Numerical Study of Scale Effects on Open Water Propeller Performance
Abstract
:1. Introduction
2. Methods
2.1. Numerical Modeling
2.2. Turbulence Models
2.2.1. Realizable (RKE) Turbulence Model
2.2.2. Shear Stress Transport (SSTKO) Turbulence Model
2.3. Transition Model
2.4. Open Water Propeller Characteristics
2.5. Grid Generation
2.6. Verification Study
2.7. Case Study
3. Results and Discussion
3.1. Verification Study
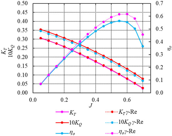
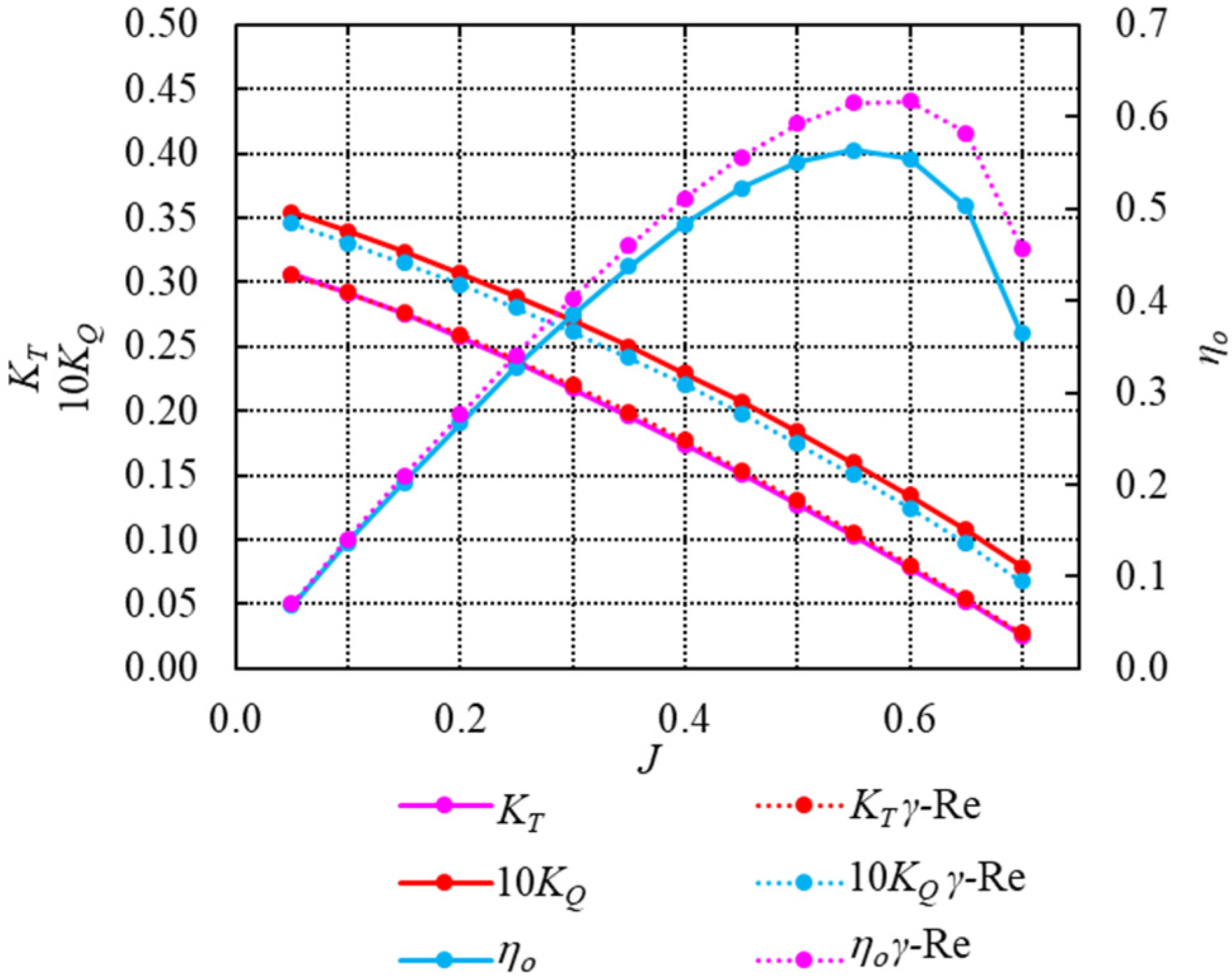
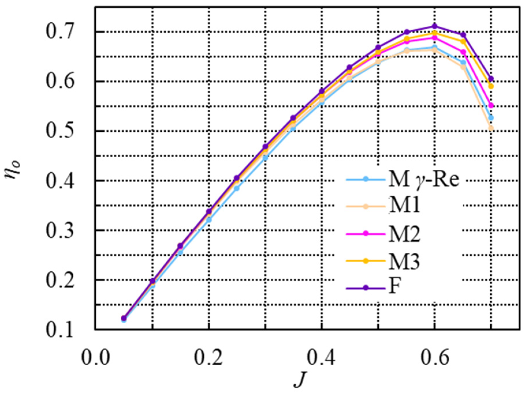
3.2. Turbulence Models
3.3. Model Scale
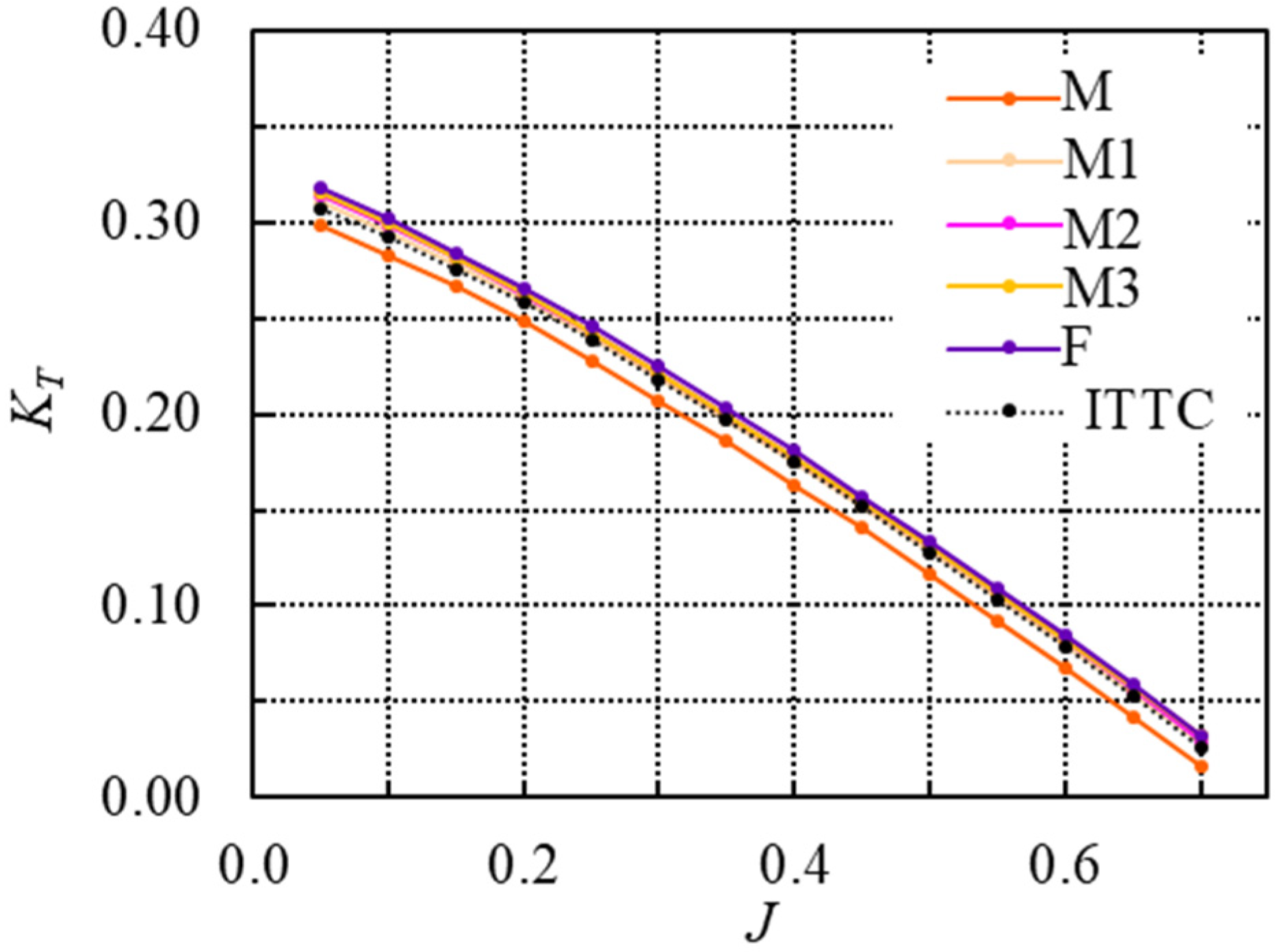
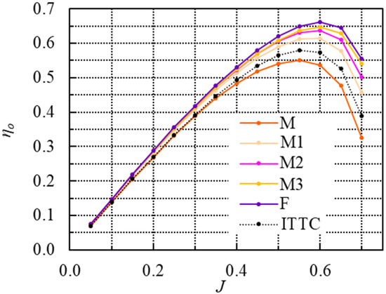
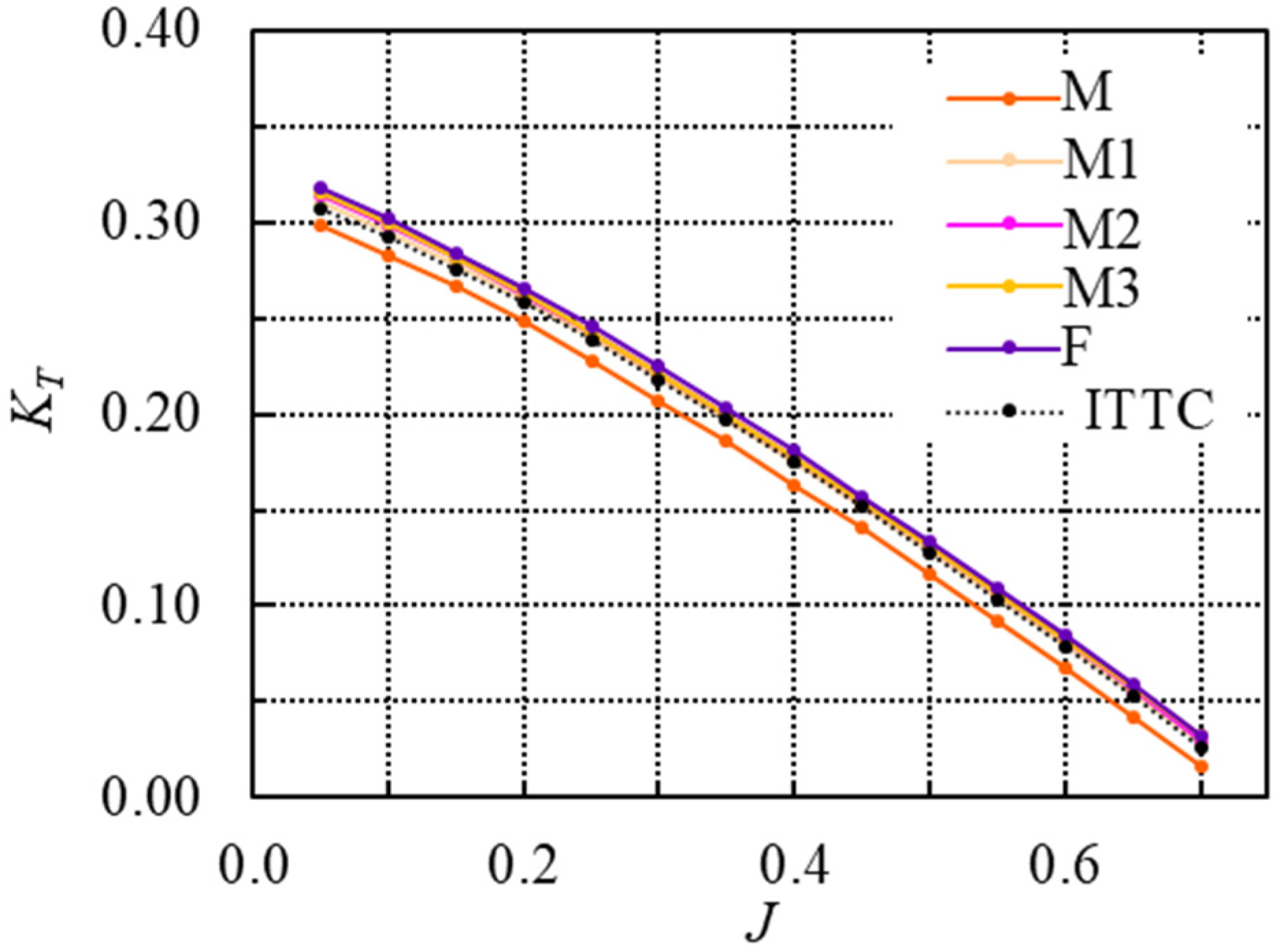
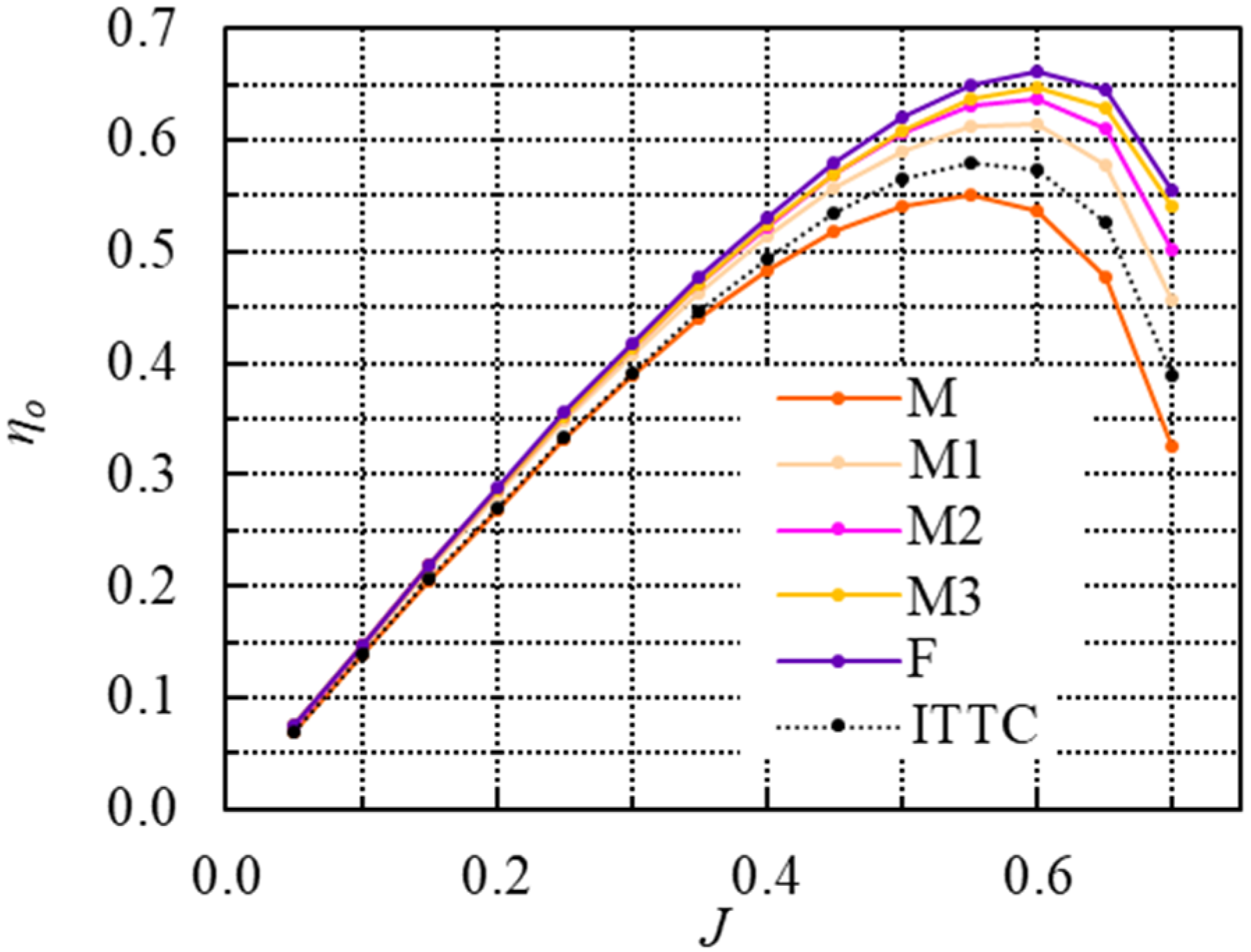
3.4. Scale Effects
4. Conclusions
Author Contributions
Funding
Institutional Review Board Statement
Informed Consent Statement
Data Availability Statement
Acknowledgments
Conflicts of Interest
References
- Farkas, A.; Degiuli, N.; Martić, I.; Dejhalla, R. Numerical and experimental assessment of nominal wake for a bulk carrier. J. Mar. Sci. Technol. 2019, 24, 1092–1104. [Google Scholar] [CrossRef]
- Jang, Y.H.; Eom, M.J.; Paik, K.J. A Numerical Study on the Open Water Performance of a Propeller with Sinusoidal Pitch Motion. Brodogradnja 2020, 71, 71–83. [Google Scholar] [CrossRef]
- Sun, Y.; Wu, T.; Su, Y.; Peng, H. Numerical Prediction on Vibration and Noise Reduction Effects of Propeller Boss Cap Fins on a Propulsion System. Brodogradnja 2020, 71, 1–18. [Google Scholar] [CrossRef]
- Helma, S.; Streckwall, H.; Richter, J. The Effect of Propeller Scaling Methodology on the Performance Prediction. J. Mar. Sci. Eng. 2018, 6, 60. [Google Scholar] [CrossRef]
- Helma, S. A scaling procedure for modern propeller designs. Ocean Eng. 2016, 106, 120, 165–174. [Google Scholar] [CrossRef]
- Bekhit, A.S.; Lungu, A. Simulation of the POW performance of the JBC propeller. In Proceedings of the AIP Conference Proceedings, Rhodes, Greece, 13–18 September 2019. [Google Scholar]
- Niklas, K.; Pruszko, H. Full-scale CFD simulations for the determination of ship resistance as a rational, alternative method to towing tank experiments. Ocean Eng. 2019, 190, 106435. [Google Scholar] [CrossRef]
- Mikkelsen, H.; Walther, J.H. Effect of roughness in full-scale validation of a CFD model of self-propelled ships. Appl. Ocean Res. 2020, 99, 102162. [Google Scholar] [CrossRef]
- Bulten, N.; Stoltenkamp, P. Full scale CFD: The end of the Froude-Reynolds battle. In Proceedings of the Fifth International Symposium on Marine Propulsion, Espoo, Finland, 12–15 June 2017. [Google Scholar]
- Li, D.Q.; Lindell, P.; Werner, S. Transitional flow on model propellers and their influence on relative rotative efficiency. J. Mar. Sci. Eng. 2019, 7, 427. [Google Scholar] [CrossRef]
- Brown, M.; Schroeder, S.; Balaras, E. Vortex structure characterization of tip-loaded propellers. In Proceedings of the 4th International Symposium on Marine Propulsors (SMP’15), Austin, TX, USA, 31 May–4 June 2015. [Google Scholar]
- Dong, X.Q.; Li, W.; Yang, C.J.; Noblesse, F. RANSE-based simulation and analysis of scale effects on open-water performance of the PPTC-II benchmark propeller. JOES 2018, 3, 186–204. [Google Scholar] [CrossRef]
- Kim, S.; Kinnas, S.A. Prediction of cavitating performance of a tip loaded propeller and its induced hull pressures. Ocean Eng. 2021, 229, 108961. [Google Scholar] [CrossRef]
- Chen, X.; Huang, Y.; Wei, P.; Zhang, Z.; Jin, F. Numerical analysis of scale effect on propeller E1619. In Proceedings of the International Conference on Offshore Mechanics and Arctic Engineering—OMAE, Madrid, Spain, 17–22 June 2018. [Google Scholar]
- Owen, D.; Demirel, Y.K.; Oguz, E.; Tezdogan, T.; Incecik, A. Investigating the effect of biofouling on propeller characteristics using CFD. Ocean Eng. 2018, 159, 505–516. [Google Scholar] [CrossRef]
- Tran Ngoc, T.; Luu, D.D.; Nguyen, T.H.H.; Nguyen, T.T.Q.; Nguyen, M.V. Numerical Prediction of Propeller-Hull Interaction Characteristics Using RANS Method. Pol. Marit. Res. 2019, 26, 163–172. [Google Scholar] [CrossRef]
- Vlašić, D.; Degiuli, N.; Farkas, A.; Martić, I. The preliminary design of a screw propeller by means of computational fluid dynamics. Brodogradnja 2018, 69, 129–147. [Google Scholar] [CrossRef]
- Mikkelsen, H.; Steffensen, M.; Ciortan, C.; Walther, J. Ship Scale Validation of CFD Model of Self-propelled Ship. In Proceedings of the MARINE 2019: Computational Methods in Marine Engineering VIII, Göteborg, Sweden, 13–15 May 2019. [Google Scholar]
- Mejia, O.D.L.; Mejia, O.E.; Escorcia, K.M.; Suarez, F.; Laín, S. Comparison of Sliding and Overset Mesh Techniques in the Simulation of a Vertical Axis Turbine for Hydrokinetic Applications. Processes 2021, 9, 1933. [Google Scholar] [CrossRef]
- Wang, J.; Zhao, W.; Wan, D. Simulations of Self-Propelled Fully Appended Ship Model at Different Speeds. Int. J. Comput. Methods 2019, 16, 1840015. [Google Scholar] [CrossRef]
- A Workshop on CFD in Ship Hydrodynamics. Available online: https://www.t2015.nmri.go.jp/ (accessed on 19 July 2022).
- Bekhit, A.S.; Lungu, A. Numerical Study of the Resistance, Free-surface and Self-propulsion Prediction of the KVLCC2 Ship Model. In Proceedings of the International Conference on Traffic and Transport Engineering (ICTTE), Belgrade, Serbia, 27–28 September 2018. [Google Scholar]
- Lungu, A. Numerical Simulation of the Resistance and Self-Propulsion Model Tests. J. Offshore Mech. Arct. Eng. 2020, 142, 021905. [Google Scholar] [CrossRef]
- Farkas, A.; Degiuli, N.; Martić, I. The impact of biofouling on the propeller performance. Ocean Eng. 2021, 219, 108376. [Google Scholar] [CrossRef]
- Farkas, A.; Degiuli, N.; Martić, I.; Dejhalla, R. Impact of hard fouling on the ship performance of different ship forms. J. Mar. Sci. Eng. 2020, 8, 748. [Google Scholar] [CrossRef]
- Farkas, A.; Song, S.; Degiuli, N.; Martić, I.; Demirel, Y.K. Impact of biofilm on the ship propulsion characteristics and the speed reduction. Ocean Eng. 2020, 199, 107033. [Google Scholar] [CrossRef]
- Dogrul, A. Numerical Prediction of Scale Effects on the Propulsion Performance of Joubert BB2 Submarine. Brodogradnja 2022, 73, 17–42. [Google Scholar]
- Gonzalez-Adalid, J.; Perez-Sobrino, M.; Gaggero, S.; Gennaro, G.; Moran Guerrero, A. The use of modern computational tools in the design process of unconventional propellers for performance prediction and full-scale extrapolation. In Proceedings of the 19th International Conference on Ship and Maritime Research—NAV 2018, Trieste, Italy, 20–22 June 2018. [Google Scholar]
- Baltazar, J.; Rijpkema, D.; Falcão de Campos, J. On the use of the Γ−ReΘt transition model for the prediction of the propeller performance at model-scale. Ocean Eng. 2018, 170, 6–19. [Google Scholar] [CrossRef]
- Moran-Guerrero, A.; Gonzalez-Gutierrez, L.M.; Oliva-Remola, A.; Diaz-Ojeda, H.R. On the influence of transition modeling and crossflow effects on open water propeller simulations. Ocean Eng. 2018, 156, 101–119. [Google Scholar] [CrossRef]
- Pawar, S.; Brizzolara, S. Relevance of transition turbulent model for hydrodynamic characteristics of low Reynolds number propeller. Appl. Ocean Res. 2019, 87, 165–178. [Google Scholar] [CrossRef]
- Baek, D.G.; Yoon, H.S.; Jung, J.H.; Kim, K.S.; Paik, B.G. Effects of the advance ratio on the evolution of a propeller wake. Comput. Fluids 2015, 118, 32–43. [Google Scholar] [CrossRef]
- Farkas, A.; Degiuli, N.; Martić, I. Assessment of hydrodynamic characteristics of a full-scale ship at different draughts. Ocean Eng. 2018, 156, 135–152. [Google Scholar] [CrossRef]
- Menter, F.R.; Langtry, R.B.; Likki, S.R.; Suzen, Y.B.; Huang, P.G.; Völker, S. A correlation-based transition model using local variables—Part I: Model formulation. J. Turbomach. 2006, 128, 413–422. [Google Scholar] [CrossRef]
- Yao, H.; Zhang, H. Numerical simulation of boundary-layer transition flow of a model propeller and the full-scale propeller for studying scale effects. J. Mar. Sci. Technol. 2018, 23, 1004–1018. [Google Scholar] [CrossRef]
- Bhattacharyya, A.; Krasilnikov, V.; Steen, S. A CFD-based scaling approach for ducted propellers. Ocean Eng. 2016, 123, 116–130. [Google Scholar] [CrossRef]














| Scale, | 40.264 | 4 | 2 | 1.333 | 1 |
| Index | M | M1 | M2 | M3 | F |
| Diameter, (m) | 0.203 | 2.040 | 4.079 | 6.119 | 8.158 |
| Rate of revolution, | 26.03 | 8.204 | 5.801 | 4.737 | 4.102 |
| Reynolds number, | |||||
| Pitch ratio, | 0.736 | ||||
| Expanded area ratio, | 0.644 | ||||
| Hub ratio, | 0.193 | ||||
| Number of blades, | 5 | ||||
| Index | Number of Finite Volume Cells, | Grid Spacing, | Grid Refinement Ratio, |
|---|---|---|---|
| 1 | 8.8M | 0.0098 | 1.164 |
| 2 | 5.2M | 0.0114 | |
| 1.040 | |||
| 3 | 3.0M | 0.0119 |
| 0.1 | 1.258 | 1.71 |
| 0.2 | 1.878 | 3.14 |
| 0.3 | 5.239 | 15.25 |
| 0.4 | 0.116 | 2.21 |
| 0.5 | 0.002 | 0.55 |
| 0.6 | 0.017 | 0.65 |
| Average | 1.42 | 3.92 |
| Index | Number of Finite Volume Cells, | Grid Refinement | |
|---|---|---|---|
| 1 | 10.2M | 0.3758 | 1.090 |
| 2 | 8M | 0.4075 | |
| 1.207 | |||
| 3 | 4.5M | 0.0119 |
| 0.1 | 0.42 | 0.19 |
| 0.2 | 1.70 | 1.34 |
| 0.3 | 7.65 | 8.06 |
| 0.4 | 1.82 | 2.19 |
| 0.5 | 1.48 | 1.90 |
| 0.6 | 1.55 | 2.15 |
| Average | 2.44 | 2.64 |
| 0.2 | 0.38 | 2.14 | −1.72 |
| 0.4 | −0.65 | 4.30 | −4.74 |
| 0.6 | −2.83 | 8.40 | −10.36 |
| 0.7 | −10.30 | 17.38 | −23.58 |
| Average | 3.54 | 8.06 | 10.10 |
| M1 | M2 | |||||
|---|---|---|---|---|---|---|
| 0.1 | 4.37 | −3.84 | 8.54 | 5.35 | −4.03 | 9.77 |
| 0.2 | 4.70 | −3.76 | 8.79 | 5.72 | −4.09 | 10.22 |
| 0.3 | 5.61 | −3.71 | 9.69 | 6.76 | −4.08 | 11.30 |
| 0.4 | 7.23 | −3.94 | 11.63 | 8.68 | −4.40 | 13.68 |
| 0.5 | 10.12 | −4.80 | 15.67 | 11.80 | −5.71 | 18.57 |
| 0.6 | 17.76 | −6.85 | 26.41 | 20.49 | −8.24 | 31.31 |
| Average | 8.30 | 4.48 | 13.46 | 9.80 | 5.09 | 15.81 |
| M3 | F | |||||
| 0.1 | 5.79 | −3.95 | 10.14 | 6.62 | −3.42 | 10.39 |
| 0.2 | 5.94 | −4.04 | 10.40 | 7.12 | −3.59 | 11.10 |
| 0.3 | 6.81 | −4.13 | 11.41 | 8.39 | −3.68 | 12.53 |
| 0.4 | 8.68 | −4.53 | 13.84 | 10.62 | −4.18 | 15.45 |
| 0.5 | 11.83 | −6.16 | 19.17 | 14.09 | −5.95 | 21.30 |
| 0.6 | 21.65 | −8.87 | 33.49 | 24.46 | −8.74 | 36.38 |
| Average | 10.12 | 5.28 | 16.41 | 11.88 | 4.92 | 17.86 |
Publisher’s Note: MDPI stays neutral with regard to jurisdictional claims in published maps and institutional affiliations. |
© 2022 by the authors. Licensee MDPI, Basel, Switzerland. This article is an open access article distributed under the terms and conditions of the Creative Commons Attribution (CC BY) license (https://creativecommons.org/licenses/by/4.0/).
Share and Cite
Grlj, C.G.; Degiuli, N.; Farkas, A.; Martić, I. Numerical Study of Scale Effects on Open Water Propeller Performance. J. Mar. Sci. Eng. 2022, 10, 1132. https://doi.org/10.3390/jmse10081132
Grlj CG, Degiuli N, Farkas A, Martić I. Numerical Study of Scale Effects on Open Water Propeller Performance. Journal of Marine Science and Engineering. 2022; 10(8):1132. https://doi.org/10.3390/jmse10081132
Chicago/Turabian StyleGrlj, Carlo Giorgio, Nastia Degiuli, Andrea Farkas, and Ivana Martić. 2022. "Numerical Study of Scale Effects on Open Water Propeller Performance" Journal of Marine Science and Engineering 10, no. 8: 1132. https://doi.org/10.3390/jmse10081132
APA StyleGrlj, C. G., Degiuli, N., Farkas, A., & Martić, I. (2022). Numerical Study of Scale Effects on Open Water Propeller Performance. Journal of Marine Science and Engineering, 10(8), 1132. https://doi.org/10.3390/jmse10081132
