Investigating the Acceptance of a New Bivalve Product in the Greek Shellfish Market: The Non-Indigenous Pearl Oyster Pinctada imbricata radiata
Abstract
1. Introduction
2. Materials and Methods
2.1. Survey Design
2.2. Data Analysis
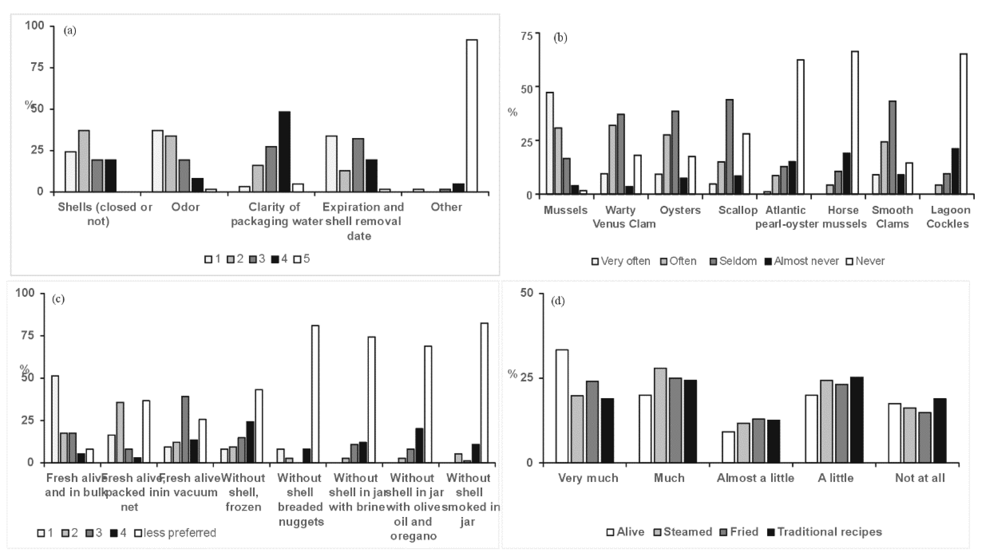
3. Results
3.1. Demographic Characteristics
3.2. Bivalve Consumption
3.3. Quality Criteria
3.4. Modeling Approach
4. Discussion
5. Conclusions
Author Contributions
Funding
Informed Consent Statement
Data Availability Statement
Conflicts of Interest
Appendix A. Questionnaire





References
- Santeramo, F.G.; Carlucci, D.; De Devitiis, B.; Nardone, G.; Viscecchia, R. On consumption patterns in oyster markets: The role of attitudes. Mar. Policy 2017, 79, 54–61. [Google Scholar] [CrossRef][Green Version]
- Schmidt, O.; Padel, S.; Levidow, L. The bio-economy concept and knowledge base in a public goods and farmer perspective. Bio-Based Appl. Econ. 2012, 1, 47–63. [Google Scholar]
- EU Regulation (EU) No 1380/2013; European Parliament and of the Council of 11 December 2013 on the Common Fisheries Policy, amending Council Regulations (EC) No 1954/2003 and (EC) No 1224/2009 and repealing Council Regulations (EC) No 2371/2002 and (EC) No 639/2004 and Council Decision 2004/585/EC; EU: Mestreech, The Netherlands, 2013.
- Liu, Y.; Kow, F.; Grewal, D.; FitzGerald, D. Consumer Purchase Behavior for Oysters: An Empirical Study in Some State Capital Cities of Australia. Int. J. Consum. Studies 2006, 30, 85–94. [Google Scholar] [CrossRef]
- Loose, S.M.; Peschel, A.; Grebitus, C. Quantifying Effects of Convenience and Product Packaging on Consumer Preferences and Market Share of Seafood Products: The Case of Oysters. Food Qual. Prefer. 2013, 28, 492–504. [Google Scholar] [CrossRef]
- Rose, J.M.; Bricker, S.B.; Ferreira, J.G. Comparative Analysis of Modeled Nitrogen Removal by Shellfish Farms. Mar. Pol. Bull. 2015, 91, 185–190. [Google Scholar] [CrossRef] [PubMed]
- Kecinski, M.; Messer, K.D.; Knapp, L.; Shirazi, Y. Consumer Preferences for Oyster Attributes: Field Experiments on Brand, Locality, and Growing Method. Agric. Res. Econ. Rev. 2017, 46, 315–337. [Google Scholar] [CrossRef][Green Version]
- Kecinski, M.; Messer, K.D.; Peo, A.J. Consumer Preferences for the Provision of Water Quality Services by Oysters. APEC working paper (APEC RR16-02) 2016. Available online: https://cdn.canr.udel.edu/wp-content/uploads/2016/03/22141033/RR16-02.pdf (accessed on 17 December 2021).
- Dedah, C.; Keithly, W.R., Jr.; Kazmierczak, R.F., Jr. An Analysis of US Oyster Demand and the Influence of Labeling Requirements. Mar. Res. Econ. 2011, 26, 17–33. [Google Scholar] [CrossRef]
- Bruner, D.M.; Huth, W.L.; McEvoy, D.M.; Morgan, O.A. Consumer Valuation of Food Safety: The Case of Postharvest Processed Oysters. Agric. Res. Econ. Rev. 2014, 43, 300–318. [Google Scholar] [CrossRef]
- Li, T.; Kecinski, M.; Messer, K.D. Heterogeneous Preferences for Oysters: Evidence from Field Experiments. Agric. Res. Econ. Rev. 2017, 46, 296–314. [Google Scholar] [CrossRef][Green Version]
- Batzios, C.; Angelidis, P.; Moutopoulos, D.K.; Anastasiadou, C.; Chrisopolitou, V. Consumer attitude towards shellfish in the Greek market: A pilot study. Medit. Mar. Sci. 2003, 4, 155–174. [Google Scholar] [CrossRef]
- Batzios, C.; Angelidis, P.; Papapanagiotou, E.P.; Moutopoulos, D.K.; Anastasiadou, C.; Chrisopolitou, V. Greek Consumer’s Image of the Cultured Mussel Market. Aqua. Int. 2004, 12, 239–257. [Google Scholar] [CrossRef]
- Debucquet, G.; Cornet, J.; Adam, I.; Cardinal, M. Perception of oyster-based products by French consumers. The effects of processing and role of social representations. Appetite 2012, 59, 844–852. [Google Scholar] [CrossRef][Green Version]
- Guillou, E.; Raymond, A.; Krien, N.; Buschini, F. Oyster eaters: From consumer practices to the representation of risks. Appetite 2019, 140, 105–113. [Google Scholar] [CrossRef]
- van Houcke, J.; Altintzoglou, T.; Linssen, J.; Luten, J. Quality perception, purchase intention, and the impact of information on the evaluation of refined Pacific cupped oysters (Crassostrea gigas) by Dutch consumers. J. Sci. Food Agric. 2017, 98, 4778–4785. [Google Scholar] [CrossRef] [PubMed]
- Theodorou, J.A.; Perdikaris, C.; Spinos, E. On the occurrence of rayed pearl oyster Pinctada imbricata radiata (Leach, 1814) in Western Greece (Ionian Sea) and its biofouling potential. Biharean Biol. 2019, 13, e181204. [Google Scholar]
- Katsanevakis, S.; Poursanidis, D.; Issaris, Y.; Panou, A.; Petza, D.; Vassilopoulou, V.; Chaldaiou, I.; Sini, M. Protected marine shelled molluscs: Thriving in Greek seafood restaurants. Medit. Mar. Sci. 2011, 12, 429–438. [Google Scholar] [CrossRef]
- Moutopoulos, D.K.; Ramfos, A.; Theodorou, J.A.; Katselis, G. Biological aspects, population and fishery dynamics of the non-indigenous pearl oyster Pinctada imbricata radiata (Leach, 1814) in the Eastern Mediterranean. Reg. Studies Mar. Sci. 2021, 45, 101821. [Google Scholar] [CrossRef]
- Kleitou, P.; Crocetta, F.; Giakoumi, S.; Giovos, I.; Hall-Spencer, J.M.; Kalogirou, S.; Kletou, D.; Moutopoulos, D.K.; Rees, S. Fishery reforms for the management of non-indigenous species. J. Environ. Manag. 2021, 280, 111690. [Google Scholar]
- HELSTAT (Hellenic Statistical Authority). 2014. Demographic and Social Characteristics of the Resident Population of Greece according to the 2011 Population—Housing Census Revision of 20/3/2014. Athens. Available online: https://www.statistics.gr/en/statistics/-/publication/SAM03/- (accessed on 17 December 2021).
- Zar, J.H. Biostatistical Analysis, 5th ed.; Prentice-Hall/Pearson: Upper Saddle River, NJ, USA, 2010; 944p. [Google Scholar]
- Cronbach, L.J. Coefficient alpha and the internal structure of tests. Psychometrika 1951, 16, 297–334. [Google Scholar] [CrossRef]
- Kaimakoudi, E.; Polymeros, K.; Schinaraki, M.-G.; Batzios, C. Consumers’ attitudes towards fisheries products. Procedia Technol. 2013, 8, 90–96. [Google Scholar] [CrossRef]
- Kooij Van Der, A.J.; Meulman, J.J. Murals. In Multiple Regression and Optimal Scaling Using Alternative Least Squares; Faulbaun, E., Bandilla, W., Eds.; Sofstat: Stuttgart, Germany, 1997; pp. 99–106. [Google Scholar]
- Batzios, C.; Moutopoulos, D.K.; Arampatzis, G.; Siardos, G. Understanding Consumer’s Attitude on Fish Quality and Marketing Aspects in the Greek Market. Agric. Econ. Rev. 2005, 6, 18–30. [Google Scholar]
- SPSS. SPSS BASE 27.0.1.0. Applications Guide; SPSS Inc.: Chicago, IL, USA, 2020. [Google Scholar]
- Lehmann, D.R.; Cupta, S.; Steckel, J.H. Marketing Research; Addison-Wesley: Reading, MA, USA, 1998; 780p. [Google Scholar]
- Giovos, I.; Barash, A.; Barone, M.; Barría, C.; Borme, D.; Brigaudeau, C.; Charitou, A.; Brito, C.; Currie, J.; Dornhege, M.; et al. Understanding the public attitude towards sharks for improving their conservation. Mar. Policy 2021, 134, 104811. [Google Scholar] [CrossRef]
- Theodorou, J.A.; Akrivos, V.; Katselis, G.; Moutopoulos, D.K. Use of Local Ecological Knowledge on the Natural Recruitment of Bivalve Species of Commercial Exploitation in a Natura Area. J. Mar. Sci. Eng. 2022, 10, 125. [Google Scholar] [CrossRef]
- FAO. Consumption of Fish and Shellfish and the Regional Markets. 2020. Available online: http://www.fao.org/docrep/T5897E/t5897e0.3htm (accessed on 2 February 2022).
- EUMOFA. The EU Fish Market; Publications Office of the European Union: Luxembourg, 2020. [Google Scholar]
- Nuñez, M.A.; Kuebbing, S.; Dimarco, R.D.; Simberloff, D. Invasive Species: To eat or not to eat, that is the question. Conserv. Lett. 2012, 5, 334–341. [Google Scholar] [CrossRef]
- Varble, S.; Secchi, S. Human consumption as an invasive species management strategy. A preliminary assessment of the marketing potential of invasive Asian carp in the US. Appetite 2013, 65, 58–67. [Google Scholar] [CrossRef]
- Cerveira, I.; Baptista, V.; Teod?sio, M.A.; Morais, P. Forthcoming. What’s for dinner? Assessing the value of an edible invasive species and outreach actions to promote its consumption. Biol. Invasions 2021, 1–15. [Google Scholar] [CrossRef]
- Gempshaw, C.M.; Bacon, J.R.; Wessels, C.R.; Manalo, A. Consumer perceptions of aquaculture products. Am. J. Agric. Econ. 1995, 77, 1306–1312. [Google Scholar] [CrossRef]
- Wessells, C.R.; Anderson, J.G. Consumer willingness to pay for seafood safety assurances. J. Consum. Aff. 1995, 29, 85–107. [Google Scholar] [CrossRef]
- Galil, B. Poisonous and Venomous: Marine Alien Species in the Mediterranean Sea and Human Health. In Invasive Species and Human Health; Mazza, G., Tricarico, E., Eds.; CAB International: Wallingford, UK, 2018; pp. 1–15. [Google Scholar]
- Olsen, S.O. Understanding the relationship between age and seafood consumption: The mediating role of attitude, health involvement and convenience. Food Qual. Prefer. 2003, 14, 199–209. [Google Scholar] [CrossRef]
- Ifremer. Qualité et Commercialisation des Huîtres: Enqu?te D’opinion Nationale; Ifremer: Lyon, France, 1997; 80p. [Google Scholar]
- Ruello, N. Report on Coffs Coast Oyster Industry Development Plan; Ruello & Associates Pty Ltd.: Sydney, Australia, 2002; 81p. [Google Scholar]
- Duggan, D.E.; Kochen, M. Small in scale but big in potential: Opportunities and challenges for fisheries certification of Indonesian small-scale tuna fisheries. Mar. Policy 2016, 67, 30–39. [Google Scholar] [CrossRef]
- Grunert, K.G. Food quality and safety: Consumer perception and demand. Eur. Rev. Agric. Econ. 2005, 32, 369–391. [Google Scholar] [CrossRef]
- Theodorou, J.A.; Tzovenis, I.; Katselis, G. Empirical approach to risk management strategies of Mediterranean mussel farmers in Greece. Oceanol. Hydrobiol. Study 2021, 50, 455–472. [Google Scholar] [CrossRef]
- Rodrigues, L.C.; van den Bergh, J.C.J.M.; Massa, F.; Theodorou, J.A.; Ziveri, P.; Gazeau, F. Sensitivity of Mediterranean Bivalve Mollusc Aquaculture to Climate Change and Ocean Acidification: Results from a producers’ survey. J. Shell Res. 2015, 34, 1161–1176. [Google Scholar] [CrossRef]
- Theodorou, J.A.; Leech, B.S.; Perdikaris, C.; Hellio, C.; Katselis, G. Performance of the cultured Mediterranean mussel Mytilus galloprovincialis Lamark, 1819 after summer post-harvest re-immersion. Turk. J. Fish. Aquat. Sci. 2019, 19, 221–229. [Google Scholar] [CrossRef]
- Theodorou, J.A.; Moutopoulos, D.K.; Tzovenis, I. Semi-quantitative risk assessment of Mediterranean mussel (Mytilus galloprovincialis L.) harvesting bans due to harmful algal bloom (HAB) incidents in Greece. Aquac. Econ. 2020, 24, 273–293. [Google Scholar] [CrossRef]
- Theodorou, J.A.; Makri, M.; Douvi, X.; Ramfos, A.; Spinos, E. Seasonal variation in the biochemical composition, condition index, and meat yield of the non-indigenous pearl oyster Pinctada imbricata radiata (Leach, 1814) from the West of the Aegean Sea, Greece. Aquac. Fish. 2021, in press. [Google Scholar] [CrossRef]



| Product | 250 g | 500 g | 750 g | 1000 g | 1500 g |
|---|---|---|---|---|---|
| Without shell, frozen | 15.6 | 46.8 * | 17.4 | 18.3 | 1.8 |
| Without shell, breaded nuggets | 38.1 * | 29.8 * | 20.2 | 10.7 | 1.2 |
| Without shell in jar with brine | 39.5 * | 30.7 * | 17.5 | 11.4 | 0.9 |
| Without shell in jar with olive oil and oregano | 33.6 * | 43.1 * | 14.7 | 7.8 | 0.9 |
| Without shell, smoked in jar | 41.6 * | 34.5 | 14.2 | 8.8 | 0.9 |
| Product | 0.5 kg | 1 kg | 2 kg | 3 kg | |
| Fresh alive in nets | 20.0 | 56.8 * | 17.9 | 5.3 | |
| Product | 4 | 6 | 8 | 12 | |
| Fresh alive in vacuum (pieces) | 16.8 | 29.4 * | 27.7 * | 18.5 | |
| Packaging material | Glass | Plastic | Metal | ||
| 90.4 * | 8.8 | 0.8 | |||
| Packaging container | Transparent | Opaque | Dark-Colored | Vase | |
| 90.4 * | 4.4 | 3.5 | 1.8 |
| Independent Variables | Standardized Coefficients | F Values | Importance | Tolerance | |
|---|---|---|---|---|---|
| Beta | S.E. | ||||
| Education level | 0.238 | 0.103 | 5.296 | 0.177 | 0.982 |
| Marital status | 0.309 | 0.130 | 5.643 | 0.474 | 0.580 |
| F-value: 3.394, df1: 10, df2: 117, R2: 0.265 | |||||
| Independent Variables | Standardized Coefficients | F Values | Importance | Tolerance | |
|---|---|---|---|---|---|
| Beta | S.E. | ||||
| Horse mussels | |||||
| Age | 0.374 | 0.151 | 6.107 | 0.333 | 0.960 |
| Educational level | 0.192 | 0.098 | 3.826 | 0.088 | 0.933 |
| Marital status | 0.171 | 0.084 | 4.122 | 0.130 | 0.965 |
| Place of residence | 0.299 | 0.121 | 6.097 | 0.333 | 0.949 |
| F-value: 3.094, df1: 10, df2: 84, R2: 0.326 | |||||
| Warty Venus Clam | |||||
| Marital status | 0.304 | 0.114 | 7.075 | 0.542 | 0.517 |
| F-value: 3.632, df1: 10, df2: 105, R2: 0.257 | |||||
| Rayed pearl oysters | |||||
| Educational level | 0.354 | 0.130 | 7.419 | 0.653 | 0.978 |
| F-value: 1.797, df1: 10, df2: 82, R2: 0.193 | |||||
| Smooth clam | |||||
| Educational level | 0.282 | 0.090 | 9.786 | 0.302 | 0.955 |
| Marital status | 0.269 | 0.131 | 4.249 | 0.437 | 0.539 |
| F-value: 2.138, df1: 10, df2: 100, R2: 0.193 | |||||
| Flat oysters | |||||
| Educational level | 0.341 | 0.102 | 11.259 | 0.531 | 0.906 |
| Place of residence | 0.294 | 0.115 | 6.557 | 0.399 | 0.963 |
| F-value: 2.083, df1: 10, df2: 98, R2: 0.191 | |||||
| Scallops | |||||
| Educational level | 0.288 | 0.108 | 7.082 | 0.368 | 0.924 |
| Place of residence | 0.294 | 0.141 | 4.352 | 0.487 | 0.961 |
| F-value: 1.996, df1: 10, df2: 96, R2: 0.187 | |||||
| Mussels | |||||
| Educational level | 0.372 | 0.182 | 4.160 | 0.801 | 0.979 |
| F-value: 2.123, df1: 10, df2: 116, R2: 0.167 | |||||
Publisher’s Note: MDPI stays neutral with regard to jurisdictional claims in published maps and institutional affiliations. |
© 2022 by the authors. Licensee MDPI, Basel, Switzerland. This article is an open access article distributed under the terms and conditions of the Creative Commons Attribution (CC BY) license (https://creativecommons.org/licenses/by/4.0/).
Share and Cite
Moutopoulos, D.K.; Minasidis, V.; Ziou, A.; Douligeri, A.S.; Katselis, G.; Theodorou, J.A. Investigating the Acceptance of a New Bivalve Product in the Greek Shellfish Market: The Non-Indigenous Pearl Oyster Pinctada imbricata radiata. J. Mar. Sci. Eng. 2022, 10, 251. https://doi.org/10.3390/jmse10020251
Moutopoulos DK, Minasidis V, Ziou A, Douligeri AS, Katselis G, Theodorou JA. Investigating the Acceptance of a New Bivalve Product in the Greek Shellfish Market: The Non-Indigenous Pearl Oyster Pinctada imbricata radiata. Journal of Marine Science and Engineering. 2022; 10(2):251. https://doi.org/10.3390/jmse10020251
Chicago/Turabian StyleMoutopoulos, Dimitrios K., Vasileios Minasidis, Athina Ziou, Alexandra S. Douligeri, George Katselis, and John A. Theodorou. 2022. "Investigating the Acceptance of a New Bivalve Product in the Greek Shellfish Market: The Non-Indigenous Pearl Oyster Pinctada imbricata radiata" Journal of Marine Science and Engineering 10, no. 2: 251. https://doi.org/10.3390/jmse10020251
APA StyleMoutopoulos, D. K., Minasidis, V., Ziou, A., Douligeri, A. S., Katselis, G., & Theodorou, J. A. (2022). Investigating the Acceptance of a New Bivalve Product in the Greek Shellfish Market: The Non-Indigenous Pearl Oyster Pinctada imbricata radiata. Journal of Marine Science and Engineering, 10(2), 251. https://doi.org/10.3390/jmse10020251

