Acoustic Response of a Vibrating Elongated Cylinder in a Hydrodynamic Turbulent Flow
Abstract
1. Introduction
2. Materials and Methods
2.1. Equations for the Fluid Motion
2.2. Equation for the Solid Motion
2.3. Fluid–Structure Interaction Equations
2.4. Ffowcs Williams and Hawkings Acoustics Equation
2.5. The Numerical Method
2.6. Numerical Setup
3. Results and Discussion
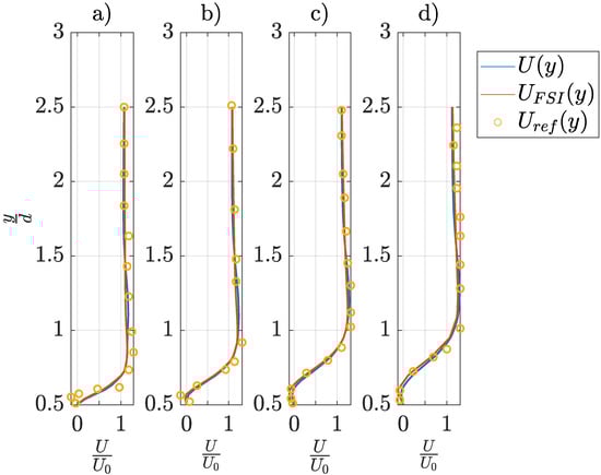
3.1. The Hydrodynamic Field
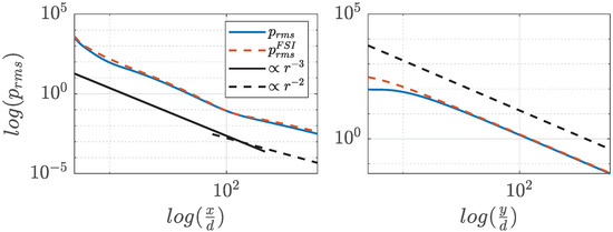
3.2. The Acoustic Field
4. Conclusions
Author Contributions
Funding
Institutional Review Board Statement
Informed Consent Statement
Data Availability Statement
Conflicts of Interest
Abbreviations
| FSI | Fluid–structure interaction |
| ALE | Arbitrary Lagrangian–Eulerian |
| LES | Large eddy simulation |
| FW-H | Ffowcs Williams and Hawkings |
| CCARC | Commonwealth Advisory Aeronautical Council |
| CAA | computational aeroacoustics |
| CHA | computational hydroacoustics |
References
- Murphy, E.; King, E.A. Environmental Noise Pollution: Noise Mapping, Public Health, and Policy; Newnes: London, UK, 2014. [Google Scholar]
- Carlton, J.; Vlasic, D. Ship vibration and noise: Some topical aspects. In Proceedings of the 1st International Ship Noise and Vibration Conference, London, UK, 20–21 June 2005; pp. 1–11. [Google Scholar]
- Saidur, R.; Rahim, N.A.; Islam, M.R.; Solangi, K.H. Environmental impact of wind energy. Renew. Sustain. Energy Rev. 2011, 15, 2423–2430. [Google Scholar] [CrossRef]
- Huang, S.; Li, R.; Li, Q. Numerical simulation on fluid-structure interaction of wind around super-tall building at high reynolds number conditions. Struct. Eng. Mech. 2013, 46, 197–212. [Google Scholar] [CrossRef]
- Braun, A.L.; Awruch, A.M. Aerodynamic and aeroelastic analyses on the CAARC standard tall building model using numerical simulation. Comput. Struct. 2009, 87, 564–581. [Google Scholar] [CrossRef]
- Inoue, O.; Hatakeyama, N. Sound generation by a two-dimensional circular cylinder in a uniform flow. J. Fluid Mech. 2002, 471, 285–314. [Google Scholar] [CrossRef]
- Marsden, O.; Bogey, C.; Bailly, C. Direct Noise Computation of the Turbulent Flow Around a Zero-Incidence Airfoil. AIAA J. 2008, 46, 874–883. [Google Scholar] [CrossRef]
- Lighthill, M.J. On sound generated aerodynamically I. General theory. Proc. R. Soc. Lond. Ser. Math. Phys. Sci. 1952, 211, 564–587. [Google Scholar]
- Wang, M.; Freund, J.B.; Lele, S.K. Computational prediction of flow-generated sound. Annu. Rev. Fluid Mech. 2006, 38, 483–512. [Google Scholar] [CrossRef]
- Cianferra, M. Acoustic Analogies and Large-Eddy Simulations of Incompressible and Cavitating Flows around Bluff Bodies. 2018. Available online: https://hdl.handle.net/11368/2922550 (accessed on 13 October 2022).
- Cianferra, M.; Armenio, V.; Petronio, A. Numerical prediction of the far field noise generated by a ship propeller. In INTER-NOISE and NOISE-CON Congress and Conference Proceedings; Institute of Noise Control Engineering: North Billerica, MA, USA, 2019; Volume 259, pp. 4146–4157. [Google Scholar]
- Cianferra, M.; Petronio, A.; Armenio, V. Non-linear noise from a ship propeller in open sea condition. Ocean. Eng. 2019, 191, 106474. [Google Scholar] [CrossRef]
- Lockard, D.P. An efficient, two-dimensional implementation of the Ffowcs Williams and Hawkings equation. J. Sound Vib. 2000, 229, 897–911. [Google Scholar] [CrossRef]
- Williams, J.F.; Hawkings, D.L. Sound generation by turbulence and surfaces in arbitrary motion. Philos. Trans. R. Soc. Lond. Ser. A Math. Phys. Sci. 1969, 264, 321–342. [Google Scholar]
















Publisher’s Note: MDPI stays neutral with regard to jurisdictional claims in published maps and institutional affiliations. |
© 2022 by the authors. Licensee MDPI, Basel, Switzerland. This article is an open access article distributed under the terms and conditions of the Creative Commons Attribution (CC BY) license (https://creativecommons.org/licenses/by/4.0/).
Share and Cite
Rismondo, G.; Cianferra, M.; Armenio, V. Acoustic Response of a Vibrating Elongated Cylinder in a Hydrodynamic Turbulent Flow. J. Mar. Sci. Eng. 2022, 10, 1918. https://doi.org/10.3390/jmse10121918
Rismondo G, Cianferra M, Armenio V. Acoustic Response of a Vibrating Elongated Cylinder in a Hydrodynamic Turbulent Flow. Journal of Marine Science and Engineering. 2022; 10(12):1918. https://doi.org/10.3390/jmse10121918
Chicago/Turabian StyleRismondo, Giacomo, Marta Cianferra, and Vincenzo Armenio. 2022. "Acoustic Response of a Vibrating Elongated Cylinder in a Hydrodynamic Turbulent Flow" Journal of Marine Science and Engineering 10, no. 12: 1918. https://doi.org/10.3390/jmse10121918
APA StyleRismondo, G., Cianferra, M., & Armenio, V. (2022). Acoustic Response of a Vibrating Elongated Cylinder in a Hydrodynamic Turbulent Flow. Journal of Marine Science and Engineering, 10(12), 1918. https://doi.org/10.3390/jmse10121918
