Effects of the NaCl Concentration and Montmorillonite Content on Formation Kinetics of Methane Hydrate
Abstract
1. Introduction
2. Experimental Section
2.1. Experimental Apparatus
2.2. Materials
2.3. Hydrate Formation
2.4. Calculation of the Methane Consumption Rate and Water Conversion
3. Results and Discussion
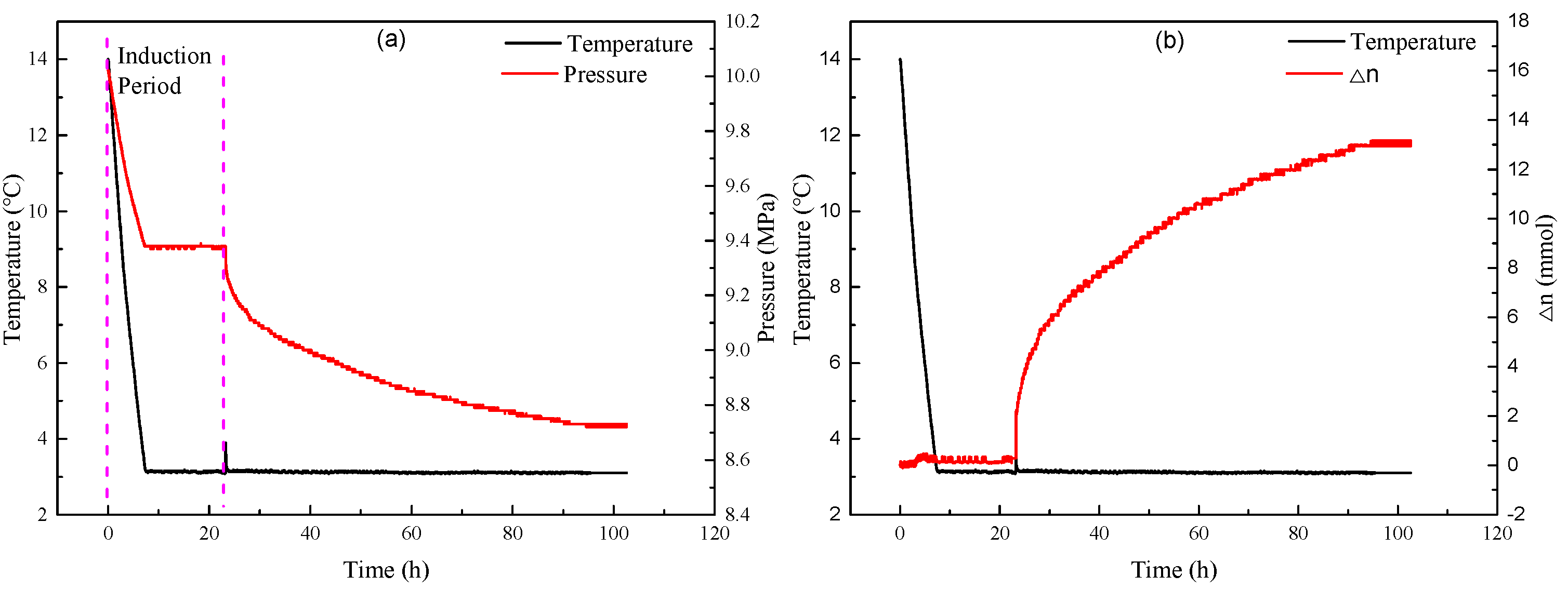
3.1. Typical Formation Process
3.2. Induction Time
3.3. Gas Consumption and Gas Consumption Rate
3.4. Water Conversion
4. Conclusions
- (1)
- NaCl solution has a dual effect on methane hydrate formation. A low concentration of NaCl solution effectively reduces the induction time. However, there is an opposite effect on hydrate nucleation in the NaCl solution at a high concentration. The average induction time for the experiments with the NaCl concentrations of 0, 0.2, 0.6, and 1.2 mol/L is 20.99, 8.11, 15.74, and 30.88 h, respectively.
- (2)
- The low content of montmorillonite is beneficial to reduce induction time, but the high content of montmorillonite will significantly increase the induction time. The average induction time of the experiments carried out under the montmorillonite contents of 0, 10, 25 and 40 wt% is 20.68, 10.72, 13.35, and 30.96 h, respectively. The effect of montmorillonite content on the induction time is smaller than NaCl, indicating that the thermodynamic inhibition of montmorillonite on hydrate formation is less.
- (3)
- In the experiments conducted in the pure silica sand, the low NaCl concentration of 0.2 mol/L can improve the final water conversion. In the experiments with pure water, the water conversion rate increases with the increase of the montmorillonite content due to the improvement of the dispersion of montmorillonite to water. The water conversion of the experiments in pure water with the montmorillonite contents of 0, 10, 25 and 40 wt% is 12.14% (±1.06%), 24.68% (±1.49%), 29.59% (±2.30%), and 32.57% (±1.64%), respectively.
- (4)
- In the case of both montmorillonite and NaCl existing, the absorption of water by montmorillonite, which increases the contact area of gas and water, and the inhibition of NaCl result in more complicated effects on the water conversion. In general, the increase of the NaCl concentration enhances the inhibition of hydrate formation and reduces the final water conversion, which is the key factor affecting the final water conversion. The average water conversion of the experiments under the NaCl concentrations of 0, 0.2, 0.6 and 1.2 mol/L is 24.74, 15.14, 8.85, and 5.74%, respectively.
Author Contributions
Funding
Institutional Review Board Statement
Informed Consent Statement
Data Availability Statement
Conflicts of Interest
References
- Boswell, R.; Collett, T.S. Current perspectives on gas hydrate resources. Energy Environ. Sci. 2011, 4, 206–1215. [Google Scholar] [CrossRef]
- Klauda, J.B.; Sandler, S.I. Global distribution of methane hydrate in ocean sediment. Energy Fuels 2005, 19, 459–470. [Google Scholar] [CrossRef]
- Milkov, A.V. Global estimates of hydrate-bound gas in marine sediments: How much is really out there? Earth-Sci. Rev. 2004, 66, 183–197. [Google Scholar] [CrossRef]
- Chong, Z.R.; Chan, A.H.M.; Babu, P.; Yang, M.; Linga, P. Effect of NaCl on methane hydrate formation and dissociation in porous media. J. Nat. Gas Sci. Eng. 2015, 27, 178–189. [Google Scholar] [CrossRef]
- Chong, Z.R.; Koh, J.W.; Linga, P. Effect of KCl and MgCl2 on the kinetics of methane hydrate formation and dissociation in sandy sediments. Energy 2017, 137, 518–529. [Google Scholar] [CrossRef]
- Rees, E.V.L.; Priest, J.A.; Clayton, C.R.I. The structure of methane gas hydrate bearing sediments from the Krishna–Godavari Basin as seen from Micro-CT scanning. Mar. Pet. Geol. 2011, 28, 1283–1293. [Google Scholar] [CrossRef]
- Kneafsey, T.J.; Lu, H.; Winters, W.; Boswell, R.; Hunter, R.; Collett, T.S. Examination of core samples from the Mount Elbert Gas Hydrate Stratigraphic Test Well, Alaska North Slope: Effects of retrieval and preservation. Mar. Pet. Geol. 2011, 28, 381–393. [Google Scholar] [CrossRef][Green Version]
- Makogon, Y.F. Natural gas hydrates—A promising source of energy. J. Nat. Gas Sci. Eng. 2010, 2, 49–59. [Google Scholar] [CrossRef]
- Sloan, E.D., Jr.; Koh, C.A. Clathrate Hydrates of Natural Gases, 3rd ed.; CRC Press: London, UK, 2007. [Google Scholar]
- Liu, C.; Meng, Q.; He, X.; Li, C.; Ye, Y.; Zhang, G.; Liang, J. Characterization of natural gas hydrate recovered from Pearl River Mouth basin in South China Sea. Mar. Pet. Geol. 2015, 61, 14–21. [Google Scholar] [CrossRef]
- Stern, L.A.; Lorenson, T.D. Grain-scale imaging and compositional characterization of cryo-preserved India NGHP 01 gas-hydrate-bearing cores. Mar. Pet. Geol. 2014, 58, 206–222. [Google Scholar] [CrossRef]
- Handa, Y.P.; Stupin, D.Y. Thermodynamic properties and dissociation characteristics of methane and propane hydrates in 70-.ANG.-radius silica gel pores. J. Phys. Chem. 1992, 96, 8599–8603. [Google Scholar] [CrossRef]
- Lowenstein, B. The major-ion composition of silurian seawater. Geochim. Cosmochim. Acta 2002, 66, 2683–2700. [Google Scholar]
- Horita, J.; Friedman, T.J.; Lazar, B.; Holland, H.D. The composition of Permian seawater. Geochim. Cosmochim. Acta 1991, 55, 417–432. [Google Scholar] [CrossRef]
- Dholabhai, P.D.; Kalogerakis, N.; Bishnoi, P.R. Kinetics of methane hydrate formation in aqueous-electrolyte solutions. Can. J. Chem. Eng. 1993, 71, 68–74. [Google Scholar] [CrossRef]
- Mekala, P.; Babu, P.; Sangwai, J.S.; Linga, P. Formation and dissociation kinetics of methane hydrates in seawater and silica sand. Energy Fuels 2014, 28, 2708–2716. [Google Scholar] [CrossRef]
- Altamash, T.; Aparicio, S.; Atilhan, M. An experimental study on doubly salt effect for methane hydrate inhibition. J. Nat. Gas Sci. Eng. 2019, 72, 103015. [Google Scholar] [CrossRef]
- Sowa, B.; Xue, H.Z.; Hartley, P.G.; Dunstan, D.E.; Maeda, N. Formation of ice, tetrahydrofuran hydrate, and methane/propane mixed gas hydrates in strong monovalent salt solutions. Energy Fuels 2014, 28, 6877–6888. [Google Scholar] [CrossRef]
- Nguyen, N.N.; Anh, V. The dual effect of sodium halides on the formation of methane gas hydrate. Fuel 2015, 156, 87–95. [Google Scholar] [CrossRef]
- Kawasaki, T.; Ukita, T.; Fujii, T.; Noguchi, S.; Ripmeester, J.A. Particle size effect on the saturation of methane hydrate in sediments—Constrained from experimental results. Mar. Pet. Geol. 2011, 28, 1801–1805. [Google Scholar]
- Liu, C.; Ye, Y.; Sun, S.; Chen, Q.; Meng, Q. Experimental studies on the P-T stability conditions and influencing factors of gas hydrate in different systems. Sci. China Earth Sci. 2013, 56, 594–600. [Google Scholar] [CrossRef]
- Zhang, Y.; Zhang, L.; Zhu, C.Y.; Xu, L.X.; Li, X.S.; Chen, Z.Y. Formation behaviors of methane hydrate in partially water-saturated porous media with different particle sizes. Energy Fuels 2021, 35, 19399–19409. [Google Scholar] [CrossRef]
- Ge, B.B.; Zhong, D.L.; Lu, Y.Y. Influence of water saturation and particle size on methane hydrate formation and dissociation in a fixed bed of silica sand. Energy Procedia 2019, 158, 5402–5407. [Google Scholar] [CrossRef]
- Bagherzadeh, S.A.; Moudrakovski, I.L.; Ripmeester, J.A.; Englezos, P. Magnetic resonance imaging of gas hydrate formation in a Bed of silica sand particles. Energy Fuels 2011, 25, 3083–3092. [Google Scholar] [CrossRef]
- Zhang, Y.; Li, X.; Wang, Y.; Chen, Z.; Li, G. Methane hydrate formation in marine sediment from South China Sea with different sater saturations. Energies 2017, 10, 561. [Google Scholar] [CrossRef]
- Kumar, A.; Sakpal, T.; Roy, S.; Kumar, R. Methane hydrate formation in a test sediment of sand and clay at various levels of water saturation. Can. J. Chem. 2015, 93, 1742–1773. [Google Scholar] [CrossRef]
- Liu, J.; Chen, M.; Chen, Z.; Yan, W. Clay mineral distribution in surface sediments of the South China Sea and its significance for in sediment sources and transport. Chin. J. Oceanol. Limnol. 2010, 28, 407–415. [Google Scholar] [CrossRef]
- Liu, Z.; Colin, C.; Li, X.; Zhao, Y.; Tuo, S.; Zhong, C.; Siringan, F.P.; Liu, J.T.; Huang, C.Y.; You, C.F. Clay mineral distribution in surface sediments of the northeastern South China Sea and surrounding fluvial drainage basins: Source and transport. Mar. Geol. 2010, 277, 48–60. [Google Scholar] [CrossRef]
- Tao, Y.; Yan, K.; Li, X.; Chen, Z.; Yu, Y.; Xu, C. Effects of salinity on formation behavior of methane hydrate in montmorillonite. Energies 2020, 13, 231. [Google Scholar] [CrossRef]
- Grim, R.E.; Güven, N. Bentonites: Geology, mineralogy, properties and uses. Dev. Sedimentol. 1978, 24, 78–79. [Google Scholar]
- Li, X.S.; Xu, C.G.; Zhang, Y.; Ruan, X.K.; Li, G.; Wang, Y. Investigation into gas production from natural gas hydrate: A review. Appl. Energy 2016, 172, 286–322. [Google Scholar] [CrossRef]
- Soave, G. Equilibrium constants from a modified Redlich-Kwong equation of state. Chem. Eng. Sci. 1972, 27, 1197–1203. [Google Scholar] [CrossRef]
- Tulk, C.A.; Ripmeester, J.A.; Klug, D.D. The application of Raman spectroscopy to the study of gas hydrates. In Gas Hydrates: Challenges for the Future; Holder, G.D., Bishnoi, P.R., Eds.; New York Academy of Sciences: New York, NY, USA, 2000; Volume 912, pp. 859–872. [Google Scholar]
- Uchida, T.; Hirano, T.; Ebinuma, T.; Narita, H.; Gohara, K.; Mae, S.; Matsumoto, R. Raman spectroscopic determination of hydration number of methane hydrates. Aiche J. 1999, 45, 2641–2645. [Google Scholar] [CrossRef]
- Xu, J.; Du, S.; Hao, Y.; Yang, X.; Zhang, J. Molecular simulation study of methane hydrate formation mechanism in NaCl solutions with different concentrations. Chem. Phys. 2021, 551, 111323. [Google Scholar] [CrossRef]
- Guo, Q.; Hu, W.; Zhang, Y.; Zhang, K.; Li, W. Molecular dynamics simulation of the interfacial properties of methane-water and methane-brine systems. Mol. Simul. 2021, 2, 1–14. [Google Scholar] [CrossRef]
- Kotkoskie, T.S.; Al-Ubaidi, B.; Wildeman, T.R.; Sloan, E.D. Inhibition of gas hydrates in water-based drilling muds. SPE Drill. Eng. 1992, 7, 130–136. [Google Scholar] [CrossRef]
- Lei, L.; Seol, Y.; Choi, J.H.; Kneafsey, T.J. Pore habit of methane hydrate and its evolution in sediment matrix—Laboratory visualization with phase-contrast micro-CT. Mar. Pet. Geol. 2019, 104, 451–467. [Google Scholar] [CrossRef]
- Guggenheim, S.; Groos, A. New gas-hydrate phase: Synthesis and stability of clay-methane hydrate intercalate. Geology 2003, 31, 653–656. [Google Scholar] [CrossRef]








| Material | Purity (%) | Particle Size (µm) | Supplier |
|---|---|---|---|
| CH4 | 99.9% | - | Foshan HuaTe Gas Co., Ltd. |
| Silica sand | - | 120–180 | Shanghai McLean Biochemical Technology Co., Ltd. |
| Na-montmorillonite | - | 16–22 | NANOCOR Company |
| NaCl | 99.5 | - | Aladdin Industrial Co., Ltd. |
| Exp. | NaCl Concentration (mol/L) | Montmorillonite Content (wt%) | Final Pressure (MPa) | Induction Time (h) | (mmol) | (%) |
|---|---|---|---|---|---|---|
| A1 | 0 | 0 | 8.87 | 17.7 | 11.08 | 10.15 |
| A1’ | 0 | 0 | 8.79 | 11.12 | 13.2 | 12.09 |
| A2 | 0.2 | 0 | 8.62 | 11.71 | 14.84 | 13.59 |
| A2’ | 0.2 | 0 | 8.67 | 7.16 | 15.09 | 13.82 |
| A3 | 0.6 | 0 | 8.72 | 20.84 | 13.16 | 12.05 |
| A3’ | 0.6 | 0 | 8.77 | 23.74 | 11.57 | 10.6 |
| A4 | 1.2 | 0 | 9.11 | 54.21 | 6.48 | 5.94 |
| A4’ | 1.2 | 0 | 9.15 | 18.98 | 5.96 | 5.46 |
| B1 | 0 | 10 | 8.17 | 16.38 | 23.19 | 21.24 |
| B1’ | 0 | 10 | 8.09 | 9.08 | 26.16 | 23.96 |
| B2 | 0.2 | 10 | 8.58 | 2.56 | 16.59 | 15.2 |
| B2’ | 0.2 | 10 | 8.75 | 2.74 | 13.95 | 12.78 |
| B3 | 0.6 | 10 | 9.1 | 3.95 | 6.2 | 5.68 |
| B3’ | 0.6 | 10 | 9.16 | 14.76 | 6.05 | 5.54 |
| B4 | 1.2 | 10 | 9.12 | 12.34 | 5.13 | 4.7 |
| B4’ | 1.2 | 10 | 9.12 | 23.94 | 5.18 | 4.75 |
| C1 | 0 | 25 | 7.95 | 7.93 | 27.29 | 25 |
| C1’ | 0 | 25 | 7.7 | 19.23 | 31.88 | 29.19 |
| C2 | 0.2 | 25 | 8.61 | 9.45 | 15.9 | 14.56 |
| C2’ | 0.2 | 25 | 8.59 | 4.98 | 15.75 | 14.42 |
| C3 | 0.6 | 25 | 8.92 | 9.27 | 10 | 9.19 |
| C3’ | 0.6 | 25 | 9.13 | 9.07 | 5.66 | 5.18 |
| C4 | 1.2 | 25 | 9.07 | 41.69 | 5.56 | 5.09 |
| C4’ | 1.2 | 25 | 9.13 | 5.15 | 5.3 | 4.85 |
| D1 | 0 | 40 | 7.76 | 78.08 | 30.93 | 28.33 |
| D1’ | 0 | 40 | 7.59 | 8.42 | 34.2 | 31.32 |
| D2 | 0.2 | 40 | 8.74 | 3.35 | 12.34 | 11.3 |
| D2’ | 0.2 | 40 | 8.55 | 22.97 | 16.64 | 15.24 |
| D3 | 0.6 | 40 | 8.88 | 35.1 | 10.57 | 9.68 |
| D3’ | 0.6 | 40 | 9.02 | 9.16 | 7.6 | 6.96 |
| D4 | 1.2 | 40 | 9.03 | 58.38 | 6.96 | 6.37 |
| D4’ | 1.2 | 40 | 9.12 | 32.25 | 5.31 | 4.87 |
Publisher’s Note: MDPI stays neutral with regard to jurisdictional claims in published maps and institutional affiliations. |
© 2022 by the authors. Licensee MDPI, Basel, Switzerland. This article is an open access article distributed under the terms and conditions of the Creative Commons Attribution (CC BY) license (https://creativecommons.org/licenses/by/4.0/).
Share and Cite
Zeng, H.; Zhang, Y.; Zhang, L.; Chen, Z.; Li, X. Effects of the NaCl Concentration and Montmorillonite Content on Formation Kinetics of Methane Hydrate. J. Mar. Sci. Eng. 2022, 10, 548. https://doi.org/10.3390/jmse10040548
Zeng H, Zhang Y, Zhang L, Chen Z, Li X. Effects of the NaCl Concentration and Montmorillonite Content on Formation Kinetics of Methane Hydrate. Journal of Marine Science and Engineering. 2022; 10(4):548. https://doi.org/10.3390/jmse10040548
Chicago/Turabian StyleZeng, Haopeng, Yu Zhang, Lei Zhang, Zhaoyang Chen, and Xiaosen Li. 2022. "Effects of the NaCl Concentration and Montmorillonite Content on Formation Kinetics of Methane Hydrate" Journal of Marine Science and Engineering 10, no. 4: 548. https://doi.org/10.3390/jmse10040548
APA StyleZeng, H., Zhang, Y., Zhang, L., Chen, Z., & Li, X. (2022). Effects of the NaCl Concentration and Montmorillonite Content on Formation Kinetics of Methane Hydrate. Journal of Marine Science and Engineering, 10(4), 548. https://doi.org/10.3390/jmse10040548

