Comparison of the Hydraulic Performance and Pressure Pulsation Characteristics of Shaft Tubular Pump Device under Multiple Working Conditions
Abstract
:1. Introduction
2. CFD Method
2.1. Simulation Model and Settings
2.2. Turbulence Model
2.3. Calculation Grid and Independence Verification
3. Model Test
4. Analysis
4.1. Characteristic Curves
4.2. Hydraulic Performance of Inlet Passage
4.3. Hydraulic Performance of Impeller
4.4. Hydraulic Performance of Guide Vane
4.5. Hydraulic Performance of Outlet Passage
4.6. Pressure Pulsation
5. Conclusions
- The external characteristic curves predicted by CFD were basically consistent with that obtained by the model test, indicating that the numerical simulation in this study has good reliability. For the well-designed shaft tubular pump device, the optimal efficiency reaches 76.52%. When Q = 0.8 Qbep, the efficiency is 70.90%, and when Q = 1.2 Qbep, the efficiency is 44.71%.
- The inlet passage has excellent hydraulic performance under different conditions; however, the flow pattern of the impeller and guide vane is disordered when the flow rate is low, and the guide vane has a poor adjustment effect on flow direction, resulting in an obvious spiral flow in the outlet passage. With the increase in the flow rate, the velocity circulation of the guide vane outlet decreases, and the spiral flow in the outlet passage is improved.
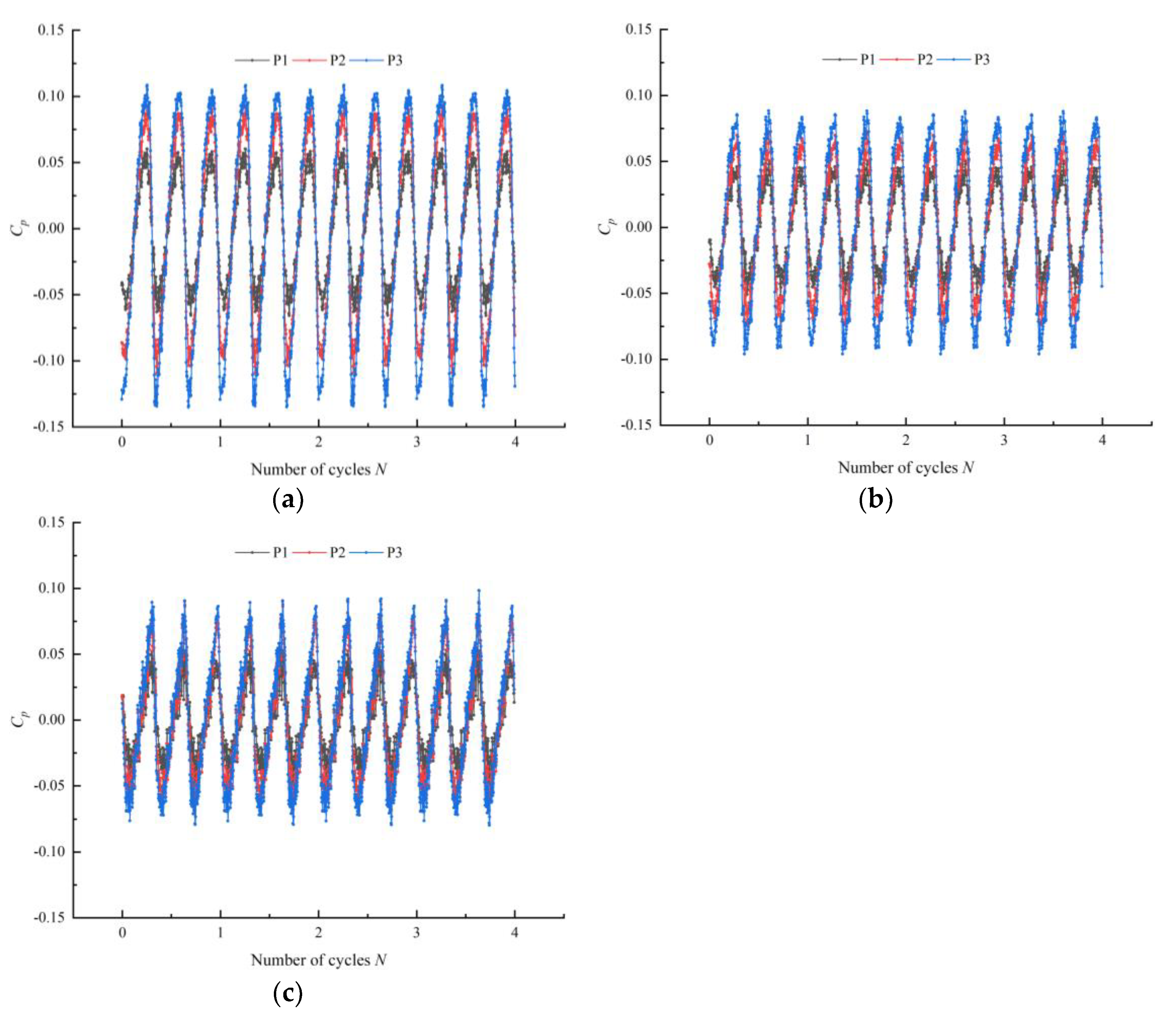
- The pressure pulsation of the impeller inlet and outlet has good periodicity, and the peaks and troughs occur as many times as the number of blades in a cycle. The BPF is the main frequency at the impeller inlet and outlet. This indicates that blade rotation is the main cause of pressure pulsation.
- At the same flow rate, the pressure pulsation rises gradually along the radial direction in the same section, and that at the impeller outlet is significantly smaller than that at the inlet section. Furthermore, the pressure pulsation declines as the flow rate increases. The amplitude at the small flow rate is about 1.5 times that at the optimal condition and about 2.01 times that at the large flow rate condition.
- In order to prevent resonance, the inherent frequency of the pump device should not be close to the blade passing frequency. Furthermore, the pump device should avoid operating under the condition of a flow rate of 0.8 Qbep in order to prevent blade damage caused by excessive pressure pulsation.
Author Contributions
Funding
Institutional Review Board Statement
Informed Consent Statement
Data Availability Statement
Conflicts of Interest
References
- Gomrokchi, A.U.; Rizi, A.P. Flexibility of energy and water management in pressurized irrigation systems using dynamic modeling of pump operation. Environ. Dev. Sustain. 2021, 23, 18232–18251. [Google Scholar] [CrossRef]
- Gopal, C.; Mohanraj, M.; Chandramohan, P.; Chandrasekar, P. Renewable energy source water pumping systems–A literature review. Renew. Sustain. Energy Rev. 2013, 25, 351–370. [Google Scholar] [CrossRef]
- Ji, D.; Lu, W.; Lu, L.; Xu, L.; Liu, J.; Shi, W.; Huang, G. Study on the comparison of the hydraulic performance and pressure pulsation characteristics of a shaft front-positioned and a shaft rear-positioned tubular pump devices. J. Mar. Sci. Eng. 2022, 10, 8. [Google Scholar] [CrossRef]
- Cheng, K.; Li, S.; Cheng, L.; Sun, T.; Zhang, B.; Jiao, W. Experiment on Influence of Blade Angle on Hydraulic Characteristics of the Shaft Tubular Pumping Device. Processes 2022, 10, 590. [Google Scholar] [CrossRef]
- Xu, L.; Lu, L.; Chen, W.; Wang, G. Study on comparison of hydraulic design schemes for shaft tubular pump device. J. Hydroelectr. Eng. 2011, 30, 207–215. [Google Scholar]
- Lu, W.; Zhang, X. Research on model test of hydraulic characteristics for super-low head shaft-well tubular pump unit. J. Irrig. Drain. 2012, 31, 103–106. [Google Scholar]
- Jiao, H.; Sun, C.; Chen, S. Analysis of the influence of inlet guide vanes on the performance of shaft tubular pumps. Shock. Vib. 2021, 2021, 5177313. [Google Scholar] [CrossRef]
- Zhou, C.; Zhang, J.; Jiao, W.; Cheng, L.; Jiang, H. Numerical simulation of influence of shaft on performance of low head tubular pumping system. J. Drain. Irrig. Mach. Eng. 2021, 39, 231–237. [Google Scholar]
- Xu, L.; Li, F.; Sun, S.; Ji, D.; Shi, W.; Lu, W.; Lu, L. Influence of outlet conduit parameters on the performance of shaft tubular pump. J. Drain. Irrig. Mach. Eng. 2021, 40, 73–78. [Google Scholar]
- Guelich, J.; Bolleter, U. Pressure pulsation in centrifugal pumps. ASME J. Vib. Acoust. 1992, 114, 272–279. [Google Scholar] [CrossRef]
- Barzdaitis, V.; Mazeika, P.; Vasylius, M.; Kartasovas, V.; Tadzijevas, A. Investigation of pressure pulsations in centrifugal pump system. J. Vibroengineering 2016, 18, 1849–1860. [Google Scholar]
- Brennen, C. Hydrodynamics of Pumps; Concepts Nrec and Oxford University Press: Oxford, UK, 2011. [Google Scholar]
- Wang, F.; Zhang, L.; Zhang, Z. Analysis on pressure fluctuation of unsteady flow in axial-flow pump. J. Hydraul. Eng. 2007, 38, 1003–1009. [Google Scholar]
- Gonzalez, J.; Santolaria, C. Unsteady flow structure and global variables in a centrifugal pump. J. Fluids Eng. Trans. ASME 2006, 128, 937–946. [Google Scholar] [CrossRef]
- Arndt, N.; Acosta, A.; Brennen, C. Rotor-Stator interaction in a diffuser pump. J. Turbomach. ASME 1989, 111, 213–221. [Google Scholar] [CrossRef]
- Arndt, N.; Acosta, A.; Brennen, C. Experimental investigation of rotor-stator interaction in a centrifugal pump with several vaned diffusers. J. Turbomach. ASME 1990, 112, 98–108. [Google Scholar] [CrossRef]
- Al-Obaidi, A.R. Analysis of the effect of various impeller blade angles on characteristic of the axial pump with pressure fluctuations based on time- and frequency-domain investigations. Iran. J. Sci. Technol.-Trans. Mech. Eng. 2021, 45, 441–459. [Google Scholar] [CrossRef]
- Zhang, D.; Geng, L.; Shi, W.; Pan, D.; Wang, H. Experimental investigation on pressure fluctuation and vibration in axial-flow pump model. Trans. Chin. Soc. Agric. Mach. 2015, 46, 66–72. [Google Scholar]
- Li, S.; Chen, S.; Zhou, Z.; Chen, J.; He, Z. Pressure fluctuation numerical simulation analysis of shaft tubular pump device. Water Resour. Power 2015, 33, 175–179. [Google Scholar]
- Xu, L.; Karney, B.; Shi, W.; Ji, D.; Xu, B.; Lu, W. Influence of spiral flow on the hydraulic performance of a siphon outlet conduit in an axial flow pump system. J. Hydraul. Res. 2022, 60, 515–526. [Google Scholar] [CrossRef]
- Kan, K.; Yang, Z.; Lyn, P.; Zheng, Y.; Shen, L. Numerical Study of Turbulent Flow past a Rotating Axial-Flow Pump Based on a Level-set Immersed Boundary Method. Renew. Energy 2021, 168, 960–971. [Google Scholar] [CrossRef]
- Tremante, A.; Moreno, N.; Rey, R.; Noguera, R. Numerical turbulent simulation of the two-phase flow (liquid/gas) through a cascade of an axial pump. J. Fluids Eng.-Trans. ASME 2002, 124, 371–376. [Google Scholar] [CrossRef]
- Kan, K.; Chen, H.; Zheng, Y.; Zhou, D.; Binama, M. Transient characteristics during power-off process in a shaft extension tubular pump by using a suitable numerical model. Renew. Energy 2021, 164, 109–121. [Google Scholar] [CrossRef]
- Asim, T.; Mishra, R. Large-Eddy-Simulation-based analysis of complex flow structures within the volute of a vaneless centrifugal pump. Sadhana-Acad. Proc. Eng. Sci. 2017, 42, 505–516. [Google Scholar] [CrossRef] [Green Version]
- Jafarzadeh, B.; Hajari, A.; Alishahi, M.; Akbari, M. The flow simulation of a low-specific-speed high-speed centrifugal pump. Appl. Math. Model. 2011, 35, 242–249. [Google Scholar] [CrossRef]
- Ennouri, M.; Kanfoudi, H.; Taher, A.; Zgolli, R. Numerical flow simulation and cavitation prediction in a centrifugal pump using an SST-SAS turbulence model. J. Appl. Fluid Mech. 2019, 12, 25–39. [Google Scholar] [CrossRef]
- Savar, M.; Kozmar, H.; Sutlovic, I. Improving centrifugal pump efficiency by impeller trimming. Desalination 2009, 249, 654–659. [Google Scholar] [CrossRef]
- Sengpanich, K.; Bohez, E.L.; Thongkruer, P.; Sakulphan, K. New mode to operate centrifugal pump as impulse turbine. Renew. Energy 2019, 140, 983–993. [Google Scholar] [CrossRef]
- Charles, H. Numerical Computation of Internal and External Flows; Wiley: Oxford, UK, 2007. [Google Scholar]
- Wang, F. Analysis Method of Flow in Pumps and Pumping Stations; China Water Power Press: Beijing, China, 2019. [Google Scholar]
- Shi, L.; Yuan, Y.; Jiao, H.; Tang, F.; Cheng, L.; Yang, F.; Jin, Y.; Zhu, J. Numerical investigation and experiment on pressure pulsation characteristics in a full tubular pump. Renew. Energy 2021, 163, 987–1000. [Google Scholar] [CrossRef]
- Ramirez, R.; Avila, E.; Lopez, L.; Bula, A.; Forero, J. CFD characterization and optimization of the cavitation phenomenon in dredging centrifugal pumps. Alex. Eng. J. 2020, 59, 291–309. [Google Scholar] [CrossRef]
- Zheng, Y.; Wang, K.; Lei, X.; Tang, F. 3D numerical simulation in inlet passages of pumping station by RNG k–ε turbulent model with wall-function law. Water Resour. Power 2008, 26, 123–125. [Google Scholar]
- Xie, Y.; Ren, J.; Huang, H.; Zhang, X. Grid independence analysis of computational fluid dynamics based on chi-square test. Sci. Technol. Eng. 2020, 20, 123–127. [Google Scholar]




















| Parameter | Settings |
|---|---|
| Inlet of the model | Total pressure (1 atm) |
| Outlet of the model | Mass flow rate |
| Wall of the model | No-slip |
| Time step | 1.15 × 10−4 s (1 degree impeller rotation time) |
| Total time | 0.331 s (8 cycles impeller rotation time) |
| Dynamic and static interface (Steady Simulation) | Stage |
| Dynamic and static interface (Unsteady Simulation) | Transient rotor and stator |
| Static and static interface | None |
| Convergence accuracy | 1 × 10−4 |
| Scheme | Grid Number (106) | r | Head (m) | GCI (%) | |
|---|---|---|---|---|---|
| 1 | 1.51 | 1.140 | 3.22 | −0.028 | 11.88 |
| 2 | 2.24 | 1.119 | 3.31 | −0.018 | 9.13 |
| 3 | 3.14 | 1.085 | 3.37 | −0.009 | 6.50 |
| 4 | 4.01 | 1.141 | 3.40 | −0.003 | 1.25 |
| 5 | 5.95 | 1.107 | 3.41 | 0.003 | 1.75 |
| 6 | 8.07 | -- | 3.40 | -- | -- |
| Measuring Items | Instrument | Instrument Model | Accuracy |
|---|---|---|---|
| Head | Differential pressure transmitter | LDG-500s | ±0.1% |
| Flow rate | Electromagnetic flowmeter | V15712-HD1A1D7D | ±0.2% |
| Torque and rotation speed | Torque and speed sensor | JCZL2-500 | ±0.1% |
Publisher’s Note: MDPI stays neutral with regard to jurisdictional claims in published maps and institutional affiliations. |
© 2022 by the authors. Licensee MDPI, Basel, Switzerland. This article is an open access article distributed under the terms and conditions of the Creative Commons Attribution (CC BY) license (https://creativecommons.org/licenses/by/4.0/).
Share and Cite
Ji, D.; Lu, W.; Xu, L.; Lu, L. Comparison of the Hydraulic Performance and Pressure Pulsation Characteristics of Shaft Tubular Pump Device under Multiple Working Conditions. J. Mar. Sci. Eng. 2022, 10, 750. https://doi.org/10.3390/jmse10060750
Ji D, Lu W, Xu L, Lu L. Comparison of the Hydraulic Performance and Pressure Pulsation Characteristics of Shaft Tubular Pump Device under Multiple Working Conditions. Journal of Marine Science and Engineering. 2022; 10(6):750. https://doi.org/10.3390/jmse10060750
Chicago/Turabian StyleJi, Dongtao, Weigang Lu, Lei Xu, and Linguang Lu. 2022. "Comparison of the Hydraulic Performance and Pressure Pulsation Characteristics of Shaft Tubular Pump Device under Multiple Working Conditions" Journal of Marine Science and Engineering 10, no. 6: 750. https://doi.org/10.3390/jmse10060750
APA StyleJi, D., Lu, W., Xu, L., & Lu, L. (2022). Comparison of the Hydraulic Performance and Pressure Pulsation Characteristics of Shaft Tubular Pump Device under Multiple Working Conditions. Journal of Marine Science and Engineering, 10(6), 750. https://doi.org/10.3390/jmse10060750

