The Environmental Effects of the Innovative Ejectors Plant Technology for the Eco-Friendly Sediment Management in Harbors
Abstract
:1. Introduction
2. Materials and Methods
2.1. Description of the Study Area, Ejectors Demo Plant, and Sampling Design
2.2. Field Work and Laboratory Analyses
2.3. Data Analysis
3. Results
3.1. Effects on Sediment Features
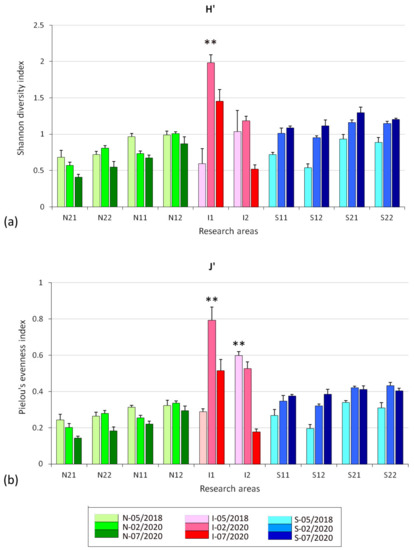
3.2. Effects on Benthic Assemblages
3.3. Effects on Fish Assemblages
4. Discussion
5. Conclusions
Author Contributions
Funding
Institutional Review Board Statement
Informed Consent Statement
Data Availability Statement
Acknowledgments
Conflicts of Interest
References
- Bray, R.N.; Bates, A.D.; Land, J.M. Dredging: A Handbook for Engineers; Butterworth-Heinemann: Oxford, UK, 1996; p. 448. [Google Scholar]
 - Ezzeldin, M.M.; Rageh, O.S.; Saad, M.E. Navigation channel problems due to sedimentation. In Proceedings of the the International Maritime and Logistics Conference “Marlog 8”, Towards Global Competitiveness in Maritime Industry, “Investing in Ports” The Trends, The Future, Alexandria, Egypt, 17–19 March 2019; pp. 1–18. [Google Scholar]
 - Newell, R.C.; Seiderer, L.J.; Hitchcock, D. The impact of dredging works in coastal waters: A review of the sensitivity to disturbance and subsequent recovery of biological resources on the sea bed. Oceanogr. Mar. Biol. Annu. Rev. 1998, 36, 127–178. [Google Scholar]
 - Cutroneo, L.; Castellano, M.; Ferranti, M.P.; Povero, P.; Tucci, S.; Capello, M. Use of optical and acoustic instruments to study the turbid plumes generated by three different types of dredges during dredging activities inside and outside of a port. J. Soils Sediments 2013, 13, 1645–1654. [Google Scholar] [CrossRef]
 - Torres, R.J.; Abessa, D.M.S.; Santos, F.C.; Maranho, L.A.; Davanso, M.B.; do Nascimento, M.R.L.; Mozeto, A.A. Effects of dredging operations on sediment quality: Contaminant mobilization in dredged sediments from the Port of Santos, SP, Brazil. J. Soils Sediments 2009, 9, 420–432. [Google Scholar] [CrossRef]
 - Mali, M.; Dell’Anna, M.M.; Mastrorilli, P.; Damiani, L.; Piccinni, A.F. Assessment and source identification of pollution risk for touristic ports: Heavy metals and polycyclic aromatic hydrocarbons in sediments of 4 marinas of the Apulia region (Italy). Mar. Pollut. Bull. 2017, 114, 768–777. [Google Scholar] [CrossRef] [PubMed]
 - Bianchini, A.; Cento, F.; Guzzini, A.; Pellegrini, M.; Saccani, C. Sediment management in coastal infrastructures: Techno-economic and environmental impact assessment of alternative technologies to dredging. J. Environ. Manag. 2019, 248, 109332. [Google Scholar] [CrossRef] [PubMed]
 - Pellegrini, M.; Abbiati, M.; Bianchini, A.; Colangelo, M.A.; Guzzini, A.; Mikac, B.; Ponti, M.; Preda, G.; Saccani, C.; Willemsen, A. Sustainable sediment management in coastal infrastructures through an innovative technology: Preliminary results of the MARINAPLAN PLUS LIFE project. J. Soils Sediments 2020, 20, 2685–2696. [Google Scholar] [CrossRef]
 - Underwood, A.J. Beyond BACI: The detection of environmental impacts on populations in the real, but variable, world. J. Exp. Mar. Biol. Ecol. 1992, 161, 145–178. [Google Scholar] [CrossRef]
 - Aguzzi, M.B.F.; De Nigris, N.; Morelli, M.; Paccagnella, T.; Romagnoli, C.; Unguendoli, S. Stato del Litorale Emiliano-Romagnolo al 2012-Erosione e Interventi di Difesa; Arpae Emilia-Romagna: Bologna, Italy, 2016. [Google Scholar]
 - Poulain, P.M.K.V.H.; Cushman-Roisin, B. Northern Adriatic Sea. In Physical Oceanography of the Adriatic Sea; Cushman-Roisin, B., Gačić, M., Poulain, P.M., Artegiani, A., Eds.; Springer: Dodrecht, The Netherlands, 2001. [Google Scholar]
 - Lionello, P.; Cavaleri, L.; Nissen, K.M.; Pino, C.; Raicich, F.; Ulbrich, U. Severe marine storms in the Northern Adriatic: Characteristics and trends. Phys. Chem. Earth Parts A/B/C 2012, 40–41, 93–105. [Google Scholar] [CrossRef]
 - Pellegrini, M.; Aghakhani, A.; Gaeta, M.G.; Archetti, R.; Guzzini, A.; Saccani, C. Effectiveness Assessment of an Innovative Ejector Plant for Port Sediment Management. J. Mar. Sci. Eng. 2021, 9, 197. [Google Scholar] [CrossRef]
 - ARPAE. Available online: https://www.arpae.it/it/temi-ambientali/mare/dati-e-indicatori/dati-boa-ondametrica/dati-boa-ondametrica-di-cesenatico-fc (accessed on 15 July 2021).
 - Gosline, J.E.; O’Brien, M.P. The Water Jet Pump; University of California Press: Berkeley, CA, USA, 1934; p. 24. [Google Scholar]
 - Ponti, M.; Pasteris, A.; Guerra, R.; Abbiati, M. Impacts of maintenance channel dredging in a northern Adriatic coastal lagoon. II: Effects on macrobenthic assemblages in channels and ponds. Estuar. Coast. Shelf Sci. 2009, 85, 143–150. [Google Scholar] [CrossRef]
 - Guerra, R.; Pasteris, A.; Ponti, M. Impacts of maintenance channel dredging in a northern Adriatic coastal lagoon. I: Effects on sediment properties, contamination and toxicity. Estuar. Coast. Shelf Sci. 2009, 85, 134–142. [Google Scholar] [CrossRef]
 - Anderson, M.J. A new method for non-parametric multivariate analysis of variance. Austral Ecol. 2001, 26, 32–46. [Google Scholar] [CrossRef]
 - McArdle, B.H.; Anderson, M.J. Fitting Multivariate Models to Community Data: A Comment on Distance-Based Redundancy Analysis. Ecology 2001, 82, 290–297. [Google Scholar] [CrossRef]
 - Underwood, A.J. Experiments in Ecology: Their Logical Design and Interpretation Using Analysis of Variance; Cambridge University Press: Cambridge, UK, 1996; p. 524. [Google Scholar]
 - Clarke, K.R.; Gorley, R.N. Primer V6: User Manual—Tutorial; PRIMER-E Ltd.: Plymouth, UK, 2006; p. 190. [Google Scholar]
 - Anderson, M.J.; Gorley, R.N.; Clarke, K.R. PERMANOVA+ for PRIMER: Guide to Software and Statistical Methods; PRIMER-E Ltd.: Plymouth, UK, 2008; p. 214. [Google Scholar]
 - Lomakin, P.D. Influence of dredging and dumping zones on the ecological situation in the Kerch Strait. Phys. Oceanogr. 2019, 26, 147–156. [Google Scholar] [CrossRef]
 - Lu, X.; Zhou, F.; Chen, F.; Lao, Q.; Zhu, Q.; Meng, Y.; Chen, C. Spatial and Seasonal Variations of Sedimentary Organic Matter in a Subtropical Bay: Implication for Human Interventions. Int. J. Environ. Res. Public Health 2020, 17, 1362. [Google Scholar] [CrossRef] [PubMed] [Green Version]
 - Ambrogi, R.; Bedulli, D.; Zurijni, G. Spatial and Temporal Patterns in Structure of Macrobenthic Assemblages. A Three-Year Study in the Northern Adriatic Sea in Front of the Po River Delta. Mar. Ecol. 1990, 11, 25–41. [Google Scholar] [CrossRef]
 - Bertasi, F.; Colangelo, M.A.; Abbiati, M.; Ceccherelli, V.U. Effects of an artificial protection structure on the sandy shore macrofaunal community: The special case of Lido di Dante (Northern Adriatic Sea). Hydrobiologia 2007, 586, 277–290. [Google Scholar] [CrossRef]
 - Simboura, N.; Zenetos, A. Benthic indicators to use in Ecological Quality classification of Mediterranean soft bottom marine ecosystems, including a new Biotic Index. Mediterr. Mar. Sci. 2002, 3, 77–111. [Google Scholar] [CrossRef] [Green Version]
 - Huston, M. A General Hypothesis of Species Diversity. Am. Nat. 1979, 113, 81–101. [Google Scholar] [CrossRef]
 - López-Jamar, E.; González, G.; Mejuto, J. Temporal changes of community structure and biomass in two subtidal macroinfaunal assemblages in La Coruña bay, NW Spain. Hydrobiologia 1986, 142, 137–150. [Google Scholar] [CrossRef]
 - Whitfield, A.K.; Panfili, J.; Durand, J.D. A global review of the cosmopolitan flathead mullet Mugil cephalus Linnaeus 1758 (Teleostei: Mugilidae), with emphasis on the biology, genetics, ecology and fisheries aspects of this apparent species complex. Rev. Fish Biol. Fish. 2012, 22, 641–681. [Google Scholar] [CrossRef]
 - Islam, R.; Hossain, M.B.; Das, N.G.; Rafi, R.U.N. Food and feeding behaviour of grey mullet, Mugil cephalus (L.), of Bangladesh coastal water. Bangladesh J. Progress. Sci. Technol. 2009, 7, 56–61. [Google Scholar]
 - Mondal, A.; Chakravortty, D. Feeding Ecology and Prey Preference of Grey Mullet, Mugil cephalus (Linnaeus, 1758) in Extensive Brackish Water Farming System. J. Mar. Sci. Res. Dev. 2015, 6, 1000178. [Google Scholar] [CrossRef] [Green Version]
 - Costa, C.; Cataudella, S. Relationship between shape and trophic ecology of selected species of Sparids of the Caprolace coastal lagoon (Central Tyrrhenian sea). Environ. Biol. Fishes 2006, 78, 115–123. [Google Scholar] [CrossRef]
 - Labropoulou, M.; Eleftheriou, A. The foraging ecology of two pairs of congeneric demersal fish species: Importance of morphological characteristics in prey selection. J. Fish Biol. 1997, 50, 324–340. [Google Scholar] [CrossRef]
 












Publisher’s Note: MDPI stays neutral with regard to jurisdictional claims in published maps and institutional affiliations.  | 
© 2022 by the authors. Licensee MDPI, Basel, Switzerland. This article is an open access article distributed under the terms and conditions of the Creative Commons Attribution (CC BY) license (https://creativecommons.org/licenses/by/4.0/).
Share and Cite
Mikac, B.; Abbiati, M.; Adda, M.; Colangelo, M.A.; Desiderato, A.; Pellegrini, M.; Saccani, C.; Turicchia, E.; Ponti, M. The Environmental Effects of the Innovative Ejectors Plant Technology for the Eco-Friendly Sediment Management in Harbors. J. Mar. Sci. Eng. 2022, 10, 182. https://doi.org/10.3390/jmse10020182
Mikac B, Abbiati M, Adda M, Colangelo MA, Desiderato A, Pellegrini M, Saccani C, Turicchia E, Ponti M. The Environmental Effects of the Innovative Ejectors Plant Technology for the Eco-Friendly Sediment Management in Harbors. Journal of Marine Science and Engineering. 2022; 10(2):182. https://doi.org/10.3390/jmse10020182
Chicago/Turabian StyleMikac, Barbara, Marco Abbiati, Michele Adda, Marina Antonia Colangelo, Andrea Desiderato, Marco Pellegrini, Cesare Saccani, Eva Turicchia, and Massimo Ponti. 2022. "The Environmental Effects of the Innovative Ejectors Plant Technology for the Eco-Friendly Sediment Management in Harbors" Journal of Marine Science and Engineering 10, no. 2: 182. https://doi.org/10.3390/jmse10020182
APA StyleMikac, B., Abbiati, M., Adda, M., Colangelo, M. A., Desiderato, A., Pellegrini, M., Saccani, C., Turicchia, E., & Ponti, M. (2022). The Environmental Effects of the Innovative Ejectors Plant Technology for the Eco-Friendly Sediment Management in Harbors. Journal of Marine Science and Engineering, 10(2), 182. https://doi.org/10.3390/jmse10020182
        
                                                
