska Department of Fish and Game Mixed Effects Models and Extensions in Ecology with R. JSS J. Stat. Softw. 2009, 32, 2–4. [Google Scholar]
- Nuzula, F.; Syamsudin, M.L.; Yuliadi, L.P.S.; Purba, N.P.; Martono. Eddies spatial variability at Makassar Strait—Flores Sea. J. Phys. Conf. Ser. 2017, 755, 012079. [Google Scholar] [CrossRef]
- Atmadipoera, A.; Molcard, R.; Madec, G.; Wijffels, S.; Sprintall, J.; Koch-Larrouy, A.; Jaya, I.; Supangat, A. Characteristics and variability of the Indonesian throughflow water at the outflow straits. Deep. Sea Res. Part I Oceanogr. Res. Pap. 2009, 56, 1942–1954. [Google Scholar] [CrossRef]
- Yuhandri Perbandingan Metode Cropping pada Sebuah Citra untuk Pengambilan Motif Tertentu pada Kain Songket Sumatera Barat. Komtekinfo 2019, 6, 97–107. [CrossRef]
- Zuur, A.F.; Leno, E.; Smith, G.M. Analysing Ecological Data; Springer: New York, NY, USA, 2007. [Google Scholar]
- De Oliveira, A.M.B.; Binner, J.M.; Mandal, A.; Kelly, L.; Power, G.J. Using GAM functions and Markov-Switching models in an evaluation framework to assess countries’ performance in controlling the COVID-19 pandemic. BMC Public Health 2021, 21, 2173. [Google Scholar] [CrossRef]
- Zulkhasyni, Z. Pengaruh Suhu Permukaan Laut Terhadap Hasil Tagkapan Ikan Cakalang Di Perairan Kota Bengkulu. J. Agroqua 2015, 13, 68–73. [Google Scholar]
- Adnan. Analisis suhu permukaan laut dan klorofil—A data inderaja hubungannya dengan hasil tangkapan ikan tongkol (Euthynnus affinis) di Perairan Kalimantan Timur. J. Amanisal PSP FPIK Unpatti-Ambon 2010, 1, 1–12. [Google Scholar]
- Putra, T.W.L.; Kunarso, K. Distribusi Suhu, Salinitas dan Densitas di Lapisan Homogen dan Termoklin Perairan Selat Makassar. Indones. J. Oceanogr. 2020, 2, 188–198. [Google Scholar] [CrossRef]
- Gomez, F.; Montecinos, A.; Hormazabal, S.; Cubillos, L.A.; Correa-Ramirez, M.; Chavez, F.P. Impact of spring upwelling variability off southern-central Chile on common sardine (Strangomera bentincki) recruitment. Fish. Oceanogr. 2012, 21, 405–414. [Google Scholar] [CrossRef]
- Girsang, H.S. Studi Penentuan Daerah Penangkapan Ikan Tongkol Melalui Pemetaan Penyebaran Klorofil-A Dan Hasil Tangkapan Di Palabuhanratu, Jawa Barat. Ph.D. Thesis, IPB University, West Java, Indonesia, 2008; 86p. [Google Scholar]
- Murty, S.A.; Goodkin, N.F.; Halide, H.; Natawidjaja, D.; Suwargadi, B.; Suprihanto, I.; Prayudi, D.; Switzer, A.D.; Gordon, A.L. Climatic Influences on Southern Makassar Strait Salinity Over the Past Century. Geophys. Res. Lett. 2017, 44, 967–975. [Google Scholar] [CrossRef]
- Gordon, A.L.; Susanto, R.D.; Vranes, K. Cool Indonesian throughflow as a consequence of restricted surface layer flow. Nature 2003, 425, 821–824. [Google Scholar] [CrossRef]
- Karuwal, J. Dinamika Parameter Oseanografi Terhadap Hasil Tangkapan Ikan Teri (Stolephorus spp) Pada Bagan Perahu Di Teluk Dodinga, Kabupaten Halmahera Barat. Sumberd. Akuatik Indopasifik 2019, 3, 123–140. [Google Scholar]
- Aryodhyo. Hasil Tangkapan Cakalang Indonesia. Prosiding Seminar Implementasi Nusantara Di Bidang Perikanan; IPB: Bogor, Indonesia, 2015. [Google Scholar]
- Hidayah, G.; Wulandari, S.Y.; Zainuri, M. Studi Sebaran Klorofil-a Secara Horizontal di Perairan Muara Sungai Silugonggo Kecamatan Batangan, Pati. Bul. Oseanografi Mar. 2016, 5, 52–59. [Google Scholar] [CrossRef]
- Hasanudin, M. Arus Lintas Indonesia (Arlindo). Oseana 1998, 23, 1–9. [Google Scholar]
- Akaike, H. A New Look at the Statistical Model Identification. IEICE Trans. Fundam. Electron. Commun. Comput. Sci. 1974, E90-A, 2762–2769. [Google Scholar] [CrossRef]
- Amri, K. Analisis hubungan kondisi oseanografi dengan fluktuasi hasil tangkapan ikan pelagis di selat sunda. J. Penelit. Perikan. Indones. 2017, 14, 55. [Google Scholar] [CrossRef]
- Ningsih, R.K.; Syah, A.F. Karakteristik parameter oseanografi ikan demersal di perairan laut arafura menggunakan data penginderaan jauh. Juv. Ilm. Kelaut. Perikan. 2020, 1, 122–131. [Google Scholar] [CrossRef]
- Yunus, F.; Zainuddin, M.; Farhum, S.A. Pemetaan Daerah Potensial Penangkapan Ikan Tongkol (Euthynnus sp) Di Perairan Selat Makassar. J. IPTEKS Pemanfaat. Sumberd. Perikan. 2019, 6, 1–20. [Google Scholar] [CrossRef]
- Sadly, M.; Hendiarti, N.; Sachoemar, S.I.; Faisal, Y. Fishing ground prediction using a knowledge-based expert system geographical information system model in the South and Central Sulawesi coastal waters of Indonesia. Int. J. Remote. Sens. 2009, 30, 6429–6440. [Google Scholar] [CrossRef]
- California Environmental Associates. Trends in Marine Resources and Fisheries Management in Indonesia. A 2018 Review; CEA: San Francisco, CA, USA, 2018; 146p. [Google Scholar]












| No. | Parameter | Sensor | Unit | Resolution | Sources | |
|---|---|---|---|---|---|---|
| Temporal | Spatial | |||||
| 1. | Sea Surface Temperature | AquaMODIS | °C | Monthly | 4 km × 4 km | https://oceancolor.gsfc.nasa.gov (accessed on 8 August 2022) |
| 2. | Chlorophyll-a | AquaMODIS | mg/m3 | Monthly | 4 km × 4 km | https://oceancolor.gsfc.nasa.gov (accessed on 8 August 2022) |
| 3. | Sea Surface Salinity | SMAP | ppt | Monthly | 40 km | https://marinecopernicus.eu (accessed on 8 August 2022) |
| 4. | Current Velocity | CMES | m/s | Monthly | 8 km | https://marinecopernicus.eu (accessed on 8 August 2022) |
| 5. | Sea Surface Height | CMES | cm | Monthly | 8 km | https://marinecopernicus.eu (accessed on 8 August 2022) |
| Fishery Data | ||||||
| No. | Parameter | Fishing Gear | Gross Toned (GT) | Sources | ||
| 1. | Eastern Little Tuna | Purse Seine Gill Net | 6–99 | - Ministry of Marine Affairs and Fisheries, Marine and Fisheries Department of West Sulawesi | ||
| Models | Variables | p-Value | AIC | CDE (%) |
|---|---|---|---|---|
| Salinity | <2.00 × 10−16 *** | 4652.5 | 14.6 | |
| SSH | 0.00351 ** | 4706.9 | 3.52 | |
| Current | 0.0482 * | 4652.5 | 3.29 | |
| Chl | 0.00659 ** | 4709.4 | 2.64 | |
| SST | 0.00181 ** | 4711.07 | 1.82 | |
| SST Salinity | 0.4 <2.00 × 10−16 *** | 4653.31 | 16.2 | |
| Chl Salinity | 0.721 <2.00 × 10−16 *** | 4654.17 | 14.7 | |
| SSH Salinity | 0.575 <2.00 × 10−16 *** | 4654.21 | 14.6 | |
| Current Salinity | 0.686 <2.00 × 10−16 *** | 4654.39 | 14.6 | |
| SSH Current | 0.0202 * 0.2082 | 4706.13 | 5.78 | |
| Chl Current | 0.00431 ** 0.0498 * | 4704.3 | 5.64 | |
| Chl SST | 0.049 * 0.215 | 4708.14 | 4.58 | |
| SST Current | 0.00152 ** 0.0637 * | 4706.64 | 4.53 | |
| SST SSH | 0.2219 0.0974 * | 4707.4 | 3.76 | |
| SST SSH Salinity | 0.423 0.711 <2.00 × 10−16 *** | 4655.14 | 16.2 | |
| Chl SST Salinity | 0.828 0.409 <2.00 × 10−16 *** | 4655.21 | 16.2 | |
| SSH Current Salinity | 0.577 0.689 <2.00 × 10−16 *** | 4656.07 | 14.7 | |
| Chl SST Current | 0.0515 * 0.1637 0.0555 * | 4703.4 | 7.31 | |
| SST SSH Current | 0.416 0.284 0.174 | 4707.29 | 6.39 | |
| SST SSH Current Salinity | 0.347 0.717 0.384 <2.00 × 10−16 *** | 4659 | 16.3 | |
| SST SSH Current Salinity | 0.372 0.837 0.445 <2.00 × 10−16 *** | 4656.58 | 16.3 | |
| Chl SST SSH Salinity | 0.821 0.429 0.707 <2.00 × 10−16 *** | 4657.04 | 16.2 | |
| Chl SST SSH Salinity | 0.673 0.583 0.609 <2.00 × 10−16 *** | 4657.6 | 14.8 | |
| Chl SST SSH Current | 0.102 0.457 0.575 0.104 | 4704.5 | 7.74 | |
| CHL SST SSH Current Salinity | 0.374 0.719 0.839 0.417 <2.00 × 10−16 *** | 4658.36 | 16.4 |
Disclaimer/Publisher’s Note: The statements, opinions and data contained in all publications are solely those of the individual author(s) and contributor(s) and not of MDPI and/or the editor(s). MDPI and/or the editor(s) disclaim responsibility for any injury to people or property resulting from any ideas, methods, instructions or products referred to in the content. |
© 2023 by the authors. Licensee MDPI, Basel, Switzerland. This article is an open access article distributed under the terms and conditions of the Creative Commons Attribution (CC BY) license (https://creativecommons.org/licenses/by/4.0/).
Share and Cite
Puspita, A.R.; Syamsuddin, M.L.; Subiyanto; Syamsudin, F.; Purba, N.P. Predictive Modeling of Eastern Little Tuna (Euthynnus affinis) Catches in the Makassar Strait Using the Generalized Additive Model. J. Mar. Sci. Eng. 2023, 11, 165. https://doi.org/10.3390/jmse11010165
Puspita AR, Syamsuddin ML, Subiyanto, Syamsudin F, Purba NP. Predictive Modeling of Eastern Little Tuna (Euthynnus affinis) Catches in the Makassar Strait Using the Generalized Additive Model. Journal of Marine Science and Engineering. 2023; 11(1):165. https://doi.org/10.3390/jmse11010165
Chicago/Turabian StylePuspita, Ajeng R., Mega L. Syamsuddin, Subiyanto, Fadli Syamsudin, and Noir P. Purba. 2023. "Predictive Modeling of Eastern Little Tuna (Euthynnus affinis) Catches in the Makassar Strait Using the Generalized Additive Model" Journal of Marine Science and Engineering 11, no. 1: 165. https://doi.org/10.3390/jmse11010165
APA StylePuspita, A. R., Syamsuddin, M. L., Subiyanto, Syamsudin, F., & Purba, N. P. (2023). Predictive Modeling of Eastern Little Tuna (Euthynnus affinis) Catches in the Makassar Strait Using the Generalized Additive Model. Journal of Marine Science and Engineering, 11(1), 165. https://doi.org/10.3390/jmse11010165

