Abstract
The internal flow in a vertical axial-flow pump is a complex unsteady three-dimensional viscous flow. An unstable flow often produces complex flow phenomena such as flow separation, vortices, and secondary reflux, which reduces the operating efficiency of the pump and can endanger safety and stability. In this paper, computational fluid dynamics is used to calculate the flow characteristics in an axial-flow pump using the shear stress transport and curvature correction (SST-CC) model for turbulence modified to account for the rotational curvature. Furthermore, the dependability of the numerical results was confirmed by a test with an actual model of a pump. The transient deviation angle at the impeller inlet of the pump, the stream field attributes in various spanwise parts of the impeller and guide vane, and the velocity distributions at the impeller inlet and outlet were analyzed. The omega method was utilized to recognize the vortex structure inside the guide vane. Moreover, the development of the transient vortex structure inside the guide vane was studied. As the flow rate increased, the scale and turbulent kinetic energy of the vortex structure gradually decreased. The time-domain graph for the impeller inlet is clearly periodic, with three peaks and three troughs in an impeller rotational period. The dominant frequency in the spectrum at each monitoring point was basically the blade frequency, and the secondary dominant frequency was twice the blade frequency.
1. Introduction
Water is an indispensable resource for human beings. It is necessary for manufacturing and agriculture and for life itself, as well as being important for economic development and increasing living standards. Due to the uneven geographical distribution of water resources, 40% of China’s grain is produced near the Haihe River, Huaihe River, and Yellow River Basin. However, the annual water deficit is as high as 43 × 109 m3 [1]. In the southern region, abundant precipitation and frequent flood disasters seriously affect manufacturing and agriculture and pose a threat to the safety of life and property. Therefore, the construction of irrigation, drainage, and cross-basin water transfer projects is an important water conservancy measure for optimizing the allocation of water resources, preventing floods, ensuring high agricultural yields, and promoting sustainable economic development.
Vertical axial-flow pumps come in various forms. They have a simple structure and flexible installation. Of the 21 pumping stations planned for the first phase of the Eastern Route Project of the South-to-North Water Diversion, 12 will use vertical axial-flow pumps. Axial-flow pumps are a mature technology. Axial-flow pumps with a low head and large flow have been widely used in relatively flat areas [2,3]. In an axial-flow pump, energy is transferred to the water flowing through the impeller, and it then flows out along the outlet pipeline. If the flow is severely unstable, complex flow phenomena occur, such as flow separation, vortices, and secondary reflux, which significantly reduce the operating efficiency of the pump. In severe cases, the unit can start to vibrate, which affects the steady action of the pump. Hence, it is particularly important to investigate the unsteady flow characteristics and internal flow in a vertical axial-flow pump.
By using both a physical model and numerical simulations, Yang et al. [4,5] explored the internal flow characteristics and pressure pulsations in an elbow inlet pipeline and siphon outlet pipeline of a vertical axial-flow pump under various working conditions. Kan et al. [6] used computational fluid dynamics (CFD) to study the streamlines, velocity vectors, pressure, turbulent kinetic energy (TKE), and other flow characteristics of an axial-flow pump under a rotating stall condition at low flow rate. The reliability of the numerical simulations of the pressure pulsation was verified experimentally. Moreover, the mechanism of low-frequency pressure pulsations in a pump under stall conditions was identified. Miyabe et al. [7] used dynamic particle image velocimetry and pressure fluctuation measurements to explore the unstable flow in a mixed-flow pump with a vane diffuser. They noticed that suppressing the growth of vortices at the diffuser inlet was key to improving the positive slope of the flow vs. head curve. Mu et al. [8] proposed a new control technology for the groove flow to improve the hydraulic performance of an axial-flow pump when a rotating stall occurs under slow flow conditions. They found that adding an axial groove improved the separation flow on the impeller blade surface and suppressed the generation of vortices in the flow pipeline. Zhang and Chen [9] used CFD to calculate the cavitation flow in a slanted axial-flow pump. They introduced the boundary vortex flow to diagnose the cavitation flow field and concluded that a decrease in cavitation was related to the instability of the cavitation flow on the blade suction surface. Al-Obaidi [10] ran a numerical simulation based on CFD to analyze the static pressure, velocity vector, and pressure pulsations in an axial-flow pump. Zhang et al. [11] discussed the effect of different tip clearances on the pressure fluctuations in low specific speed mixed-flow pumps. They found that within a range of clearances, the impact of tip clearance leakage on the pressure fluctuations was small and that the fluctuations in the whole flow channel increased significantly beyond this range. Feng et al. [12] proposed a new method based on pressure statistics to determine the pressure fluctuations at all grid nodes in the whole pump. They studied the influence of tip clearance on pressure fluctuations in an axial-flow pump using a numerical simulation. Tanasa et al. [13,14] proposed some new approaches to mitigate the unsteadiness effects associated to the swirling flow and pressure peaks in hydraulic turbine, including using a diaphragm into the cone in conical diffusers or injecting a pulse water jet through the axis of the conical diffuser. Wang and colleagues [15,16] investigated with numerical simulations and experiments the relations between pressure fluctuations, vibration, and noise in a multistage centrifugal pump. They concluded that the vibration and noise could be controlled by reducing the impact of the rotor–stator interaction on the impeller and diffuser.
Liu et al. [17] proposed the omega method, which is a new way to identify vortices. Compared with other vortex identification methods, the omega method has a clear physical significance and can accurately represent vortices under different conditions. Zhang et al. [18,19] compared the omega method with the Q-criterion vortex identification method in detail and found that the omega method could recognize various forms of vortex with different intensities. The omega method was also used to identify vortices in a reversible pump turbine. Wang et al. [20] studied the mechanism of turbulent drag reduction by investigating turbulent vortex structures identified by different methods. They found that the omega and omega-liutex methods are better at identifying vortex structures in a viscoelastic turbulent flow.
In a pumping station, the pump has inlet and outlet pipelines, which must have good hydraulic performance. The pump and pipelines are fully integrated. The inlet pipeline restricts and adjusts the flow direction of water entering the pump. It affects the uniformity of the flow velocity and the pressure distribution at the impeller inlet. The flow state determines the suction conditions in an axial-flow pump. The boundary conditions of the outlet pipeline restrict the diffusion of the outflow from the axial-flow pump and can help to recover some of the flow energy. The inlet and outlet pipelines have a significant influence on the operating efficiency of the pump. Moreover, the high-speed rotation of the pump blades affects the distribution of the flow velocity and the pressure pulsations in the pipelines. This article studies the transient unstable flow in an axial-flow pump while considering the pump–pipeline interaction. CFD was applied to simulate the unsteady flow in a vertical axial-flow pump under various flow conditions, such as the transient flow characteristics and the development of vortex structures. Moreover, the distribution and development of vortex structures were clarified. The time and frequency characteristics of pressure pulsations in three typical sections of an axial-flow pump under different flow conditions are analyzed. The reliability of the numerical simulation was verified with a physical model.
2. Simulation Model
The vertical axial-flow pump studied in this paper has a dustpan-shaped inlet pipeline, impeller, guide vane, elbow, and siphon outlet pipeline. UNIGRAPHICS NX was utilized to build three-dimensional solid models of the dustpan-shaped inlet pipeline, elbow, and siphon outlet pipeline, whereas ANSYS TURBOGRID was used for the solid models of the impeller and guide vane. Figure 1 shows the model of the vertical axial-flow pump. The main parameters of the vertical axial-flow pump are listed in Table 1. The main geometric parameters of the dustpan-shaped inlet pipeline and the siphon outlet pipeline are shown in Figure 2 and Figure 3.
Figure 1.
3D model of a vertical axial-flow pump.
Table 1.
Main parameters of the vertical axial-flow pump.
Figure 2.
Dimensional drawing of the dustpan-shaped inlet pipeline (D is the diameter of the impeller).
Figure 3.
Dimensional drawing of the siphon outlet pipeline (D is the diameter of the impeller).
3. Numerical Method
3.1. Control Equation and Turbulence Model
The pump has high rotational intensity and large blade curvature, resulting in a turbulent rotational field with anisotropy [21]. The high vorticity and high curvature streamline in the vortex system can easily cause rotational motion of an approximate rigid body, which makes the distribution of the vortex field stable and reduces the dissipation of the turbulent viscosity at the vortex core [22]. The eddy viscosity model based on the eddy viscosity assumption is not sensitive to rotation and curvature factors, and often overestimates the dissipation of turbulence at the vortex core [23]. In contrast, the SST k-ω model considers the transport of turbulent shear stress and can better predict the flow separation in the inverse pressure gradient region. Based on the baseline k-ω model, the eddy viscosity is restricted. The kinematic viscosity can be expressed as follows:
where . is an invariant of the strain rate. The mixed function is defined as:
where is the distance to the nearest wall and is the kinematic viscosity.
Spalart and Shur [24] proposed a rotation correction function to overcome the main shortcomings of the eddy viscosity model, as the latter does not capture well the strong rotation and large curvature of the flow:
where the constants , , and are 1.0, 2.0, and 1.0, respectively. and are related to the strain rate tensor and the rotation rate tensor . They are defined as follows:
where = 0 in the absence of system rotation. is the Lagrange derivative of the strain tensor, and is the turbulent frequency.
The rotation and curvature correction was first used for the Spalart–Allmaras model, which has one equation, and later Smirnov and Menter [25] used it to correct the shear stress transport (SST) k-ω model, which has two equations, forming the shear stress transport and curvature correction (SST-CC) model, which has corrections for both rotation and curvature. Considering the stability requirement of the numerical calculation and the difference between SST model and Spalart–Allmaras model, the SST-CC model defined the rotation function as follows:
Modifying the generating term Pk of the k and ω transport equations in the SST model to Pk·fr, gives
where the proportional coefficient .
In view of the good application performance of the SST-CC model in predicting the external characteristics and three-dimensional turbulence field of rotating machinery [26,27], this paper adopts for the numerical calculation the SST-CC turbulence model as the eddy viscosity model with corrections for rotation and curvature.
3.2. Calculation Method and Boundary Conditions
ANSYS CFX 14.0 [28] was used to simulate the steady state of different flow conditions in a vertical axial-flow pump. The results of these steady calculation were used as the initial data for the unsteady calculation. The control equation was discretized with the finite volume method based on finite elements. The discrete equation was solved by the fully implicit coupled algebraic multigrid method. In the discretization, the convection term used a high-resolution scheme, whereas the other terms used the central difference scheme. The model of the axial-flow pump had five sub-domains: dustpan-shaped inlet pipeline domain, impeller domain, guide vane domain, elbow domain, and siphon outlet pipeline domain. To prevent the initial velocity distribution from influencing the flow pattern in the inlet and outlet pipelines, an inlet extension section and an outlet extension section were added before the inlet pipeline and the outlet pipeline, respectively. The boundary conditions of the calculation domain were as shown in Table 2. The time step of the unsteady calculation was 3.547 × 10−4 s, which corresponds to the time for the impeller to rotate 3° at its rated speed. The total time for the unsteady calculation was 0.4257 s, which corresponds to the time for the impeller to rotate 10 times at its rated speed. The inlet boundary condition was set as mass flow, and the outlet boundary condition was set as static pressure. The pressure was set as 1 atm. The wall was set to non-slip. The convergence precision was set to 10−5.
Table 2.
Boundary conditions.
3.3. Mesh Independence and Convergence Analysis
The whole calculation domain of the vertical axial-flow pump was divided into five sub-domains for meshing. Structured grids of the dustpan-shaped inlet pipeline domain, elbow domain, and siphon outlet duct domain were generated in ICEM CFD. The grid resolution has a significant impact on the accuracy of a numerical simulation, and the Jacobian determinants were all greater than 0.6. When meshing rotating machinery, ANSYS TURBOGRID software can generate high-resolution structured grids for blades with complex shapes. Therefore, ANSYS TURBOGRID was applied to generate structured grids for the impeller and guide vane domains. Figure 4 shows the structural grid of the whole vertical axial-flow pump as well as the detail around the impeller. The automatic wall function was applied to deal with the turbulent flow in the near wall region of the pump.
Figure 4.
Structural grid of the pump.
The notation of y+ represents a dimensionless number that characterizes the distance between the center of the first layer of the grid near the wall and the wall. The value of y+ affects the accuracy of the numerical calculation. For the dustpan-shaped inlet pipeline, the value of y+ was approximately 231. For the siphon outlet pipeline, the value of y+ was approximately 254. For the impeller, the value of y+ was approximately 27. For the guide vane, the value of y+ was approximately 63. Finally, for the elbow, the value of y+ was approximately 282. These values meet the requirements set out in the literature [29].
To balance the calculation accuracy and efficiency of the numerical simulation, the independence of the grid was verified under the optimal working conditions at the rated speed 1410 rpm and flow rate 316 L/s. The head and efficiency of the pump for seven grids are shown in Table 3. Overall, the head and efficiency of the vertical axial-flow pump increased with an increase in the number of cells, and the maximum efficiency of 72.66% was when the number of cells was 6.14 million.
Table 3.
Comparison of head and efficiency for various numbers of cells.
Examining the spatial convergence of a numerical simulation is a direct method for determining the ordered discretization error in a CFD simulation. A grid convergence analysis is used to ensure that the number of elements in a grid has little effect of the simulation results. Roache [30] established a relation between the grid convergence index (GCI) and the grid convergence error, convergence accuracy, and safety factor. The GCI can be applied to calculate the discrete error and judge the grid convergence. Nandan Kumar and Govardhan [31] and Sedrez et al. [32] used GCI to verify grid independence.
In this paper, the estimation of the discrete error procedures is based on Celik et al. [33]. Three grids with N1 = 6,143,640, N2 = 2,303,172, and N3 = 630,614 were checked in the grid convergence analysis. Table 4 shows the GCI and the efficiency of the vertical axial-flow pump. Manna et al. [34] considered that for steady-state boundary value problems, the numerical errors in CFD are mainly iterative convergence errors and grid convergence errors. In this work, the GCI was less than 2%, which indicates that the results were accurate. As a compromise between the accuracy of the numerical simulation and the computing resources used, in the rest of this paper, the grid had 6.14 million cells.
Table 4.
Estimation of discretization error for pump efficiency.
3.4. Verification of the Physical Model
Tests with the physical model of the vertical axial-flow pump were carried out in the Key Laboratory of Hydrodynamics in Jiangsu Province, China. Figure 5a is a schematic diagram of the test bench for the model of the vertical axial-flow pump, and Figure 5b is a photograph of the physical model. The nominal diameter of the impeller in the physical pump model was 300 mm, the number of impeller blades was three, the number of guide blades was five, and the tip clearance was 0.2 mm. The head and efficiency of the pump under various working conditions were measured under the condition that the blade placement angle was 0° and the rated speed was 1410 rpm.
Figure 5.
Schematic diagram of pump test bench. (a) Diagram of test bench for a vertical axial-flow pump model. (b) Physical model of a vertical axial-flow pump.
The main measurement equipment and the system errors of the equipment are listed in Table 5. The quality and accuracy of the test equipment were verified by a nationally recognized measurement and calibration department. According to the method for calculating the overall uncertainty of a pump test bench in Ref. [35], the system uncertainty of the test bench was ±0.305% and the random uncertainty was ±0.206%. Therefore, the overall uncertainty of the test bench was ±0.368%, which meets the industry standard for water conservancy defined in the Ref. [36].
Table 5.
System errors for test equipment.
Figure 6 compares the results from the numerical simulation with the experimental results for the pump head (H) and efficiency (η) under various flow rates (Q). The trends for the efficiency of the experimental and numerical simulation results are consistent, the efficiency first increased and then decreased with an increase in the flow rate. The efficiency of the pump was a maximum near the optimal flow rate. In the flow vs head curve, there was an obvious local saddle under low flow conditions in the pump. As the flow rate increased, the head declined. The maximum error between the experimental and numerical simulation results for the head was 4.45%, and the maximum error for the efficiency was 2.5%, both of which meet the accuracy requirements for a numerical simulation, indicating the reliability and effectiveness of the numerical simulation.
Figure 6.
Comparison of model test and numerical simulation results.
4. Results and Discussion
4.1. Transient Flow Field Analysis of an Axial-Flow Pump
The deviation angle γ is used to quantify the deviation of the flow velocity in the impeller inlet between the transverse velocity and the axial velocity:
where is the transverse velocity and is the axial velocity.
Figure 7 shows the deviation angle γ in an impeller inlet of radius 100 mm at different flow rates. The curve for the deviation angle along the circumferential direction has a “butterfly” shape. At times (1/6) T, (3/6) T, and (5/6) T, where T is the time for one complete rotation of the impeller or the period, the curves for the deviation angle basically coincide. Moreover, at times (2/6) T, (4/6) T, and T, the deviation angle curves are almost consistent. Because they are affected by the high-speed rotation of the impeller blades, the deviation angle curves form six peaks and six troughs. The number of peaks and troughs is twice the number of impeller blades. Furthermore, the peak values of the deviation angle at different circumferential angles are different. With an increase in the flow rate, the deviation angle for the same circumferential angle decreased, indicating that the greater the flow rate, the smaller the angle of the flow velocity into the impeller and the pump axis direction. The maximum deviation angles at different flow rates were all near the circumferential angle of 0°. For flow rates 0.8 Qbep, 1.0 Qbep, and 1.1 Qbep, the maximum deviation angles were 28.5°, 19.2°, and 18.4°, respectively.
Figure 7.
Deviation angle in the impeller inlet under various flow rates. (a) 0.8 Qbep. (b) 1.0 Qbep. (c) 1.1 Qbep.
Figure 8 shows the velocity vector in the impeller and guide vane domains along different spanwise surfaces (spans 0.1, 0.5, and 0.9) under various flow rates, where the number for the span is the fraction of the distance from the blade root to the blade tip. The velocity vector at span 0.1 is relatively disordered for 0.8 Qbep. There was an obvious streamline distortion near the suction surface of the impeller blades along with a large vortex and reflux near the guide blade. The size of the vortices and reflux range near guide blade were relatively small at span 0.5, and there were some small vortices mainly distributed near the trailing edge of the guide blade. For 1.0 Qbep, the large vortices in span 0.1 of the guide vane were significantly smaller and had separated into multiple small vortices. Compared with the flow rate 0.8 Qbep, the vortex near the trailing edge of the guide blade of span 0.5 had decreased significantly for 1.0 Qbep. For 1.1 Qbep, the velocity vector at different spanwise surfaces were relatively smooth without obvious vortices. Under slow flow conditions, there was an obvious velocity vector distortion near the hub of the guide vane, indicating that there were a large number of vortex structures and backflow near the blade root, resulting in an increase in the hydraulic loss.

Figure 8.
Velocity vector in the impeller and guide vane domains across different spanwise surfaces. (a) 0.8 Qbep. (b) 1.0 Qbep. (c) 1.1 Qbep.
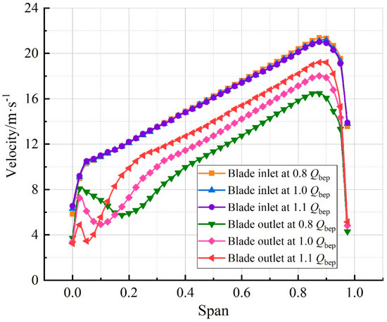
Figure 9 shows the velocity distributions in the impeller blade inlet and outlet under different flow conditions. The velocity in the blade inlet and outlet increased continuously from the hub to the shroud for the different flow rates. The blade inlet velocity grew linearly spanwise from 0.1 to 0.9. The blade outlet velocity decreased suddenly and then increased spanwise from 0 to 0.2. This may be related to the large distortion of the blade near the hub, resulting in a local reflux and a sudden velocity drop. Due to the effect of viscous wall resistance, the blade inlet and outlet velocity close to the hub and shroud decreased sharply. The velocity distribution in the blade inlet from the hub to the shroud was consistent at various flow rates, indicating that the flow rate had little effect on the velocity in the impeller inlet. At various flow rates, the trends for the blade outlet velocity from the hub to shroud were similar, as the larger the flow rate, the larger the velocity.
Figure 9.
Velocity distributions in the impeller blade inlet and outlet.
The impeller transmits energy to the water through its high-speed rotation. After obtaining a huge amount of energy in the impeller domain, the fluid flows into the guide vane domain at high speed, and finally flows out from the siphon outlet pipeline. In this process, any uneven flow will inevitably lead to a large hydraulic loss, accompanied by the generation and movement of vortex structures. The disordered streamlines at different spanwise positions in the guide vane domain reflect the existence of complex vortices. The commonly used methods for identifying vortex structures are the Q criterion [37], ∆ criterion [38], λ2 criterion [39], and regularization helicity method [40,41]. The traditional vortex identification method is very sensitive to a change in the threshold, so it is particularly critical to select the correct threshold. In contrast, the omega criterion [17,19] has obvious advantages, at it is not sensitive to the choice of threshold and can accurately capture complex weak vortices and strong vortices in a complex flow.
The omega criterion was used to analyze the vortex structure in the guide vane domain, and the TKE was used to color the isosurface to reflect the strength of the vortex structure. The core recognition parameter Ω is defined as:
where and are the Frobenius norms of the rotation rate tensor and the strain force tensor, and is a positive small quantity. To understand the flow inside the pump, it is important to consider the TKE, which is quantified by the mean component of the turbulent normal stress.
Figure 10 shows the three-dimensional distributions of vortex structures in the guide vane domain at various moments under three flow conditions. The vortices were identified at the threshold R = 0.68 isosurface and colored by the TKE. Under different flow conditions, the vortex structures were mainly near the hub and outlet of the guide vane. As the flow gathers and diffuses near the guide vane outlet, the TKE increases significantly from guide vane inlet to outlet. The vortex structures were mostly distributed in a long continuous strip, which expanded from the guide vane inlet to the outlet. Under the same flow condition, the sizes of the vortex structures in the guide vane domain at different times within one period were basically unchanged. Only the position of the vortex structures changed periodically with time. In the slow flow condition 0.8 Qbep, there were large and numerous vortex structures in the guide vane domain. The size and number of the vortex structures decreased continuously with an increase in the flow rate. The long strip vortex structure became broken for 1.1 Qbep. Regions in the guide vane domain with a higher TKE were concentrated around the hub. As the flow rate increased, the TKE had a significant downward trend, which corresponds to the smooth flow at a high flow rate. The decrease in TKE indicates that turbulence weakens with the increase in flow rate, and the effect of guide vane recovering part of energy is improved as the flow rate increases.
Figure 10.
Distributions of vortex structures in the guide vane domain under various flow conditions (R = 0.68). (a) 0.8 Qbep. (b) 1.0 Qbep. (c) 1.1 Qbep.
Clouds for the omega distribution in the guide vane outlet at different flow rates are shown in Figure 11. The omega distribution in the guide vane outlet was not uniform. There is a clear boundary between the region with Ω > 0.7 (A0.7Ω) and the region with Ω < 0.3 (A0.3Ω). The areas with Ω > 0.7 (A0.7Ω) and < 0.3 (A0.3Ω) under the slow flow condition 0.8 Qbep were relatively large. Compared with time t = (1/3) T, A0.7Ω had increased and A0.3Ω had decreased significantly at time t = T. As the flow rate increased, A0.7Ω and A0.3Ω at different times continued to decrease significantly and the omega distribution tended to become uniform.
Figure 11.
Distributions of omega in the guide vane outlet for various working conditions. (a) 0.8 Qbep. (b) 1.0 Qbep. (c) 1.1 Qbep.
Figure 12 shows the average areas of A0.7Ω and A0.3Ω as percentages of the area of the outlet of the guide vane vs the flow rate at different times. Overall, A0.3Ω and A0.7Ω accounted for a small proportion of the cross-sectional area, as Ω was mainly in the range 0.3–0.7. The percentage for A0.7Ω first increased slightly and then fell with an increase in the flow rate, whereas A0.3Ω decreased first and then rose with an increase in the flow rate. λΩ is defined as the ratio of A0.7Ω to A0.3Ω. Figure 12 also displays λΩ vs. the flow rate. For 0.8 Qbep, λΩ = 0.34, rising to 0.51 for 1.0 Qbep. For 1.1 Qbep, A0.7Ω had obviously shrunk and A0.3Ω had increased, so that λΩ had the smallest value, indicating that the larger the flow rate, the stronger the rectification by the guide vane and the recovery of the velocity circulation.
Figure 12.
Area percentages vs. flow rate.
4.2. Analysis of Pressure Pulsations in the Axial-Flow Pump
During the operation of a pumping station, due to the high-speed rotation of the impeller, the velocity and pressure in the pipelines of the vertical axial-flow pump change with time, and the pressure fluctuations close to the impeller domain are extremely obvious. The factors that induce pressure pulsations include vortices, secondary reflux, and the rotor–stator interaction. Severe pressure pulsations can result in a huge amount of noise, resonance of the unit, and endanger the safety and stability of the pumping station when operating.
In the unsteady numerical simulation in this study, nine pressure monitoring points were set up at typical places near the impeller domain. Three pressure monitoring points P1, P2, and P3 were at the impeller inlet from the hub to shroud. Monitoring points P4, P5, and P6 were at the impeller outlet, and monitoring points P7, P8, and P9 were at the guide vane outlet. The location of the monitoring points is shown in Figure 13a. In the physical test, a single pressure monitoring point P was placed on the outer wall of the impeller inlet, as shown in Figure 13b. The position of P corresponds to the position of P3.
Figure 13.
Location of pressure monitoring points. (a) Numerical simulation. (b) Physical model.
Time-domain and frequency-domain analyses were used to study the pressure pulsations inside the pump under various working conditions at the monitoring points in three typical sections. The time domain reflects the change in the pressure with time. To eliminate the interference of the static pressure, the instantaneous pressure in the time-domain and frequency-domain analyses was converted into a dimensionless pressure coefficient :
where is the instantaneous pressure, is the mean pressure, and is the circumferential velocity at the impeller outlet.
The time-domain signal of the pressure fluctuations was converted into a frequency-domain signal with a fast Fourier transform. Thus, a spectrum of the pressure fluctuations for each pressure monitoring point was obtained. The transverse coordinate of each spectrum was expressed as the ratio of the frequency and rotation frequency (fn = 23.5 Hz), and the amplitude was converted to the dimensionless pressure coefficient.
Figure 14 compares the time- and frequency-domain spectra for the monitoring point P on the model and the monitoring point P3 in the numerical simulation. The peak pressure coefficient for monitoring point P was slightly larger than that for P3, and there were local subpeaks in some periods. The overall periodicity at monitoring point P agrees well with the numerical results. The low-frequency signals of the monitoring points in the numerical calculation and experiment were mostly concentrated in the range 0 to 6 fn. The amplitude for monitoring point P in the physical test was larger in the range 0 to 6 fn compared with P3. The dominant frequency of the two monitoring points was 3 fn (blade frequency), and the secondary dominant frequency was 6 fn. The dominant frequency of the amplitude at point P was smaller than at P3. The numerical results coincide with the experimental results, showing the reliability of the numerical calculation.
Figure 14.
Comparison of numerical simulation and experimental values of . (a) Time domain. (b) Frequency domain.
Figure 15 shows the time-domain graphs for monitoring points P1, P2, and P3 at the impeller inlet under different flow conditions. The amplitude has an obvious sinusoidal regularity at the impeller inlet. There were three peaks and three troughs in each rotation period, which indicates that the impeller regularly disturbs the inflow at the impeller inlet, which results in pressure fluctuations. The amplitude at the three monitoring points decreased continuously with an increase in the flow rate. For faster flows, the amplitude was low.
Figure 15.
Time-domain graphs of the pressure coefficient at monitoring points P1, P2, and P3. (a) 0.8 Qbep. (b) 1.0 Qbep. (c) 1.1 Qbep.
Time-domain graphs for the monitoring points P4, P5, and P6 at the impeller outlet for various flow rates are displayed in Figure 16. There are three peaks and three troughs in for the three monitoring points in one period at various flow rates. The amplitude of the pressure was unstable due to the rotor–stator interaction at the impeller outlet (guide vane inlet). The amplitude decreased slightly with an increase in the flow rate.
Figure 16.
Time-domain graphs of the pressure coefficient at monitoring points P4, P5, and P6. (a) 0.8 Qbep. (b) 1.0 Qbep. (c) 1.1 Qbep.
Figure 17 shows the time-domain graphs for the monitoring points P7, P8, and P9 at the guide vane outlet at various flow rates. It is obvious that does not have periodic fluctuations, indicating that the rotation of the impeller had little impact on the pressure in the guide vane outlet. The flow in the vertical axial-flow pump became fully developed with an increase in the flow rate, so that decreased for the three monitoring points.
Figure 17.
Time-domain graphs of the pressure coefficient at monitoring points P7, P8, and P9. (a) 0.8 Qbep. (b) 1.0 Qbep. (c) 1.1 Qbep.
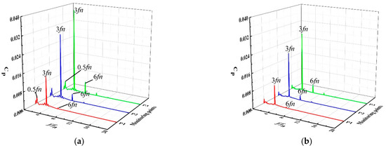
Figure 18 shows the spectra at the monitoring points P1, P2, and P3 at the impeller inlet for various flow rates. The low-frequency components were mostly concentrated between 0 and 2 times the blade frequency (6 fn). The amplitude at each monitoring point decreased with an increase in the flow rate. The dominant frequencies of the three monitoring points were all the blade frequency (3 fn), and the secondary dominant frequencies were twice the blade frequency (6 fn), indicating that the impeller rotation has a significant impact on the pressure in the impeller inlet. For the flow conditions 0.8 Qbep, 1.0 Qbep, and 1.1 Qbep, the amplitudes of the pressure coefficient at monitoring point P3 were 2.8, 3.0, and 3.0 times that at monitoring point P1.

Figure 18.
Fluctuation spectra of the pressure coefficient at monitoring points P1, P2, and P3. (a) 0.8 Qbep. (b) 1.0 Qbep. (c) 1.1 Qbep.
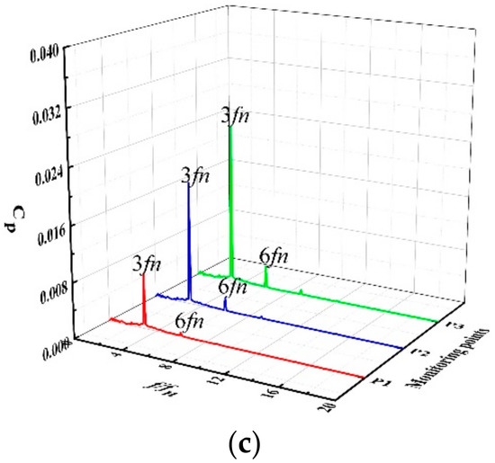
Figure 19 shows the frequency spectra at the monitoring points P4, P5, and P6 for various flow rates. There was not as much regularity in the frequency spectrum at the impeller outlet as at the impeller inlet. The dominant frequencies of the monitoring points at different flow rates were basically the blade frequency and double the blade frequency. The secondary main frequency for 0.8 Qbep was almost 0.5 fn, and there were many low-frequency components. The influence of the impeller rotation on the pressure in the impeller outlet was weaker.
Figure 19.
Fluctuation spectra of the pressure coefficient at monitoring points P4, P5, and P6. (a) 0.8 Qbep. (b) 1.0 Qbep. (c) 1.1 Qbep.
Figure 20 shows the spectra at the monitoring points P7, P8, and P9 at the guide vane outlet for various flow rates. The spectra of at the three monitoring points has no obvious similarity with the spectra at the other six monitoring points. The amplitude was basically in the low-frequency range. Thus, high-speed impeller rotation had only a limited influence on the pressure in the guide vane outlet.
Figure 20.
Fluctuation spectra of the pressure coefficient at monitoring points P7, P8, and P9. (a) 0.8 Qbep. (b) 1.0 Qbep. (c) 1.1 Qbep.
The pressure inside the vertical axial-flow pump had unstable periodic fluctuations. To estimate the overall amplitude of the pressure fluctuations at various monitoring points, the pressure at monitoring points P1–P9 at various flow rates was sorted. Then, after removing the first 1.5% and the last 1.5% of the pressure data points, the peak-to-peak value (PPV) of the pressure with 97% confidence was calculated. Figure 21 presents the PPV of the pressure at P1–P9 for various flow rates. For 0.8 Qbep, the PPV at each monitoring point was high due to the impact of the vortices generated by the slow flow as well as secondary reflux. The PPV decreased with an increase in the flow rate. The PPV at P9 decreased the most. The PPV for 0.8 Qbep was 19.7 times that for 1.1 Qbep. The PPV in the guide vane outlet was small, because the guide vane plays a role in recovering water energy and changing the direction of the flow, so that it has an inhibitory effect on pressure pulsations.
Figure 21.
Peak-to-peak value of pressure pulsations at different monitoring points.
5. Conclusions
There were six peaks and six troughs in the curve for the deviation angle at the impeller inlet, which is twice the number of impeller blades. The deviation angle at the impeller inlet decreased with an increase in the flow rate. When the flow rates were 0.8 Qbep, 1.0 Qbep, or 1.1 Qbep, the maximum deviation angles were 28.5°, 19.2°, and 18.4°, respectively. An analysis of the streamline distribution at different spanwise positions in the impeller guide vane region found that there were vortex structures and backflow near the guide vane hub. The local fluctuations of the velocity distribution of the impeller blade outlet were related to the local backflow.
The vortex structures in the guide vane were mostly distributed in a long strip near the hub and the guide vane outlet. The size and number of vortex structures at different times fell with an increase in the flow rate. The TKE also fell significantly. Omega at the outlet of the guide vane was also significantly reduced with an increase in the flow rate. The guide vane produces stronger rectification and better recovery of the velocity circulation for a larger flow rate.
The time-domain graphs for the monitoring points on both sides of the impeller had three peaks and three troughs in a period. The dominant frequency of the monitoring points on both sides of the impeller domain was equal to the blade frequency (3 fn), and the low-frequency components were mostly concentrated between 0 and 2 times the blade frequency (6 fn). The time-domain graphs and frequency spectra for the monitoring points at the guide vane outlet do not have the same trends as those on either side of the impeller. The PPV of pressure pulsations tended to decrease as the flow rate increased. The PPV at the guide vane outlet was significantly affected by changes in the flow rate.
Author Contributions
Conceptualization, F.Y.; Software, Writing–Original Draft, Z.L.; Formal analysis, F.Y. and Z.L.; Methodology, F.Y. and Z.L.; Funding, F.Y. and J.F.; Investigation, J.F. and Q.J.; Resources, H.J. and J.F.; Supervision, F.Y. and Q.J.; Visualization, Z.L. and F.Y.; Writing–Review & Editing, Y.L. and H.J. All authors have read and agreed to the published version of the manuscript.
Funding
This research was supported by the National Natural Science Foundation of China (Grant No. 51609210), Major Projects of the Natural Science Foundation of the Jiangsu Higher Education Institutions of China (Grant No. 20KJA570001), a Technology Project of the Water Resources Department of Jiangsu Province (Grant No. 2020029), Open Project of Jiangxi Research Center on Hydraulic Structures (2021SKSG06), Priority Academic Program Development of Jiangsu Higher Education Institutions (PAPD), and Postgraduate Research & Practice Innovation Program of Jiangsu Province (Grant No. SJCX21_1583).
Institutional Review Board Statement
Not applicable.
Informed Consent Statement
Not applicable.
Data Availability Statement
All data necessary to carry out the work in this paper are included in the figures, tables or are available in cited references.
Conflicts of Interest
The authors declare no conflict of interest.
Nomenclature
| Qbep | Flow rate at best efficiency point (m3/s) |
| CFD | Computational fluid dynamics |
| T | Rotation period |
| t | Time (s) |
| P | Pressure (Pa) |
| H | Head (m) |
| η | Efficiency (%) |
| D | Diameter of impeller (m) |
| n | Rotational speed (rpm) |
| GCI | Grid convergence index |
| y+ | Dimensionless wall distance |
| ρ | Density of water (kg/m3) |
| Kinematic viscosity (m2/s) | |
| y | Distance to the nearest wall |
| Strain rate tensor (s−1) | |
| Rotation rate tensor (s−1) | |
| Turbulent frequency (Hz) | |
| Transverse velocity (m/s) | |
| Axial velocity (m/s) | |
| Frobenius norm of rotation rate tensor | |
| Frobenius norm of strain force tensor | |
| Turbulent kinetic energy (m2/s2) | |
| R | Threshold |
| A0.7Ω | Area where Ω > 0.7 (%) |
| A0.3Ω | Area where Ω < 0.3 (%) |
| λΩ | Ratio of A0.7Ω to A0.3Ω |
References
- He, C.; He, X.; Fu, L. China’s South-to-North Water Transfer Project: Is it needed? Geogr. Compass 2010, 4, 1312–1323. [Google Scholar] [CrossRef]
- Zhang, D.-S.; Shi, W.-D.; Chen, B.; Guan, X.-F. Unsteady Flow Analysis and Experimental Investigation of Axial-Flow Pump. J. Hydrodyn. 2010, 22, 35–43. [Google Scholar] [CrossRef]
- Xie, W.; Bu, G.; Wei, J. Selecting model of set in low-lift-head pumping station in Jiangsu’s first-stage of South-to-North Water Diversion Project. South-to-North Water Transf. Water Sci. Technol. 2005, 1, 4–6. [Google Scholar]
- Yang, F.; Zhang, Y.; Yuan, Y.; Liu, C.; Li, Z.; Nasr, A. Numerical and Experimental Analysis of Flow and Pulsation in Hump Section of Siphon Outlet Conduit of Axial Flow Pump Device. Appl. Sci. 2021, 11, 4941. [Google Scholar] [CrossRef]
- Yang, F.; Li, Z.; Yuan, Y.; Liu, C.; Zhang, Y.; Jin, Y. Numerical and experimental investigation of internal flow char-acteristics and pressure fluctuation in inlet passage of axial flow pump under deflection flow conditions. Energies 2021, 14, 5245. [Google Scholar] [CrossRef]
- Kan, K.; Zheng, Y.; Chen, Y.; Xie, Z.; Yang, G.; Yang, C. Numerical study on the internal flow characteristics of an axial-flow pump under stall conditions. J. Mech. Sci. Technol. 2018, 32, 4683–4695. [Google Scholar] [CrossRef]
- Miyabe, M.; Maeda, H.; Umeki, I.; Jittani, Y. Unstable head-flow characteristic generation mechanism of a low specific speed mixed flow pump. J. Therm. Sci. 2006, 15, 115–120. [Google Scholar] [CrossRef]
- Mu, T.; Zhang, R.; Xu, H.; Zheng, Y.; Fei, Z.; Li, J. Study on improvement of hydraulic performance and internal flow pattern of the axial flow pump by groove flow control technology. Renew. Energy 2020, 160, 756–769. [Google Scholar] [CrossRef]
- Zhang, R.; Chen, H. Numerical analysis of cavitation within slanted axial-flow pump. J. Hydrodyn. 2013, 25, 663–672. [Google Scholar] [CrossRef]
- Al-Obaidi, A.R. Investigation of the influence of various numbers of impeller blades on internal flow field analysis and the pressure pulsation of an axial pump based on transient flow behavior. Heat Transf. 2020, 49, 2000–2024. [Google Scholar] [CrossRef]
- Zhang, W.; Yu, Z.; Zhu, B. Influence of Tip Clearance on Pressure Fluctuation in Low Specific Speed Mixed-Flow Pump Passage. Energies 2017, 10, 148. [Google Scholar] [CrossRef]
- Feng, J.; Luo, X.; Guo, P.; Wu, G. Influence of tip clearance on pressure fluctuations in an axial flow pump. J. Mech. Sci. Technol. 2016, 30, 1603–1610. [Google Scholar] [CrossRef]
- Tanasa, C.; Susan-Resiga, R.; Muntean, S.; Stuparu, A.; Bosioc, A.; Ciocan, T. Numerical assessment of a novel concept for mitigating the unsteady pressure pulsations associated to decelerating swirling flow with precessing helical vortex. AIP Conf. Proc. 2015, 1702, 080003. [Google Scholar] [CrossRef]
- Tanasa, C.; Stuparu, A.; Bosioc, A.; Susan-Resiga, R. Numerical Analysis of Pulsating Water Jet Method for Mitigating the Vortex Rope. In Proceedings of the 2019 International Conference on ENERGY and ENVIRONMENT (CIEM), Timisoara, Romania, 17–18 October 2019; pp. 423–428. [Google Scholar]
- Wang, C.; He, X.; Shi, W.; Wang, X.; Wang, X.; Qiu, N. Numerical study on pressure fluctuation of a multistage cen-trifugal pump based on whole flow field. AIP Adv. 2019, 9, 035118. [Google Scholar] [CrossRef] [Green Version]
- Lu, Z.; Wang, C.; Qiu, N.; Shi, W.; Jiang, X.; Feng, Q.; Cao, W. Experimental study on the unsteady performance of the multistage centrifugal pump. J. Braz. Soc. Mech. Sci. Eng. 2018, 40, 264. [Google Scholar] [CrossRef]
- Liu, C.; Wang, Y.; Yang, Y.; Duan, Z. New omega vortex identification method. Sci. China Ser. G Phys. Mech. Astron. 2016, 59, 1–9. [Google Scholar] [CrossRef]
- Zhang, Y.-N.; Wang, X.-Y.; Liu, C. Comparisons and analyses of vortex identification between Omega method and Q criterion. J. Hydrodyn. 2019, 31, 224–230. [Google Scholar] [CrossRef]
- Zhang, Y.-N.; Liu, K.-H.; Li, J.-W.; Xian, H.-Z.; Du, X.-Z. Analysis of the vortices in the inner flow of reversible pump turbine with the new omega vortex identification method. J. Hydrodyn. 2018, 30, 463–469. [Google Scholar] [CrossRef]
- Wang, L.; Zheng, Z.-Y.; Cai, W.-H.; Li, W.-Y. Extension Omega and Omega-Liutex methods applied to identify vortex structures in viscoelastic turbulent flow. J. Hydrodyn. 2019, 31, 911–921. [Google Scholar] [CrossRef]
- Wang, F.J. Research progress of computational model for rotating turbulent flow in fluid machinery Trans. Chin. Soc. Agric. Mach. 2016, 47, 1–14. [Google Scholar]
- Han, B.; Xiong, Y.; Ye, J. Effect of turbulence models on numerical simulation of tip vortex flow field behind 3D wing. Acta Aeronaut. Astronaut. Sin. 2010, 31, 2342. [Google Scholar]
- Han, B.; Xiong, Y.; Liu, Z. Numerical study of tip vortex cavitation using CFD method. J. Harbin Eng. Univ. 2011, 32, 702–707. [Google Scholar]
- Spalart, P.; Shur, M. On the sensitization of turbulence models to rotation and curvature. Aerosp. Sci. Technol. 1997, 1, 297–302. [Google Scholar] [CrossRef]
- Smirnov, P.E.; Menter, F.R. Sensitization of the SST Turbulence Model to Rotation and Curvature by Applying the Spalart-Shur Correction Term. J. Turbomach. 2008, 131, 2305–2314. [Google Scholar] [CrossRef]
- Tao, R.; Xiao, R.; Yang, W.; Wang, F. A Comparative Assessment of Spalart-Shur Rotation/Curvature Correction in RANS Simulations in a Centrifugal Pump Impeller. Math. Probl. Eng. 2014, 2014, 342905. [Google Scholar] [CrossRef]
- Guo, Q. Study on the Characteristics of the Blade Tip Leakage Vortex Flow and the Cavitating Flow Field. Ph.D. Thesis, China Agricultural University, Beijing, China, 2017. [Google Scholar]
- Hu, K.; Li, Z.B. Detailed Explanation of ANSYS ICEM CFD Engineering Example; The People’s Posts and Telecom-Munications Press: Beijing, China, 2014. [Google Scholar]
- Wang, F.J. Analysis Method of Flow in Pumps and Pumping Stations; China Water & Power Press: Beijing, China, 2020. [Google Scholar]
- Roache, P.J. Quantification of uncertainty in computational fluid dynamics. Annu. Rev. Fluid Mech. 1997, 29, 123–160. [Google Scholar] [CrossRef] [Green Version]
- Kumar, K.N.; Govardhan, M. On Topology of Flow in a Turbine Cascade. J. Fluids Eng. 2014, 136, 081201. [Google Scholar] [CrossRef]
- Sedrez, T.; Decker, R.K.; da Silva, M.K.; Noriler, D.; Meier, H.F. Experiments and CFD-based erosion modeling for gas-solids flow in cyclones. Powder Technol. 2017, 311, 120–131. [Google Scholar] [CrossRef]
- Celik, I.B.; Ghia, U.; Roache, P.J.; Freitas, C.J. Procedure for estimation and reporting of uncertainty due to dis-cretization in CFD applications. J. Fluid Eng. 2008, 130, 078001. [Google Scholar] [CrossRef] [Green Version]
- Manna, P.; Dharavath, M.; Sinha, P.; Chakraborty, D. Optimization of a flight-worthy scramjet combustor through CFD. Aerosp. Sci. Technol. 2013, 27, 138–146. [Google Scholar] [CrossRef]
- Yang, F.; Liu, C. Numerical and Experimental Investigations of Vortex Flows and Vortex Suppression Schemes in the Intake Passage of Pumping System. Adv. Mech. Eng. 2015, 7, 547086. [Google Scholar] [CrossRef]
- The People’s Republic of China Water Industry Standard. Code of Practice for Model Pump and Its Installation Acceptance Tests; SL140-2006; China Water & Power Press: Beijing, China, 2006. [Google Scholar]
- Hunt, J.C.; Wray, A.A.; Moin, P. Eddies, stream, and convergence zones in turbulent flows. In Proceedings of the 1988 Summer Program; Report CTR-S88; Center for Turbulence Research: Stanford, CA, USA, 1988; pp. 193–208. [Google Scholar]
- Chong, M.S.; Perry, A.E.; Cantwell, B.J. A general classification of three-dimensional flow fields. Phys. Fluids A Fluid Dyn. 1990, 2, 765–777. [Google Scholar] [CrossRef]
- Jeong, J.; Hussain, F. On the identification of a vortex. J. Fluid Mech. 1995, 285, 69–94. [Google Scholar] [CrossRef]
- Zhou, J.; Adrian, R.J.; Balachandar, S.; Kendall, T.M. Mechanisms for generating coherent packets of hairpin vortices in channel flow. J. Fluid Mech. 1999, 387, 353–396. [Google Scholar] [CrossRef]
- Levy, Y.; Degani, D.; Seginer, A. Graphical visualization of vortical flows by means of helicity. AIAA J. 1990, 28, 1347–1352. [Google Scholar] [CrossRef]
Publisher’s Note: MDPI stays neutral with regard to jurisdictional claims in published maps and institutional affiliations. |
© 2022 by the authors. Licensee MDPI, Basel, Switzerland. This article is an open access article distributed under the terms and conditions of the Creative Commons Attribution (CC BY) license (https://creativecommons.org/licenses/by/4.0/).