Dynamic Response of a SPAR-Type Floating Wind Turbine Foundation with Taut Mooring System
Abstract
1. Introduction
- (1)
- To overcome the drawbacks of the stiff mooring line model when calculating the dynamics of synthetic fiber ropes, am FEM formulation of tensile mooring line model is proposed to be capable of studying the statics and dynamics of tensile mooring lines experiencing large elongations.
- (2)
- By integrating the tensile mooring line model and the Morison forces into the equations of motion, a time domain modelling code is developed to study the coupled dynamics of spar-type floating wind turbine foundation moored by synthetic fiber ropes.
- (3)
- The effects of the taut mooring system configurations on the dynamic responses of a spar-type floating wind turbine foundation and the loads on the synthetic fiber mooring lines have been systematically investigated via changing mooring lengths and pretensions; the number of mooring lines: T2 and T3.
2. Methodology
2.1. Dynamics of a Tensile Mooring Line
2.2. Finite Element Simulation Approach
2.3. Dynamics of the Spar-Type Floating Wind Turbine
2.4. Coupling Dynamics of the Spar-Type Floating Wind Turbine with Taut Mooring System
3. Comparative Study between Stiff and Tensile Mooring Lines
3.1. Model Geometry and Mooring Configuration
3.2. Results and Analysis
4. Sensitivity Study and Analysis
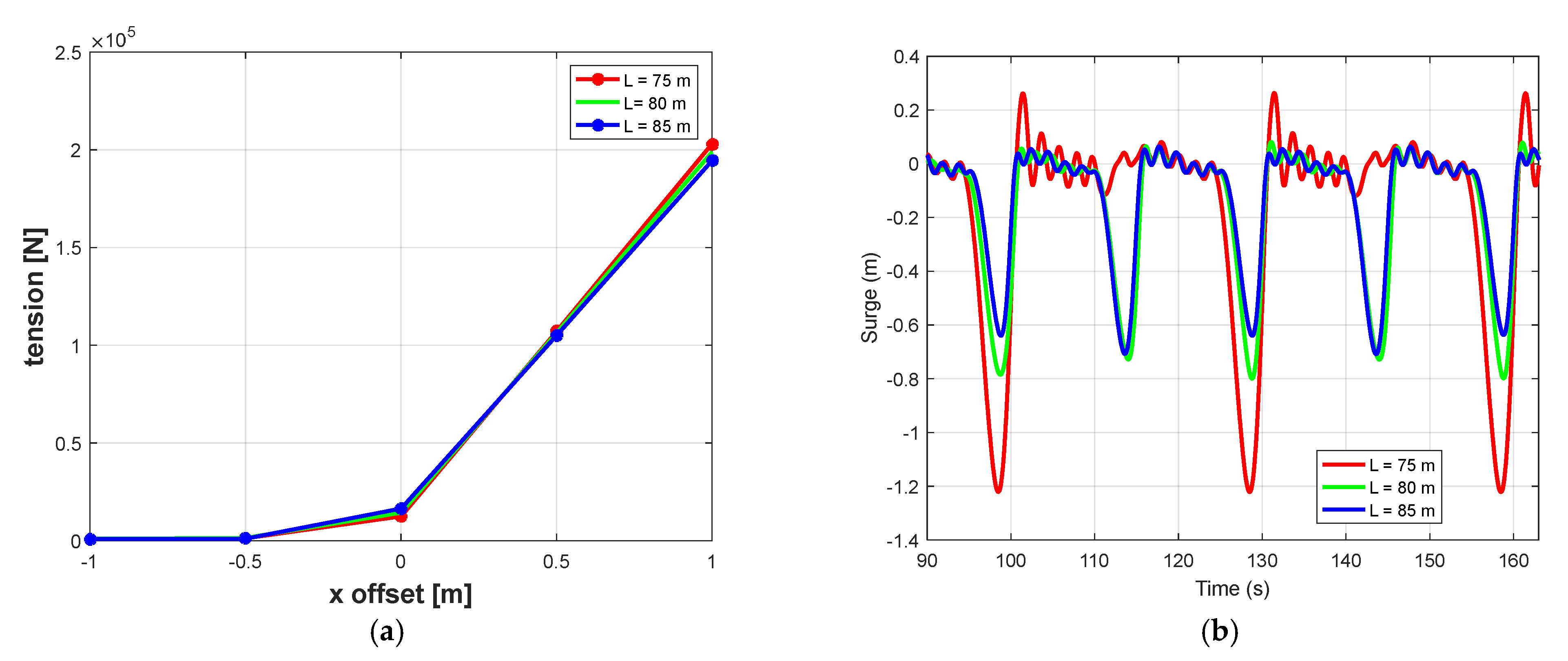
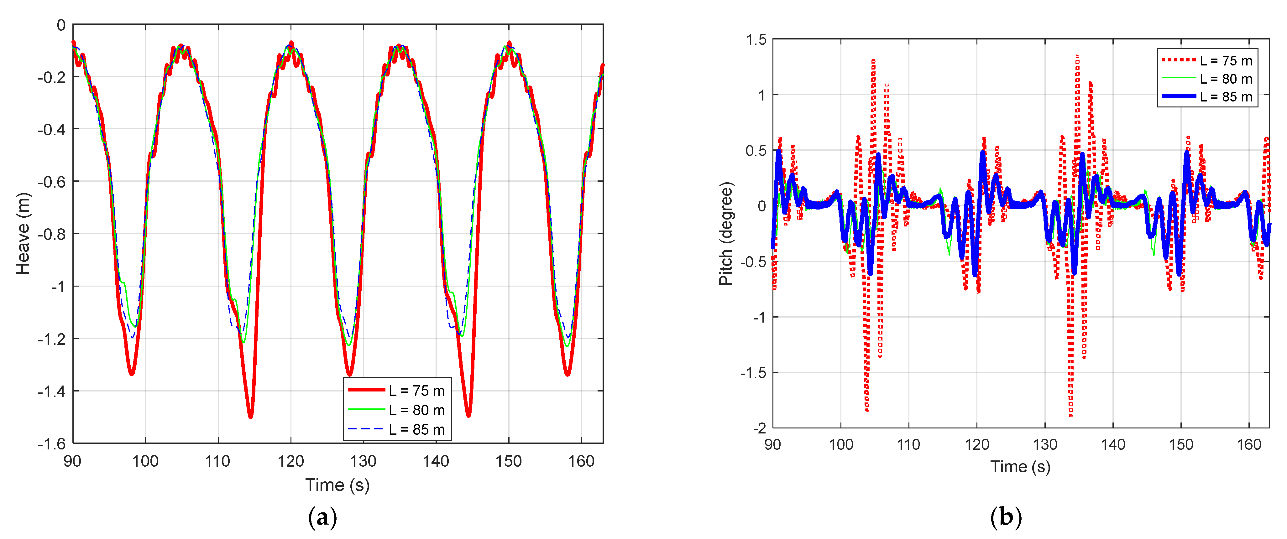
4.1. Effect of Mooring length
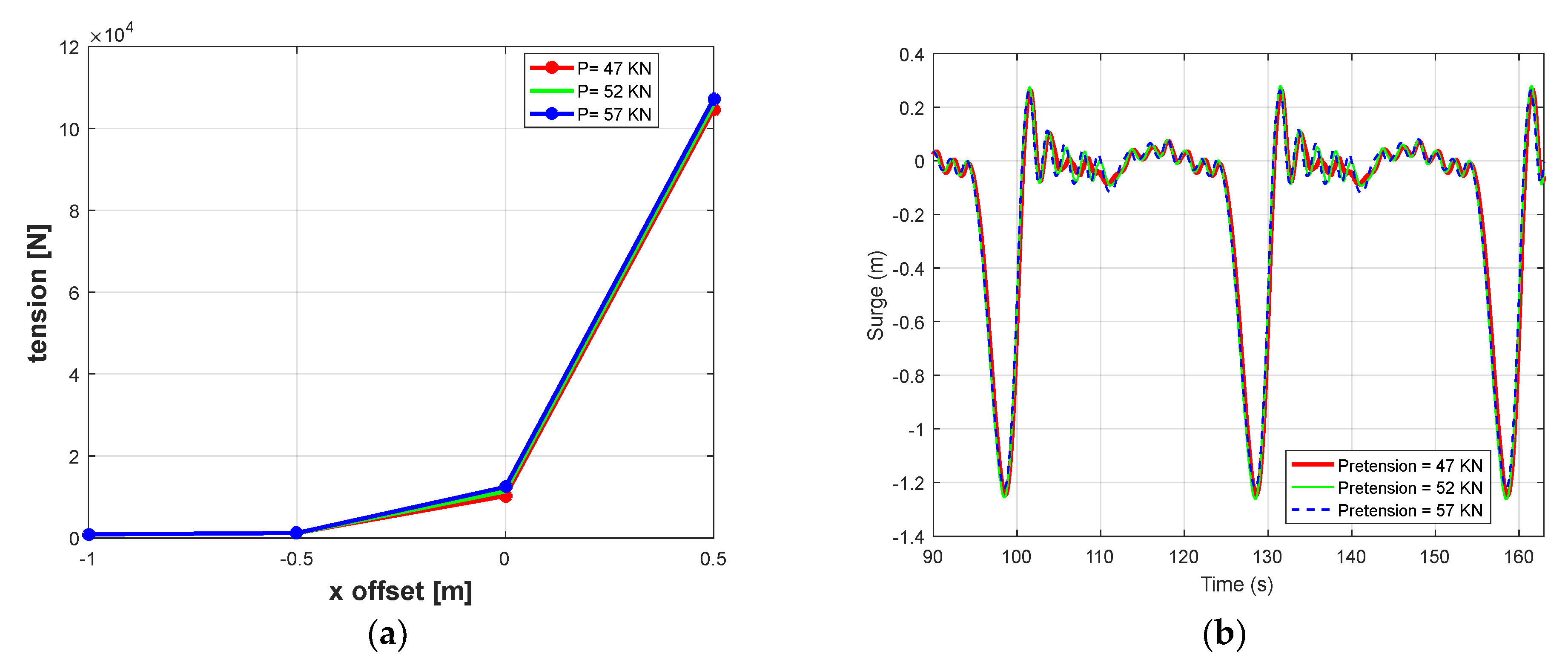
4.2. Effect of Pretension
4.3. Effect of Number of Mooring Lines
5. Conclusions
- A new approach based on the tensile mooring line model is particularly proposed for the dynamic response analysis of the floating wind turbine foundation, coupled with a taut mooring system. The comparison of simulated results in terms of mooring tension and motion response of the wind turbine foundation using a traditional stiff mooring model and tensile mooring line model, respectively, demonstrates the much higher accuracy of the proposed tensile mooring line model when predicting the dynamic responses of the foundation and taut mooring tensions.
- Design parameters, such as the length and pretension of the mooring lines, are found to have a significant influence on the dynamic responses of the floating wind turbine foundation. The largest maximum value and mean value for each of the 6 DOF motion responses of the foundation all occur at a relatively small mooring length, resulting in the occurrence of the largest amplitude values of mooring tension at the fairleads for Line1, Line2, and Line3. The largest maximum values and mean values of the motion responses of the foundation almost all happen at a relatively small pretension force, but the largest amplitude values of the mooring loads at the fairlead occur at a large pretension force.
- A thorough comparative performance analysis of the foundation connected with two different mooring configurations, two-point (T2) and three-point (T3) taut mooring systems, are studied via the proposed method. The comparisons of simulation results between two different mooring configurations displayed: the motion responses of the foundation with T2 are larger than T3 in the X-Y plane, but the out-of-plane motion responses of the foundation with T2 are more stable than T3.
Author Contributions
Funding
Institutional Review Board Statement
Informed Consent Statement
Data Availability Statement
Conflicts of Interest
References
- Fitzgerald, J.; Lars, B. Including Moorings in the Assessment of a Generic Offshore Wave Energy Converter: A Frequency Domain Approach. Mar. Struct. 2008, 21, 23–46. [Google Scholar] [CrossRef]
- Kim, J.D.; Jiang, B.S. Application of multi-objective optimization for TLP considering hull-form and tendon system. Ocean. Eng. 2016, 116, 142–156. [Google Scholar] [CrossRef]
- Ahmed, F.; Xiang, X.B.; Jiang, C.C.; Xiang, G.; Yang, S.L. Survey on traditional and AI based estimation techniques for hydrodynamic coefficients of autonomous underwater vehicle. Ocean. Eng. 2023. [CrossRef]
- Sergiienko, N.Y.; Rafiee, A.; Cazzolato, B.S.; Ding, B.; Arjomandi, M. A feasibility study of the three-tether axisymmetric wave energy converter. Ocean. Eng. 2018, 150, 221–233. [Google Scholar] [CrossRef]
- Wang, Z.; Yang, S.L.; Xiang, X.B.; Vasilijević, A.; Mišković, N.; Nad, Ð. Cloud-based mission control of USV fleet: Architecture, implementation and experiments. Control Eng. Pract. 2021, 106, 104657. [Google Scholar] [CrossRef]
- Kang, H.S.; Kim, M.H.; Aramanadka, S.B. Numerical Analysis on Mathieu Instability of a Top-Tensioned Riser in a Dry-Tree Semisubmersible. J. Offshore Mech. Arct. Eng. 2020, 142, 021701. [Google Scholar] [CrossRef]
- Subbulakshmiab, A.; Sundaravadivelub, R. Effects of damping plate position on heave and pitch responses of spar platform with single and double damping plates under regular waves. Ocean. Eng. 2021, 224, 108719. [Google Scholar]
- Liu, Y.; Yoshida, S.; Hu, C.; Sueyoshi, M.; Sun, L.; Gao, J.; Cong, P.; He, G. A reliable open-source package for performance evaluation of floating renewable energy systems in coastal and offshore regions. Energy Convers. Manag. 2018, 174, 516–536. [Google Scholar] [CrossRef]
- Zhang, Q.; Zhang, J.L.; Chemori, A.; Xiang, X.B. Virtual Submerged Floating Operational System for Robotic Manipulation. Complexity 2018, 2018, 9528313. [Google Scholar] [CrossRef]
- Bachynskia, E.; Thysb, M.; Delhayec, V. Dynamic response of a monopile wind turbine in waves: Experimental uncertainty analysis for validation of numerical tools. Appl. Ocean. Res. 2019, 89, 96–114. [Google Scholar] [CrossRef]
- Wang, S.; Xu, S.; Xiang, G.; Guedes Soares, C. An overview of synthetic mooring cables in marine applications. In Advances in Renewable Energies Offshore; Taylor & Francis: Abingdon, UK, 2019; pp. 853–863. [Google Scholar]
- Gao, Z.; Moan, T. Mooring system analysis of multiple wave energy converters in a farm configuration. In Proceedings of the 8th European Wave and Tidal Energy Conference, Uppsala, Sweden, 7–10 September 2009. [Google Scholar]
- Harnois, V. Analysis of Highly Dynamic Mooring Systems: Peak Mooring Loads in Realistic Sea Conditions. Ph.D. Thesis, University of Exeter, Exeter, UK, 2014. [Google Scholar]
- Casaubieilh, P.; Thiebaut, F.; Sheng, W.; Retzler, C.; Shaw, M.; Letertre, Y. Performance Improvements of Mooring Systems for Wave Energy Converters. In Renewable Energies Offshore; Soares, G., Ed.; European Commission: Brussels, Belgium, 2013; pp. 897–903. [Google Scholar]
- Huang, W.; Liu, H.X.; Lian, Y.S.; Li, L.N. Modeling nonlinear time-dependent behaviors of synthetic fiber ropes under cyclic loading. Ocean. Eng. 2015, 109, 207–216. [Google Scholar] [CrossRef]
- Lian, Y.S.; Liu, H.X.; Li, L.N.; Zhang, Y.M. An experimental investigation on the bedding-in behavior of synthetic fiber ropes. Ocean. Eng. 2018, 160, 368–381. [Google Scholar] [CrossRef]
- Davidson, J.; Ringwood, J.V. Mathematical Modelling of Mooring Systems for Wave Energy Converters—A Review. Energies 2017, 10, 666. [Google Scholar] [CrossRef]
- Bosma, B.; Lewis, T.; Brekken, T.; Jouanne, A.V. Wave Tank Testing and Model Validation of an Autonomous Wave Energy Converter. Energies 2015, 8, 8857–8872. [Google Scholar] [CrossRef]
- Thomsen, J.B.; Ferri, F.; Kofoed, J.P. Validation of a Tool for the Initial Dynamic Design of Mooring Systems for Large Floating Wave Energy Converters. J. Mar. Sci. Eng. 2017, 5, 45. [Google Scholar] [CrossRef]
- Sirnivas, S.; Yu, Y.; Hall, M.; Bosma, B. Coupled Mooring Analyses for the WEC-Sim Wave Energy Converter Design Tool. In Proceedings of the International Conference on Offshore Mechanics and Arctic Engineering, Busan, Republic of Korea, 19–24 June 2016; ASME: New York, NY, USA, 2016; Volume 6: Ocean Space Utilization, Ocean Renewable Energy. p. V006T09A023. [Google Scholar] [CrossRef]
- Azcona, J.; Munduate, X.; Gonzalez, L.; Nygaard, T.A. Experimental validation of a dynamic mooring lines code with tension and motion measurements of a submerged chain. Ocean. Eng. 2017, 129, 415–427. [Google Scholar] [CrossRef]
- Qiao, D.; Li, B.; Yan, J.; Qin, Y.; Liang, H.; Ning, D. Transient Responses Evaluation of FPSO with Different Failure Scenarios of Mooring Lines. J. Mar. Sci. Eng. 2021, 9, 103. [Google Scholar] [CrossRef]
- Pascoal, R.; Huang, S.; Barltrop, N.; Guedes Soares, C. Equivalent force model for the effect of mooring systems on the horizontal motions. Appl. Ocean. Res. 2005, 27, 165–172. [Google Scholar] [CrossRef]
- Cerveira, F.; Fonseca, N.; Pascoal, R. Mooring systeminfluence on the efficiency of wave energy converters. Int. J. Mar. Energy 2013, 3, 65–81. [Google Scholar] [CrossRef]
- Ran, Z.; Kim, M.H. Nonlinear coupled responses of a tethered spar platform in waves. Int. J. Offshore Polar Eng. 1997, 7, 111–118. [Google Scholar]
- Kang, H.S.; Kim, M.H.; Aramanadka, S.S.B.; Kang, H.Y. Semi-Active Magneto-Rheological Damper to Reduce the Dynamic Response of Top-Tension Risers. In Proceedings of the 23rd International Offshore and Polar Engineering Conference, Anchorage, AK, USA, 30 June–5 July 2013. [Google Scholar]
- Bergdahl, L.; Palm, J.; Eskilsson, C.; Lindahl, J. Dynamically Scaled Model Experiment of a Mooring Cable. J. Mar. Sci. Eng. 2016, 4, 5. [Google Scholar] [CrossRef]
- Yang, S.H.; Ringsberg, J.W.; Johnson, E. A comparison of coupled and de-coupled simulation procedures for the fatigue analysis of wave energy converter mooring lines. Ocean. Eng. 2016, 117, 332–345. [Google Scholar] [CrossRef]
- Nguyen, H.P.; Dai, J.; Wang, C.M.; Ang, K.K.; Luong, V.H. Reducing hydroelastic responses of pontoon-type VLFS using vertical elastic mooring lines. Mar. Struct. 2018, 59, 251–270. [Google Scholar] [CrossRef]
- Xiong, L.Z.; Yang, J.M.; Zhao, W.H. Dynamics of a taut mooring line accounting for the embedded anchor chains. Ocean. Eng. 2016, 121, 403–413. [Google Scholar] [CrossRef]
- Xiong, L.Z.; Lu, W.Y.; Li, X.; Guo, X.X. Estimation of damping induced by taut mooring lines. Int. J. Nav. Archit. Ocean. Eng. 2020, 12, 810–818. [Google Scholar] [CrossRef]
- Qiao, D.; Yan, J.; Liang, H.Z.; Ning, D.Z.; Li, B.B.; Ou, J.P. Analysis on snap load characteristics of mooring line in slack-taut process. Ocean. Eng. 2020, 196, 106807. [Google Scholar] [CrossRef]
- Ma, W.; Webster, W.C. An Analytical Approach to cable Dynamics: Theory and User Manual; SEA GRANT PROJECT R/OE-26; National Oceanic and Atmospheric Administration: Washington, DC, USA, 1994.
- Chen, X.H.; Zhang, J.; Johnson, P.; Irani, M. Dynamic analysis of mooring lines with inserted springs. Appl. Ocean. Res. 2001, 23, 277–284. [Google Scholar] [CrossRef]
- Li, J.J.; Xiang, X.B.; Yang, S.L. Robust adaptive neural network control for dynamic positioning of marine vessels with prescribed performance under model uncertainties and input saturation. Neurocomputing 2022, 484, 1–12. [Google Scholar] [CrossRef]
- Garret, G.L. Dynamic Analysis of Slender Rods. J. Energy Resour. Technol. 1982, 104, 302–306. [Google Scholar] [CrossRef]
- Xiang, G.; Xu, S.; Wang, S.; Carlos Soares, C. Comparative study on two different mooring system for a buoy. In Proceedings of the Third International Conference on Renewable Energies Offshore, Lisbon, Portugal, 8–10 October 2018. [Google Scholar]
- Chen, X.H.; Ding, Y.; Zhang, J.; Liagre, P.; Niedzwecki, J.; Teigen, P. Coupled dynamic analysis of a mini TLP: Comparison with-measurements. Ocean. Eng. 2006, 33, 93–117. [Google Scholar] [CrossRef]
- Xiang, G.; Guedes Soares, C. Improved Dynamic Modelling of Freely Falling Underwater Cylinder Based on CFD. Ocean. Eng. 2020, 211, 107538. [Google Scholar] [CrossRef]
- Yu, X.C.; Xiang, G.; Collopy, H.; Kong, X. Trajectory Tracking of a Model Rocket Falling into the Towing Tank: Experimental Tests vs. Numerical Simulations. J. Aerosp. Eng. 2020, 33, 04020056. [Google Scholar]
- Xiang, G.; Xiang, X.B. 3D trajectory optimization of the slender body freely falling through water using Cuckoo Search algorithm. Ocean. Eng. 2021, 235, 109354. [Google Scholar] [CrossRef]
















| Parameters | Value | Unit |
|---|---|---|
| Max Diameter | 3.00 | m |
| Draft | 1.00 | m |
| Height | 2.00 | m |
| Weight | 7245.0 | KG |
| Rx (gyration radius) | 0.90 | m |
| Rx | 0.90 | m |
| Rz | 1.10 | m |
| Type | Pretension (KN) | Arrangement (Degree) | Length (m) |
|---|---|---|---|
| T3 | 36.00 | 90/210/330 | 100.00 |
| Parameters | Value | Unit |
|---|---|---|
| Composition | Polyester | - |
| Diameter | 32.0 | mm |
| Unit Wet Weight | 0.000622 | tone |
| EA | 17,789.13043 | KN |
| Breaking Strength | 818.3 | KN |
| Case | Type | Pretension (P) | Arrangement (Line 1/2··) | Length | Wave Heading |
|---|---|---|---|---|---|
| (KN) | (degree) | (m) | (degree) | ||
| 1 | T3 | 57.00 | 90/210/330 | 75.00 | 0 |
| 2 | T3 | 57.00 | 90/210/330 | 80.00 | 0 |
| 3 | T3 | 57.00 | 90/210/330 | 85.00 | 0 |
| 4 | T3 | 47.00 | 90/210/330 | 75.00 | 0 |
| 5 | T3 | 52.00 | 90/210/330 | 75.00 | 0 |
| 6 | T3 | 57.00 | 90/210/330 | 75.00 | 30 |
| 7 | T3 | 57.00 | 90/210/330 | 75.00 | 60 |
| 8 | T3 | 57.00 | 90/210/330 | 75.00 | 90 |
| 9 | T2 | 62.00 | 0/180 | 75.00 | 0 |
| 10 | T2 | 62.00 | 0/180 | 75.00 | 45 |
| 11 | T2 | 62.00 | 0/180 | 75.00 | 90 |
| Parameter | L = 75 m | L = 80 m | L = 85 m | |||
|---|---|---|---|---|---|---|
| Max | Mean | Max | Mean | Max | Mean | |
| Surge (m) | 1.22 | 0.15 | 0.87 | 0.13 | 0.71 | 0.12 |
| Sway (m) | 2.87 | 0.49 | 1.32 | 0.29 | 0.95 | 0.23 |
| Heave (m) | 1.66 | 0.53 | 1.23 | 0.49 | 1.21 | 0.50 |
| Roll (deg) | 47.50 | 11.90 | 40.30 | 9.12 | 29.17 | 7.91 |
| Pitch (deg) | 1.89 | 0.19 | 0.92 | 0.13 | 0.63 | 0.12 |
| Yaw (deg) | 8.48 | 1.82 | 8.39 | 1.24 | 3.86 | 0.87 |
| Parameter | L = 75 m | L = 80 m | L = 85 m |
|---|---|---|---|
| Max-Line 1 (KN) | 71.46 | 54.18 | 53.66 |
| Max-Line 2 (KN) | 71.35 | 58.04 | 58.34 |
| Max-Line 3 (KN) | 64.58 | 70.84 | 54.54 |
| Mean-Line 1 (KN) | 21.54 | 19.66 | 20.33 |
| Mean-Line 2 (KN) | 21.87 | 19.96 | 20.42 |
| Mean-Line 3 (KN) | 22.07 | 23.14 | 26.15 |
| Parameter | P = 47 KN | P = 52 KN | P = 57 KN | |||
|---|---|---|---|---|---|---|
| Max | Mean | Max | Mean | Max | Mean | |
| Surge (m) | 1.25 | 0.15 | 1.25 | 0.15 | 1.22 | 0.15 |
| Sway (m) | 3.06 | 0.52 | 3.00 | 0.51 | 2.87 | 0.49 |
| Heave (m) | 1.75 | 0.49 | 1.74 | 0.51 | 1.66 | 0.53 |
| Roll (deg) | 48.53 | 12.30 | 48.21 | 12.14 | 47.51 | 11.93 |
| Pitch (deg) | 4.34 | 0.32 | 2.97 | 0.24 | 1.89 | 0.19 |
| Yaw (deg) | 10.86 | 2.04 | 9.42 | 1.94 | 8.48 | 1.82 |
| Parameter | P = 47 KN | P = 52 KN | P = 57 KN |
|---|---|---|---|
| Max-Line 1 (KN) | 70.46 | 74.35 | 71.46 |
| Max-Line 2 (KN) | 76.08 | 72.49 | 71.35 |
| Max-Line 3 (KN) | 62.72 | 63.14 | 64.58 |
| Mean-Line 1 (KN) | 20.36 | 20.89 | 21.54 |
| Mean-Line 2 (KN) | 20.62 | 21.21 | 21.87 |
| Mean-Line 3 (KN) | 20.82 | 21.49 | 22.07 |
Publisher’s Note: MDPI stays neutral with regard to jurisdictional claims in published maps and institutional affiliations. |
© 2022 by the authors. Licensee MDPI, Basel, Switzerland. This article is an open access article distributed under the terms and conditions of the Creative Commons Attribution (CC BY) license (https://creativecommons.org/licenses/by/4.0/).
Share and Cite
Xiang, G.; Xiang, X.; Yu, X. Dynamic Response of a SPAR-Type Floating Wind Turbine Foundation with Taut Mooring System. J. Mar. Sci. Eng. 2022, 10, 1907. https://doi.org/10.3390/jmse10121907
Xiang G, Xiang X, Yu X. Dynamic Response of a SPAR-Type Floating Wind Turbine Foundation with Taut Mooring System. Journal of Marine Science and Engineering. 2022; 10(12):1907. https://doi.org/10.3390/jmse10121907
Chicago/Turabian StyleXiang, Gong, Xianbo Xiang, and Xiaochuan Yu. 2022. "Dynamic Response of a SPAR-Type Floating Wind Turbine Foundation with Taut Mooring System" Journal of Marine Science and Engineering 10, no. 12: 1907. https://doi.org/10.3390/jmse10121907
APA StyleXiang, G., Xiang, X., & Yu, X. (2022). Dynamic Response of a SPAR-Type Floating Wind Turbine Foundation with Taut Mooring System. Journal of Marine Science and Engineering, 10(12), 1907. https://doi.org/10.3390/jmse10121907

