Mechanical Characteristics of Prestressed Concrete Curved Transition Section of Composite Bucket Foundations for Offshore Wind Turbines
Abstract
:1. Introduction
2. Test Program
2.1. Specimens
2.2. Model Making and Maintenance
2.3. Mechanical Properties of Materials
2.4. Test Setup and Measurements
3. Test Results
3.1. Failure Process and Characteristics
3.1.1. GD1 Specimen
3.1.2. GD2 Specimen
3.1.3. GD3 Specimen
3.2. Seismic Performance Analysis
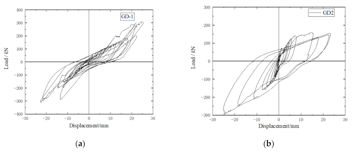
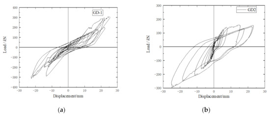
3.2.1. Load-Displacement Hysteresis Curve
3.2.2. Skeleton Curve
3.2.3. Stiffness Degradation
3.2.4. Energy Consumption Capacity
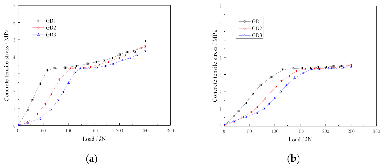
3.3. Force Analysis of Steel Bar and Concrete
3.3.1. Stress Analysis of Reinforcement
3.3.2. Stress Analysis of Concrete
3.4. Comparative Analysis of Experimental Results
4. Conclusions
- (1)
- After the prestress is applied, the cracking area of the curved transition section specimen is significantly smaller than that of the ordinary reinforced concrete curved transition section structure, the cracks are obviously controlled, and the structural cracking load is increased by about 35%. After the specimen cracked, the crack throughed rapidly, and the horizontal crack gradually extended to the side to develop into an oblique crack. When the specimen was damaged, the concrete did not appear to be crushed and peeled off obviously, the number of cracks was small but the width was large, and the ring reinforcement on the tensioned side was exposed. The distribution position of the main cracks moved downwards, and there were fine cracks below the height of the transition section 50 cm, which indicates that the prestress plays an important role in improving the force transmission performance of the arced transition section.
- (2)
- The failure mode of the special structure of the curved transition section under horizontal reciprocating load is obviously different from that of ordinary beam-column concrete members, showing the characteristics of bending and shear failure. When the structure is damaged, the cracks penetrate circumferentially, and the width reaches the limit. The position of the main crack is related to the curvature of the arced structure. By optimizing the tension control force of the arc-shaped foundation, the load can be converted into a controllable tensile and compressive stress of the structure, thereby achieving a full compression state and avoiding structural cracking.
- (3)
- Comparing the hysteresis curve, skeleton curve, stiffness degradation, and energy dissipation capacity of the three specimens, it can be concluded that the application of prestress helps to increase the seismic performance of the arced transition section, and the energy dissipation capacity of the GD2 specimen is better than that of the GD3 specimen. The skeleton curve of the GD2 specimen has obvious elasticity, yield, limit, and descending sections, and the material properties can be fully utilized.
Author Contributions
Funding
Institutional Review Board Statement
Informed Consent Statement
Data Availability Statement
Conflicts of Interest
References
- Ren, Y.; Vengatesan, V.; Shi, W. Dynamic Analysis of a Multi-column TLP Floating Offshore Wind Turbine with Tendon Failure Scenarios. Ocean Eng. 2022, 245, 110472. [Google Scholar] [CrossRef]
- Wang, X.; Zeng, X.; Li, J.; Yang, X.; Wang, H. A review on recent advancements of substructures for offshore wind turbines. Energy Convers. Manag. 2018, 158, 103–119. [Google Scholar] [CrossRef]
- Wang, Y.; Shi, W.; Michailides, C.; Wan, L.; Kim, H.; Li, X. WEC shape effect on the motion response and power performance of a combined wind-wave energy converter. Ocean Eng. 2022, 250, 111038. [Google Scholar] [CrossRef]
- Oh, K.; Nam, W.; Ryu, M.; Kim, J.-Y.; Epureanu, B.I. A review of foundations of offshore wind energy convertors: Current status and future perspectives. Renew. Sustain. Energy Rev. 2018, 88, 16–36. [Google Scholar] [CrossRef]
- Koteras, A.K. Jacking and Suction Installation of Bucket Foundation for Offshore Wind Turbines. Ph.D. Thesis, Aalborg University, København, Denmark, 2019. [Google Scholar]
- Vicent, S.; Kim, S.; Bong, T. Effect of loading rate on the pullout capacity of offshore bucket foundations in sand. Ocean Eng. 2020, 210, 107427. [Google Scholar] [CrossRef]
- Jeong, Y.; Kim, J.; Manandhar, S.; Ha, J.-G.; Park, H.-J.; Kim, D.-S. Centrifuge Modelling of Drained Pullout and Compression Cyclic Behaviour of Suction Bucket. Int. J. Phys. Model. Geotech. 2019, 20, 59–70. [Google Scholar] [CrossRef]
- Ragni, R.; Bienen, B.; Stanier, S.; O’Loughlin, C.; Cassidy, M. Observations during suction bucket installation in sand. Int. J. Phys. Model. Geotech. 2019, 20, 132–149. [Google Scholar] [CrossRef]
- Kim, J.; Kim, D. Soil displacement near a bucket foundation installed in sand by suction and jacking in a centrifuge. J. Geotech. Geoenviron. Eng. 2019, 145, 06019015. [Google Scholar] [CrossRef]
- Cho, Y.; Lee, T.; Park, J.; Kwag, D.; Chung, E.; Bang, S. Field tests on suction pile installation in sand. ASME 2002 21st International Conference on Offshore Mechanics and Arctic Engineering. Am. Soc. Mech. Eng. 2002, 36126, 765–771. [Google Scholar]
- Ding, H.; Lian, J.; Li, A.; Zhang, P. One-step-installation of offshore wind turbine on large-scale bucket-top-bearing bucket foundation. Trans. Tianjin Univ. 2013, 19, 188–194. [Google Scholar] [CrossRef]
- Zhang, P.; Hu, R.; Ding, H.; Guo, Y.; Xiong, K. Comparative analysis of seepage field characteristics in bucket foundation with and without compartments. Ocean Eng. 2017, 143, 34–49. [Google Scholar] [CrossRef]
- Zhang, P.; Ding, H.; Le, C. Hydrodynamic motion of a large prestressed concrete bucket foundation for offshore wind turbines. J. Renew. Sustain. Energy 2013, 5, 063126. [Google Scholar] [CrossRef]
- Ding, H.; Feng, Z.; Zhang, P.; Le, C.; Guo, Y. Floating Performance of a Composite Bucket Foundation with an Offshore Wind Tower during Transportation. Energies 2020, 13, 882. [Google Scholar] [CrossRef] [Green Version]
- Zhang, P.; Li, Y.; Lv, Y.; Ding, H.; Le, C. Bearing Capacity Characteristics of Composite Bucket Foundation Under Torque Loading. Energies 2019, 12, 2487. [Google Scholar] [CrossRef] [Green Version]
- Zhang, P.; Zhao, X.; Ding, H.; Le, C. The wet-towing resistance of the composite bucket foundation for offshore wind turbines. Mar. Struct. 2021, 80, 103089. [Google Scholar] [CrossRef]
- Jia, N.; Zhang, P.; Liu, Y.; Ding, H. Bearing capacity of composite bucket foundations for offshore wind turbines in silty sand. Ocean Eng. 2018, 151, 1–11. [Google Scholar] [CrossRef]
- Ding, H.; Hu, R.; Zhang, P.; Le, C. Load bearing behaviors of composite bucket foundations for offshore wind turbines on layered soil under combined loading. Ocean Eng. 2020, 198, 106997. [Google Scholar] [CrossRef]
- Zhang, P.; Li, J.; Le, C.; Ding, H. Seismic responses of two bucket foundations for offshore wind turbines based on shaking table tests. Renew. Energy 2022, 187, 1100–1117. [Google Scholar] [CrossRef]
- Houlsby, G.; Ibsen, L.; Byrne, B. Suction caissons for wind turbines. In Frontiers in Offshore Geotechnics; ISFOG: Perth, WA, Australia, 2005; pp. 75–93. [Google Scholar]
- Wang, X.; Zeng, X.; Yang, X.; Li, J. Feasibility study of offshore wind turbines with hybrid monopile foundation based on centrifuge modeling. Appl. Energy 2019, 209, 127–139. [Google Scholar] [CrossRef]
- Zhai, S. Optimal Design of Large-Scale Cylindrical Foundation Force Transmission System for Offshore Wind Power. Master’s Thesis, Tianjin University, Tianjin, China, 2012. [Google Scholar]
- Liu, M.; Yang, M.; Wang, H. Bearing behavior of wide-shallow bucket foundation for offshore wind turbines in drained silty sand. Ocean Eng. 2014, 82, 169–179. [Google Scholar] [CrossRef]
- Liu, Y.; Zhang, P.; Ding, H.Y.; Zhang, Z. Load Bearing Characteristics of Composite Bucket Foundation for Offshore Wind Turbines. J. Mar. Sci. Technol. 2016, 24, 790–797. [Google Scholar]
- Zhang, P.; He, S.; Liu, Y.; Ding, H. Force transfer characteristics of composite bucket foundation for offshore wind turbines. J. Renew. Sustain. Energy 2016, 8, 013307. [Google Scholar] [CrossRef]
- Zhang, P.; Xu, Y.; Le, C.; Ding, H.; Guo, Y. Structural optimization method for the transition section in composite bucket foundations of offshore wind turbines. Energies 2018, 11, 3230. [Google Scholar] [CrossRef] [Green Version]
- He, S.; Zhang, P.; Ding, H. Study on the bearing mode and force transfer path of composite bucket foundations. Energies 2017, 10, 1041. [Google Scholar] [CrossRef] [Green Version]
- Ministry of Housing and Urban Rural Development of the People’s Republic of China. Code for Design of Concrete Structures; China Architecture Building Press: Beijing, China, 2015.
- Ministry of Housing and Urban Rural Development of the People’s Republic of China. Standard for Test Method of Mechanical Properties on Ordinary Concrete; China Architecture Building Press: Beijing, China, 2019.
- Wu, J. Seismic Bahavior Study on a New Precast Prestressed Assembled Structural System. Ph.D. Thesis, Southest University, Nanjing, China, 2018. [Google Scholar]
- Zhao, B. Research on Prestress Tensioning and Lifting Technique of Composite Bucket Foundation for Offshore Wind Turbine. Master’s Thesis, Tianjin University, Tianjin, China, 2017. [Google Scholar]


























| NO. | Scale | Structure Type | Prestressed Reinforcement/Piece | Tension Control Force/kN | Reinforcement Ratio |
|---|---|---|---|---|---|
| GD1 | 1:20 | Ordinary concrete | 0 | 0 | 1.5% |
| GD2 | prestress concrete | 6 | 180 | 1.5% | |
| GD3 | 300 | 1.5% |
| Number | Pouring Sequence | Compressive Strength of the Cube (MPa) |
|---|---|---|
| GD1 | first | 49.87 |
| second | 50.60 | |
| GD2 | first | 48.21 |
| second | 51.16 | |
| GD3 | first | 48.87 |
| second | 51.51 |
| Steel Type | Diameter (mm) | Yield Strength (MPa) | Ultimate Strength (MPa) |
|---|---|---|---|
| RB400 | 10 | 338.41 | 490.20 |
| PB335 | 8 | 322.85 | 452.89 |
| PB335 | 6 | 315.59 | 442.16 |
| Model | Cracking Load (kN) | Cracking Displacement (mm) | Failure Load (kN) | Failure Displacement (mm) |
|---|---|---|---|---|
| GD1 | 62.98 | 3.3 | 228.97 | 19.7 |
| GD2 | 85.47 | 4.1 | 247.36 | 17.2 |
| GD3 | 108.82 | 5.4 | 246.98 | 15.2 |
Publisher’s Note: MDPI stays neutral with regard to jurisdictional claims in published maps and institutional affiliations. |
© 2022 by the authors. Licensee MDPI, Basel, Switzerland. This article is an open access article distributed under the terms and conditions of the Creative Commons Attribution (CC BY) license (https://creativecommons.org/licenses/by/4.0/).
Share and Cite
Zhang, P.; Xu, Y.; Xiao, J.; Le, C.; Ding, H. Mechanical Characteristics of Prestressed Concrete Curved Transition Section of Composite Bucket Foundations for Offshore Wind Turbines. J. Mar. Sci. Eng. 2022, 10, 473. https://doi.org/10.3390/jmse10040473
Zhang P, Xu Y, Xiao J, Le C, Ding H. Mechanical Characteristics of Prestressed Concrete Curved Transition Section of Composite Bucket Foundations for Offshore Wind Turbines. Journal of Marine Science and Engineering. 2022; 10(4):473. https://doi.org/10.3390/jmse10040473
Chicago/Turabian StyleZhang, Puyang, Yunlong Xu, Jiandong Xiao, Conghuan Le, and Hongyan Ding. 2022. "Mechanical Characteristics of Prestressed Concrete Curved Transition Section of Composite Bucket Foundations for Offshore Wind Turbines" Journal of Marine Science and Engineering 10, no. 4: 473. https://doi.org/10.3390/jmse10040473
APA StyleZhang, P., Xu, Y., Xiao, J., Le, C., & Ding, H. (2022). Mechanical Characteristics of Prestressed Concrete Curved Transition Section of Composite Bucket Foundations for Offshore Wind Turbines. Journal of Marine Science and Engineering, 10(4), 473. https://doi.org/10.3390/jmse10040473

