Next Article in Journal
An Improved Failure Mode and Effect Analysis of Floating Offshore Wind Turbines
Next Article in Special Issue
Predicting the Motion of a USV Using Support Vector Regression with Mixed Kernel Function
Previous Article in Journal
Climate Change Threats to Two Breakwaters
Previous Article in Special Issue
Formation Control of Unmanned Surface Vehicles Using Fixed-Time Non-Singular Terminal Sliding Mode Strategy
 
 
Font Type:
Arial Georgia Verdana
Font Size:
Aa Aa Aa
Line Spacing:
Column Width:
Background:
Article

Adaptive Proportional-Integral Sliding Mode-Based Fault Tolerant Control for Autonomous Underwater Vehicles with Thrusters Saturation and Potential Failure

1
College of Intelligent Science and Engineering, Harbin Engineering University, Harbin 150001, China
2
Qingdao Innovation and Development Center, Harbin Engineering University, Qingdao 266000, China
3
China Ship Development and Design Center, Wuhan 430064, China
*
Author to whom correspondence should be addressed.
J. Mar. Sci. Eng. 2022, 10(11), 1614; https://doi.org/10.3390/jmse10111614
Submission received: 22 September 2022 / Revised: 20 October 2022 / Accepted: 25 October 2022 / Published: 1 November 2022

Abstract

This paper focuses on the fault tolerant control of autonomous underwater vehicles (AUVs) in the presence of dynamic uncertainties and potential thruster failure issues. For this, an adaptive proportional-integral sliding mode-based fault tolerant control (APISM-FTC) is proposed to drive the AUV to follow the desired trajectory, in the event of unknown thrusters failure and thrusters saturation. Radial basis function neural network (RBFNN) and an adaptive approach are used to evaluate the dynamics uncertainty during the construction of the APISM-FTC controller. To guarantee that all tracking errors asymptotically converge to zero, a comprehensive theoretical analysis and mathematical proof based on Lyapunov stability analysis are implemented. The simulation experiments on two fault conditions are carried out, respectively, and the control effects under normal conditions are compared. It can be shown that the designed APISM-FTC method can make the system reach a stable state quickly, and can still have a good control performance in the case of the failure of the thruster.

1. Introduction

With the marine environment and its resources gaining increasing attention, vehicles suitable for underwater, called autonomous underwater vehicles (AUVs), emerged as required [1,2]. Due to the many unknowns and uncertainties in the marine environment, the control research of AUVs in this situation is very challenging.
AUV is a typical nonlinear and strongly coupled system. There are many uncertainties in nonlinear systems [3,4], and the existence of perturbation is also common to nonlinear systems [5,6]. The two most crucial characteristics for AUVs are safety and dependability [7,8]. In the practical application of AUV, trajectory tracking control is a practical method that is often used [9,10]. This can reflect the control performance of the AUV by driving the AUV to follow a specific desired trajectory. A lot of advanced methods have been used in the trajectory tracking control of AUVs, such as variable structure sliding mode control [11,12], adaptive robust control [13], backstepping control [14], model predictive control [15], etc.
In the movement of AUV, due to the influence of factors such as ocean currents, AUV will have dynamic uncertainty and suffer from changing external disturbances. For this part of the uncertainty, the research methods that researchers usually use are radial basis function neural network (RBFNN) [16], fuzzy control [17], adaptive control, etc.. Through these techniques, nonlinear approximations can be estimated, which have a very positive effect on the control of the AUV.
The thruster is one of the most important components to make the AUV move, however due to the complexity of the marine environment, the thruster is also the most prone to failure. Therefore, to give the AUV the desired control effect, they must be handled carefully. Then the research on fault tolerant control (FTC) of AUV is particularly important [18,19]. Now the main fault tolerant control is divided into two categories, one is active FTC [20], the other is passive FTC [21]. Active FTC mainly uses the fault detection unit to actively determine whether there is a fault in the system, then the control system is improved and refactored to maintain good control performance [22,23]. There are also corresponding observers designed to observe whether there is a fault, and then perform fault reconstruction to complete subsequent control tasks [24,25]. In the case of active fault tolerant control, when no fault occurs, the fault detection unit and fault observer also keep working all the time, which will undoubtedly cause a certain burden to the system. As for passive FTC, the main method used is to treat the fault as an unknown disturbance, which does not require additional changes to the control system, which is relatively simpler and easier to implement [26].
In [27], a terminal sliding mode observer was employed to ensure that all estimated states of an AUV converge in a finite amount of time, enabling the reconstruction of a thruster defect over time. In [28], an adaptive sliding mode tracking control architecture for underwater vehicles was created. To simulate the corresponding control, a radial basis function-based neural network was used. A neural network is used to approximate the general uncertainty term in [26], which also treats the unknown thruster fault, model uncertainty, and external disturbance. Such designs must compensate for the estimate error of the neural network and the consequences of the omitted higher order terms coming from the use of the Taylor series expansion. Although sliding mode output injection was used to estimate faults when creating an active FTC method in [29], actuator saturation appears to have been overlooked. Ref. [30] described a fault tolerant trajectory tracking controller for autonomous vehicles, but it was not practical to use it since it required full states, which included both linear and rotational velocities, to monitor the trajectory with the required precision in fixed-time situations.
In this article, for the possible thruster failure problem of AUV, an adaptive proportional-integral sliding mode-based fault tolerant control is proposed. The AUV model, saturation characteristics of thrusters and thruster fault model are introduced for the control system for AUV. Then the controller APISM-FTC is designed, and the correctness of the designed controller is verified by stability analysis. Finally, through the simulation experiment, two situations of sudden failure and time-reducing failure are simulated, and the simulation results will be compared with the normal situation to verify superiority of the control method designed in this paper when dealing with thruster failure.
According to the above summary and analysis of previous research results, we can know that there is relatively little research on fault tolerant control system of AUV. However, due to the complexity of underwater marine environment, AUV thruster failures often occur. It is hoped that the research results of this paper can provide some theoretical reference value for other researchers, so that the research on AUV fault tolerant control system will be more enriched and deepened. Compared with other existing research results, the main contributions of this paper are as follows:
  • A fault tolerant control method of AUV based on proportional-integral sliding mode is designed, which can deal with the potential propeller failure problem well;
  • The saturation problems of AUV thrusters are considered, and RBFNN is used to estimate the uncertainty aggregation of the system, which makes the control method proposed in this paper more applicable;
  • Through Lyapunov stability analysis and strict mathematical proof, it is verified that the proposed control method will reach an asymptotically stable state in a finite time;
  • The simulation experiments on two kinds of thruster failures are carried out, and it is proved that the proposed control method can still maintain good control performance in the case of failures.
This paper is organized as follows. In Section 2, the system models related to AUV are introduced in detail. APISM-FTC controller is then designed on the basis of these models, and a stability analysis is completed in Section 3. All simulation experiments are carried out in Section 4, and discuss the obtained results in Section 5. Finally, the conclusion of this paper is given in Section 6.
Throughout the paper, the notations used are described below. Scalars and vectors are shown by the regular math typefaces and bold regular math fonts, respectively. For matrixes, the bold math fonts with uppercase are recommended. For a vector x R n , the norm of vector x is defined as the Euclidean norm with the manifestation x = x T x .As for the matrix P R m × n , t r P stands for the trace for matrix P , and its mathematical meaning is equal to the sum of the eigenvalues of the matrix. The induced 2-norm P = λ m a x P T P , where the λ m a x P stands for the greatest eigenvalue of P , is used to establish the norm of matrix P . 0 n × n denotes the n × n zero matrix. s g n · denotes the standard sign function. Superscript T denotes the transpose. d i a g · represents the diagonal matrix.

2. System Model Related to AUV

In this section, some models related to the AUV control system will be introduced, including AUV model, thruster fault model and the thruster saturation model.

2.1. AUV Model

For the model of AUV, two coordinate systems need to be introduced first, the inertial coordinate system and the body-fixed coordinate system. On the basis of these two coordinate systems, the kinematics and dynamics models of the AUV are established.
As shown in Figure 1, define two vectors η = [ x , y , z , ϕ , θ , ψ ] T and ν = [ u , v , w , p , q , r ] T . Where x , y , z represent the position and ϕ , θ , ψ denote the attitude of the AUV relative to the inertial coordinate system, u , v , w and p , q , r refer to the linear velocity and angular velocity in the body-fixed coordinate system of AUV, respectively.
Inspired by [31], the kinematic equation related to the vector ν and the derivative of vector η can be obtained,
η ˙ = J ( η ) ν
where J ( η ) R 6 × 6 denotes Jacobian matrix with the following expression
J ( η ) = J 1 ( η ) 0 3 × 3 0 3 × 3 J 2 ( η )
where J 1 ( η ) R 3 × 3 and J 2 ( η ) R 3 × 3 , and
J 1 ( η ) = c o s ψ c o s θ s i n ψ c o s ϕ + c o s ψ s i n θ s i n ϕ s i n ψ s i n ϕ + c o s ψ c o s ϕ s i n θ s i n ψ c o s θ c o s ψ c o s ϕ + s i n ψ s i n θ s i n ϕ c o s ψ s i n ϕ + s i n ψ c o s ϕ s i n θ s i n θ c o s θ s i n ϕ c o s θ c o s ϕ
J 2 ( η ) = 1 s i n ϕ t a n θ c o s ϕ t a n θ 1 c o s ϕ s i n ϕ 0 s i n ϕ / c o s θ c o s ϕ / c o s θ .
As for the dynamics equation, which has the following form
M ν ˙ + C ( ν ) ν + D ( ν ) ν + g ( η ) + τ d = τ u
where matrix M R 6 × 6 is the inertia matrix including the added mass, matrix C ( ν ) R 6 × 6 denotes Coriolis and centripetal forces, matrix D ( ν ) R 6 × 6 represents hydrodynamic damping terms, vector g ( η ) R 6 indicates the restoring forces including gravity and buoyancy, vector τ d R 6 is unpredictable external disturbances and vector τ u R 6 means input forces and moments.
AUV dynamics which are precise are frequently not obtained in practical applications. As a result, it is possible to distinguish between the nominal term component and uncertain term component of the parameter matrixes in the AUV dynamic model (5). In relation to these, the following could be written
M = M ¯ + Δ M C ( ν ) = C ¯ ( ν ) + Δ C ( ν ) D ( ν ) = D ¯ ( ν ) + Δ D ( ν ) g ( η ) = g ¯ ( η ) + Δ g ( η )
where M ¯ , C ¯ ( ν ) , D ¯ ( ν ) , and g ¯ ( η ) are the nominal terms and Δ M , Δ C ( ν ) , Δ D ( ν ) , and Δ g ( η ) are the uncertain terms.
Therefore, (5) is rewritten as
M ¯ ν ˙ + C ¯ ( ν ) ν + D ¯ ( ν ) ν + g ¯ ( η ) = τ u + f
where f stands for the system’s total lumped uncertainty and is represented as
f = Δ M ν ˙ Δ C ( ν ) ν Δ D ( ν ) ν Δ g ( η ) τ d .
f will use the RBF neural network to estimate it later, and will not be introduced here.

2.2. Output Saturation of Thrusters

Due to initial error, in order to make the AUV approach the desired trajectory as soon as possible, very large control inputs are required at the beginning of the control process. However, in the practical engineering applications, the control forces or torques that the thrusters can provide are limited. Therefore, the saturation characteristics of the thrusters need to be considered in the design process of the controller.
Suppose the number of thrusters of the AUV is n, then the thrust that the thruster can provide when the saturation characteristic exists is expressed as follows [32]
u i = s a t u i = u i , u i u m a x u m a x s g n u i , u i > u m a x i = 1 , , n
where u i denotes the force provided by the ith thruster, and u m a x is the maximum thrust that thruster can produce.

2.3. Thruster Fault Model

The most common and substantial source of problems is thruster. Thrusters may regularly experience efficacy loss and bias issues due to the complex marine environment. The thrust distribution matrix must change as a result of the impact of the thrusters fault. The following formula could be used to represent the actual control inputs in order to facilitate the subsequent derivation [33].
τ u = B · E · ( u + Δ u )
where τ u R 6 denotes input forces and moments in the six degrees of freedom D O F s of AUV in Formula (7), u = [ u 1 , u 2 , , u n ] T R n denotes the desired control signals provided by the thrusters, and Δ u = [ Δ u 1 , Δ u 2 , , Δ u n ] T R n means the unexpected bias faults caused by thrusters failure. B R 6 × n is the thrust distribution matrix, and the thrusters effectiveness matrix is E = d i a g e 1 , e 2 , , e n R n × n with 0 e i 1 .
e i in thrusters effectiveness matrix E denotes the efficiency of ith thruster. When e i = 1 , it shows that the ith thruster is in a healthy state and able to perform normal work, and when e i = 0 , it indicates that the ith thruster has completely failed.

3. Adaptive PISM-FTC Controller Design

In this section, an adaptive proportional-integral sliding mode-based fault tolerant control(APISM-FTC) method is designed to make the AUV track a desired trajectory.
Consider a desired trajectory which changes over time η d R 6 , and the position tracking errors are defined as η ˜ = η η d . Combining formula (1) to obtain
η ˜ ˙ = J ( η ) ν η ˙ d .
Introduce a virtual velocity vector ν c , and take it as a reference of the vector ν in (11),
ν c = J 1 ( η ) η ˙ d J 1 ( η ) K 1 η ˜ + K 2 0 t η ˜ d τ
where K 1 = d i a g k 11 , k 12 , , k 16 R 6 and K 2 = d i a g k 21 , k 22 , , k 26 R 6 are constant diagonal matrixes, and the parameters k 1 i , k 2 i i = 1 , , 6 need to be engineered to satisfy k 1 i 2 4 k 2 i 0 .
According to the previous description, we can define the velocity tracking errors as
ν ˜ = ν ν c .
Therefore, we can design the proportional-integral sliding mode (PISM) manifold as follows:
s ν = 0 t ν ˜ d τ + K 3 ν ˜
where K 3 = d i a g k 31 , k 32 , , k 36 R 6 is constant diagonal matrix with parameters k 3 i i = 1 , , 6 need be designed.

3.1. RBF Neural Network

Introduce RBF neural network to approximate the lumped uncertainty f in (7), and it has an expression as follows
f = f N N s ν , H , W , c , b W Φ H s ν Φ H s ν = e x p H s ν c T H s ν c 2 b T b R k
where Φ · is kernel function of RBFNN, and c R k and b R k are the center and wide parameters, k is the number of the hidden layer nodes. H R k × 6 and W R 6 × k are the weighted matrix of input-hidden layer and hidden-output layer, respectively. Furthermore, think of s ν as the input to the entire neural network.
f * = f N N * s ν , H * , W * , c * , b * W * Φ * H * s ν + ε f ^ = f ^ N N s ν , H ^ , W ^ , c ^ , b ^ W ^ Φ ^ H ^ s ν
where f * and f ^ are the optimal value and estimated value of f , respectively. Correspondingly, H * , W * , c * , b * and H ^ , W ^ , c ^ , b ^ are the optimal parameters and estimated parameters of f , and ε is the estimation error.
Define error variables, Φ ˜ = Φ * Φ ^ , H ˜ = H * H ^ , W ˜ = W * W ^ , c ˜ = c * c ^ , b ˜ = b * b ^ . Furthermore, Φ ˜ has the following expression [26]
Φ ˜ = Φ H · H ˜ s ν + Φ c · c ˜ + Φ b · b ˜ + O n
where O n denotes the lumped of high-order term, and
Φ H = Φ ˜ 1 H s ν T Φ ˜ 2 H s ν T Φ ˜ k H s ν T T H s ν = H ^ s ν R k × k Φ c = Φ ˜ 1 c T Φ ˜ 2 c T Φ ˜ k c T T c = c ^ R k × k Φ b = Φ ˜ 1 b T Φ ˜ 2 b T Φ ˜ k b T T b = b ^ R k × k
Integrated with (17) and (18), it yields the following:
f ˜ = f * f ^ = W * Φ * + ε W ^ Φ ^ = W * Φ H H ˜ s ν + Φ c c ˜ + Φ b b ˜ + O n + Φ ^ W ^ Φ ^ + ε = W * Φ H H ˜ s ν + Φ c c ˜ + Φ b b ˜ + O n + W ˜ Φ ^ + ε = W ^ Φ H H ˜ s ν + W ^ Φ c c ˜ + W ^ Φ b b ˜ + W ˜ Φ ^ + Γ
where Γ = W ˜ Φ H H ˜ s ν + W ˜ Φ c c ˜ + W ˜ Φ b b ˜ + W * O n + ε . It can assume that there exists a constant β such that Γ β . β ^ denotes the estimated value of β , and it will be obtained by adaptive technology in next subsection. Define the error β ˜ = β β ^ .

3.2. APISM-Fault Tolerant Controller

The controller of APISM-FTC scheme is designed as follows
τ u = τ 1 + τ 2 + τ 3 + τ 4
where
τ 1 = M ¯ ν ˙ c + C ¯ ( ν ) ν + D ¯ ( ν ) ν + g ¯ ( η )
τ 2 = M ¯ K 3 1 ν ˜
τ 3 = s ν T K 3 M ¯ 1 T s ν T K 3 M ¯ 1 β ^
τ 4 = f ^ .
The parameters related to AUV will be updated according to the following rules
W ^ ˙ = α 1 s ν T K 3 M ¯ 1 Φ ^ T H ^ ˙ = α 2 s ν T K 3 M ¯ 1 W ^ Φ N s ν T c ^ ˙ = α 3 s ν T K 3 M ¯ 1 W ^ Φ c T b ^ ˙ = α 4 s ν T K 3 M ¯ 1 W ^ Φ b T .
The adaptive parameter β ^ is updated as follows:
β ^ ˙ = α 5 s ν T K 3 M ¯ 1 .
where α i i = 1 , , 5 are positive constant.
Figure 2 shows the system block diagram of AUV under APISM-FTC method.

3.3. Stability Analysis

In this subsection, the Lyapunov analysis method is used to prove the stability of the control system.
Theorem 1.
The AUV control system composed of (1) and (7), under the control of the designed APISM-FTC method (20)–(24), the parameters of RBFNN and the adaptive parameter are updated by (25) and (26), respectively, the velocity tracking errors ν ˜ can guarantee local finite-time convergence to zero, and then it can ensure the position tracking errors η ˜ locally converge to zero exponentially.
Proof of Theorem 1.
We define the Lyapunov function below
V = 1 2 s ν T s ν + V 1 V 1 = 1 2 α 1 t r W ˜ W ˜ T + 1 2 α 2 t r H ˜ H ˜ T + 1 2 α 3 c ˜ T c ˜ + 1 2 α 4 b ˜ T b ˜ + 1 2 α 5 β ˜ T β ˜ .
We substitute (14) into (27), then perform the derivative operation, it yields that
V ˙ = s ν T s ˙ ν + V ˙ 1 = s ν T ν ˜ + K 3 ν ˜ ˙ + V ˙ 1 .
Take the derivative of (13), then substitute (7) and (20) into it we obtain
ν ˜ ˙ = ν ˙ ν ˙ c = M ¯ 1 τ u + f C ¯ ( ν ) ν D ¯ ( ν ) ν g ¯ ( η ) ν ˙ c = M ¯ 1 τ 2 + τ 3 + τ 4 + f = K 3 1 ν ˜ + M ¯ 1 τ 3 f ^ + f .
Then combine (28) and (29), it yields
V ˙ = s ν T K 3 M ¯ 1 τ 3 f ^ + f + V ˙ 1 = s ν T K 3 M ¯ 1 τ 3 + s ν T K 3 M ¯ 1 f ˜ + V ˙ 1 = Ξ τ 3 + Ξ f ˜ + V ˙ 1 .
where Ξ = s ν T K 3 M ¯ 1 .
We analyze Ξ τ 3 and Ξ f ˜ separately. It is clear from the prior introduction that s ν T R 6 , K 3 R 6 × 6 , M ¯ 1 R 6 × 6 , therefore Ξ R 6 . In the same way it can know that τ 3 R 6 and f ˜ R 6 , the fact that the terms Ξ τ 3 and Ξ f ˜ are scalars is obvious.
Combine properties of scalars and trace of matrixes, it can be deduced that
Ξ τ 3 = t r Ξ τ 3 = t r τ 3 Ξ Ξ f ˜ = t r Ξ f ˜ = t r f ˜ Ξ .
According to the properties of the trace of the matrix, substitute (19) into (31) we can obtain
t r Ξ f ˜ = t r Ξ W ^ Φ H H ˜ s ν + t r Ξ W ^ Φ c c ˜ + t r Ξ W ^ Φ b b ˜ + t r Ξ W ˜ Φ ^ + t r Ξ Γ
As for the error variables defined earlier, we can obtain W ˜ ˙ T = W ^ ˙ T , H ˜ ˙ T = H ^ ˙ T , c ˜ ˙ = c ^ ˙ , b ˜ ˙ = b ^ ˙ , β ˜ ˙ = β ^ ˙ by analysis. It can also be known by analysis that c ˜ T c ^ ˙ = c ^ ˙ T c ˜ , b ˜ T b ^ ˙ = b ^ ˙ T b ˜ , β ˜ T β ^ ˙ = β ^ ˙ T β ˜ .
We then take the derivative of V 1 in (27), it yields
V ˙ 1 = 1 α 1 t r W ˜ W ˜ ˙ T + 1 α 2 t r H ˜ H ˜ ˙ T + 1 α 3 c ˜ T c ˜ ˙ + 1 α 4 b ˜ T b ˜ ˙ + 1 α 5 β ˜ T β ˜ ˙ = 1 α 1 t r W ˜ W ^ ˙ T 1 α 2 t r H ˜ H ^ ˙ T 1 α 3 c ^ ˙ T c ˜ 1 α 4 b ^ ˙ T b ˜ 1 α 5 β ^ ˙ T β ˜
Integrate (30) and (33), it yields
V ˙ = Ξ τ 3 + t r Ξ W ^ Φ H H ˜ s ν + t r Ξ W ^ Φ c c ˜ + t r Ξ W ^ Φ b b ˜ + t r Ξ W ˜ Φ ^ + t r Ξ Γ 1 α 1 t r W ˜ W ^ ˙ T 1 α 2 t r H ˜ H ^ ˙ T 1 α 3 c ^ ˙ T c ˜ 1 α 4 b ^ ˙ T b ˜ 1 α 5 β ^ ˙ T β ˜ = Ξ τ 3 + t r Ξ W ˜ Φ ^ 1 α 1 W ˜ W ^ ˙ T + t r Ξ W ^ Φ H H ˜ s ν 1 α 2 H ˜ H ^ ˙ T + t r Ξ W ^ Φ c c ˜ 1 α 3 c ^ ˙ T c ˜ + t r Ξ W ^ Φ b b ˜ 1 α 4 b ^ ˙ T b ˜ 1 α 5 β ^ ˙ T β ˜ + Ξ Γ = Ξ τ 3 + t r W ˜ Ξ Φ ^ 1 α 1 W ^ ˙ T + t r H ˜ Ξ W ^ Φ H s ν 1 α 2 H ^ ˙ T + Ξ W ^ Φ c 1 α 3 c ^ ˙ T c ˜ + Ξ W ^ Φ b 1 α 4 b ^ ˙ T b ˜ 1 α 5 β ^ ˙ T β ˜ + Ξ Γ .
Substitute (25) and (26) into (34), it evolves that
V ˙ = Ξ β ^ Ξ β ˜ + Ξ Γ = Ξ Γ Ξ β ^ + β ˜ = Ξ Γ Ξ β Ξ Γ Ξ β = Ξ Γ β = s ν T K 3 M ¯ 1 Γ β = Ψ s ν T
where Ψ = Γ β K 3 M ¯ 1 < 0 .
After observation, it can be found that as long as s ν T 0 is satisfied, V ˙ < 0 must be satisfied. Because V ˙ is non-positive, this shows that V is bounded, therefore it can be deduced that the boundedness of s ν can also be satisfied. Furthermore, since V and s ν are both bounded, it can know that Ψ is also bounded. As a result, the velocity tracking errors ν ˜ are limitary, and the fact that ν ˜ is bounded shows that s ν are as well. Invoking the inequality lim t lim t V 0 V t V 0 < , since the norm function is uniformly continuous, it follows from Barbalat’s Lemma that lim t s ν = 0 , i.e., the asymptotical convergence of the proportional-integral sliding variable vector s ν to zero is guaranteed [11].
From [12], ν ˜ is not an attractor in the reaching phase. Therefore, the reachability of the PISM surface s ν = 0 in the finite time is still guaranteed. It can be proved that ν ˜ will also converge to zero in finite time, and suppose the convergence time is t c .
When t t c , the velocity tracking errors ν ˜ = 0 , i.e., ν = ν c .
Substitute (12) into (11), this obtains
η ˜ ˙ + K 1 η ˜ + K 2 0 t η ˜ d τ = 0 .
Namely,
η ˜ ˙ i + k 1 i η ˜ i + k 2 i 0 t η ˜ i d τ = 0 , i = 1 , , 6 .
In the light of [12], if the parameters satisfy k 1 i 2 4 k 2 i 0 i = 1 , , 6 , it can guarantee η ˜ i i = 1 , , 6 exponential converge to zero.
Therefore, the position tracking errors η ˜ converge to zero exponentially after t c .
This completes the proof. □

4. Simulation Results

In this section, it mainly uses numerical simulation experiments to illustrate the effectiveness of the proposed method APISM-FTC. The simulated object is the Omni-Directional Intelligent Navigator (ODIN) AUV, which is a near-spherical AUV equipped with eight identical thrusters. The thrusters set configuration is shown in Figure 3. Assume that the maximum thrust that each thruster can provide is 150 N, i.e., u m a x = 150 N [34].
Here, the presence of bias faults is not taken into account. From (10), the thrust vector of each thruster can be obtained as
u = E 1 · B T B B T 1 · τ u
where u R 8 , E R 8 × 8 , B R 6 × 8 . Furthermore, B T B B T 1 is the pseudo-inverse matrix of B , and B is given as
B = a a a a 0 0 0 0 a a a a 0 0 0 0 0 0 0 0 1 1 1 1 0 0 0 0 L a L a L a L a 0 0 0 0 L a L a L a L a L z L z L z L z 0 0 0 0
where a = s i n π / 4 , L = 0.381 m denotes the distance between the center of the vehicle to the vertical thruster, while L z = 0.508 m means the radial distance between the vehicle to the horizontal thruster.
Relevant model parameters of ODIN AUV are given as (40)–(43) [11],
M ¯ = m ¯ + 2 π ρ 1 r 0 3 / 3 0 0 0 m ¯ z d 0 0 m ¯ + 2 π ρ 1 r 0 3 / 3 0 m ¯ z d 0 0 0 0 m ¯ + 2 π ρ 1 r 0 3 / 3 0 0 0 0 m ¯ z d 0 I x 0 0 m ¯ z d 0 0 0 I y 0 0 0 0 0 0 I z
C ¯ ν = 0 0 0 m ¯ z d r 2 m ¯ w 2 m ¯ v 0 0 0 2 m ¯ w m ¯ z d r 2 m ¯ u 0 0 0 2 m ¯ v m ¯ z d p 2 m ¯ u m ¯ z d q 0 m ¯ z d r 2 m ¯ w 2 m ¯ v + m ¯ z d p 0 I r I q 2 m ¯ w m ¯ z d r 2 m ¯ u + m ¯ z d q I r 0 I p 2 m ¯ v 2 m ¯ u 0 I q I p 0
D ¯ ν = d t 1 u + d t 2 0 0 0 0 0 0 d t 1 v + d t 2 0 0 0 0 0 0 d t 1 w + d t 2 0 0 0 0 0 0 d 1 p + d 2 0 0 0 0 0 0 d 1 q + d 2 0 0 0 0 0 0 d 1 r + d 2
g ¯ η = m ¯ g 4 π ρ 1 r 0 3 g / 3 s i n θ m ¯ g 4 π ρ 1 r 0 3 g / 3 c o s θ s i n ϕ m ¯ g 4 π ρ 1 r 0 3 g / 3 c o s θ c o s ϕ z d m ¯ g c o s θ s i n ϕ z d m ¯ g s i n θ 0
where the mass and the radius of ODIN AUV are m ¯ = 125 kg and r 0 = 0.31 m, the distance of the center of gravity and geometric is z d = 0.05 m, the density of water and the average density of the ODIN AUV are ρ 1 = 1000 kg/m 3 and ρ 2 = 965 kg/m 3 , and g = 9.81 m/s 2 . The moments of inertia about the principal axes of are I x = I y = I z = I = 8 π ρ 2 r 0 5 / 15 , the damping factor of translational quadratic and translational linear are d t 1 = 148 N(s/m) 2 and d t 2 = 100 N(s/m) 2 , and the damping factor of angular quadratic and angular linear are d 1 = 280 N·s 2 /m and d 2 = 230 N·s 2 /m.
The desired trajectory in the inertial frame which is given as
η d t = x d t = s i n 0.05 π t m y d t = c o s 0.05 π t m z d t = 1 + 0.05 t m ϕ d t = 0 rad θ d t = a r c t a n 1 / π rad ψ d t = 0.05 π t rad .
Furthermore, the initial states of AUV are set as η 0 = [ 0.5 , 1 , 0.5 , 0.1 , 0.2 , 0.2 ] T and ν 0 = [ 0 , 0 , 0 , 0 , 0 , 0 ] T .
As for the RBFNN, there are 6, 20, and 6 neurons at the input, hidden, and output layers, respectively. Using random initialization, the network’s interconnection weighted matrix is taken value between 0 and 0.1.
The control parameters are set as described in Table 1.
The following will consider the case of thruster faults, which can illustrate the effect of the designed APISM-FTC scheme compared with the no-failure case.

4.1. Thruster T1 and T3 Encounter Abrupt Fault

Under the circumstances of all thrusters being healthy, the thruster efficiency matrix is E = 1 , 1 , 1 , 1 , 1 , 1 , 1 , 1 . Then consider a situation where some thrusters suddenly fail. Assume that when t = 20 s, the thruster T1 and T3 suffer a sudden failure, we reduce their efficiency to only 83 % . At this time, the thrusters effectiveness is expressed as
E = d i a g 1 , 1 , 1 , 1 , 1 , 1 , 1 , 1 t < 20 s d i a g 0.83 , 1 , 0.83 , 1 , 1 , 1 , 1 , 1 t 20 s .
Figure 4 shows the comparison of the effect of driving the AUV to track the desired trajectory under the control of APISM-FTC scheme, under the normal condition of the thruster and the case of the thruster failure. This shows that the designed APISM-FTC method can still control the AUV to track the desired trajectory well when a sudden failure occurs.
Figure 5 and Figure 6 are a comparison of normal and abnormal conditions of position and attitude errors and velocity and angular velocity errors. It can be found that when the thruster suddenly fails, the designed APISM-FTC scheme can make the errors converge in a small area near zero.
The magnitude of the thrust provided by each thruster is shown in Figure 7. It can be observed that when the failure occurs, the thrusters are quickly adjusted in a short period of time, so that the AUV can return to a stable state as soon as possible.

4.2. All Thrusters Effectiveness Loss Falut

It is assumed in the simulation tests in this paragraph that all the thrusters will gradually lose their effectiveness after the time t 20 s. The effectiveness of the thrusters can be classified as
E = d i a g 1 , 1 , 1 , 1 , 1 , 1 , 1 , 1 t < 20 s d i a g 1 , 1 , 1 , 1 , 1 , 1 , 1 , 1 1 t 20 600 t 20 s .
In the case of this description, the efficiency of the AUV’s thrusters is always reduced, and will eventually reach a loss of control. Therefore, in this case, the criterion for measuring the control effect of the designed control method is the length of time that the effective control effect of the position can be achieved before the control is lost.
Figure 8 also shows the 3-D trajectory tracking control effect in the healthy state and the second fault state. It has a good control effect for a long time in the front of the trajectory tracking.
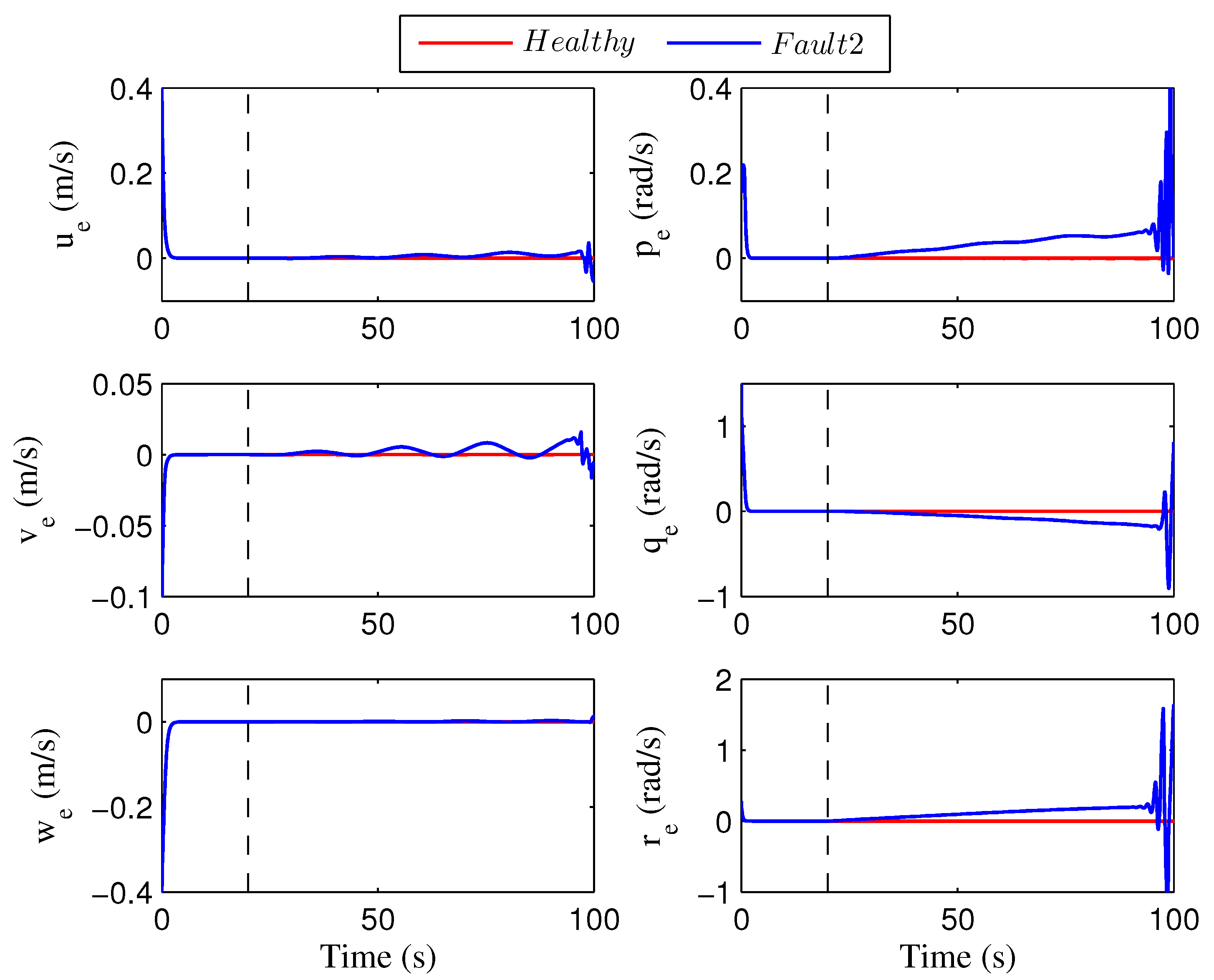
Figure 9 and Figure 10 denote position and attitude errors and velocity and angular velocity errors in two different situations. From these images, it can be seen that the AUV maintains acceptable control effect until about 95 s before large errors begin to appear. Since 95 s, AUV will gradually find it difficult to meet the required control performance, so it is meaningless to discuss after this time, and it will not be discussed here.
Figure 11 also shows the thrust provided by each thruster; from here, the previous statement can also be explained. After 95 s, each thruster needs to change back and forth between positive and negative maximum values, which is very unfavorable for AUV control.

5. Discussion

The research adopted a basic framework based on the model of ODIN AUV. Considering the input saturation and possible failure of AUV thrusters, we proposed APISM-FTC to control the AUV to track the set desired trajectory.
The results obtained in our work showed that the fault tolerant control method designed by us can play a good role in trajectory tracking control. When the first fault occurs, i.e., t 20 s, the efficiencies of thruster T1 and T3 suddenly decrease to 83 % , under the effect of control of APISM-FTC method, the AUV basically recovers to a stable state within 15 s, and after that, the position and attitude errors of the AUV are kept within 0.01, the linear velocity and angular velocity errors are kept within 0.01, and only the yaw angular velocity is slightly larger, which is kept within 0.2. These indicators meet the effect of fault tolerant control.
As for the second failure, all thrusters of the AUV gradually lose their efficiencies at t 20 s. Under the APISM-FTC control method we designed, the position and attitude errors of the AUV remain good within 0.01 until after t 95 s, the linear velocity and angular velocity errors are kept within 0.2 or less before t = 95 s. In this case, the AUV before t = 95 s meets the requirements of fault tolerant control, and after t = 95 s, the control effect of AUV becomes unacceptable.
According to the above discussion, it can be seen that compared with other methods, the proposed APISM-FTC method can well cope with potential propeller failure, while maintaining good control effect. However, there is still some possibility to improve this method. We will conduct further research in the following aspects.
  • In the system model, it is possible to improve the control performance of the system by distinguishing other external disturbances from the aggregation of dynamic uncertainties;
  • The convergence speed of the system can be accelerated by improving the sliding mode structure and combining the fault tolerant control method;
  • This paper only considers the failure of thrusters. It is also a feasible research idea to consider the failure of other parts of the AUV, such as sensors, or other different failure schemes in the subsequent research.

6. Conclusions

In this paper, we designed a novel APISM-FTC method to deal with the dynamic nonlinearity and possible actuator failure in AUV systems. First, we established the system model of the AUV through the inertial coordinate system and its own coordinate system, and considered the saturation characteristics of the thruster and the failure model of the thruster. Then we employed an RBFNN to estimate the unknown dynamic uncertainty of the system, and completed the design of the APISM-FTC controller. On the basis of our designed controller, we constructed an appropriate Lyapunov function, and verified the rationality and correctness of our designed controller through Lyapunov stability analysis. Finally, in the simulation experiment stage, we chose ODIN AUV as the object, and for this we designed two possible thruster failure problems, one is a sudden failure on a certain two thrusters, and the other is all thrusters efficiency decreases over time. All numerical simulations compared the thruster failure condition with the perfectly healthy condition, and we observed that all errors converge to a small area around zero, which again illustrates the superiority of our designed approach.

Author Contributions

Conceptualization, X.W. and J.X.; methodology, X.W. and P.L.; software, X.W. and J.X.; validation, X.W., J.X. and Q.D.; formal analysis, X.W.; investigation, J.X.; resources, X.W. and P.L.; data curation, X.W.; writing—original draft preparation, X.W.; writing—review and editing, J.X.; visualization, P.L. and Q.D.; supervision, X.W.; project administration, J.X.; funding acquisition, J.X. All authors have read and agreed to the published version of the manuscript.

Funding

This work was supported by the National Natural Science Foundation of China Grant No. 5217110503 and the Natural Science Foundation of Shandong Provincial Grant No. ZR202103070036.

Institutional Review Board Statement

Not applicable.

Informed Consent Statement

Not applicable.

Data Availability Statement

There is no dataset associated with the paper.

Conflicts of Interest

The authors declare no conflict of interest.

References

  1. Bechlioulis, C.P.; Karras, G.C.; Heshmati-Alamdari, S.; Kyriakopoulos, K.J. Trajectory tracking with prescribed performance for underactuated underwater vehicles under model uncertainties and external disturbances. IEEE Trans. Control Syst. Technol. 2017, 25, 429–440. [Google Scholar] [CrossRef]
  2. Caharija, W.; Pettersen, K.Y.; Bibuli, M.; Calado, P.; Zereik, E.; Braga, J.; Gravdahl, J.T.; Sørensen, A.J.; Milovanović, M.; Bruzzone, G. Integral line-of-sight guidance and control of underactuated marine vehicles: Theory, simulations, and experiments. IEEE Trans. Control Syst. Technol. 2016, 24, 1623–1642. [Google Scholar] [CrossRef]
  3. Vu, M.T.; Le Thanh, H.N.; Huynh, T.T.; Thang, Q.; Duc, T.; Hoang, Q.D.; Le, T.H. Station-Keeping Control of a Hovering Over-Actuated Autonomous Underwater Vehicle Under Ocean Current Effects and Model Uncertainties in Horizontal Plane. IEEE Access 2021, 9, 6855. [Google Scholar] [CrossRef]
  4. Thanh, H.L.; Vu, M.T.; Mung, N.X.; Nguyen, N.P.; Phuong, N.T. Perturbation Observer-Based Robust Control Using a Multiple Sliding Surfaces for Nonlinear Systems with Influences of Matched and Unmatched Uncertainties. Mathematics 2020, 8, 1371. [Google Scholar] [CrossRef]
  5. Alattas, K.A.; Mobayen, S.; Din, S.U.; Asad, J.H.; Fekih, A.; Assawinchaichote, W.; Vu, M.T. Design of a Non-Singular Adaptive Integral-Type Finite Time Tracking Control for Nonlinear Systems With External Disturbances. IEEE Access 2021, 9, 102091. [Google Scholar] [CrossRef]
  6. Alattas, K.A.; Vu, M.T.; Mofid, O.; El-Sousy, F.F.; Alanazi, A.K.; Awrejcewicz, J.; Mobayen, S. Adaptive Nonsingular Terminal Sliding Mode Control for Performance Improvement of Perturbed Nonlinear Systems. Mathematics 2022, 10, 1064. [Google Scholar] [CrossRef]
  7. Dearden, R.; Ernits, J. Automated Fault Diagnosis for an autonomous underwater vehicle. IEEE J. Ocean. Eng. 2013, 38, 484–499. [Google Scholar] [CrossRef]
  8. Hamilton, K.; Lane, D.M.; Brown, K.E.; Evans, J.; Taylor, N.K. An integrated diagnostic architecture for autonomous underwater vehicles. J. Field Robot. 2007, 24, 497–526. [Google Scholar] [CrossRef]
  9. Yang, X.; Yan, J.; Hua, C.; Guan, X. Trajectory tracking control of autonomous underwater vehicle with unknown parameters and external disturbances. IEEE Trans. Syst. Man Cybern. Syst. 2019, 51, 1054–1063. [Google Scholar] [CrossRef]
  10. Qiao, L.; Zhang, W. Trajectory tracking control of auvs via adaptive fast nonsingular integral terminal sliding mode control. IEEE Trans. Ind. Inform. 2020, 16, 1248–1258. [Google Scholar] [CrossRef]
  11. Qiao, L.; Zhang, W. Double-loop integral terminal sliding mode tracking control for uuvs with adaptive dynamic compensation of uncertainties and disturbances. IEEE J. Ocean. Eng. 2019, 44, 29–53. [Google Scholar] [CrossRef]
  12. Qiao, L.; Zhang, W. Adaptive non-singular integral terminal sliding mode tracking control for autonomous underwater vehicles. IET Control. Theory Appl. 2017, 11, 1293–1306. [Google Scholar] [CrossRef]
  13. Vu, M.T.; Le, T.H.; Thanh, H.L.; Huynh, T.T.; Van, M.; Hoang, Q.D.; Do, T.D. Robust Position Control of an Over-actuated Underwater Vehicle under Model Uncertainties and Ocean Current Effects Using Dynamic Sliding Mode Surface and Optimal Allocation Control. Sensors 2021, 21, 747. [Google Scholar] [CrossRef] [PubMed]
  14. Xie, T.; Li, Y.; Jiang, Y.; An, L.; Wu, H. Backstepping active disturbance rejection control for trajectory tracking of underactuated autonomous underwater vehicles with position error constraint. INT J. Adv. Robot. Syst. 2020, 17, 1729881420909633. [Google Scholar] [CrossRef]
  15. Zhang, W.; Tang, J.; Gong, P.; Yan, Z. Lyapunov-based model predictive control trajectory tracking for an autonomous underwater vehicle with external disturbances. Ocean Eng. 2021, 232, 109010. [Google Scholar]
  16. Chen, L.; Cui, R.; Yang, C.; Yan, W. Adaptive neural network control of underactuated surface vessels with guaranteed transient performance: Theory and experimental results. IEEE Trans. Ind. Electron. 2019, 67, 4024–4035. [Google Scholar] [CrossRef]
  17. Liang, X.; Qu, X.; Wang, N.; Zhang, R.; Li, Y. Three-dimensional trajectory tracking of an underactuated AUV based on fuzzy dynamic surface control. IET Intell. Transp. Syst. 2020, 14, 364–370. [Google Scholar] [CrossRef]
  18. Yadegar, M.; Afshar, A.; Meskin, N. Fault-tolerant control of nonlinear systems based on adaptive virtual actuator. IET Intell. Transp. Syst. 2017, 11, 1371–1379. [Google Scholar]
  19. Che, G.F. Single critic network based fault-tolerant tracking control for underactuated AUV with actuator fault. Ocean Eng. 2022, 254, 111380. [Google Scholar] [CrossRef]
  20. Wang, X. Active fault tolerant control for unmanned underwater vehicle with sensor faults. IEEE Trans. Instrum. Meas. 2020, 69, 9485–9495. [Google Scholar] [CrossRef]
  21. Baldini, A.; Felicetti, R.; Freddi, A.; Longhi, S.; Fasano, A. Fault detection, diagnosis and fault tolerant output control for a remotely operated vehicle. In Proceedings of the IEEE/ASME International Conference on Mechatronic and Embedded Systems and Applications (MESA), Oulu, Finland, 2–4 July 2018; p. 18060889. [Google Scholar]
  22. Si, Y.; Wang, Y.; Zhou, D. Key-performance-indicator-related process monitoring based on improved kernel partial least squares. IEEE Trans. Ind. Electron. 2020, 68, 2626–2636. [Google Scholar] [CrossRef]
  23. Ma, X.; Si, Y.; Yuan, Z.; Qin, Y.; Wang, Y. Multistep dynamic slow feature analysis for industrial process monitoring. IEEE Trans. Instrum. Meas. 2020, 69, 9535–9548. [Google Scholar] [CrossRef]
  24. Liu, X.; Zhang, M.; Yao, F. Adaptive fault tolerant control and thruster fault reconstruction for autonomous underwater vehicle. Ocean Eng. 2020, 155, 10–23. [Google Scholar] [CrossRef]
  25. Liu, X.; Zhang, M.; Wang, Y.J.; Rogers, E. Design and Experimental Validation of an Adaptive Sliding Mode Observer-Based Fault-Tolerant Control for Underwater Vehicles. IEEE Trans. Control Syst. Technol. 2019, 27, 2655–2662. [Google Scholar] [CrossRef]
  26. Wang, Y.; Zhang, M.; Wilson, P.A.; Liu, X. Adaptive neural network-based backstepping fault tolerant control for underwater vehicles with thruster fault. Ocean Eng. 2015, 110, 15–24. [Google Scholar] [CrossRef]
  27. Chu, Z.Z.; Zhang, M.J. Fault reconstruction of thruster for autonomous underwater vehicle based on terminal sliding mode observer. Ocean Eng. 2014, 88, 426–434. [Google Scholar] [CrossRef]
  28. Bagheri, A.; Karimi, T.; Amanifard, N. Tracking performance control of a cable communicated underwater vehicle using adaptive neural network controllers. Appl. Soft Comput. 2010, 10, 908–918. [Google Scholar] [CrossRef]
  29. Baldini, A.; Fasano, A.; Felicetti, R.; Freddi, A.; Longhi, S.; Monteriù, A. A model-based active fault tolerant control scheme for a remotely operated vehicle. IFAC-PapersOnLine 2018, 51, 798–805. [Google Scholar] [CrossRef]
  30. Zhang, J.X.; Yang, G.H. Fault-tolerant fixed-time trajectory tracking control of autonomous surface vessels with specified accuracy. IEEE Trans. Ind. Electron. 2020, 67, 4889–4899. [Google Scholar] [CrossRef]
  31. Vu, M.T.; Van, M.; Bui, D.H.; Do, Q.T.; Huynh, T.T.; Lee, S.D.; Choi, H.S. Study on Dynamic Behavior of Unmanned Surface Vehicle-Linked Unmanned Underwater Vehicle System for Underwater Exploration. Sensors 2020, 20, 1329. [Google Scholar] [CrossRef]
  32. Shen, Z.P.; Wang, Y.; Yu, H.M.; Guo, C. Finite-time adaptive tracking control of marine vehicles with complex unknowns and input saturation. Ocean Eng. 2020, 198, 106980. [Google Scholar] [CrossRef]
  33. Ning, W.A.; Xp, B.; Sfs, C. Finite-time fault-tolerant trajectory tracking control of an autonomous surface vehicle. J. Frankl. Inst. 2020, 357, 11114–11135. [Google Scholar]
  34. Sarkar, N.; Podder, T.K.; Antonelli, G. Fault-accommodating thruster force allocation of an AUV considering thruster redundancy and saturation. IEEE Trans. Robot. 2002, 18, 223–233. [Google Scholar] [CrossRef]
Figure 1. System coordinates of AUV.
Figure 1. System coordinates of AUV.
Jmse 10 01614 g001
Figure 2. System block diagram of AUV under APISM-FTC method.
Figure 2. System block diagram of AUV under APISM-FTC method.
Jmse 10 01614 g002
Figure 3. The thruster configuration of ODIN AUV.
Figure 3. The thruster configuration of ODIN AUV.
Jmse 10 01614 g003
Figure 4. The 3-D trajectory tracking results with fault 1.
Figure 4. The 3-D trajectory tracking results with fault 1.
Jmse 10 01614 g004
Figure 5. The position and attitude errors with fault 1.
Figure 5. The position and attitude errors with fault 1.
Jmse 10 01614 g005
Figure 6. The velocity and angular velocity errors with fault 1.
Figure 6. The velocity and angular velocity errors with fault 1.
Jmse 10 01614 g006
Figure 7. Outputs of thrusters with fault 1 under APISM-FTC scheme.
Figure 7. Outputs of thrusters with fault 1 under APISM-FTC scheme.
Jmse 10 01614 g007
Figure 8. The 3-D trajectory tracking results with fault 2.
Figure 8. The 3-D trajectory tracking results with fault 2.
Jmse 10 01614 g008
Figure 9. The position and attitude errors with fault 2.
Figure 9. The position and attitude errors with fault 2.
Jmse 10 01614 g009
Figure 10. The velocity and angular velocity errors with fault 2.
Figure 10. The velocity and angular velocity errors with fault 2.
Jmse 10 01614 g010
Figure 11. Outputs of thrusters with fault 2 under APISM-FTC scheme.
Figure 11. Outputs of thrusters with fault 2 under APISM-FTC scheme.
Jmse 10 01614 g011
Table 1. The control parameters of APISM-FTC scheme.
Table 1. The control parameters of APISM-FTC scheme.
α 1 α 2 α 3 α 4 α 5
110.50.50.001
K 1 K 2 K 3
d i a g 1 , 1 , 1 , 3 , 3 , 3 d i a g 0.01 , 0.01 , 0.01 , 0.5 , 0.5 , 0.5 d i a g 0.5 , 0.5 , 0.5 , 0.25 , 0.25 , 0.25
Publisher’s Note: MDPI stays neutral with regard to jurisdictional claims in published maps and institutional affiliations.

Share and Cite

MDPI and ACS Style

Xu, J.; Wang, X.; Liu, P.; Duan, Q. Adaptive Proportional-Integral Sliding Mode-Based Fault Tolerant Control for Autonomous Underwater Vehicles with Thrusters Saturation and Potential Failure. J. Mar. Sci. Eng. 2022, 10, 1614. https://doi.org/10.3390/jmse10111614

AMA Style

Xu J, Wang X, Liu P, Duan Q. Adaptive Proportional-Integral Sliding Mode-Based Fault Tolerant Control for Autonomous Underwater Vehicles with Thrusters Saturation and Potential Failure. Journal of Marine Science and Engineering. 2022; 10(11):1614. https://doi.org/10.3390/jmse10111614

Chicago/Turabian Style

Xu, Jian, Xing Wang, Ping Liu, and Qiaoyu Duan. 2022. "Adaptive Proportional-Integral Sliding Mode-Based Fault Tolerant Control for Autonomous Underwater Vehicles with Thrusters Saturation and Potential Failure" Journal of Marine Science and Engineering 10, no. 11: 1614. https://doi.org/10.3390/jmse10111614

APA Style

Xu, J., Wang, X., Liu, P., & Duan, Q. (2022). Adaptive Proportional-Integral Sliding Mode-Based Fault Tolerant Control for Autonomous Underwater Vehicles with Thrusters Saturation and Potential Failure. Journal of Marine Science and Engineering, 10(11), 1614. https://doi.org/10.3390/jmse10111614

Note that from the first issue of 2016, this journal uses article numbers instead of page numbers. See further details here.

Article Metrics

Back to TopTop