Parametric Design and Numerical Investigation of Hydrodynamic Characteristics of a New Type of Armour Block TB-CUBE Based on SPH Method
Abstract
:1. Introduction
2. Materials and Methods
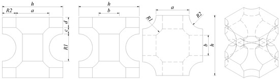
2.1. Block Description
2.2. Physical Model Experiment
2.3. Numerical Model
2.3.1. SPH Equations
2.3.2. Boundary Conditions
2.3.3. Numerical Wave Flume Description
3. Results
3.1. Model Validation
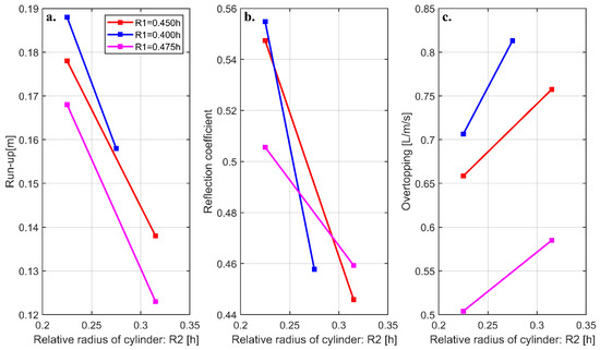
3.2. Block Structure Optimization Study
3.3. Regular Wave Run-Up
3.4. Regular Wave Overtopping
4. Discussion
4.1. Roughness of Block
4.2. Effect of Slope
4.3. Effect of Inverse Wave Steepness
4.4. Wave Breaking Parameter
4.5. Empirical Formula for Wave Run-Up
5. Conclusions
Author Contributions
Funding
Institutional Review Board Statement
Informed Consent Statement
Data Availability Statement
Acknowledgments
Conflicts of Interest
References
- Bruce, T.; van der Meer, J.W.; Franco, L.; Pearson, J.M. Overtopping performance of different armour units for rubble mound breakwaters. Coast. Eng. 2009, 56, 166–179. [Google Scholar] [CrossRef]
- Demirel, V.; Wang, S. An efficient boundary element method for two-dimensional transient wave propagation problems. Appl. Math. Model. 1987, 11, 411–416. [Google Scholar] [CrossRef]
- Belibassakis, K.A. A boundary element method for the hydrodynamic analysis of floating bodies in variable bathymetry regions. Eng. Anal. Bound. Elem. 2008, 32, 796–810. [Google Scholar] [CrossRef]
- Troch, P.; Li, T.Q.; De Rouck, J.; Ingram, D. Wave interaction with a sea dike using a vof finite-volume method. In Proceedings of the 13th International Offshore and Polar Engineering Conference, Honolulu, HI, USA, 25–30 May 2003; pp. 325–332. [Google Scholar]
- Jose, J.; Choi, S.J.; Giljarhus, K.E.T.; Gudmestad, O.T. A comparison of numerical simulations of breaking wave forces on a monopile structure using two different numerical models based on finite difference and finite volume methods. Ocean Eng. 2017, 137, 78–88. [Google Scholar] [CrossRef]
- Xiang, T.; Istrati, D. Assessment of extreme wave impact on coastal decks with different geometries via the arbitrary lagrangian-eulerian method. J. Mar. Sci. Eng. 2021, 9, 1342. [Google Scholar] [CrossRef]
- Xiang, T.; Istrati, D.; Yim, S.C.; Buckle, I.G.; Lomonaco, P. Tsunami loads on a representative coastal bridge deck: Experimental study and validation of design equations. J. Waterw. Port Coast. Ocean Eng. 2020, 146, 04020022. [Google Scholar] [CrossRef]
- Istrati, D.; Hasanpour, A.; Buckle, I. Numerical investigation of tsunami-borne debris damming loads on a coastal bridge. In Proceedings of the 17th World Conference on Earthquake Engineering, Sendai, Japan, 13–18 September 2020. [Google Scholar]
- Istrati, D.; Buckle, I.G. Tsunami Loads on Straight and Skewed Bridges—Part 2: Numerical Investigation and Design Recommendations; FHWA-OR-RD-21-13; Federal Highway Administration Research and Technology: Washington, DC, USA, 2021. [Google Scholar]
- Arikawa, T.; Ishikawa, N.; Beppu, M.; Tatesawa, H. Collapse mechanisms of seawall due to the march 2011 japan tsunami using the mps method. Int. J. Prot. Struct. 2012, 3, 457–476. [Google Scholar] [CrossRef]
- Monaghan, J.J. Simulating free surface flows with sph. J. Comput. Phys. 1994, 110, 399–406. [Google Scholar] [CrossRef]
- Higuera, P.; Lara, J.L.; Losada, I.J. Simulating coastal engineering processes with openfoam (r). Coast. Eng. 2013, 71, 119–134. [Google Scholar] [CrossRef]
- Zijlema, M.; Stelling, G.; Smit, P. Swash: An operational public domain code for simulating wave fields and rapidly varied flows in coastal waters. Coast. Eng. 2011, 58, 992–1012. [Google Scholar] [CrossRef]
- Gomez-Gesteira, M.; Rogers, B.D.; Crespo, A.J.C.; Dalrymple, R.A.; Narayanaswamy, M.; Dominguez, J.M. Sphysics—Development of a free-surface fluid solver—Part 1: Theory and formulations. Comput. Geosci. 2012, 48, 289–299. [Google Scholar] [CrossRef]
- Luo, M.; Khayyer, A.; Lin, P. Particle methods in ocean and coastal engineering. Appl. Ocean Res. 2021, 114, 102734. [Google Scholar] [CrossRef]
- Lowe, R.J.; Buckley, M.L.; Altomare, C.; Rijnsdorp, D.P.; Yao, Y.; Suzuki, T.; Bricker, J.D. Numerical simulations of surf zone wave dynamics using smoothed particle hydrodynamics. Ocean Model. 2019, 144, 101481. [Google Scholar] [CrossRef]
- Wei, Z.P.; Dalrymple, R.A.; Rustico, E.; Herault, A.; Bilotta, G. Simulation of nearshore tsunami breaking by smoothed particle hydrodynamics method. J. Waterw. Port Coast. Ocean Eng. 2016, 142, 05016001. [Google Scholar] [CrossRef]
- Ren, B.; Wen, H.; Dong, P.; Wang, Y. Improved sph simulation of wave motions and turbulent flows through porous media. Coast. Eng. 2016, 107, 14–27. [Google Scholar] [CrossRef]
- Dominguez, J.M.; Fourtakas, G.; Altomare, C.; Canelas, R.B.; Tafuni, A.; Garcia-Feal, O.; Martinez-Estevez, I.; Mokos, A.; Vacondio, R.; Crespo, A.J.C.; et al. Dualsphysics: From fluid dynamics to multiphysics problems. Comput. Part. Mech. 2021. [Google Scholar] [CrossRef]
- Gomez-Gesteira, M.; Cerqueiroa, D.; Crespoa, C.; Dalrymple, R.A. Green water overtopping analyzed with a sph model. Ocean Eng. 2005, 32, 223–238. [Google Scholar] [CrossRef]
- Dalrymple, R.A.; Rogers, B.D. Numerical modeling of water waves with the sph method. Coast. Eng. 2006, 53, 141–147. [Google Scholar] [CrossRef]
- Crespo, A.J.C.; Gomez-Gesteira, M.; Dalrymple, R.A. Modeling dam break behavior over a wet bed by a sph technique. J. Waterw. Port Coast. Ocean Eng. 2008, 134, 313–320. [Google Scholar] [CrossRef]
- Barreiro, A.; Crespo, A.J.C.; Dominguez, J.M.; Gomez-Gesteira, M. Smoothed particle hydrodynamics for coastal engineering problems. Comput. Struct. 2013, 120, 96–106. [Google Scholar] [CrossRef]
- Altomare, C.; Gironella, X.; Crespo, A.J.C. Simulation of random wave overtopping by a wcsph model. Appl. Ocean Res. 2021, 116, 102888. [Google Scholar] [CrossRef]
- Dominguez, J.M.; Crespo, A.J.C.; Hall, M.; Altomare, C.; Wu, M.H.; Stratigaki, V.; Troch, P.; Cappietti, L.; Gomez-Gesteira, M. Sph simulation of floating structures with moorings. Coast. Eng. 2019, 153, 103560. [Google Scholar] [CrossRef]
- Hall, M.; Goupee, A. Validation of a lumped-mass mooring line model with deepcwind semisubmersible model test data. Ocean Eng. 2015, 104, 590–603. [Google Scholar] [CrossRef]
- Hasanpour, A.; Istrati, D.; Buckle, I. Coupled sph–fem modeling of tsunami-borne large debris flow and impact on coastal structures. J. Mar. Sci. Eng. 2021, 9, 1068. [Google Scholar] [CrossRef]
- Crespo, A.J.C.; Altomare, C.; Dominguez, J.M.; Gonzalez-Cao, J.; Gomez-Gesteira, M. Towards simulating floating offshore oscillating water column converters with smoothed particle hydrodynamics. Coast. Eng. 2017, 126, 11–26. [Google Scholar] [CrossRef]
- Altomare, C.; Dominguez, J.M.; Crespo, A.J.C.; Gonzalez-Cao, J.; Suzuki, T.; Gomez-Gesteira, M.; Troch, P. Long-crested wave generation and absorption for sph-based dualsphysics model. Coast. Eng. 2017, 127, 37–54. [Google Scholar] [CrossRef]
- Meringolo, D.D.; Aristodemo, F.; Veltri, P. Sph numerical modeling of wave-perforated breakwater interaction. Coast. Eng. 2015, 101, 48–68. [Google Scholar] [CrossRef]
- Tabet-Aoul, E.H.; Lambert, E. Tentative new formula for maximum horizontal wave forces acting on perforated caisson. J. Waterw. Port Coast. Ocean Eng. 2003, 129, 34–40. [Google Scholar] [CrossRef]
- Monaghan, J.J.; Kos, A. Solitary waves on a cretan beach. J. Waterw. Port Coast. Ocean Eng. 1999, 125, 145–154. [Google Scholar] [CrossRef]
- Altomare, C.; Crespo, A.J.C.; Rogers, B.D.; Dominguez, J.M.; Gironella, X.; Gomez-Gesteira, M. Numerical modelling of armour block sea breakwater with smoothed particle hydrodynamics. Comput. Struct. 2014, 130, 34–45. [Google Scholar] [CrossRef]
- Crespo, A.J.C.; Dominguez, J.M.; Rogers, B.D.; Gomez-Gesteira, M.; Longshaw, S.; Canelas, R.; Vacondio, R.; Barreiro, A.; Garcia-Feal, O. Dualsphysics: Open-source parallel cfd solver based on smoothed particle hydrodynamics (sph). Comput. Phys. Commun. 2015, 187, 204–216. [Google Scholar] [CrossRef]
- Safari, I.; Mouazé, D.; Ropert, F.; Haquin, S.; Ezersky, A. Hydraulic stability and wave overtopping of starbloc® armored mound breakwaters. Ocean Eng. 2018, 151, 268–275. [Google Scholar] [CrossRef]
- Park, Y.H.; Oh, Y.M.; Ahn, S.M.; Han, T.H.; Kim, Y.T.; Suh, K.D.; Won, D. Development of a new concrete armor unit for high waves. J. Coast. Res. 2019, 35, 719–728. [Google Scholar] [CrossRef]
- Tianjin Research Institute for Water Transport Engineering. A Comprehensive Type of Wave Damping Artificial Block and Embankment. CN 108385609 B, 27 October 2020. (In Chinese). [Google Scholar]
- Isobe, M. Impact of global warming on coastal structures in shallow water. Ocean Eng. 2013, 71, 51–57. [Google Scholar] [CrossRef]
- Colling, J.K.; Jafari Kang, S.; Dehdashti, E.; Husain, S.; Masoud, H.; Parker, G.G. Free-decay heave motion of a spherical buoy. Fluids 2022, 7, 188. [Google Scholar] [CrossRef]
- Windt, C.; Davidson, J.; Ringwood, J.V. High-fidelity numerical modelling of ocean wave energy systems: A review of computational fluid dynamics-based numerical wave tanks. Renew. Sustain. Energy Rev. 2018, 93, 610–630. [Google Scholar] [CrossRef]
- Monaghan, J.J. Smoothed particle hydrodynamics. Annu. Rev. Astron. Astrophys. 1992, 30, 543–574. [Google Scholar] [CrossRef]
- Wendland, H. Piecewise polynomial, positive definite and compactly supported radial functions of minimal degree. Adv. Comput. Math. 1995, 4, 389–396. [Google Scholar] [CrossRef]
- Crespo, A.-J.-C.; Gómez-Gesteira, M.; Dalrymple, R.-A. Boundary conditions generated by dynamic particles in sph methods. Comput. Mater. Contin. 2007, 5, 173–184. [Google Scholar]
- Baldock, T.E.; Cox, D.; Maddux, T.; Killian, J.; Fayler, L. Kinematics of breaking tsunami wavefronts: A data set from large scale laboratory experiments. Coast. Eng. 2009, 56, 506–516. [Google Scholar] [CrossRef]
- Hsu, T.W. Geometric characteristics of storm-beach profiles caused by inclined waves. Ocean Eng. 1998, 25, 69–84. [Google Scholar] [CrossRef]
- Istrati, D.; Buckle, I.; Lomonaco, P.; Yim, S. Deciphering the tsunami wave impact and associated connection forces in open-girder coastal bridges. J. Mar. Sci. Eng. 2018, 6, 148. [Google Scholar] [CrossRef]
- Istrati, D. Large-Scale Experiments of Tsunami Inundation of Bridges Including Fluid-Structure-Interaction. Ph.D. Thesis, University of Nevada, Reno, NV, USA, 2017. [Google Scholar]
- Van Gent, M.R.A. Influence of oblique wave attack on wave overtopping at caisson breakwaters with sea and swell conditions. Coast. Eng. 2021, 164, 103834. [Google Scholar] [CrossRef]
- Van Gent, M.R.A.; van der Werf, I.M. Influence of oblique wave attack on wave overtopping and forces on rubble mound breakwater crest walls. Coast. Eng. 2019, 151, 78–96. [Google Scholar] [CrossRef]
- Koosheh, A.; Etemad-Shahidi, A.; Cartwright, N.; Tomlinson, R.; van Gent, M.R.A. Experimental study of wave overtopping at rubble mound seawalls. Coast. Eng. 2022, 172, 104062. [Google Scholar] [CrossRef]
- Zheng, J.; Yao, Y.; Chen, S.; Chen, S.; Zhang, Q. Laboratory study on wave-induced setup and wave-driven current in a 2dh reef-lagoon-channel system. Coast. Eng. 2020, 162, 103772. [Google Scholar] [CrossRef]
- Vieira, F.; Taveira-Pinto, F.; Rosa-Santos, P. New developments in assessment of wave overtopping on single-layer cube armoured breakwaters based on laboratory experiments. Coast. Eng. 2021, 166, 103883. [Google Scholar] [CrossRef]
- Heller, V. Scale effects in physical hydraulic engineering models. J. Hydraul. Res. 2011, 49, 293–306. [Google Scholar] [CrossRef]
- Chen, S.-g.; Gong, E.-y.; Zhao, X.; Arikawa, T.; Chen, X. Large-scale experimental study on scour around offshore wind monopiles under irregular waves. Water Sci. Eng. 2022, 15, 40–46. [Google Scholar] [CrossRef]
- Chen, B.; Li, S. Experimental study of local scour around a vertical cylinder under wave-only and combined wave-current conditions in a large-scale flume. J. Hydraul. Eng. 2018, 144, 04018058. [Google Scholar] [CrossRef]
- Schoonees, T.; Kerpen, N.B.; Schlurmann, T. Full-scale experimental study on wave overtopping at stepped revetments. Coast. Eng. 2021, 167, 103887. [Google Scholar] [CrossRef]

















| D (m) | m | T (s) | |||||
|---|---|---|---|---|---|---|---|
| 1.2 | 1.5 | 1.8 | 2.2 | 2.5 | |||
| 0.3/0.4 | 1.5/2.0/2.5 | H (m) | 0.06 | 0.06 | 0.06 | 0.06 | 0.06 |
| 0.08 | 0.08 | 0.08 | 0.08 | 0.08 | |||
| 0.10 | 0.10 | 0.10 | 0.10 | 0.10 | |||
| 0.12 | 0.12 | 0.12 | 0.12 | 0.12 | |||
| Block | Size | Porosity ρp (%) | |||||
|---|---|---|---|---|---|---|---|
| R1 | R2 | a | b | c | d | ||
| 1# | 0.450 h | 0.225 h | 0.550 h | 0.221 h | 0.165 h | 0.110 h | 46 |
| 2# | 0.450 h | 0.315 h | 0.370 h | 0.357 h | 0.006 h | 0.179 h | 59 |
| 3# | 0.400 h | 0.225 h | 0.550 h | 0.339 h | 0.106 h | 0.169 h | 40 |
| 4# | 0.400 h | 0.275 h | 0.450 h | 0.419 h | 0.015 h | 0.210 h | 48 |
| 5# | 0.475 h | 0.225 h | 0.550 h | 0.163 h | 0.193 h | 0.082 h | 50 |
| 6# | 0.475 h | 0.315 h | 0.370 h | 0.289 h | 0.041 h | 0.144 h | 60 |
| No. | Period (s) | H (m) | Run-Up (m) | Kr | |||
|---|---|---|---|---|---|---|---|
| Physical Model | Numerical Model | Deviation (%) | Physical Model | Numerical Model | |||
| 1 | 1.2 | 0.06 | 0.089 | 0.088 | 1.2 | 0.27 | 0.24 |
| 2 | 0.12 | 0.210 | 0.198 | 5.7 | 0.25 | 0.23 | |
| 3 | 1.5 | 0.06 | 0.102 | 0.098 | 3.9 | 0.28 | 0.33 |
| 4 | 0.12 | 0.228 | 0.233 | 2.3 | 0.21 | 0.23 | |
| 5 | 1.8 | 0.06 | 0.102 | 0.098 | 4.4 | 0.44 | 0.51 |
| 6 | 0.12 | 0.210 | 0.199 | 5.2 | 0.44 | 0.55 | |
| No. | H (m) | Period (s) | Overtopping L/(m·s) | ||
|---|---|---|---|---|---|
| Physical Model | Numerical Model | Deviation (%) | |||
| 1 | 0.12 | 1.2 | 0.175 | 0.160 | 8.6 |
| 2 | 1.5 | 0.225 | 0.219 | 2.7 | |
| 3 | 1.8 | 0.286 | 0.261 | 8.7 | |
| 4 | 2.2 | 0.810 | 0.813 | 0.4 | |
| No | Wave Input | Run-Up [m] | Roughness Coefficient K△ | ||||
|---|---|---|---|---|---|---|---|
| T (s) | H (m) | Smooth Interface | with TB-CUBE Block | Smooth Interface | TB-CUBE | ||
| Experiment | Mean | ||||||
| 1 | 1.2 | 0.06 | 0.158 | 0.073 | 1 | 0.462 | 0.462 |
| 2 | 0.12 | 0.323 | 0.143 | 1 | 0.443 | ||
| 3 | 1.8 | 0.06 | 0.170 | 0.093 | 1 | 0.547 | |
| 4 | 0.12 | 0.353 | 0.158 | 1 | 0.448 | ||
| Function | Slope m | ||
|---|---|---|---|
| 1.5 | 2 | 2.5 | |
| A(m) | 0.4319 | 0.2550 | 0.04805 |
| B(m) | −0.0069 | −0.0055 | −0.01068 |
| C(m) | 0.000282 | 0.000263 | 0.000021 |
Publisher’s Note: MDPI stays neutral with regard to jurisdictional claims in published maps and institutional affiliations. |
© 2022 by the authors. Licensee MDPI, Basel, Switzerland. This article is an open access article distributed under the terms and conditions of the Creative Commons Attribution (CC BY) license (https://creativecommons.org/licenses/by/4.0/).
Share and Cite
Peng, C.; Wang, H.; Zhang, H.; Chen, H. Parametric Design and Numerical Investigation of Hydrodynamic Characteristics of a New Type of Armour Block TB-CUBE Based on SPH Method. J. Mar. Sci. Eng. 2022, 10, 1116. https://doi.org/10.3390/jmse10081116
Peng C, Wang H, Zhang H, Chen H. Parametric Design and Numerical Investigation of Hydrodynamic Characteristics of a New Type of Armour Block TB-CUBE Based on SPH Method. Journal of Marine Science and Engineering. 2022; 10(8):1116. https://doi.org/10.3390/jmse10081116
Chicago/Turabian StylePeng, Cheng, Hao Wang, Huaqing Zhang, and Hanbao Chen. 2022. "Parametric Design and Numerical Investigation of Hydrodynamic Characteristics of a New Type of Armour Block TB-CUBE Based on SPH Method" Journal of Marine Science and Engineering 10, no. 8: 1116. https://doi.org/10.3390/jmse10081116
APA StylePeng, C., Wang, H., Zhang, H., & Chen, H. (2022). Parametric Design and Numerical Investigation of Hydrodynamic Characteristics of a New Type of Armour Block TB-CUBE Based on SPH Method. Journal of Marine Science and Engineering, 10(8), 1116. https://doi.org/10.3390/jmse10081116
