Influence of End Wall Clearance on Guide Vane Self-Excited Vibrations at Small Openings during Pump Mode’s Starting Up Process of a Reversible Pump Turbine
Abstract
:1. Introduction
2. Numerical Methods
2.1. Governing Equations
2.2. Overview of the Studied Object and Numerical Settings
2.3. Mesh Generation and Independence
3. Results and Discussion
3.1. Influence of End Wall Clearance on the Boundary Conditions of URANS-1DOF Coupling Simulations
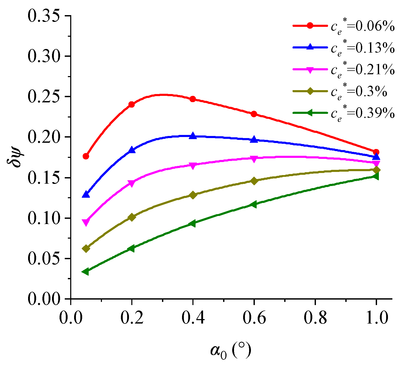
3.2. Guide Vane Self-Excited Vibrations under Steady-State Operating Conditions
3.3. Guide Vane Self-Excited Vibrations during the Pump Mode’s Starting Up Process
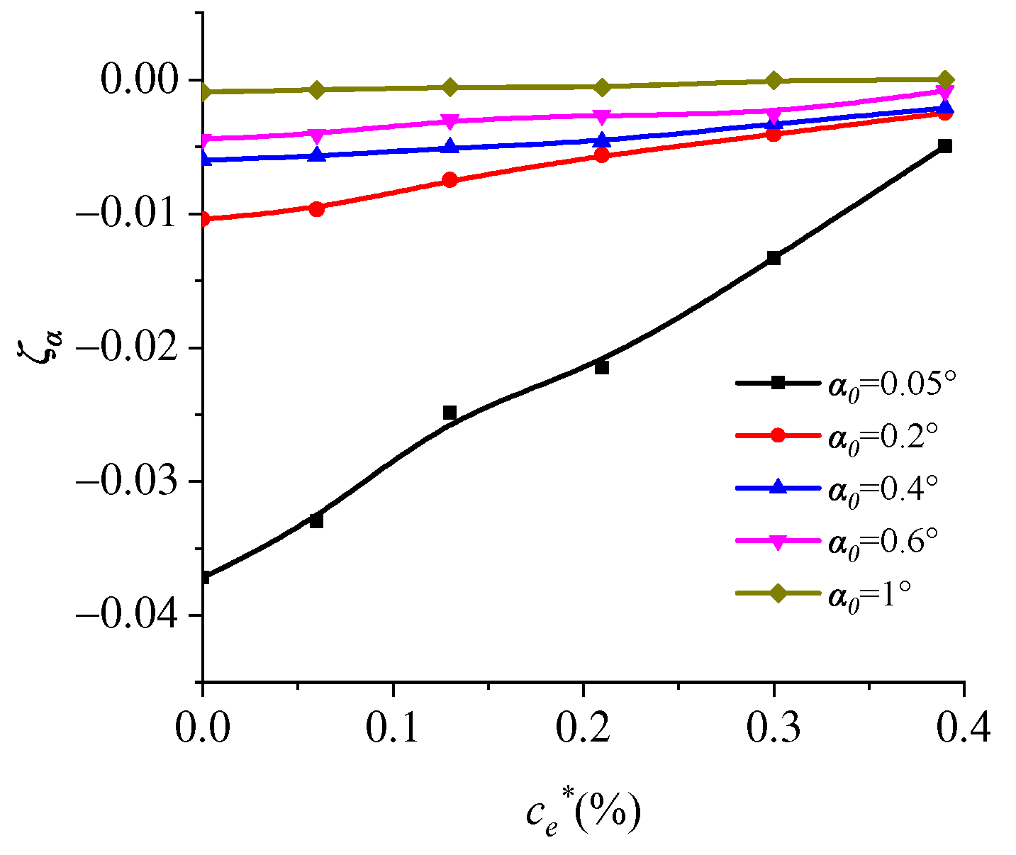
3.4. Analysis of the Influence of End Wall Clearance
4. Conclusions
Author Contributions
Funding
Institutional Review Board Statement
Informed Consent Statement
Data Availability Statement
Conflicts of Interest
Abbreviations
| Width of unilateral end wall clearance (m) | |
| Normalized width of unilateral end wall clearance, | |
| b | Guide vane height (m) |
| Flow rate coefficient, | |
| Circumferential velocity at runner inlet (m s−1), | |
| n | Rotating speed of runner (r min−1) |
| Runner inlet radius (m) | |
| Flow rate coefficient of end wall clearance | |
| Flow rate coefficient of blade-to-blade narrow gap | |
| Radial velocity at inlet (m s−1) | |
| Static pressure coefficient, | |
| Static pressure (Pa) | |
| Velocity coefficient, | |
| v | Velocity (m s−1) |
| Normalized axial coordinate value, | |
| Guide vane inlet–outlet pressure difference, | |
| Total pressure at guide vane inlet (Pa) | |
| Static pressure at guide vane inlet (Pa) | |
| Density of fluid (kg m−3) | |
| Hydraulic torque coefficient on guide vane, | |
| Hydraulic torque on guide vane (N·m) | |
| M | Mass of a guide vane (kg) |
| g | Gravitational acceleration (m s−2) |
References
- Stepanoff, A.J. Centrifugal and Axial Flow Pumps: Theory, Design, and Application; John Wiley & Sons, Inc.: Hoboken, NJ, USA, 1948. [Google Scholar]
- Fraenkel, P.L. Water Lifting Devices; FAO Irrigation and Drainage Paper 43; FAO: Rome, Italy, 1986. [Google Scholar]
- Cacucciolo, V.; Shintake, J.; Kuwajima, Y.; Maeda, S.; Floreano, D.; Shea, H. Stretchable pumps for soft machines. Nature 2019, 572, 516–519. [Google Scholar] [CrossRef] [PubMed]
- Mao, Z.; Iizuka, T.; Maeda, S. Bidirectional electrohydrodynamic pump with high symmetrical performance and its application to a tube actuator. Sens. Actuators Phys. 2021, 332, 113168. [Google Scholar] [CrossRef]
- Zuo, Z.; Fan, H.; Liu, S.; Wu, Y. S-shaped characteristics on the performance curves of pump-turbines in turbine mode—A review. Renew. Sustain. Energy Rev. 2016, 60, 836–851. [Google Scholar] [CrossRef]
- Li, D.; Wang, H.; Qin, Y.; Han, L.; Wei, X.; Qin, D. Entropy production analysis of hysteresis characteristic of a pump-turbine model. Energy Convers. Manag. 2017, 149, 175–191. [Google Scholar] [CrossRef]
- Li, D.; Gong, R.; Wang, H.; Wei, X.; Liu, Z.; Qin, D. Numerical investigation on transient flow of a high head low specific speed pump-turbine in Pump Mode’s. J. Renew. Sustain. Energy 2015, 7, 063111. [Google Scholar] [CrossRef]
- Zhang, Y.; Zhang, Y.; Wu, Y. A review of rotating stall in reversible pump turbine. Proc. Inst. Mech. Eng. Part C J. Mech. Eng. Sci. 2017, 231, 1181–1204. [Google Scholar] [CrossRef] [Green Version]
- Zuo, Z.; Liu, S.; Sun, Y.; Wu, Y. Pressure fluctuations in the vaneless space of High-head pump-turbines—A review. Renew. Sustain. Energy Rev. 2015, 41, 965–974. [Google Scholar] [CrossRef]
- Li, Z.; Bi, H.; Karney, B.; Wang, Z.; Yao, Z. Three-dimensional transient simulation of a prototype pump-turbine during normal turbine shutdown. J. Hydraul. Res. 2017, 55, 520–537. [Google Scholar] [CrossRef]
- Pulpitel, L. Self-excited vibration of pump turbine guide vanes. In Proceedings of the IAHR 11th Symposium on Hydraulic Machinery, Equipment and Cavitation, Amsterdam, The Netherlands, 13–17 September 1982. [Google Scholar]
- Nennemann, B.; Parkinson, E. YiXing pump turbine guide vane vibrations: Problem reso lution with advanced CFD analysis. IOP Conf. Ser. Earth Environ. Sci. 2010, 12, 012057. [Google Scholar] [CrossRef] [Green Version]
- Nennemann, B.; Sallaberger, M.; Henggeler, U.; Gentner, C.; Parkinson, E. Assessment of guide vane self-excitation stability at small openings in pump flow. IOP Conf. Ser. Earth Environ. Sci. 2012, 15, 062032. [Google Scholar] [CrossRef] [Green Version]
- Tao, R.; Zhou, X.; Xu, B.; Wang, Z. Numerical investigation of the flow regime and cavitation in the vanes of reversible pump-turbine during Pump Mode’s’s starting up. Renew. Energy 2019, 141, 9–19. [Google Scholar] [CrossRef]
- Liaghat, T.; Guibault, F.; Allenbach, L.; Nennemann, B. Two-way fluid-structure coupling in vibration and damping analysis of an oscillating hydrofoil. In Proceedings of the ASME International Mechanical Engineering Congress and Exposition, Montreal, QC, Canada, 14–20 November 2014; American Society of Mechanical Engineers: New York, NY, USA, 2014; Volume 46476, p. V04AT04A073. [Google Scholar]
- Dörfler, P.; Sick, M.; Coutu, A. Flow-Induced Pulsation and Vibration in Hydroelectric Machinery: Engineer’s Guidebook for Planning, Design and Troubleshooting; Springer Science & Business Media: Berlin/Heidelberg, Germany, 2012. [Google Scholar]
- Münch, C.; Ausoni, P.; Braun, O.; Farhat, M.; Avellan, F. Hydro Elastic Behavior of Vibrating Blades. In Proceedings of the 24th Symposium on Hydraulic Machinery and Systems, Foz do Iguassu, Brazil, 27–31 October 2008; Volume 1, p. 10. [Google Scholar]
- Münch, C.; Ausoni, P.; Braun, O.; Farhat, M.; Avellan, F. Fluid–structure coupling for an oscillating hydrofoil. J. Fluids Struct. 2010, 26, 1018–1033. [Google Scholar] [CrossRef]
- Guo, Q.; Zhou, L.; Wang, Z.; Liu, M.; Cheng, H. Numerical simulation for the tip leakage vortex cavitation. Ocean Eng. 2018, 151, 71–81. [Google Scholar] [CrossRef]
- ANSYS ANSYS CFX-Solver Modeling Guide: Release 18.0; Ansys Inc.: Canonsburg, PA, USA, 2017.
- Celik, I.B.; Ghia, U.; Roache, P.J.; Freitas, C.J. Procedure for estimation and reporting of uncertainty due to discretization in CFD applications. J. Fluids Eng. 2008, 130, 078001. [Google Scholar] [CrossRef] [Green Version]



















| Item | Setting |
|---|---|
| Mesh motion of the guide vane | Rigid body solution |
| External torque | 1DOF torsional spring solution |
| Wall function | Automatic near-wall treatment |
| Advection scheme | High resolution |
| Turbulence numeric | High resolution |
| Transient scheme | Second-order backward Euler |
| Convergence criterion | 10 |
| Maximum number of inner loops | 20 |
| Item | (3D Steady-State RANS) | (2D URANS-1DOF) |
|---|---|---|
| , , | 513,821, 210,822, 80,923 | 81,201, 47,025, 26,532 |
| 1.346 | 1.314 | |
| 1.376 | 1.331 | |
| 0.1705 | −0.0290 | |
| 0.1670 | −0.0304 | |
| 0.1795 | −0.0339 | |
| 0.1720 | −0.0279 | |
| 0.87% | 4.04% | |
| 1.1% | 4.86% |
| Case | Starting Up Process | End Wall Clearance, |
|---|---|---|
| Site test 1 | A | 0.039% |
| Site test 2 | A | 0.090% |
| Site test 3 | B | 0.039% |
Publisher’s Note: MDPI stays neutral with regard to jurisdictional claims in published maps and institutional affiliations. |
© 2022 by the authors. Licensee MDPI, Basel, Switzerland. This article is an open access article distributed under the terms and conditions of the Creative Commons Attribution (CC BY) license (https://creativecommons.org/licenses/by/4.0/).
Share and Cite
Liang, Q.; Kang, W.; Zhou, L.; Wang, Z. Influence of End Wall Clearance on Guide Vane Self-Excited Vibrations at Small Openings during Pump Mode’s Starting Up Process of a Reversible Pump Turbine. J. Mar. Sci. Eng. 2022, 10, 528. https://doi.org/10.3390/jmse10040528
Liang Q, Kang W, Zhou L, Wang Z. Influence of End Wall Clearance on Guide Vane Self-Excited Vibrations at Small Openings during Pump Mode’s Starting Up Process of a Reversible Pump Turbine. Journal of Marine Science and Engineering. 2022; 10(4):528. https://doi.org/10.3390/jmse10040528
Chicago/Turabian StyleLiang, Quanwei, Wenzhe Kang, Lingjiu Zhou, and Zhengwei Wang. 2022. "Influence of End Wall Clearance on Guide Vane Self-Excited Vibrations at Small Openings during Pump Mode’s Starting Up Process of a Reversible Pump Turbine" Journal of Marine Science and Engineering 10, no. 4: 528. https://doi.org/10.3390/jmse10040528
APA StyleLiang, Q., Kang, W., Zhou, L., & Wang, Z. (2022). Influence of End Wall Clearance on Guide Vane Self-Excited Vibrations at Small Openings during Pump Mode’s Starting Up Process of a Reversible Pump Turbine. Journal of Marine Science and Engineering, 10(4), 528. https://doi.org/10.3390/jmse10040528

