Information Capacity of Turbulent and Absorptive Underwater Wireless Link with Perfect Laguerre–Gaussian Beam and Pointing Errors
Abstract
1. Introduction
2. Information Capacity of the Link with Perfect Laguerre–Gaussian Beam Carrier and Pointing Errors in Turbulent Seawater
2.1. Perfect Laguerre–Gauss Beam in Absorbing Turbulent Seawater
2.2. Information Capacity of the OAM Channel without Pointing Errors
2.3. Information Capacity and OAM Signal Detection Probability for Link with Pointing Errors
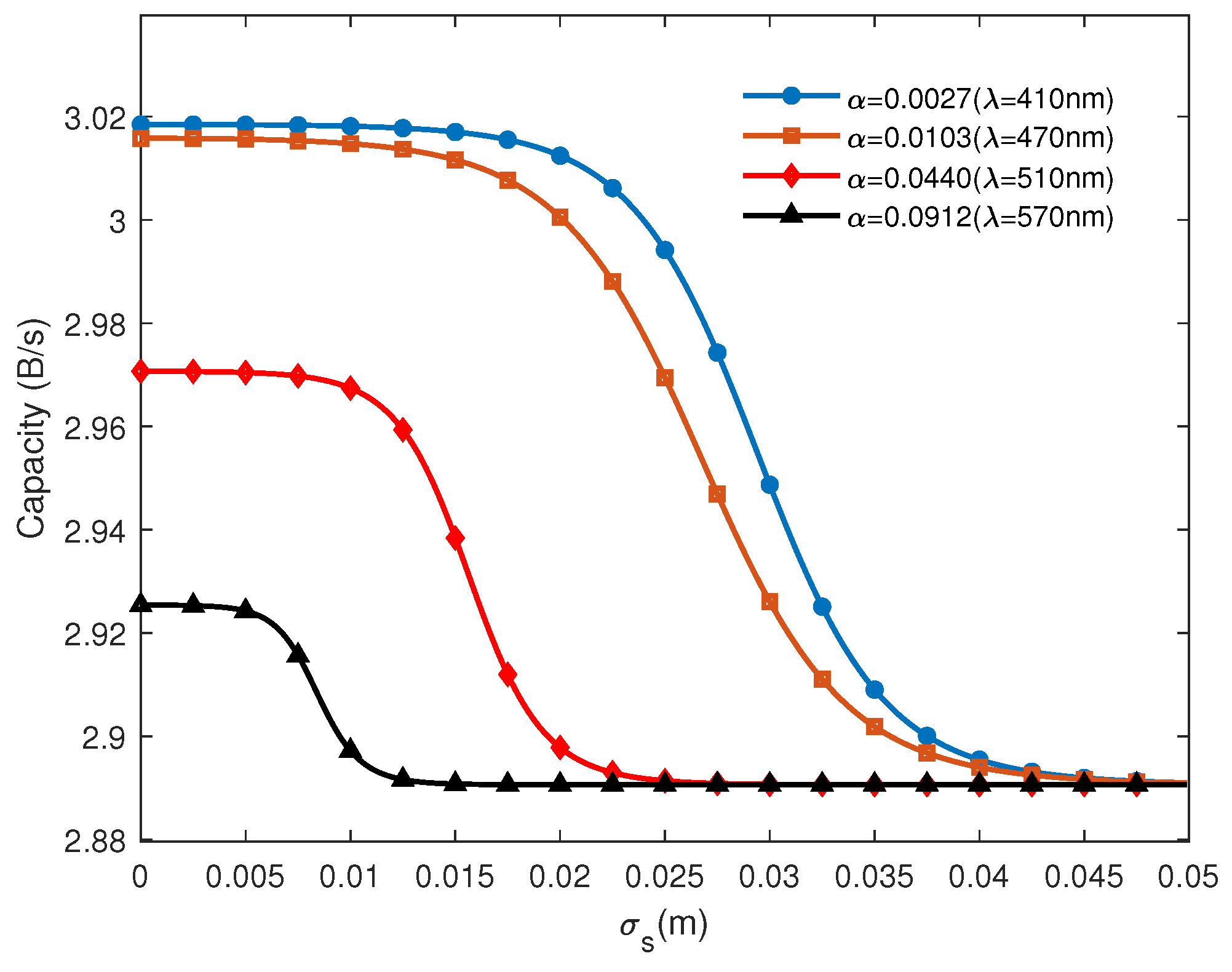
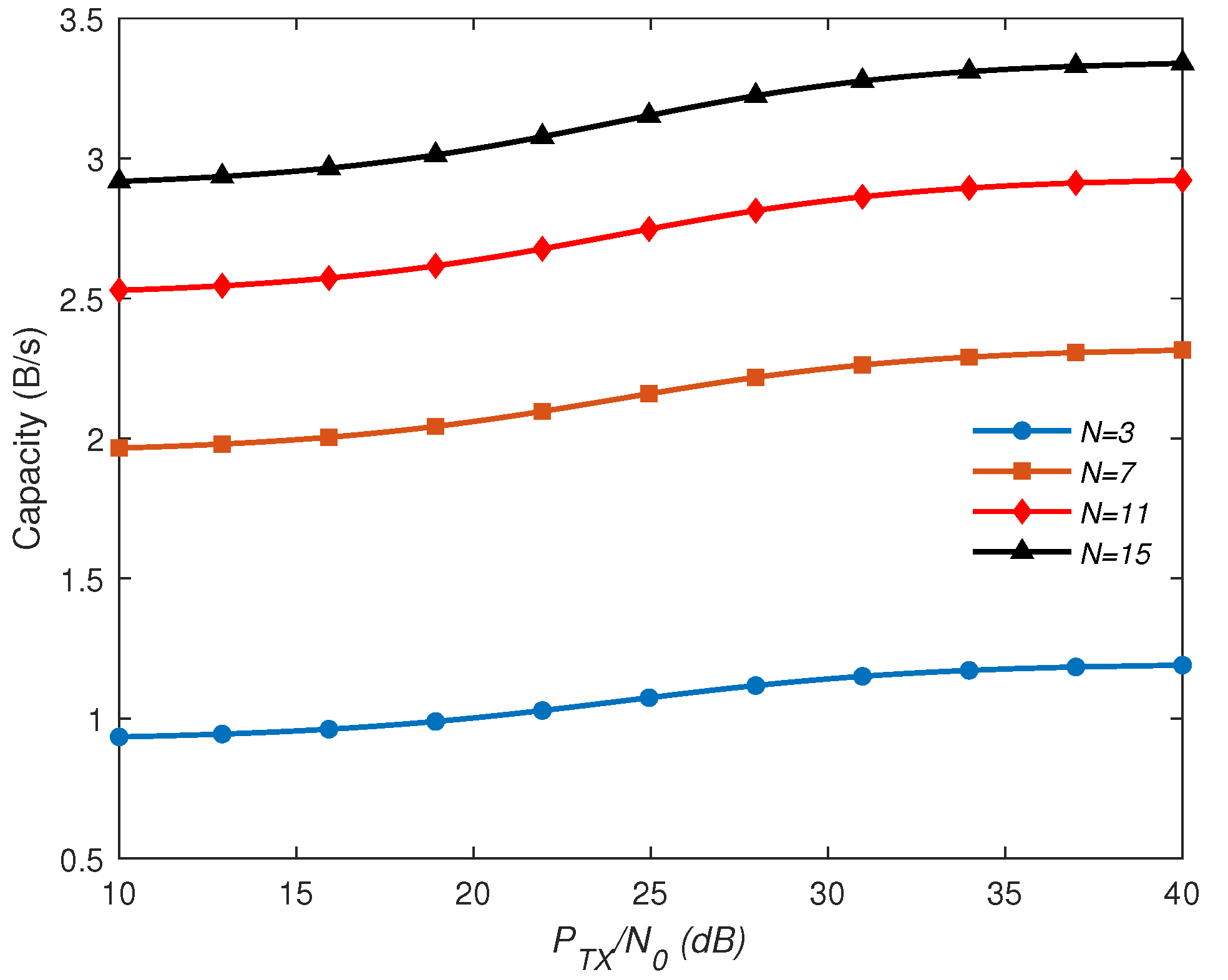
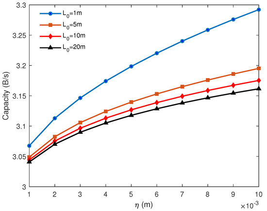
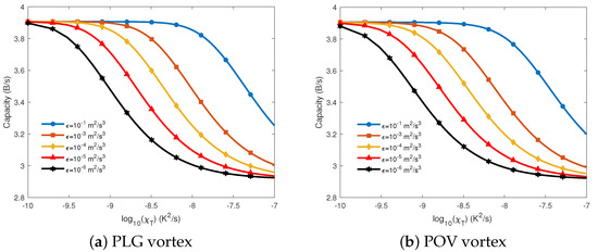
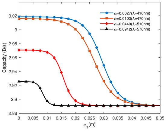
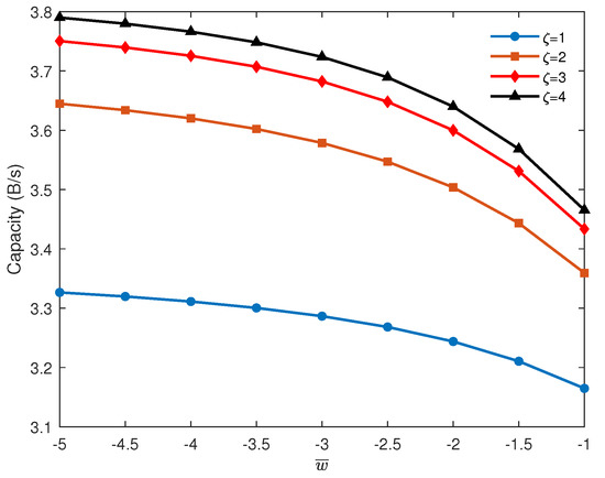
3. Numeric Analysis
4. Conclusions
Author Contributions
Funding
Data Availability Statement
Conflicts of Interest
References
- Wang, Z.; Zhang, P.; Qiao, C.; Lu, L.; Fan, C.; Ji, X. Scintillation index of Gaussian waves in weak turbulent ocean. Opt. Commun. 2016, 380, 79–86. [Google Scholar] [CrossRef]
 - Chen, Y.; Zhang, L.; Ling, Y. New approach for designing an underwater free-space optical communication system. Front. Mar. Sci. 2022, 9, 971559. [Google Scholar] [CrossRef]
 - Ijeh, I.C.; Khalighi, M.A.; Elamassie, M.; Hranilovic, S.; Uysal, M. Outage probability analysis of a vertical underwater wireless optical link subject to oceanic turbulence and pointing errors. J. Opt. Commun. Netw. 2022, 14, 439–453. [Google Scholar] [CrossRef]
 - Li, Y.; Zhang, Y.; Zhu, Y. Capacity of underwater wireless optical links with pointing errors. Opt. Commun. 2019, 446, 16–22. [Google Scholar] [CrossRef]
 - Yang, H.; Zhang, Y.; Zhao, G.; Yu, L.; Hu, L. Wander and spread of a perfect Laguerre–Gauss beam under turbulent absorbent seawater. Appl. Opt. 2022, 61, 4549–4557. [Google Scholar] [CrossRef]
 - Weng, Y.; Matsuda, T.; Sekimori, Y.; Pajarinen, J.; Peters, J.; Maki, T. Pointing error control of underwater wireless optical communication on mobile platform. IEEE Photon. Technol. Lett. 2022, 34, 699–702. [Google Scholar] [CrossRef]
 - Muhsin, C.G. Average capacity analysis of underwater optical wireless communication links over anisotropic strong oceanic turbulence channels. J. Opt. Soc. Am. A 2019, 36, 2040–2047. [Google Scholar]
 - Zou, Z.; Wang, P.; Chen, C.; Li, A.; Tian, H.; Guo, L. Average capacity of a UWOC system with partially coherent Gaussian beams propagating in weak oceanic turbulence. J. Opt. Soc. Am. A 2019, 36, 1463–1474. [Google Scholar] [CrossRef]
 - Cui, Z.; Yue, P.; Xiang, P.; Li, J. Effect of convergent beam array on reducing scintillation in underwater wireless optical communications with pointing errors. Opt. Express 2021, 29, 9846–9860. [Google Scholar] [CrossRef]
 - Cheng, M.; Guo, L.; Li, J.; Zhang, Y. Channel capacity of the OAM based free-space optical communication links with Bessel–Gauss beams in turbulent ocean. IEEE Photonics J. 2016, 8, 7901411. [Google Scholar] [CrossRef]
 - Yang, D.; Zhang, Y.; Shi, H. Capacity of turbulent ocean links with carrier Bessel–Gaussian localized vortex waves. Appl. Opt. 2019, 58, 9484–9490. [Google Scholar] [CrossRef]
 - Wang, S.; Yang, D.; Zhu, Y.; Zhang, Y. Capacity analysis of oceanic channels with localized Lommel–Gaussian vortex beams. Appl. Opt. 2021, 60, 4135–4142. [Google Scholar] [CrossRef]
 - Deng, S.; Yang, D.; Zhang, Y. Capacity of communication link with carrier of vortex localized wave in absorptive turbulent seawater. Waves Random Complex Media 2020, 32, 2124–2137. [Google Scholar] [CrossRef]
 - Yang, H.; Yan, Q.; Zhang, Y.; Hu, L. Received probability of perfect optical vortex in absorbent and weak turbulent seawater Links. Appl. Opt. 2021, 60, 10772–10779. [Google Scholar] [CrossRef]
 - Ostrovsky, A.S.; Ricrenstorff-Parrao, C.; Arrizón, V. Generation of the ‘perfect’ optical vortex using a liquid-crystal spatial light modulator. Opt. Lett. 2013, 38, 534–536. [Google Scholar] [CrossRef]
 - Jiang, X.; Tian, Y.; Sun, M.; Li, Z.; Zhang, D.; Cao, K.; Shi, Q.; Zhu, L. Perfect Optical Vortex to Produce Controllable Spot Array. Front. Phys. 2022, 10, 879689. [Google Scholar] [CrossRef]
 - Yan, Q.; Zhu, Y.; Zhang, Y. Capacity of the weakly absorbent turbulent ocean channel with the coaxial double-position power Gaussian vortex. J. Mar. Sci. Eng. 2021, 9, 1117. [Google Scholar] [CrossRef]
 - Fu, Y.; Duan, Q.; Huang, C.; Du, Y.; Zhou, L. Average BER performance of rectangular QAM-UWOC over strong oceanic turbulence channels with pointing error. Opt. Commun. 2020, 476, 126362. [Google Scholar] [CrossRef]
 - Mendoza-Hernandez, J.; Hidalgo-Aguirre, M.; Ladino, A.I.; Lopez-Mago, D. Perfect Laguerre–Gauss beams. Opt. Lett. 2020, 45, 5197–5200. [Google Scholar] [CrossRef]
 - Yang, H.; Yan, Q.; Wang, P.; Hu, L.; Zhang, Y. Bit-error rate and average capacity of an absorbent and turbulent underwater wireless communication link with perfect Laguerre-Gauss beam. Opt. Express 2022, 30, 9050–9064. [Google Scholar] [CrossRef]
 - Yan, Q.; Zhang, Y.; Yu, L.; Zhu, Y. Absorptive turbulent seawater and parameter optimization of perfect optical vortex for optical communication. J. Mar. Sci. Eng. 2022, 10, 1256. [Google Scholar] [CrossRef]
 - Li, C.; Huang, X.; Lu, H.; Huang, Y.; Huang, Q.; Tu, S. A WDM PAM4 FSO–UWOC integrated system with a channel capacity of 100 Gb/s. J. Light. Technol. 2020, 38, 1766–1776. [Google Scholar] [CrossRef]
 - Xu, G.; Song, Z.; Zhang, Q. Outage probability and channel capacity of an optical spherical wave propagating through anisotropic weak-to-strong oceanic turbulence with Málaga distribution. J. Opt. Soc. Am. A 2020, 37, 1622–1629. [Google Scholar] [CrossRef] [PubMed]
 - Xu, G.; Lai, J. Average capacity analysis of the underwater optical plane wave over anisotropic moderate-to-strong oceanic turbulence channels with the Málaga fading model. Opt. Express 2020, 28, 24056–24068. [Google Scholar] [CrossRef] [PubMed]
 - Lin, Z.; Xu, G.; Zhang, Q.; Somg, Z. Average symbol error probability and channel capacity of the underwater wireless optical communication systems over oceanic turbulence with pointing error impairments. Opt. Express 2022, 30, 15327–15343. [Google Scholar] [CrossRef] [PubMed]
 - Zhang, Y.; Zheng, Y.; Yan, Q.; Yu, L. Average capacity of an absorptive turbulent ocean channel with diffraction-and attenuation-resistant beam carriers. Opt. Commun. 2021, 499, 127291. [Google Scholar] [CrossRef]
 - Matta, G.; Pandey, P.; Agrawal, M.; Bahl, R. Capacity analysis of underwater visible light communication systems over a lossy channel in the presence of noises. J. Opt. Soc. Am. A 2022, 39, 948–958. [Google Scholar] [CrossRef]
 - Chauhan, D.S.; Kaur, G.; Kumar, D. Design of novel MIMO UOWC link using gamma–gamma fading channel for IoUTs. Opt. Quantum Electron. 2022, 54, 512. [Google Scholar] [CrossRef]
 - Wang, W.; Wang, P.; Pang, W.; Pan, Y.; Nie, Y.; Guo, L. Evolution properties and spatial-mode UWOC performances of the perfect vortex beam subject to oceanic turbulence. IEEE Trans. Commun. 2021, 69, 7647–7658. [Google Scholar] [CrossRef]
 - Li, Y.; Cui, Z.; Han, Y.; Hui, Y. Channel capacity of orbital-angular-momentumbased wireless communication systems with partially coherent elegant Laguerre–Gaussian beams in oceanic turbulence. J. Opt. Soc. Am. A 2019, 36, 471–477. [Google Scholar] [CrossRef]
 - Andrews, L.C.; Phillips, R.L. Laser Beam Propagation through Random Media, 2nd ed.; SPIE: Bellingham, WA, USA, 2005. [Google Scholar]
 - Jeffrey, A.; Zwillinger, D. Table of Integrals, Series, and Products; Academic Press: Cambridge, MA, USA, 2007. [Google Scholar]
 - Farid, A.A.; Hranilovic, S. Outage capacity optimization for free-space optical links with pointing errors. J. Light. Technol. 2007, 25, 1702–1710. [Google Scholar] [CrossRef]
 - Djordjevic, I.B.; Arabaci, M. LDPC-coded orbital angular momentum (OAM) modulation for free-space optical communication. Opt. Express 2010, 18, 24722–24728. [Google Scholar] [CrossRef]
 - Fewell, M.P.; Trojan, A.V. Absorption of light by water in the region of high transparency: Recommended values for photon-transport calculations. Appl. Opt. 2019, 58, 2408–2421. [Google Scholar] [CrossRef]
 










| Symbol | Parameters | Value | 
|---|---|---|
| Prandtl number of the temperature | 0.72 | |
| Prandtl number of the salinity | 700 | |
| Q | Nondimensional constant | 2.5 | 
| Rate of dissipation of kinetic energy per unit mass of fluid | ||
| Dissipation rate of the mean-squared temperature | ||
| Ratio of temperature and salinity | −4.5 | |
| Wave number | ||
| Inner scale | 0.001 m | |
| Outer scale | 10 m | |
| OAM topological charge | 1 | |
| p | Radial order | 0 | 
| D | Receiver diameter | 0.05 m | 
| Half-beam width | 0.012 m | |
| Wavelength | 410 nm | |
| z | Propagation distance | 100 m | 
| M | Modulation order | 256 | 
| Pointing errors | 0.03 m | |
| Anisotropy index | 2 | 
| Parameters | PLG Vortex Information Capacity (B/s) | POV Vortex Information Capacity (B/s) | 
|---|---|---|
| 3.907 | ||
| 3.854 | ||
| 3.253 | ||
| 3.899 | ||
| 3.479 | ||
| 3.006 | ||
| 3.386 | ||
| 3.192 | 
Publisher’s Note: MDPI stays neutral with regard to jurisdictional claims in published maps and institutional affiliations.  | 
© 2022 by the authors. Licensee MDPI, Basel, Switzerland. This article is an open access article distributed under the terms and conditions of the Creative Commons Attribution (CC BY) license (https://creativecommons.org/licenses/by/4.0/).
Share and Cite
Zhang, Y.; Yan, Q.; Yu, L.; Zhu, Y. Information Capacity of Turbulent and Absorptive Underwater Wireless Link with Perfect Laguerre–Gaussian Beam and Pointing Errors. J. Mar. Sci. Eng. 2022, 10, 1957. https://doi.org/10.3390/jmse10121957
Zhang Y, Yan Q, Yu L, Zhu Y. Information Capacity of Turbulent and Absorptive Underwater Wireless Link with Perfect Laguerre–Gaussian Beam and Pointing Errors. Journal of Marine Science and Engineering. 2022; 10(12):1957. https://doi.org/10.3390/jmse10121957
Chicago/Turabian StyleZhang, Yixin, Qingze Yan, Lin Yu, and Yun Zhu. 2022. "Information Capacity of Turbulent and Absorptive Underwater Wireless Link with Perfect Laguerre–Gaussian Beam and Pointing Errors" Journal of Marine Science and Engineering 10, no. 12: 1957. https://doi.org/10.3390/jmse10121957
APA StyleZhang, Y., Yan, Q., Yu, L., & Zhu, Y. (2022). Information Capacity of Turbulent and Absorptive Underwater Wireless Link with Perfect Laguerre–Gaussian Beam and Pointing Errors. Journal of Marine Science and Engineering, 10(12), 1957. https://doi.org/10.3390/jmse10121957
        