Design and Optimization of Multipoint Sampler for Seafloor Sediment Carried by a Deep-Sea Landing Vehicle
Abstract
1. Introduction
2. Design of Multipoint Sampler
2.1. Composition of Multipoint Sampler
2.2. Composition of Sampling Structure
2.3. Operation Process of Multipoint Sampler
2.4. Force Analysis of Sampling Structure
3. Optimization of Sampling Structure
3.1. Establishment of FEM-SPH Coupled Model
3.2. Solution and Analysis of Force Required for Sampling
3.3. Optimization Algorithm for Model Parameters of Sampling Structure
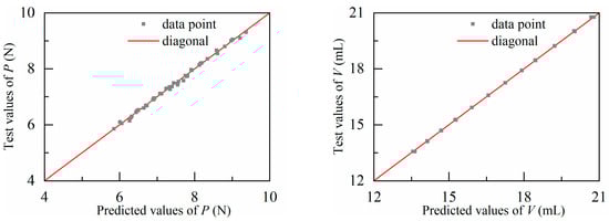
3.4. Analysis of Optimization Results
4. Conclusions
Author Contributions
Funding
Institutional Review Board Statement
Informed Consent Statement
Data Availability Statement
Acknowledgments
Conflicts of Interest
References
- Yan, T.N.; Bu, J.W.; Li, S.J. Brief Study on the International Present Condition and Developing Tendency of the Technology of Sea Floor Sample Drilling. Geol. Sci. Technol. Inf. 2000, 19, 67–70. [Google Scholar]
- Kaye, J.Z.; Sylvan, J.B.; Edwards, K.J.; John, A.B. Halomonas and Marinobacter ecotypes from hydrothermal vent, subseafloor and deep-sea environments. FEMS Microbiol. Ecol. 2011, 75, 123–133. [Google Scholar] [CrossRef]
- Sharma, R. Deep-sea mining: Economic, technical, technological, and environmental considerations for sustainable development. Mar. Technol. Soc. J. 2011, 45, 28–41. [Google Scholar] [CrossRef]
- Mogg, A.O.M.; Attard, K.M.; Stahl, H.; Brand, T.; Turnewitsch, B.; Sayer, M.D.J. The influence of coring method on the preservation of sedimentary and biogeochemical features when sampling soft-bottom, shallow coastal environments. Limnol. Oceanogr. Methods 2017, 15, 905–915. [Google Scholar] [CrossRef]
- Tuit, C.B.; Wait, A.D. A Review of Marine Sediment Sampling Methods. Environ. Forensics 2020, 21, 267–290. [Google Scholar] [CrossRef]
- Konoplin, A.Y.; Konoplin, N.Y. System for automatic soil sampling by underwater vehicle. In Proceedings of the 2017 International Conference on Industrial Engineering, Applications and Manufacturing (ICIEAM), St. Petersburg, Russia, 16–19 May 2017; pp. 1–5. [Google Scholar] [CrossRef]
- Konoplin, A.; Filaretov, V.; Yurmanov, A. A Method for Supervisory Control of Manipulator of Underwater Vehicle. J. Mar. Sci. Eng. 2021, 9, 740. [Google Scholar] [CrossRef]
- Li, S.; Wu, Y.T.; Li, C.; Zhao, H.Y.; Li, Y.P. Application and Prospect of Unmanned Underwater Vehicle. Bull. Chin. Acad. Sci. 2022, 37, 910–920. [Google Scholar] [CrossRef]
- Guo, J.; Wang, Y.; Wang, W.; Ren, X.Y.; Zhou, P.; Fang, Y.P.; Deng, Y.N.; Chen, D.H.; Gao, J.; Zhang, C.F.; et al. Pressure-retaining sampler for sediment, including overlying water based on heavy duty ROV-Jellyfish. Appl. Ocean Res. 2022, 128, 103354. [Google Scholar] [CrossRef]
- Chen, J.W.; Huang, Y.; Lin, Y.; Zhou, P.; Fang, Y.P.; Le, X.L.; Wang, Y.H. A Novel Sediment Pressure Sampling Device Carried by a Hadal-Rated Lander. J. Mar. Sci. Eng. 2020, 8, 839. [Google Scholar] [CrossRef]
- Liu, G.P.; Jin, Y.P.; Peng, Y.D.; Wan, B.Y.; Xie, K. A Deep-Sea Sediment Sampling System: Design, Analysis and Experimental Verification. J. Press. Vessel. Technol. 2022, 144, 021301. [Google Scholar] [CrossRef]
- He, S.D.; Peng, Y.D.; Jin, Y.P.; Wan, B.Y. Simulated and Experimental Study of Seabed Sediments Sampling Parameters Based on the VOF Method. Chin. J. Mech. Eng. 2022, 35, 1–14. [Google Scholar] [CrossRef]
- Zou, D.P. Relationship between the Sound Speed Ratio of the Compressional Wave and the Physical Characteristics of Seafloor Sediment. Acta Acust. 2018, 43, 41–51. [Google Scholar] [CrossRef]
- Luo, J.; Xiao, J.C.; Ma, K.J.; Mao, J.Y. SPH-FEM Coupled Method for Analyzing a Hemispherical Shell Impact Soil. J. Vib. Shock 2017, 36, 195–199. [Google Scholar] [CrossRef]
- Yang, L.Q. The Evaluation of Submarine Slope Stability and Influence Factors Analysis; Dalian University of Technology: Dalian, China, 2012. [Google Scholar]
- Bertevas, E.; Tran-Duc, T.; Khoo, B.C.; Phan-Thien, N. Smoothed Particle Hydrodynamics (SPH) Applications in Some Sediment Dispersion Problems. In Proceedings of the 7th International Conference on Computational Methods, Berkeley, CA, USA, 1–4 August 2016. [Google Scholar]
- Tran-Duc, T.; Phan-Thien, N.; Khoo, B.C. A smoothed particle hydrodynamics (SPH) study of sediment dispersion on the seafloor. Phys. Fluids 2017, 29, 083302. [Google Scholar] [CrossRef]
- Sun, H.M.; Guo, W.; Zhou, Y.; Sun, P.F.; Zhang, Y.B. Mechanism Design and Diving-Floating Movement Performance Analysis on the Full Ocean Depth Landing Vehicle. Robot 2020, 42, 207–214. [Google Scholar] [CrossRef]
- Guo, W.; Sun, H.M.; Xu, G.F.; Li, G.W.; Zhou, Y.; Wang, M.J. Improvements for Landing Impact Characteristics and Concentrated Stress Structures of Full Ocean Depth Landing Vehicles. China Mech. Eng. 2021, 32, 867–874. [Google Scholar]
- Sun, H.M.; Guo, W.; Lan, Y.J.; Wei, Z.Z.; Gao, S.; Sun, Y.; Fu, Y.F. Black-Box Modelling and Prediction of Deep-Sea Landing Vehicles Based on Optimised Support Vector Regression. J. Mar. Sci. Eng. 2022, 10, 575. [Google Scholar] [CrossRef]
- Liang, L. Dynamics Modeling and Applications of Excavation for Lunar Regolith; Harbin Institute of Technology: Harbin, China, 2014. [Google Scholar]
- Liang, L.; Zhao, Z.G.; Zhao, Y. Prediction of Lunar Regolith Excavation Resistance and Optimization of Excavation Parameters for Minitype Sampler. J. Astronaut. 2014, 35, 39–46. [Google Scholar] [CrossRef]
- Wei, D.B.; Yang, Q.; Xia, J.X. Factors Influencing Share Strength of Deep Sea Sediment and Its Variation Law. Mar. Geol. Front. 2021, 37, 28–33. [Google Scholar] [CrossRef]
- Zhou, F.X.; Li, S.R. Generalized Drucker-Prager strength criterion. Rock Soil Mech. 2008, 3, 747–751. [Google Scholar]
- Wei, W. Study on Physicomechanical Properties of Bottom Sediment from the Zhongsha Natural Gas Hydrate Prospective Area of the South China Sea. Coast. Eng. 2006, 3, 33–38. [Google Scholar] [CrossRef]
- Kong, X.A.; Cai, G.Q.; Zhao, C.G. Study on tenso-shear coupling strength of clays. Rock Soil Mech. 2016, 37, 2285–2292. [Google Scholar]











| (°) | (mm) | (mm) | (mm) | (mm) | (mm) |
|---|---|---|---|---|---|
| 30 | 12 | 120 | 39 | 10 | 10 |
| Young’s Elastic Modulus (MPa) | Poisson’s Ratio | Cohesive Force (kPa) | Interior Friction Angle (°) | Compressive Strength (kPa) | Tensile Strength (kPa) |
|---|---|---|---|---|---|
| 1.67 | 0.49 | 7.31 | 2 | 27.04 | 77.12 |
| (°) | (mm) | (mm) |
|---|---|---|
| 21 24 27 30 | 12 13 14 | 120 125 130 135 |
| Iterations | Number of Particles | Pareto Solutions |
|---|---|---|
| 500 | 300 | 200 |
| Evaluation Result | ||
|---|---|---|
| MSE | 0.002585 | 0.000719 |
| RMSE | 0.050841 | 0.026814 |
| SSE | 0.124066 | 0.0345 |
| R2 | 0.981395 | 0.990284 |
Publisher’s Note: MDPI stays neutral with regard to jurisdictional claims in published maps and institutional affiliations. |
© 2022 by the authors. Licensee MDPI, Basel, Switzerland. This article is an open access article distributed under the terms and conditions of the Creative Commons Attribution (CC BY) license (https://creativecommons.org/licenses/by/4.0/).
Share and Cite
Gao, Y.; Zhou, Y.; Guo, W.; Fu, Y.; Gao, S.; Wei, Z.; Sun, H.; Sun, Y. Design and Optimization of Multipoint Sampler for Seafloor Sediment Carried by a Deep-Sea Landing Vehicle. J. Mar. Sci. Eng. 2022, 10, 1937. https://doi.org/10.3390/jmse10121937
Gao Y, Zhou Y, Guo W, Fu Y, Gao S, Wei Z, Sun H, Sun Y. Design and Optimization of Multipoint Sampler for Seafloor Sediment Carried by a Deep-Sea Landing Vehicle. Journal of Marine Science and Engineering. 2022; 10(12):1937. https://doi.org/10.3390/jmse10121937
Chicago/Turabian StyleGao, Yan, Yue Zhou, Wei Guo, Yifan Fu, Sen Gao, Zhenzhuo Wei, Hongming Sun, and Yu Sun. 2022. "Design and Optimization of Multipoint Sampler for Seafloor Sediment Carried by a Deep-Sea Landing Vehicle" Journal of Marine Science and Engineering 10, no. 12: 1937. https://doi.org/10.3390/jmse10121937
APA StyleGao, Y., Zhou, Y., Guo, W., Fu, Y., Gao, S., Wei, Z., Sun, H., & Sun, Y. (2022). Design and Optimization of Multipoint Sampler for Seafloor Sediment Carried by a Deep-Sea Landing Vehicle. Journal of Marine Science and Engineering, 10(12), 1937. https://doi.org/10.3390/jmse10121937

