Validation and Comparisons of Methodologies Implemented in a RANS-VoF Numerical Model for Applications to Coastal Structures
Abstract
:1. Introduction
2. Methodology
2.1. Standard Governing Equations of the FLUENT Model
2.2. Turbulence Models
2.3. Porous Medium Adaptation
2.4. Numerical Conditions
- (a)
- Schemes. The solver scheme SIMPLEC (with standard under-relaxation factors) and the scheme PRESTO! are used for discretizing pressure. The momentum is discretized by the third-order scheme MUSCL, and the turbulence kinetic energy and dissipation rate are discretized by the second order upwind scheme. The Geo-reconstruct scheme, well adapted for modeling the complex shape of free surface flow, such as wave breaking and overtopping, is used for the VoF equation, compatible with the first order time integration scheme and variable time steps [52,53]. The implementation of the k-ε NLS and k-ε SCM turbulence models and equations for porous media of coastal structures in the FLUENT® numerical model are carried out in this study according to Section 2.2 and Section 2.3.
- (b)
- Boundary conditions. The non-slip condition is imposed on walls of the structure and the bottom of the wave flume. The atmospheric pressure is applied to the top boundary. The incident wave generation is applied to the wave-maker boundary, imposed by a UDF. Velocity component profiles, which are related to time and depth according to the wave theory, are imposed, and the corresponding free surface position is defined by the volume fraction value (0 for air and 1 for water). An active absorption technique is imposed at the wave generation [39,40,41] to eliminate re-reflection of regular and random waves on the flume by using the methodology proposed by Shäffer and Klopman [54], which is based on the linear shallow water theory and can be applied to a numerical wave flume [55,56,57]. Due to the high non-linear characteristics of the study cases, regular waves are generated by using the Fourier wave theory [58,59], with 20 terms in the series. Random waves are simulated by using 50 waves to represent the JONSWAP/TMA spectrum. The wave generation of random waves in the FLUENT® model was implemented and validated by Teixeira and Didier [41].
- (c)
- Initial conditions. Free surface level at rest, null velocity components, hydrostatic pressure on the water and atmospheric pressure on the air are the initial conditions. In addition, initial conditions of k and ε (and ω) are imposed according to Larsen and Fuhrman [14].
- (d)
- Spatial discretization. Computational meshes of wave flumes with coastal structures have, at least, two main zones with different characteristics: the propagation wave zone and the zone around the structure. In the former, a structured regular mesh is used, in which the free surface is well behaved, and the mesh must be refined around it. Generally, in this zone, the boundary layer on the bottom does not significantly influence the water flow and, consequently, its spatial discretization is not important and does not require a fine resolution. Mesh resolution for accurate wave propagation is defined as follows: in the horizontal direction, 70 cells per wavelength are employed; in the vertical direction, the mesh follows the rule of 20 cells per wave height, in the zone of variation of free surface flow, and it is stretched to the bottom and top of the flume [60,61,62,63,64,65,66]. In zones around and inside the coastal structure, the flow has a different and complex behavior and, generally, regular cells are recommended with an aspect ratio close to 1 [9,10,11].
- (e)
- Time discretization. A variable time step is used for time integration, in which the maximum value is Tp/600 (Tp is the peak period for a random wave and the wave period for regular waves) and the minimum one is 30 times smaller than the maximum time step [52]. Six non-linear iterations per time step enable the reduction of residue by at least two orders of magnitude which are enough to obtain good accuracy in wave propagation and wave–structure interaction [52,53,60,61,62,63,65].
3. Previous Analysis of Turbulence Models and Mesh Dependency
3.1. Analysis of the Grow of Eddy Viscosity along a Flume in Longtime Simulation
3.2. Mesh Dependency Analysis
4. Results and Discussion
4.1. Spilling and Plunging Wave Breakers on an Impermeable Beach
4.2. Wave Overtopping on Sea Dikes with Crown Walls
4.3. Wave Interaction with Porous Low Crested Rubble Mound Breakwater
4.4. Wave Overtopping of a Rubble Mound Breakwater
5. Conclusions
- (a)
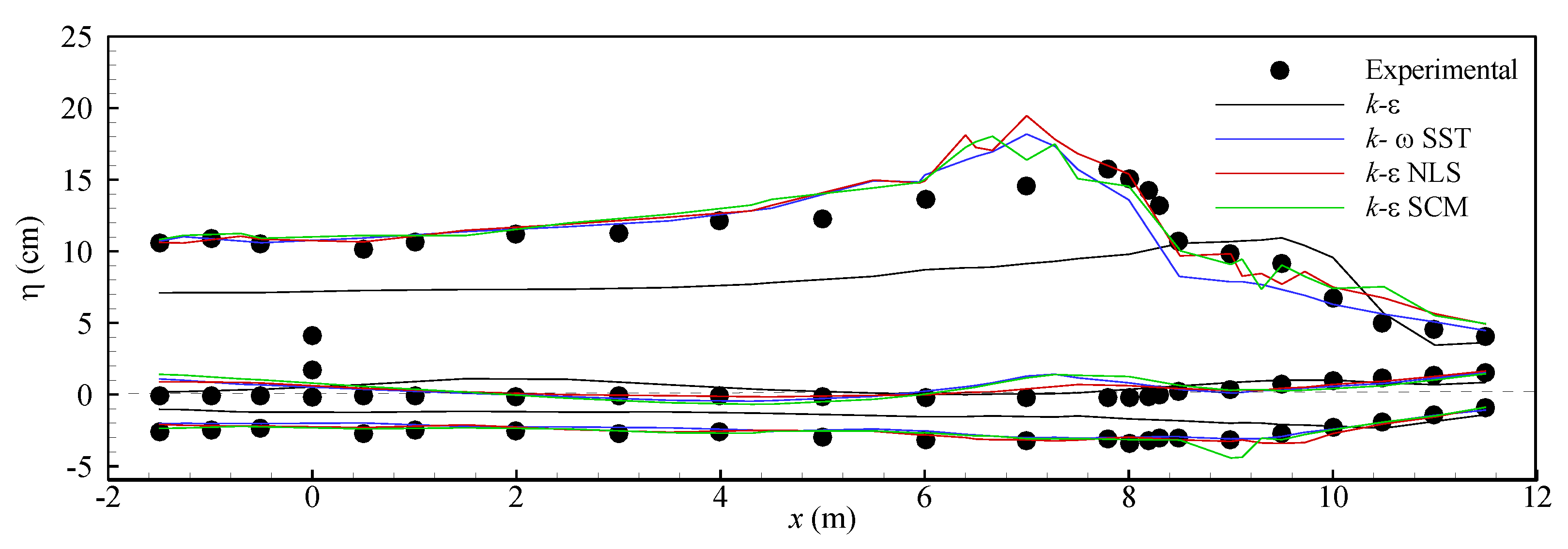
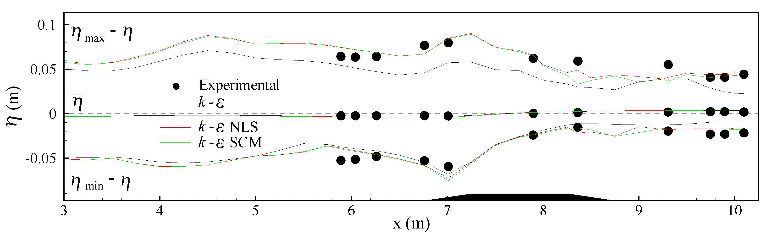
- Mainly for longtime simulations in long numerical wave flumes, the standard k-ε turbulence model severely over-predicted eddy viscosity and, consequently, caused unphysical behaviors. In addition, the decay of the free surface elevation and an under-estimated wave overtopping discharge were noticed. These observations were clearly shown through the analysis of wave envelopes for wave breaking on an impermeable beach and waves over low-crested rubble breakwater.
- (b)
- The k-ω SST turbulence model also had the same tendency as the k-ε one, but with much less intensity.
- (c)
- The k-ε NLS and k-ε SCM turbulence models had similar performance, avoiding unphysical behaviors and modeling wave propagation and a nearly constant wave overtopping discharge over long durations. Both turbulence models showed results with good agreement with experimental ones. The k-ε NLS turbulence model presented slightly better results than the k-ε SCM one.
- (d)
- It is very difficult to compare the wave overtopping discharge obtained by numerical models, since it strongly depends on the simulation of phenomena that precede the overtopping, mainly in cases in which the magnitude of the discharge is small. Both wave flume length and wave generation can cause small differences in incident waves which can lead to significant differences on wave overtopping discharge. Nevertheless, the application of FLUENT® to regular and random waves over impermeable sea dikes with crow-walls showed results of average wave overtopping discharge in good accordance with experimental and numerical ones obtained by Tuan and Thin [18]. NRMSE of average wave overtopping discharges were 38.6 and 34.4% for the k-ε SCM and k-ε NLS turbulence models, respectively, slightly larger than Tuan and Thin [18], which is equal to 23.2%.
- (e)
- Methodologies developed and implemented in RANS-VoF numerical models to deal with coastal porous structures had good performance, but they are hardly dependent of some empirical parameters that must be set. Regular and random waves over a low-crested rubble breakwater showed good agreement with experimental results, with a NRMSE varying from 5.8 to 15.4% for the k-ε NLS and k-ε SCM turbulence models, respectively, also in agreement with numerical results obtained by Garcia et al. [33]. Regular wave over a rubble mound breakwater presented a slightly larger average wave overtopping discharge than experimental and numerical results obtained by Losada et al. [15].
Author Contributions
Funding
Institutional Review Board Statement
Informed Consent Statement
Data Availability Statement
Acknowledgments
Conflicts of Interest
Appendix A
References
- Sakai, T.; Mizutani, T.; Tanaka, H.; Tada, Y. Vortex formation in plunging breakers. In Proceedings of the 20th Conference in Coastal Engineering, Taipei, Taiwan, 9–14 November 1986; pp. 711–723. [Google Scholar]
- Harlow, F.H.; Welch, J.E. Numerical calculation of time-dependent viscous incompressible flow of fluid with free surface. Phys. Fluids 1965, 8, 2182–2189. [Google Scholar] [CrossRef]
- Lemos, C.M. Wave breaking: A numerical study. In Lecture Notes in Engineering; Springer: Berlin/Heidelberg, Germany, 1992; Volume 71, pp. 1–185. [Google Scholar]
- Hirt, C.W.; Nichols, B.D. Volume of fluid VOF method for the dynamics of free boundaries. J. Comput. Phys. 1981, 39, 201–225. [Google Scholar] [CrossRef]
- Lin, P.Z.; Liu, P.L.F. A numerical study of breaking waves in the surf zone. J. Fluid Mech. 1998, 359, 239–264. [Google Scholar] [CrossRef]
- Ting, F.C.K.; Kirby, J.T. Observation of undertow and turbulence in a laboratory surf zone. Coast. Eng. 1994, 24, 51–80. [Google Scholar] [CrossRef]
- Bradford, S.F. Numerical simulation of surf zone dynamics. J. Waterw. Port Coast. Ocean Eng. 2000, 126, 1–13. [Google Scholar] [CrossRef]
- Mayer, S.; Madsen, P.A. Simulations of breaking waves in the surf zone using a Navier–Stokes solver. In Proceedings of the 25th International Conference in Coastal Engineering, Sydney, Australia, 16–21 July 2000; pp. 928–941. [Google Scholar]
- Jacobsen, N.G.; Fuhrman, D.R.; Fredsoe, J. A wave generation toolbox for the open-source CFD library: OpenFOAM(R). Int. J. Numer. Methods Fluids 2012, 70, 1073–1088. [Google Scholar] [CrossRef]
- Brown, S.A.; Greaves, D.M.; Magar, V.; Conley, D.C. Evaluation of turbulence closure models under spilling and plunging breakers in the surf zone. Coast. Eng. 2016, 114, 177–193. [Google Scholar] [CrossRef]
- Devolver, B.; Trouch, P.; Rauwoens, P. Performance of a buoyancy-modified k-ω and k-ω SST turbulence model for simulating wave breaking under regular waves using OpenFOAM®. Coast. Eng. 2018, 138, 49–65. [Google Scholar] [CrossRef]
- Chella, M.A.; Bihs, H.; Myrhaug, D.; Muskulus, M. Breaking characteristics and geometric properties of spilling breakers over slopes. Coast. Eng. 2015, 95, 4–19. [Google Scholar] [CrossRef]
- Chella, M.A.; Bihs, H.; Myrhaug, D.; Muskulus, M. Hydrodynamic characteristics and geometric properties of plunging and spilling breakers over impermeable slopes. Ocean Model. 2016, 103, 53–72. [Google Scholar] [CrossRef]
- Larsen, B.E.; Fuhrman, D.R. On the over-production on turbulence beneath surface waves in Reynolds-averaged Navier-Stokes models. J. Fluid Mech. 2018, 853, 419–460. [Google Scholar] [CrossRef]
- Losada, I.J.; Lara, J.L.; Guauche, R.; Gonzales-Ondina, J.M. Numerical analysis of wave overtopping of rubble mound breakwaters. Coast. Eng. 2008, 55, 47–62. [Google Scholar] [CrossRef]
- EurOtop. Manual on Wave Overtopping of Sea Defences and Related Structures. An Overtopping Manual Largely Based on European Research, but for Worldwide Application. Available online: www.overtopping-manual.com (accessed on 21 September 2021).
- Soliman, A.; Raslan, M.S.; Reeve, D.E. Numerical simulation of wave overtopping using two dimensional breaking wave model. Trans. Build Environ. 2003, 70, 439–447. [Google Scholar]
- Tuan, T.Q.; Thin, N.V. Numerical study of wave overtopping on sea-dikes with crown-walls. J. Hydro-Environ. Res. 2014, 8, 367–382. [Google Scholar]
- Tuan, T.Q.; Oumeraci, H. A numerical model of wave overtopping on seadikes. Coast. Eng. 2010, 57, 757–772. [Google Scholar] [CrossRef]
- De Finis, S.; Romano, A.; Bellotti, G. Numerical and laboratory analysis of post-overtopping wave impacts on a storm wall for a dike-promenade structure. Coast. Eng. 2020, 155, 103598. [Google Scholar] [CrossRef]
- Metallinos, A.S.; Klonaris, G.T.; Memos, C.D.; Dimas, A.A. Hydrodynamic conditions in a submerged porous breakwater. Ocean Eng. 2019, 172, 712–725. [Google Scholar] [CrossRef]
- Dentale, F.; Reale, F.; Leo, A.D.; Carratelli, E.P. A CFD approach to rubble mound breakwater design. Int. J. Nav. Archit. Ocean Eng. 2018, 10, 644–650. [Google Scholar] [CrossRef]
- Van Gent, M.R.A. Porous flow through rubbe-mound material. J. Waterw. Port Coast. Ocean Eng. 1995, 121, 176–181. [Google Scholar] [CrossRef]
- Liu, L.-F.; Lin, P.; Sakakiyama, T. Numerical modeling of wave interaction with porous structures. J. Waterw. Port Coast. Ocean Eng. 1999, 125, 322–330. [Google Scholar] [CrossRef]
- Nakayama, A.; Kuwahara, F. A macroscopic turbulence model for flow in a porous medium. J. Fluids Eng. 1999, 121, 427–433. [Google Scholar] [CrossRef]
- Getachew, D.; Minkowycz, W.J.; Lage, J.L. A modified form of the k-e model for turbulent flows of an incompressible fluid in porous media. Int. J. Heat Mass Transf. 2000, 43, 909–915. [Google Scholar] [CrossRef]
- Pedras, M.H.J.; de Lemos, M.J.S. Macroscopic turbulence modelling for incompressible flow through undeformable porous media. Int. J. Heat Mass Transf. 2001, 44, 1081–1093. [Google Scholar] [CrossRef]
- Hur, D.-S.; Mizutani, N. Numerical estimation of the wave forces acting on a three-dimensional body on submerged breakwater. Coast. Eng. 2003, 47, 329–345. [Google Scholar] [CrossRef]
- Hur, D.-S.; Lee, K.-H.; Yeom, G.-S. The phase difference effects on 3-D structure of wave pressure acting on a composite breakwater. Ocean Eng. 2008, 35, 1826–1841. [Google Scholar] [CrossRef]
- Bear, J.; Bachmat, Y. Introduction to Modeling of Transport Phenomena in Porous Media. Theory and Applications of Transport in Porous Media; Kluwer Academic Publishers: Dordrecht, The Netherlands, 1990; Volume 4. [Google Scholar]
- Whitaker, S. The Method of Volume Averaging. Theory and Applications of Transport in Porous Media; Kluwer Academic Publishers: Dordrecht, The Netherlands, 1999; Volume 13. [Google Scholar]
- Hsu, T.-J.; Sakakiyama, T.; Liu, P.L.-F. A numerical model for wave motions and turbulence flows in front of a composite breakwater. Coast. Eng. 2002, 46, 25–50. [Google Scholar] [CrossRef]
- Garcia, N.; Lara, J.; Losada, I. 2-D numerical analysis of near-field flow at low-crested permeable breakwaters. Coast. Eng. 2004, 51, 991–1020. [Google Scholar] [CrossRef]
- Lara, J.L.; Garcia, N.; Losada, I.J. RANS modeling applied to random wave interaction with submerged permeable structures. Coast. Eng. 2006, 53, 395–417. [Google Scholar] [CrossRef]
- del Jesus, M.; Lara, J.L.; Losada, I.J. Three-dimensional interaction of waves and porous structures. Part I: Numerical model formulation. Coast. Eng. 2012, 64, 57–72. [Google Scholar] [CrossRef]
- Jensen, B.; Jacobsen, N.G.; Christensen, E.D. Investigations on the porous media equations and resistance coefficients for coastal structures. Coast. Eng. 2014, 84, 56–72. [Google Scholar] [CrossRef]
- Higuera, P.; Lara, J.L.; Losada, I.J. Three-dimensional interaction of waves and porous coastal structures using OpenFOAM. Part I: Formulation and validation. Coast. Eng. 2014, 83, 243–258. [Google Scholar] [CrossRef]
- Vanneste, D.; Troch, P. 2D numerical simulation of large-scale physical model tests of wave interaction with a rubble-mound breakwater. Coast. Eng. 2015, 103, 22–41. [Google Scholar] [CrossRef]
- Didier, E.; Teixeira, P.R.F.; Neves, M.G. A 3D Numerical Wave Tank for Coastal Engineering Studies. Defect Diffus. Forum 2017, 372, 1–10. [Google Scholar]
- Teixeira, P.R.F.; Didier, E.; Neves, M.G. A 3D RANS-VOF wave tank for oscillating water column device studies. In Proceedings of the MARINE 2017, Nantes, France, 15–17 May 2017; pp. 710–721. [Google Scholar]
- Teixeira, P.R.F.; Didier, E. Numerical analysis of the response of an onshore oscillating water column wave energy converter to random waves. Energy 2021, 220, 119719. [Google Scholar] [CrossRef]
- Shih, T.-H.; Zhu, J. Calculation of wall-bounded complex flows and free shear flows. Int. J. Numer. Methods Fluids 1996, 23, 1133–1144. [Google Scholar] [CrossRef]
- ANSYS. FLUENT—User’s Guide; ANSYS Inc.: Canonsburg, PA, USA, 2016. [Google Scholar]
- Wilcox, D.C. Turbulence Modeling for CFD; DCW Industries, Inc.: La Canada, CA, USA, 1993. [Google Scholar]
- Versteeg, H.K.; Malalasekera, W. An Introduction to Computational Fluid Dynamics: The Finite Volume Method; Pearson Education Limited: London, UK, 2007. [Google Scholar]
- Harlow, F.H.; Nakayama, P. Transport of Turbulence Energy Decay Rate; University California Report LA-3854; Los Alamos Science Lab: Los Alamos, NM, USA, 1968. [Google Scholar]
- Menter, F.R. Two-Equation Eddy-Viscosity Turbulence Models for Engineering Applications. AIAA J. 1994, 32, 1598–1605. [Google Scholar] [CrossRef]
- Ergun, S. Fluid flow through packed columns. Chem. Eng. Prog. 1952, 48, 89–94. [Google Scholar]
- Engelund, F. On the laminar and turbulent flow of ground water through homogeneous sand. Trans. Dan. Acad. Tech. Sci. 1953, 3, 356–361. [Google Scholar]
- van Gent, M.R.A. Formulae to Describe Porous Flows. In Communications on Hydraulic and Geotechnical Engineering; Delft University of Technology: Delft, The Netherlands, 1992. [Google Scholar]
- van Gent, M.R.A. Stationary and Oscillatory Flow through Coarse Porous Media. In Communications on Hydraulic and Geotechnical Engineering; Report No. 1993-09; Faculty of Civil Engineering, Delft University of Technology: Delft, The Netherlands, 1993. [Google Scholar]
- Santos, G.C.; Teixeira, P.R.F.; Didier, E. Analysis of wave overtopping on an impermeable coastal structure using a RANS-VOF numerical model. In Proceedings of the 25th ABCM International Congress of Mechanical Engineering, COBEM 2019, Uberlândia, MG, Brazil, 20–25 October 2019. [Google Scholar]
- Neves, M.G.; Didier, E.; Brito, M.; Clavero, M. Numerical and physical modelling of wave overtopping on a smooth impermeable dike with promenade under strong incident waves. J. Mar. Sci. Eng. 2021, 9, 865. [Google Scholar] [CrossRef]
- Schäffer, H.; Klopman, G. Review of multidirectional active wave absorption methods. J. Waterw. Port Coast. Ocean Eng. 2000, 126, 88–97. [Google Scholar] [CrossRef]
- Lara, J.L.; Ruju, A.; Losada, I.J. Reynolds averaged Navier-Stokes modelling of longwaves induced by a transient wave group on a beach. Proc. R. Soc. A Math. Phys. Eng. Sci. 2011, 467, 1215–1242. [Google Scholar]
- Didier, E.; Neves, M.G. A Semi-Infinite Numerical Wave Flume using Smoothed Particle Hydrodynamics. IJOPE 2012, 22, 193–199. [Google Scholar]
- Higuera, P.; Lara, J.L.; Losada, I.J. Realistic wave generation and active wave absorption for Navier-Stokes models application to OpenFOAM®. Coast. Eng. 2013, 71, 102–118. [Google Scholar] [CrossRef]
- Fenton, J.D. A fifth-order Stokes Theory for Steady Waves. J. Waterw. Port Coast. Ocean Eng. 1985, 111, 216–234. [Google Scholar] [CrossRef]
- Fenton, J.D. The numerical solution of steady water waves problems. Comput. Geosci. 1988, 14, 357–368. [Google Scholar] [CrossRef]
- Barreiro, T.G. Estudo da Interacção de Uma Onda Monocromática Com um Conversor de Energia. Master’s Thesis, Nova University of Lisbon, Nova School of Science and Technology, Costa de Caparica, Portugal, 2009. (In Portuguese). [Google Scholar]
- Didier, E.; Conde, J.M.P.; Teixeira, P.R.F. Numerical simulation of an oscillation water column wave energy converter with and without damping. In Proceedings of the Fourth International Conference on Computational Methods in Marine Engineering, Lisbon, Portugal, 28–30 September 2011; pp. 206–217. [Google Scholar]
- Conde, J.M.P.; Teixeira, P.R.F.; Didier, E. Numerical simulation of an oscillating water column wave energy converter: Comparison of two numerical codes. In Proceedings of the 21th International Offshore (Ocean) and Polar Engineering Conference-ISOPE, Maui, HI, USA, 19–24 June 2011; pp. 674–688. [Google Scholar]
- Teixeira, P.R.F.; Davyt, D.P.; Didier, E.; Ramalhais, R. Numerical simulation of an oscillating water column device using a code based on Navier Stokes equations. Energy 2013, 61, 513–530. [Google Scholar] [CrossRef]
- Dias, J.; Mendonça, A.; Didier, E.; Neves, M.G.; Conde, J.M.P.; Teixeira, P.R.F. Application of URANS-VOF models in hydrodynamics study of oscillating water column. In Proceedings of the SCACR2015–International Short Course/Conference on Applied Coastal Research, Florence, Italy, 28 September–1 October 2015. [Google Scholar]
- Mendonça, A.; Dias, J.; Didier, E.; Fortes, C.J.E.M.; Neves, M.G.; Reis, M.T.; Conde, J.M.P.; Poseiro, P.; Teixeira, P.R.F. An integrated tool for modelling OWC-WECs in vertical breakwaters: Preliminary developments. J. Hydro-Environ. Res. 2018, 19, 198–213. [Google Scholar] [CrossRef]
- Lisboa, R.C.; Teixeira, P.R.F.; Torres, F.R.; Didier, E. Numerical evaluation of the power output of an oscillating water column wave energy converter installed in the Southern Brazilian coast. Energy 2018, 162, 1115–1124. [Google Scholar] [CrossRef]
- Willmott, C.J.; Ackleson, S.G.; Davis, R.E.; Feddema, J.J.; Klink, K.M.; Legates, D.R.; O’Donnell, J.; Rowe, C.M. Statistics for the evaluation and comparison of models. J. Geophys. Res. 1985, 90, 8995–9005. [Google Scholar] [CrossRef] [Green Version]























| Mesh | dl (×10−2 m) | Number of Cells |
|---|---|---|
| M-1 | 1.5 × 1.5 | 26,521 |
| M-2 | 1.0 × 1.0 | 29,805 |
| M-3 | 0.75 × 0.75 | 33,351 |
| M-4 | 0.5 × 0.5 | 39,226 |
| M-5 | 0.4 × 0.4 | 45,018 |
| Mesh | Average Wave Overtopping Discharge (m3/m) | Relative Error (%) to Finer Mesh M-5 |
|---|---|---|
| M-1 | 16.024 | 6.96 |
| M-2 | 16.867 | 2.07 |
| M-3 | 17.015 | 1.21 |
| M-4 | 16.918 | 1.77 |
| M-5 | 17.223 | - |
| T = 2 s, H = 0.125 m | T = 5 s, H = 0.128 m | |||
|---|---|---|---|---|
| Bias (cm) | NRMSE (%) | Bias (cm) | NRMSE (%) | |
| k-ε | −4.97 | 59.2 | −3.58 | 35.4 |
| k-ω SST | −0.38 | 8.4 | 0.05 | 10.6 |
| k-ε NLS | 0.25 | 6.5 | 0.80 | 11.9 |
| k-ε SCM | −0.01 | 9.7 | 0.75 | 10.1 |
| Case | Regular Waves | Average Wave Overtopping Discharge (l/s/m) | ||||||
| Tuan and Thin [18] | Turbulence Model | |||||||
| W (cm) | S (cm) | H (m) | T (s) | Exp. | Num. | k-ε NLS | k-ε SCM | |
| REW0S0_1 | 0 | 0 | 0.16 | 1.5 | 5.26 | 5.08 | 6.74 | 7.51 |
| REW0S0_2 | 0 | 0 | 0.24 | 2.5 | 21.05 | 21.23 | 27.57 | 27.97 |
| REW0S4_1 | 4 | 0 | 0.16 | 1.5 | 2.28 | 2.54 | 3.05 | 3.58 |
| REW0S4_2 | 4 | 0 | 0.24 | 2.5 | 21.75 | 20.91 | 20.77 | 22.50 |
| REW4S10_1 | 4 | 10 | 0.16 | 1.5 | 1.14 | 2.09 | 2.73 | 3.24 |
| REW4S10_2 | 4 | 10 | 0.24 | 2.5 | 19.82 | 18.12 | 20.46 | 21.09 |
| REW4S20_1 | 4 | 20 | 0.16 | 1.5 | 0.70 | 0.98 | 2.75 | 2.68 |
| REW4S20_2 | 4 | 20 | 0.24 | 2.5 | 18.42 | 18.33 | 19.69 | 20.49 |
| REW6S0_1 | 6 | 0 | 0.16 | 1.5 | 1.58 | 1.65 | 1.77 | 1.78 |
| REW6S0_2 | 6 | 0 | 0.24 | 2.5 | 17.02 | 16.10 | 17.09 | 18.49 |
| REW6S10_1 | 6 | 10 | 0.16 | 1.5 | 1.14 | 1.01 | 2.13 | 2.37 |
| REW6S10_2 | 6 | 10 | 0.24 | 2.5 | 15.61 | 16.60 | 17.69 | 18.14 |
| REW6S20_1 | 6 | 20 | 0.16 | 1.5 | 0.19 | 0.34 | 1.49 | 1.71 |
| REW6S20_2 | 6 | 20 | 0.24 | 2.5 | 13.51 | 17.12 | 16.11 | 17.03 |
| REW9S0_1 | 9 | 0 | 0.16 | 1.5 | 1.32 | 0.51 | 0.69 | 0.58 |
| REW9S0_2 | 9 | 0 | 0.24 | 2.5 | 14.39 | 13.29 | 10.59 | 12.34 |
| REW9S10_1 | 9 | 10 | 0.16 | 1.5 | 0.21 | 0.21 | 1.01 | 1.28 |
| REW9S10_2 | 9 | 10 | 0.24 | 2.5 | 13.51 | 8.94 | 13.46 | 14.99 |
| REW9S20_1 | 9 | 20 | 0.16 | 1.5 | 0.04 | 0.05 | 0.34 | 0.14 |
| REW9S20_2 | 9 | 20 | 0.24 | 2.5 | 10.18 | 8.94 | 10.44 | 12.51 |
| Case | Random waves | |||||||
| W (cm) | S (cm) | H (m) | Tp (s) | Exp. | Num. | k-ε NLS | k-ε SCM | |
| IRW6S10 | 6 | 10 | 0.123 | 2.2 | 0.224 | 0.281 | 0.145 | 0.155 |
| IRW9S10 | 9 | 10 | 0.126 | 2.2 | 0.096 | 0.073 | 0.065 | 0.078 |
| T = 1.6 s H = 0.07 m | T = 1.6 s H = 0.10 m | Tp = 2.4 s HS = 0.10 m | Tp = 3.2 s HS = 0.10 m | |||||
|---|---|---|---|---|---|---|---|---|
| Bias | NRMSE | Bias | NRMSE | Bias | NRMSE | Bias | NRMSE | |
| k-ε | −0.0143 | 30.1 | −0.0246 | 37.1 | −0.0323 | 39.0 | −0.0609 | 66.0 |
| k-ε NLS | −0.0022 | 15.4 | −0.0028 | 5.8 | 0.0028 | 10.3 | −0.0037 | 9.1 |
| k-ε SCM | −0.0025 | 15.4 | −0.0039 | 6.9 | 0.0026 | 10.2 | −0.0056 | 13.5 |
| Losada et al. [15] | FLUENT | ||||
|---|---|---|---|---|---|
| Exp. | Num. | k-ε | k-ε NLS | k-ε SCM | |
| Average wave overtopping discharge (m3/s/m) | 0.0066 | 0.0063 | 0.0033 | 0.0083 | 0.0084 |
| Relative error (%) | - | 4.6 | 50.0 | 25.8 | 27.3 |
Publisher’s Note: MDPI stays neutral with regard to jurisdictional claims in published maps and institutional affiliations. |
© 2022 by the authors. Licensee MDPI, Basel, Switzerland. This article is an open access article distributed under the terms and conditions of the Creative Commons Attribution (CC BY) license (https://creativecommons.org/licenses/by/4.0/).
Share and Cite
Didier, E.; Teixeira, P.R.F. Validation and Comparisons of Methodologies Implemented in a RANS-VoF Numerical Model for Applications to Coastal Structures. J. Mar. Sci. Eng. 2022, 10, 1298. https://doi.org/10.3390/jmse10091298
Didier E, Teixeira PRF. Validation and Comparisons of Methodologies Implemented in a RANS-VoF Numerical Model for Applications to Coastal Structures. Journal of Marine Science and Engineering. 2022; 10(9):1298. https://doi.org/10.3390/jmse10091298
Chicago/Turabian StyleDidier, Eric, and Paulo R. F. Teixeira. 2022. "Validation and Comparisons of Methodologies Implemented in a RANS-VoF Numerical Model for Applications to Coastal Structures" Journal of Marine Science and Engineering 10, no. 9: 1298. https://doi.org/10.3390/jmse10091298
APA StyleDidier, E., & Teixeira, P. R. F. (2022). Validation and Comparisons of Methodologies Implemented in a RANS-VoF Numerical Model for Applications to Coastal Structures. Journal of Marine Science and Engineering, 10(9), 1298. https://doi.org/10.3390/jmse10091298

