Investigation into the Hydrodynamic Noise Characteristics of Electric Ducted Propeller
Abstract
:1. Introduction
2. Research Object and Methodology
2.1. Structural Parameters of the Ducted Propeller
2.2. Experimental Support
2.3. Numerical Methodology of the Hydrodynamic Noise
2.3.1. Governing Equation
2.3.2. Turbulence Model
2.3.3. Acoustic Simulation Methodology
3. Simulation Modeling
3.1. Computing Domain and Meshing
3.2. Boundary Conditions
4. Results Analysis
4.1. Performance Analysis of Ducted Propeller
4.2. Flow Field Analysis
4.2.1. Velocity Distribution at Different Navigational Speeds
4.2.2. Vorticity and Entropy Distribution at Different Navigational Speeds
4.3. Hydrodynamic Noise Results Analysis
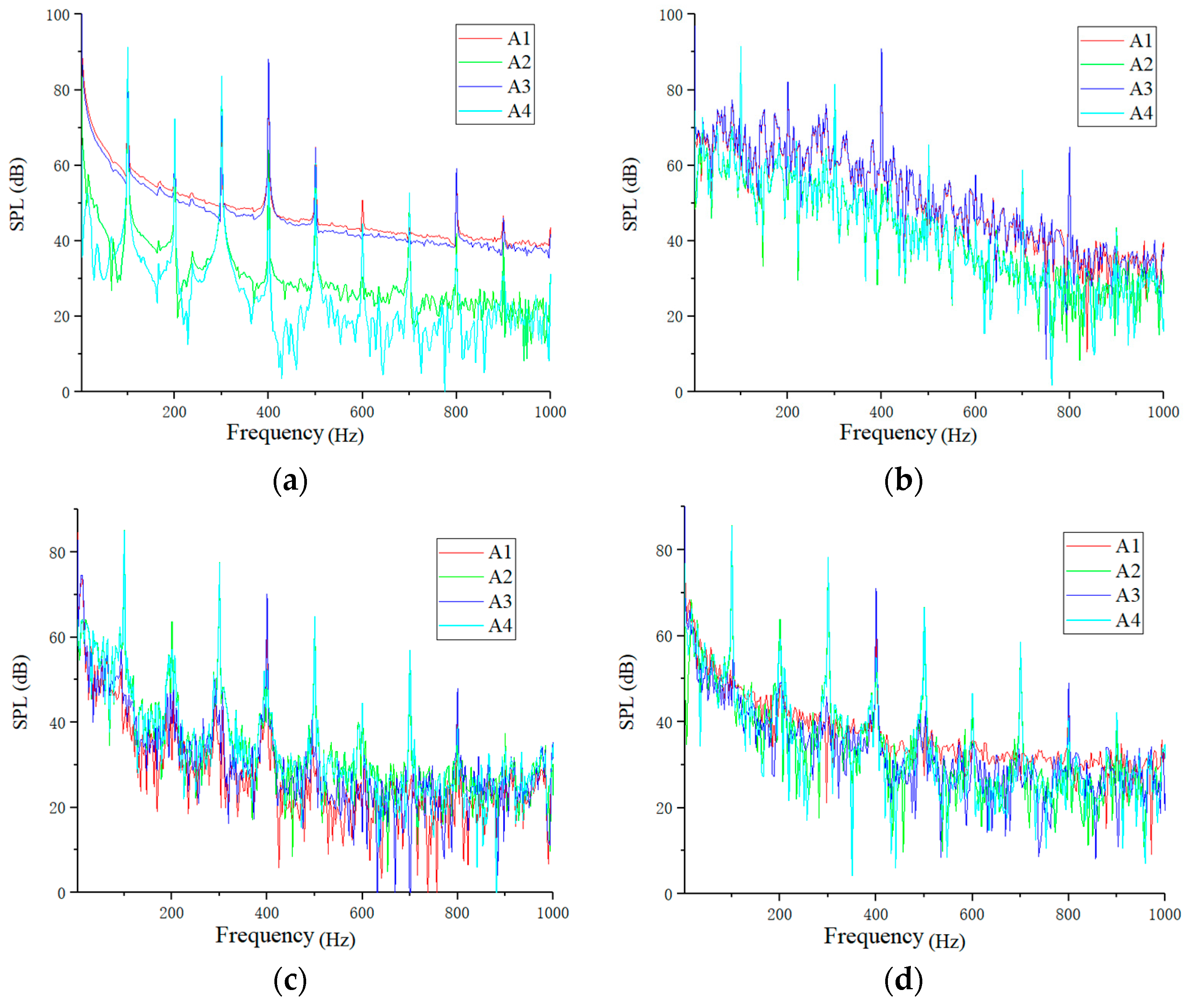
4.3.1. Sound Pressure Level Spectrum at Different Monitoring Points
4.3.2. Acoustic Directivity Analysis
5. Conclusions
- (1)
- The thrust of the studied ducted propeller at high navigational speeds is greater than that under mooring conditions. Under the fixed impeller rotational speed, the propulsion efficiency of ducted propeller increases first and then decreases with the increase of navigational speed. Numerical simulation results of the flow field are in good agreement with the experiment. The maximum errors of thrust and power are 0.5% and 0.1%, respectively, which means that the adopted DES numerical simulation method has high credibility in calculating the acoustic source.
- (2)
- There are symmetrical vortices closer to the duct outlet at the mooring state and 0.37 m/s navigational speeds; however, the pair of vortices in the wake area gradually disappear and the flow lines become more layered as the navigational speed increases, the annular vortex also gradually weakens and moves backward until it disappears. At impeller rotational speed of 2000 r/min, the best state of flow field distribution is at the navigational speed of 1.54 m/s, which is corresponding to the highest propulsion efficiency condition.
- (3)
- The propeller noise presents obvious blade passing frequency and its multiple characteristics, and most of the noise contribution is concentrated below 4fBPF. However, with the increase of speed, the blade frequency characteristics of propeller noise gradually weaken, showing the trend of continuous broadband spectrum noise. The acoustic directivity of the ducted propeller present dipole characteristic in all working conditions. At the impeller rotational speed of 2000 r/min, the sound pressure level of the propeller first decreases and then increases with the increase of the navigational speed, and the total sound pressure level of the hydrodynamic noise is the smallest at the optimal efficiency condition (the navigational speed is 1.54 m/s). At high navigational speed, the low frequency characteristics below fBPF increase more and the amplitude becomes larger. This indicates that the component of turbulent noise becomes more important with the increase of navigational speed.
Author Contributions
Funding
Institutional Review Board Statement
Informed Consent Statement
Data Availability Statement
Acknowledgments
Conflicts of Interest
References
- Bingham, B.; Foley, B.; Singh, H.; Camilli, R.; Dellaporta, K.; Eustice, R.; Mallios, A.; Mindell, D.; Roman, C.; Sakellariou, D. Robotic tools for deep water archaeology: Surveying an ancient shipwreck with an autonomous underwater vehicle. J. Field Robot. 2010, 27, 702–717. [Google Scholar] [CrossRef] [Green Version]
- Wynn, R.B.; Huvenne, V.A.; Le Bas, T.P.; Murton, B.J.; Connelly, D.P.; Bett, B.J.; Ruhl, H.A.; Morris, K.J.; Peakall, J.; Parsons, D.R.; et al. Autonomous Underwater Vehicles (AUVs): Their past, present and future contributions to the advancement of marine geoscience. Mar. Geol. 2014, 352, 451–468. [Google Scholar] [CrossRef] [Green Version]
- Tadros, M.; Ventura, M.; Guedes Soares, C. Design of Propeller Series Optimizing Fuel Consumption and Propeller Efficiency. J. Mar. Sci. Eng. 2021, 9, 1226. [Google Scholar] [CrossRef]
- Kimmerl, J.; Mertes, P.; Abdel-Maksoud, M. Application of large eddy simulation to predict underwater noise of marine propulsors. Part 2: Noise generation. J. Mar. Sci. Eng. 2021, 9, 778. [Google Scholar] [CrossRef]
- Carlton, J. Marine Propellers and Propulsion, 2nd ed.; Butterworth-Heinemann: Oxford, UK, 2012. [Google Scholar]
- Gaafary, M.M.; El-Kilani, H.S.; Moustafa, M.M. Optimum design of B-series marine propellers. Alex. Eng. J. 2011, 50, 13–18. [Google Scholar] [CrossRef] [Green Version]
- Mirjalili, S.; Lewis, A.; Mirjalili, S.A.M. Multi-objective Optimisation of Marine Propellers. Procedia Comput. Sci. 2015, 51, 2247–2256. [Google Scholar] [CrossRef] [Green Version]
- Gaggero, S.; Tani, G.; Villa, D.; Viviani, M.; Ausonio, P.; Travi, P.; Bizzarri, G.; Serra, F. Efficient and multi-objective cavitating propeller optimization: An application to a high-speed craft. Appl. Ocean Res. 2017, 64, 31–57. [Google Scholar] [CrossRef]
- Lu, R.; Yuan, J.; Wei, G.; Zhang, Y.; Lei, X.; Si, Q. Optimization Design of Energy-Saving Mixed Flow Pump Based on MIGA-RBF Algorithm. Machines 2021, 9, 365. [Google Scholar] [CrossRef]
- Vasudev, K.L.; Sharma, R.; Bhattacharyya, S.K. Shape optimisation of an AUV with ducted propeller using GA integ-rated with CFD. Ships Offshore Struct. 2018, 13, 194–207. [Google Scholar] [CrossRef]
- Lighthill, M.J. On sound generated aerodynamically II. Turbulence as a source of sound. Proc. R. Soc. Lond. Ser. A Math. Phys. Sci. 1954, 222, 1–32. [Google Scholar]
- Oweis, G.F.; Ceccio, S.L. Instantaneous and time-averaged flow fields of multiple vortices in the tip region of a ducted propulsor. Exp. Fluid 2005, 38, 615–636. [Google Scholar] [CrossRef] [Green Version]
- Shamsi, R.; Ghassemi, H.; Molyneux, D.; Liu, P. Numerical hydrodynamic evaluation of propeller (with hub taper) and podded drive in azimuthing conditions. Ocean Eng. 2014, 76, 121–135. [Google Scholar] [CrossRef]
- Razaghian, A.H.; Ghassemi, H. Numerical analysis of the hydrodynamic characteristics of the accelerating and decelerating ducted propeller. Zesz. Nauk. Akad. Mor. Szczec. 2016, 47, 42–53. [Google Scholar]
- Chamanara, M.; Ghassemi, H. Hydrodynamic characteristics of the kort-nozzle propeller by different turbulence models. Am. J. Mech. Eng. 2016, 4, 169–172. [Google Scholar]
- Qiu, C.C.; Pan, G.; Huang, Q.G.; Shi, Y. Numerical analysis of unsteady hydrodynamic performance of pump-jet propulsor in oblique flow. Int. J. Nav. Archit. Ocean. Eng. 2019, 12, 102–115. [Google Scholar] [CrossRef]
- Kumar, P.; Mahesh, K. Large eddy simulation of propeller wake instabilities. J. Fluid Mech. 2017, 814, 361–396. [Google Scholar] [CrossRef]
- Zhang, Q.; Jaiman Rajeev, K. Numerical analysis on the wake dynamics of a ducted propeller. Ocean. Eng. 2019, 171, 202–224. [Google Scholar] [CrossRef]
- Ebrahimi, A.; Seif, M.S.; Nouri-Borujerdi, A. Hydro-acoustic and hydrodynamic optimization of a marine propeller using genetic algorithm, boundary element method, and FW-H equations. J. Mar. Sci. Eng. 2019, 7, 321. [Google Scholar] [CrossRef] [Green Version]
- Wang, Y.J.; Göttsche, U.; Abdel-Maksoud, M. Sound field properties of non-cavitating marine propellers. J. Mar. Sci. Eng. 2020, 8, 885. [Google Scholar] [CrossRef]
- Yang, Q.; Wang, Y.; Zhang, Z. Numerical prediction of the fluctuating noise source of waterjet in full scale. J. Mar. Sci. Technol. 2014, 19, 510–527. [Google Scholar] [CrossRef]
- Menter, F.R. Zonal two equation k-ω turbulence model for aerodynamic flows. In Proceedings of the 24th Fluid Dynamics Conference, AIAA, Orlando, FL, USA, 6–9 July 1993; pp. 93–2906. [Google Scholar]
- Si, Q.R.; Wang, B.B.; Yuan, J.P.; Huang, K.L.; Lin, G. Numerical and experimental investigation on radiated noise characteristics of the multistage centrifugal pump. Processes 2019, 7, 793. [Google Scholar] [CrossRef] [Green Version]
- Williams, J.F.; Hawkings, D.L. Sound generation by turbulence and surfaces in arbitrary motion. Philos. Trans. R. Soc. Lond. A 1969, 264, 321–342. [Google Scholar]
- ANSYS Help 17.2; ANSYS: Canonsburg, PA, USA, 2016.


















Publisher’s Note: MDPI stays neutral with regard to jurisdictional claims in published maps and institutional affiliations. |
© 2022 by the authors. Licensee MDPI, Basel, Switzerland. This article is an open access article distributed under the terms and conditions of the Creative Commons Attribution (CC BY) license (https://creativecommons.org/licenses/by/4.0/).
Share and Cite
Chen, M.; Liu, J.; Si, Q.; Liang, Y.; Jin, Z.; Yuan, J. Investigation into the Hydrodynamic Noise Characteristics of Electric Ducted Propeller. J. Mar. Sci. Eng. 2022, 10, 378. https://doi.org/10.3390/jmse10030378
Chen M, Liu J, Si Q, Liang Y, Jin Z, Yuan J. Investigation into the Hydrodynamic Noise Characteristics of Electric Ducted Propeller. Journal of Marine Science and Engineering. 2022; 10(3):378. https://doi.org/10.3390/jmse10030378
Chicago/Turabian StyleChen, Mengfei, Jinfeng Liu, Qiaorui Si, Yun Liang, Zhongkun Jin, and Jianping Yuan. 2022. "Investigation into the Hydrodynamic Noise Characteristics of Electric Ducted Propeller" Journal of Marine Science and Engineering 10, no. 3: 378. https://doi.org/10.3390/jmse10030378
APA StyleChen, M., Liu, J., Si, Q., Liang, Y., Jin, Z., & Yuan, J. (2022). Investigation into the Hydrodynamic Noise Characteristics of Electric Ducted Propeller. Journal of Marine Science and Engineering, 10(3), 378. https://doi.org/10.3390/jmse10030378

