Cross-Effect Between Cover Crops and Glyphosate-Based Herbicide Application on Microbiote Communities in Field Crops Soils
Abstract
1. Introduction
2. Materials and Method
2.1. Experimental Design
2.1.1. Soil Sampling
2.1.2. Soil Physicochemical Analyses
2.1.3. DNA Extraction
2.1.4. Metagenomic Analyses
2.1.5. Bioinformatics Analyses
2.1.6. Statistical Analyses
3. Results
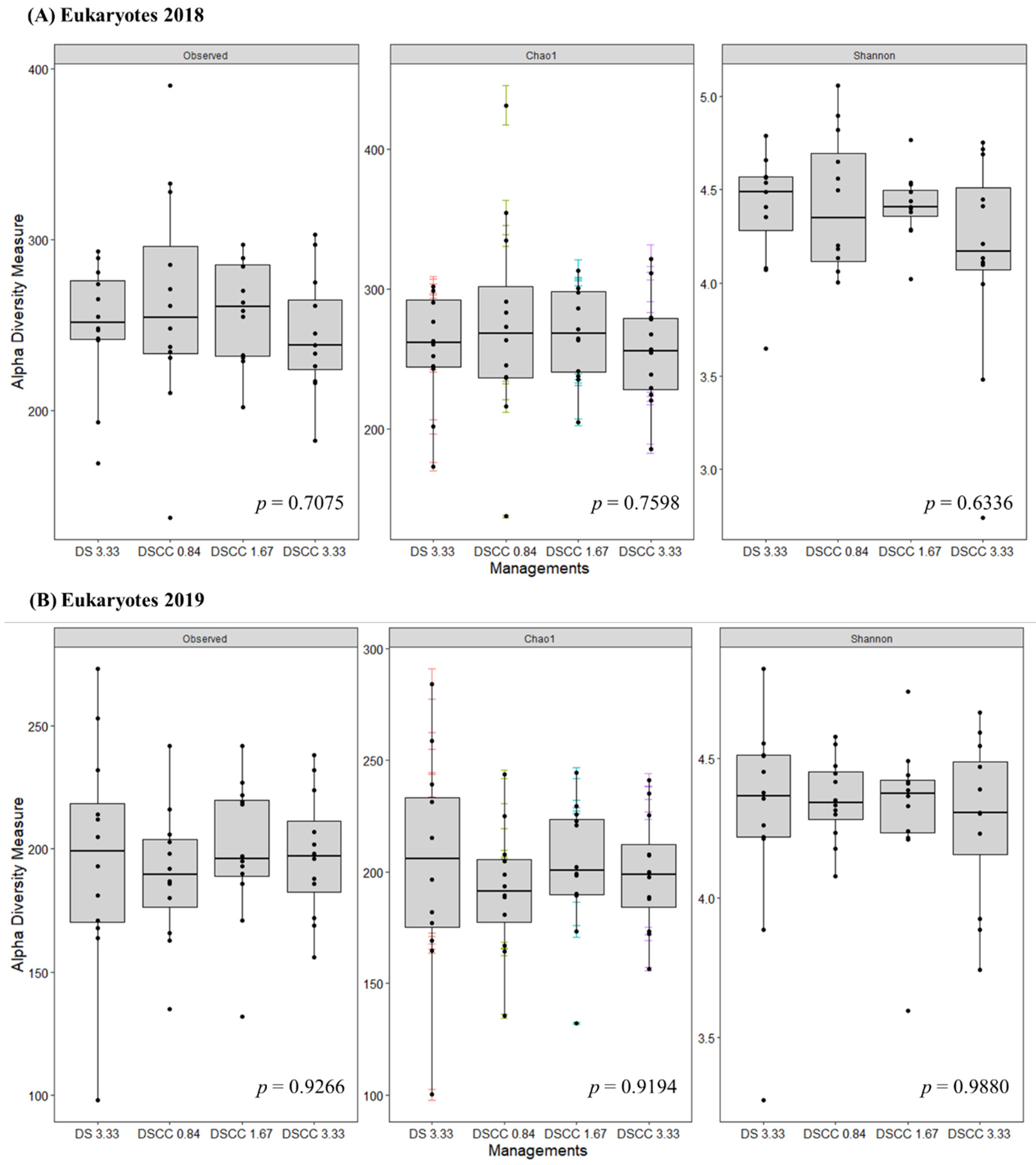
3.1. Soil Organisms Content Index Values
3.2. Microbiota Composition
3.3. Abundance of Taxonomic Group
3.4. Elementary Content in Soil
4. Discussion
4.1. No Significant Difference in Richness and Evenness Along with Crop Managements
4.2. Influence of Crop Type on Prokaryotic and Eukaryotic Composition
4.2.1. Procaryotes
4.2.2. Eukaryotes
4.3. The Cross-Effect Between CC and GBH Application Rates on Soil Microbiota Content
5. Conclusions
Author Contributions
Funding
Institutional Review Board Statement
Data Availability Statement
Acknowledgments
Conflicts of Interest
References
- FAO. ITPS Status of the World’s Soil Ressources; Food and Agricultue Organization of the United Nations: Rome, Italy, 2015; pp. 1–94. [Google Scholar]
- Ferreira, C.S.S.; Seifollahi-Aghmiuni, S.; Destouni, G.; Ghajarnia, N.; Kalantari, Z. Soil degradation in the EuropeanMediterranean region: Processes, status and consequences. Sci. Total Environ. 2022, 805, 150106. [Google Scholar] [CrossRef] [PubMed]
- Mason, E.; Bispo, A.; Helming, K.; Carrasco, V.; Verdonk, L.; Francis, N.; Matt, M.; Rodriguez, E.; Rafiul Hashar, M.; Prokop, G.; et al. Sustainable soil and land management: A systems-oriented overview of scientific literature. Front. Soil Sci. 2023, 3, 1268037. [Google Scholar] [CrossRef]
- Strudley, M.W.; Green, T.R.; Ascough II, J.C. Tillage effects on soil hydraulic properties in space and time: State of the science. Soil Tillage Res. 2008, 99, 4–48. [Google Scholar] [CrossRef]
- Vanwalleghem, T.; Gomez, J.A.; Infante Amate, J.; Gonzalez de Molina, M.; Vanderlinden, K.; Guzman, G.; Laguna, A.; Giráldez, J.V. Impact of historical land use and soil management change on soil erosion and agricultural sustainability during the Anthropocene. Anthropocene 2017, 17, 13–29. [Google Scholar] [CrossRef]
- Yu, Z.; Lu, C.; Hennessy, D.A.; Feng, H.; Tian, H. Impacts of tillage practices on soil carbon stocks in the US corn-soybean cropping system during 1998 to 2016. Environ. Res. Lett. 2020, 15, 014008. [Google Scholar] [CrossRef]
- Kassam, A.; Friedrich, T.; Derpsch, R. Global spread of Conservation Agriculture. Int. J. Environ. Stud. 2019, 76, 29–51. [Google Scholar] [CrossRef]
- Kassam, A.; Friedrich, T.; Derpsch, R. Successful experiences and lessons from conservation agriculture worldwide. Agronomy 2022, 12, 769. [Google Scholar] [CrossRef]
- Scopel, E.; Triomphe, B.; Affholder, F.; Macena Da Silva, F.A.; Corbeels, M.; Valadares Xavier, J.H.; Lahmar, R.; Recous, S.; Bernoux, M.; Blanchart, E.; et al. Conservation agriculture cropping systems in temperate and tropical conditions, performances and impacts. A review. Agron. Sustain. Dev. 2013, 33, 113–130. [Google Scholar] [CrossRef]
- Derpsch, R.; Friedrich, T.; Kassam, A.; Hongwen, L. Current status of adoption of no-till farming in the world and some of its main benefits. Int. J. Agric. Biol. Eng. 2010, 3, 1–25. [Google Scholar]
- Triplett, G.B.; Dick, W.A. No-tillage crop production: A revolution in agriculture! Agron. J. 2008, 100, 153–166. [Google Scholar] [CrossRef]
- de Moura, M.S.; Silva, B.M.; Motaa, P.K.; Borghi, E.; de Resende, A.V.; Acuna-Guzman, S.F.; Araújo, G.S.S.; de Castro Moreira da Silva, L.; de Oliveira, G.C.; Curi, N. Soil management and diverse crop rotation can mitigate early-stage no-till compaction and improve least limiting water range in a Ferralsol. Agric. Water Manag. 2021, 243, 106523. [Google Scholar] [CrossRef]
- Lauber, C.L.; Strickland, M.S.; Bradford, M.A.; Fierer, N. The influence of soil properties on the structure of bacterial and fungal communities across land-use types. Soil Biol. Biochem. 2008, 40, 2407–2415. [Google Scholar] [CrossRef]
- Lehmann, A.; Zheng, W.; Rillig, M.C. Soil biota contributions to soil aggregation. Nat. Ecol. Evol. 2018, 11, 1828–1835. [Google Scholar] [CrossRef] [PubMed]
- Trivedi, P.; Delgado-Baquerizo, M.; Anderson, I.C.; Singh, B.K. Response of soil properties and microbial communities to agriculture: Implications for primary productivity and soil health indicators. Front. Plant Sci. 2016, 7, 990. [Google Scholar] [CrossRef] [PubMed]
- Habig, J.; Swanepoel, C. Effects of conservation agriculture and fertilization on soil microbial diversity and activity. Environments 2015, 2, 358–384. [Google Scholar] [CrossRef]
- Morugan-Coronado, A.; Perez-Rodríguez, P.; Insolia, E.; Soto-Gomez, D.; David Fernandez-Calvino, D.; Zornoza, R. The impact of crop diversification, tillage and fertilization type on soil total microbial, fungal and bacterial abundance: A worldwide meta-analysis of agricultural sites. Agric. Ecosyst. Environ. 2022, 329, 107867. [Google Scholar] [CrossRef]
- Zak, D.R.; Holmes, W.E.; White, D.C.; Peacock, A.D.; Tilman, D. Plant diversity, soil microbial communities, and ecosystem function: Are there any links? Ecology 2003, 84, 2042–2050. [Google Scholar] [CrossRef]
- Amsili, J.P.; Kaye, J.P. Root traits of cover crops and carbon inputs in an organic grain rotation. Renew. Agric. Food Syst. 2021, 36, 182–191. [Google Scholar] [CrossRef]
- Liu, A.; Ma, B.L.; Bomke, A.A. Effects of cover crops on soil aggregate stability, total organic carbon, and polysaccharides. Soil Sci. Soc. Am. J. 2005, 69, 2041–2048. [Google Scholar] [CrossRef]
- Magdoff, F. Ecological agriculture: Principles, practices, and constraints. Renew. Agric. Food Syst. 2007, 22, 109–117. [Google Scholar] [CrossRef]
- Derpsch, R. No-tillage cultivation and future research needs: Historical review of no-tillage cultivations of crops. JIRCAS Work. Rep. 1998, 1–18. [Google Scholar]
- Duke, S.O.; Lydon, J.; Koskinen, W.C.; Moorman, T.B.; Chaney, R.L.; Hammerschmidt, R. Glyphosate effects on plant mineral nutrition, crop rhizosphere microbiota, and plant disease in glyphosate-resistant crops. J. Agric. Food Chem. 2012, 60, 10375–10397. [Google Scholar] [CrossRef]
- Kremer, R.J.; Means, N.E. Glyphosate and glyphosate-resistant crop interactions with rhizosphere microorganisms. Eur. J. Agron. 2009, 31, 153–161. [Google Scholar] [CrossRef]
- Locke, M.A.; Zablotowicz, R.M.; Reddy, K.N. Integrating soil conservation practices and glyphosate-resistant crops: Impacts on soil. Pest Manag. Sci. 2008, 64, 457–469. [Google Scholar] [CrossRef]
- Gomes, M.P.; Smedbol, E.; Chalifour, A.; Hénault-Ethier, L.; Labrecque, M.; Lepage, L.; Lucotte, M.; Juneau, P. Alteration of plant physiology by glyphosate and its by-product aminomethylphosphonic acid: An overview. J. Exp. Bot. 2014, 65, 4691–4703. [Google Scholar] [CrossRef] [PubMed]
- Mehlich, A. Mehlich 3 soil test extractant: A modification of Mehlich 2 extractant. Commun. Soil Sci. Plant Anal. 1984, 15, 1409–1416. [Google Scholar] [CrossRef]
- Giusti, B.; Hogue, R.; Jeanne, T.; Lucotte, M. Impacts of winter wheat and cover crops on soil microbial diversity in a corn–soybean no-till cropping system in Quebec (Canada). Agrosystems Geosci. Environ. 2023, 6, e20349. [Google Scholar] [CrossRef]
- Jeanne, T.; Parent, S.-E.; Hogue, R. Using a soil bacterial species balance index to estimate potato crop productivity. PLoS ONE 2019, 14, e0214089. [Google Scholar] [CrossRef] [PubMed]
- Bolyen, E.; Rideout, J.R.; Dillon, M.R.; Bokulich, N.A.; Abnet, C.C.; Al-Ghalith, G.A.; Alexander, H.; Alm, E.J.; Arumugam, M.; Asnicar, F.; et al. Reproducible, interactive, scalable and extensible microbiome data science using QIIME 2. Nat. Biotechnol. 2019, 37, 852–857. [Google Scholar] [CrossRef] [PubMed]
- Callahan, B.J.; McMurdie, P.J.; Rosen, M.J.; Han, A.W.; Johnson, A.J.A.; Holmes, S.H. DADA2: High-resolution sample inference from Illumina amplicon data. Nat. Methods 2016, 13, 581–583. [Google Scholar] [CrossRef] [PubMed]
- DeSantis, T.Z.; Hugenholtz, P.; Larsen, N.; Rojas, M.; Brodie, E.L.; Keller, K.; Huber, T.; Dalevi, D.; Hu, P.; Andersen, G.L. Greengenes, a chimera-checked 16S rRNA gene database and workbench compatible with ARB. Appl. Environ. Microbiol. 2006, 72, 5069–5072. [Google Scholar] [CrossRef]
- Guillou, L.; Bachar, D.; Audic, S.; Bass, D.; Berney, C.; Bittner, L.; Boutte, C.; Burgaud, G.; de Vargas, C.; Decelle, J.; et al. The protist ribosomal reference database (PR2): A catalog of unicellular eukaryote small sub-unit rRNA sequences with curated taxonomy. Nucleic Acids Res. 2012, 41, 597–604. [Google Scholar] [CrossRef] [PubMed]
- Quast, C.; Pruesse, E.; Yilmaz, P.; Gerken, J.; Schweer, T.; Yarza, P.; Peplies, J.; Glockner, F.O. The SILVA ribosomal RNA gene database project: Improved data processing and web-based tools. Nucleic Acids Res. 2013, 41, 590–596. [Google Scholar] [CrossRef] [PubMed]
- McMurdie, P.J.; Holmes, S. phyloseq: An R package for reproducible interactive analysis and graphics of microbiome census data. PLoS ONE 2013, 8, e61217. [Google Scholar] [CrossRef] [PubMed]
- Anderson, M.J. A new method for non-parametric multivariate analysis of variance. Austral Ecol. 2001, 26, 32–46. [Google Scholar]
- Andersen, K.S.; Kirkegaard, R.H.; Karst, S.M.; Albertsen, M. ampvis2: An R package to analyse and visualise 16S rRNA amplicon data. bioRxiv 2018, 299537. [Google Scholar] [CrossRef]
- Hanh Le, L.T.; Kotula, L.; Siddique, K.H.M.; Colmer, T.D. Na+ and/or Cl- toxicities determine salt sensitivity in soybean (Glycine max (L.) Merr.), mungbean (Vigna radiata (L.) R. Wilczek), cowpea (Vigna unguiculata (L.)Walp.), and common bean (Phaseolus vulgaris L.). Int. J. Mol. Sci. 2021, 22, 1909. [Google Scholar] [CrossRef] [PubMed]
- Kim, N.; Zabaloy, M.C.; Guanc, K.; Villamil, M.B. Do cover crops benefit soil microbiome? A meta-analysis of current research. Soil Biol. Biochem. 2020, 142, 107701. [Google Scholar] [CrossRef]
- Schmidt, R.; Gravuer, K.; Bossange, A.V.; Mitchell, J.; Scow, K. Long-term use of cover crops and no-till shift soil microbial community life strategies in agricultural soil. PLoS ONE 2018, 13, e0192953. [Google Scholar] [CrossRef]
- Kelly, C.; Fonte, S.J.; Shrestha, A.; Daane, K.M.; Mitchell, J.P. Winter cover crops and no-till promote soil macrofauna communities in irrigated, Mediterranean cropland in California, USA. Appl. Soil Ecol. 2021, 166, 104068. [Google Scholar] [CrossRef]
- Benitez, M.-S.; Ewinga, P.M.; Osborne, S.L.; Lehman, R.M. Rhizosphere microbial communities explain positive effects of diverse crop rotations on maize and soybean performance. Soil Biol. Biochem. 2021, 159, 108309. [Google Scholar] [CrossRef]
- Khmelevtsova, L.E.; Sazykin, I.S.; Azhogina, T.N.; Sazykina, M.A. Influence of agricultural practices on bacterial community of cultivated Soils. Agriculture 2022, 12, 371. [Google Scholar] [CrossRef]
- Matus-Acuna, V.; Caballero-Flores, G.; Martinez-Romero, E. The influence of maize on the rhizosphere eukaryotic community. FEMS Microbiol. Ecol. 2021, 97, fiab06. [Google Scholar] [CrossRef] [PubMed]
- Su, P.; Lou, J.; Brookes, P.C.; Luo, Y.; He, Y.; Xu, J. Taxon-specific responses of soil microbial communities to different soil priming effects induced by addition of plant residues and their biochars. J. Soils Sediments 2017, 17, 674–684. [Google Scholar] [CrossRef]
- Säle, V.; Aguilera, P.; Laczko, E.; Mäder, P.; Berner, A.; Zihlmann, U.; van der Heijden, M.G.A.; Oehl, F. Impact of conservation tillage and organic farming on the diversity of arbuscular mycorrhizal fungi. Soil Biol. Biochem. 2015, 84, 38–52. [Google Scholar] [CrossRef]
- Duan, F.; Peng, P.; Yang, K.; Shu, Y.; Wang, J. Straw return of maize and soybean enhances soil biological nitrogen fixation by altering the N-cycling microbial community. Appl. Soil Ecol. 2023, 192, 105094. [Google Scholar] [CrossRef]
- Vasiljevic, M.; Šeremesic, S.; Miljakovic, D.; Ðordevic, V.; Marinkovic, J.; Vojnov, B.; Acin, V. Winter cover cropping in sustainable production systems: Effects on soybean and synergistic implications for rhizosphere microorganisms. Plants 2024, 13, 3091. [Google Scholar] [CrossRef] [PubMed]
- Masuda, Y.; Yamanaka, H.; Xu, Z.-X.; Shiratori, Y.; Aono, T.; Amachi, S.; Senoo, K.; Itoh, H. Diazotrophic Anaeromyxobacter Isolates from Soils. Appl. Environ. Microbiol. 2020, 86, 1–12. [Google Scholar] [CrossRef] [PubMed]
- Pitombo, L.M.; Do Carmo, J.B.; De Hollander, M.; Rosetto, R.; Lopez, M.V.; Cantarella, H.; Kuramae, E.E. Exploring soil microbial 16S rRNA sequence data to increase carbon yield and nitrogen efficiency of a bioenergy crop. Glob. Change Biol. Bioenergy 2016, 8, 867–879. [Google Scholar] [CrossRef]
- Hou, A.; Fu, H.; Zhang, S.; Liu, L.; Lai, J.; Su, X.; Sun, F. Exploring the distribution and co-occurrence of rpf-like genes and nitrogen-cycling genes in water reservoir sediments. Front. Microbiol. 2024, 15, 1433046. [Google Scholar] [CrossRef] [PubMed]
- Onley, J.R.; Ahsan, S.; Sanford, R.A.; Löffle, F.E. Denitrification by Anaeromyxobacter dehalogenans, a common soil bacterium lacking the nitrite reductase genes nirS and nirK. Appl. Environ. Microbiol. 2018, 84, 1–14. [Google Scholar] [CrossRef] [PubMed]
- Zhang, H.; Shi, Y.; Dong, Y.; Lapen, D.R.; Liu, J.; Chen, W. Subsoiling and conversion to conservation tillage enriched nitrogen cycling bacterial communities in sandy soils under long-term maize monoculture. Soil Tillage Res. 2022, 215, 105197. [Google Scholar] [CrossRef]
- Ouverson, T.; Menalled, F.D.; Boss, D.; Ishaq, S.L.; Eberly, J.; Seipel, T. Soil bacterial community response to cover crops, cover crop termination, and predicted climate conditions in a dryland cropping system. Front. Sustain. Food Syst. 2022, 6, 911199. [Google Scholar] [CrossRef]
- Newman, M.M.; Hoilett, N.; Lorenz, N.; Dick, R.P.; Liles, M.L.; Ramsier, C.; Kloepper, J.W. Glyphosate effects on soil rhizosphere-associated bacterial communities. Sci. Total Environ. 2016, 543, 155–160. [Google Scholar] [CrossRef]
- Wolmarans, K.; Swart, W.J. Influence of glyphosate, other herbicides and genetically modified herbicideresistant crops on soil microbiota: A review. South Afr. J. Plant Soil 2014, 31, 177–186. [Google Scholar] [CrossRef]
- Zobiole, L.H.S.; Kremer, R.J.; de Oliveira, R.S., Jr.; Constantin, J. Glyphosate affects photosynthesis in first and second generation of glyphosate-resistant soybeans. Plant Soil 2010, 336, 251–265. [Google Scholar] [CrossRef]
- Nguyen, D.B.; Rose, M.T.; Rose, T.J.; Morris, S.G.; Lukas van Zwieten, L. Impact of glyphosate on soil microbial biomass and respiration: A meta-analysis. Soil Biol. Biochem. 2016, 92, 50–57. [Google Scholar] [CrossRef]
- Roslycky, E.B. Glyphosate and the response of the soil microbiota. Soil Biol. Biochem. 1982, 14, 87–92. [Google Scholar] [CrossRef]
- Busse, M.D.; Ratcliff, A.W.; Shestak, C.J.; Powers, R.F. Glyphosate toxicity and the effects of long term vegetation control on soil microbial communities. Soil Biol. Biochem. 2001, 33, 1777–1789. [Google Scholar] [CrossRef]
- Hemkemeyer, M.; Schwalb, S.A.; Heinze, S.; Joergensen, R.G.; Wichern, F. Functions of elements in soil microorganisms. Microbiol. Res. 2021, 252, 126832. [Google Scholar] [CrossRef] [PubMed]
- Mertens, M.; Höss, S.; Neumann, G.; Afzal, J.; Reichenbecher, W. Glyphosate, a chelating agent—Relevant for ecological risk assessment? Environ. Sci. Pollut. Res. 2018, 25, 5298–5317. [Google Scholar] [CrossRef]
- Bernier Brillon, J.; Lucotte, M.; Bernier, A.; Fontaine, M.; Moingt, M. Using cover crops as means of controlling weeds and reducing the applied quantity of glyphosate-based herbicide in no-till glyphosate tolerant soybean and corn. Agriculture 2024, 14, 659. [Google Scholar] [CrossRef]
- Evtushenko, L.I. Marmoricola. In Bergey’s Manual of Systematics of Archaea and Bacteria; John Wiley & Sons, Inc.: Hoboken, NJ, USA, 2015; pp. 1–27. [Google Scholar]
- Qiu, C.; Bao, Y.; Petropoulos, E.; Wang, Y.; Zhong, Z.; Jiang, Y.; Ye, X.; Lin, X.; Feng, Y. Organic and inorganic amendments shape bacterial indicator communities that can, in turn, promote Rice Yield. Microorganisms 2022, 10, 482. [Google Scholar] [CrossRef] [PubMed]
- Urzı, C.; Salamone, P.; Schumann, P.; Stackebrandt, E. Marmoricola aurantiacus gen. nov., sp. nov., a coccoid member of the family Nocardioidaceae isolated from a marble statue. Int. J. Syst. Evol. Microbiol. 2000, 50, 529–536. [Google Scholar] [CrossRef] [PubMed]
- Lijuan, Y. Bacterial community changes in response to oil contamination and perennial crop cultivation. Environ. Sci. Pollut. Res. 2018, 25, 14575–14584. [Google Scholar]
- van Bruggen, A.H.C.; Finckh, M.R.; He, M.; Ritsema, C.J.; Harkes, P.; Knuth, D.; Geissen, V. Indirect effects of the herbicide glyphosate on plant, animal and human health through its effects on microbial communities. Front. Environ. Sci. 2021, 9, 763917. [Google Scholar] [CrossRef]
- van Bruggen, A.H.C.; He, M.M.; Shin, K.; Mai, V.; Jeong, K.C.; Finckh, M.R.; Morris, J.G.J. Environmental and health effects of the herbicide glyphosate. Sci. Total Environ. 2018, 616, 255–268. [Google Scholar] [CrossRef]
- Singh, S.K.; Hodda, M.; Ash, G.J. Plant-parasitic nematodes of potential phytosanitary importance, their main hosts and reported yield losses. EPPO Bull. 2013, 43, 334–374. [Google Scholar] [CrossRef]
- Gutiérrez-Gutiérrez, C.; Teixeira Santos, M.; Lurdes Inácio, M.; Eisenback, J.D.; Mota, M. Description of Longidorus bordonensis sp. nov. from Portugal, with systematics and molecular phylogeny of the genus (Nematoda, Longidoridae). Zoosystematics Evol. 2020, 96, 175–193. [Google Scholar] [CrossRef]
- Zabaloy, M.C.; Allegrini, M.; Hernandez Guijarro, K.; Behrends Kraemer, F.; Morrás, H.; Erijman, L. Microbiomes and glyphosate biodegradation in edaphic and aquatic environments: Recent issues and trends. World J. Microbiol. Biotechnol. 2022, 39, 98. [Google Scholar] [CrossRef] [PubMed]
- Kronberg, M.F.; Clavijo, A.; Moya, A.; Rossen, A.; Calvo, D.; Pagano, E.; Munarriz, E. Glyphosate-based herbicides modulate oxidative stress response in the nematode Caenorhabditis elegans. Comp. Biochem. Physiol. 2014, 214, 1–8. [Google Scholar] [CrossRef] [PubMed]
- McQueen, J.P.; Gendron, E.M.S.; Solon, A.J.; Bueno de Mesquita, C.P.; Hufft, R.A.; Shackelford, N.; Suding, K.N.; Schmidt, S.K.; Porazinska, D.L. Glyphosate-based restoration of a degraded grassland threatens soil health and the diversity of nematode communities. Soil Biol. Biochem. 2024, 191, 109350. [Google Scholar] [CrossRef]
- Anwar, S.A.; Zia, A.; Javed, N.; Shakeel, Q. Weeds as reservoir of nematodes. Pak. J. Nematol. 2009, 27, 145–153. [Google Scholar]
- Gowda, M.T.; Sellaperumal, C.; Rai, A.B.; Singh, B. Root knot nematodes menace in vegetable crops and their management in India: A Review. Veg. Sci. 2019, 46, 1–16. [Google Scholar] [CrossRef]
- Klingen, I.; Hajek, A.; Meadow, R.; Renwick, J. Effect of brassicaceous plants on the survival and infectivity of insect pathogenic fungi. BioControl 2002, 47, 411–425. [Google Scholar] [CrossRef]
- Klingen, I.; Haukelan, S. The Soil as a Reservoir for Natural Enemies of Pest Insects and Mites with Emphasis on Fungi and Nematodes: An Ecological and Societal Approach to Biological Control; Springer: Berlin/Heidelberg, Germany, 2006; pp. 145–211. [Google Scholar]
- Thomas, P.R. Crop and weed plants compared as hosts of viruliferous Longidorus elongatus (de Man). Plant Pathol. 1969, 18, 23–28. [Google Scholar] [CrossRef]
- Sánchez-García, M.; Martin Ryberg, M.; Kalsoom Khan, F.; Varga, T.; Nagy, L.G.; Hibbett, D.S. Fruiting body form, not nutritional mode, is the major driver of diversification in mushroom-forming fungi. Proc. Natl. Acad. Sci. USA 2020, 117, 32528–32534. [Google Scholar] [CrossRef] [PubMed]
- Takemoto, S.; Nakamura, H.; Erwin; Imamura, Y.; Shimane, T. Schizophyllum commune as a ubiquitous plant parasite. Jpn. Agric. Res. Q. JARQ 2010, 44, 357–364. [Google Scholar] [CrossRef]
- Druille, M.; Omacini, M.; Golluscio, R.A.; Cabello, M.N. Arbuscular mycorrhizal fungi are directly and indirectly affected by glyphosate application. Appl. Soil Ecol. 2013, 72, 143–149. [Google Scholar] [CrossRef]
- Wilkes, T.I.; Warner, D.J.; Davies, K.G.; Edmonds-Brown, V. Tillage, glyphosate and beneficial arbuscular mycorrhizal fungi: Optimising crop management for plant–fungal symbiosis. Agriculture 2020, 10, 520. [Google Scholar] [CrossRef]
- Bongiorno, V.A.; Rhoden, S.A.; Adriana Garcia, A.; Polonio, J.C.; Azevedo, J.L.; Pereira, J.O.; Pamphile, J.A. Genetic diversity of endophytic fungi from Coffea arabica cv. IAPAR-59 in organic crops. Ann. Microbiol. 2016, 66, 855–865. [Google Scholar] [CrossRef]
- Duke, S.O. Glyphosate: Environmental fate and impact. Weed Sci. 2020, 68, 201–207. [Google Scholar] [CrossRef]
- Schlatter, D.C.; Yin, C.; Hulbert, S.; Burke, I.; Paulitz, T. Impacts of repeated glyphosate use on wheat-associated bacteria are small and depend on glyphosate use history. Appl. Environ. Microbiol. 2016, 83, 22. [Google Scholar] [CrossRef] [PubMed]
- Mbuthia, L.W.; Acosta-Martínez, V.; DeBryun, J.; Schaeffer, S.; Tyler, D.; Odoi, E.; Mpheshea, M.; Walker, F.; Eash, N. Long term tillage, cover crop, and fertilization effects on microbial community structure, activity: Implications for soil quality. Soil Biol. Biochem. 2015, 89, 24–34. [Google Scholar] [CrossRef]
- Chen, Y.; Chen, W.-J.; Huang, Y.; Li, J.; Zhong, J.; Zhang, W.; Zou, Y.; Mishra, S.; Bhatt, P.; Chen, S. Insights into the microbial degradation and resistance mechanisms of glyphosate. Environ. Res. 2022, 215, 114153. [Google Scholar] [CrossRef] [PubMed]
- Spinelli, V.; Ceci, A.; Bosco, C.D.; Gentili, A.; Persiani, A.M. Glyphosate-Eating Fungi: Study on Fungal Saprotrophic Strains’ Ability to Tolerate and Utilise Glyphosate as a Nutritional Source and on the Ability of Purpureocillium lilacinum to Degrade It. Microorganisms 2021, 9, 2179. [Google Scholar] [CrossRef]








| Permanova | Eukaryotes 2018 | Eukaryotes 2019 | ||||||
| Df | F.Model | r2 | p Value | Df | F.Model | r2 | p Value | |
| Crops | 2 | 1.3682 | 0.0577 | 0.016 * | 2 | 1.7259 | 0.0716 | 0.001 * |
| Managements | 3 | 0.9209 | 0.0583 | 0.758 | 3 | 0.8662 | 0.0539 | 0.921 |
| Crops*Managements | 6 | 0.9830 | 0.1244 | 0.539 | 6 | 1.0261 | 0.1277 | 0.333 |
| Permanova | Prokaryotes 2018 | Prokaryotes 2019 | ||||||
| Df | F.Model | r2 | p value | Df | F.Model | r2 | p value | |
| Crops | 2 | 0.8696 | 0.0376 | 0.736 | 2 | 0.8830 | 0.0383 | 0.744 |
| Managements | 3 | 0.8946 | 0.0580 | 0.756 | 3 | 0.8617 | 0.0560 | 0.875 |
| Crops*Managements | 6 | 0.9784 | 0.1268 | 0.537 | 6 | 0.9671 | 0.1257 | 0.583 |
| 2018 | 2019 | |||||||||
| Taxon | DS vs. DSCC | Soybean | Wheat | Corn | DS vs. DSCC | Soybean | Wheat | Corn | ||
| DS vs. DSCC | DS vs. DSCC | DS vs. DSCC | DS vs. DSCC | DS vs. DSCC | DS vs. DSCC | |||||
| Eukaryota | Cephalopoda | F value | na | na | na | na | 6.00 | 4.5 | 4.5 | 0.00 |
| p value | na | na | na | na | 0.0193 * | 0.0408 * | 0.048 * | 1.00 | ||
| Eimeriidae | F value | 0.1412 | 0.8305 | 0.0169 | 0.1525 | 0.0013 | 0.3802 | 0.0951 | 0.9734 | |
| p value | 0.7093 | 0.3682 | 0.8971 | 0.6984 | 0.9718 | 0.5414 | 0.7596 | 0.3304 | ||
| Enoplea | F value | 0.0212 | 0.1509 | 0.177 | 0.081 | 3.2424 | 1.0483 | 0.552 | 1.828 | |
| p value | 0.885 | 0.6999 | 0.6765 | 0.7776 | 0.0801 | 0.3127 | 0.4623 | 0.1848 | ||
| Insecta | F value | na | na | na | na | 3.00 | 0.00 | 0.00 | 9.00 | |
| p value | na | na | na | na | 0.0918 | 1.00 | 1.00 | 0.0049 * | ||
| Malacostraca | F value | 0.3333 | 1.00 | 0.00 | 0.00 | na | na | na | na | |
| p value | 0.5673 | 0.324 | 1.00 | 1.00 | na | na | na | na | ||
| Maxillopoda | F value | 2.6844 | 6.1875 | 0.0015 | 0.0968 | 4.1841 | 0.028 | 1.3172 | 6.5665 | |
| p value | 0.11 | 0.0176 * | 0.9689 | 0.7575 | 0.0482 * | 0.8681 | 0.2587 | 0.0147 | ||
| Pirsonia Clade | F value | 1.3631 | 0.1272 | 0.2687 | 1.3158 | 1.1757 | 1.2491 | 0.4289 | 2.0031 | |
| p value | 0.2507 | 0.7234 | 0.6074 | 0.2589 | 0.2854 | 0.2711 | 0.5167 | 0.1656 | ||
| Reticulomyxidae | F value | 0.3333 | 0.00 | 1.00 | 0.00 | 0.3996 | 1.1989 | 0.00 | 0.00 | |
| p value | 0.5673 | 1.00 | 0.324 | 1.00 | 0.5313 | 0.2808 | 1.00 | 1.00 | ||
| Other Eukaryota | F value | 0.3933 | 0.2379 | 0.299 | 0.0027 | 4.7244 | 0.016 | 12.8407 | 0.0948 | |
| p value | 0.5345 | 0.6287 | 0.5879 | 0.959 | 0.0364 * | 0.9 | 0.001 * | 0.7599 | ||
| Fungi | Agaricomycetes | F value | 0.7723 | 0.5021 | 0.7052 | 0.0007 | 0.8307 | 0.0016 | 0.0016 | 2.4922 |
| p value | 0.3853 | 0.4832 | 0.4066 | 0.9792 | 0.3681 | 0.9687 | 0.9687 | 0.1232 | ||
| Saccharomucetes | F value | 0.3982 | 0.2602 | 0.1327 | 0.8973 | 0.3323 | 1.0044 | 0.00 | 0.00 | |
| p value | 0.532 | 0.6131 | 0.7177 | 0.3498 | 0.5679 | 0.3229 | 0.9947 | 0.9976 | ||
| Sordariomycetes | F value | 0.0282 | 0.7358 | 0.1935 | 0.0161 | 0.0033 | 0.0183 | 0.8453 | 0.4687 | |
| p value | 0.8675 | 0.3967 | 0.6626 | 0.8998 | 0.9545 | 0.8932 | 0.364 | 0.498 | ||
| Other Fungi | F value | 0.279 | 0.5934 | 0.1072 | 0.2228 | 0.0097 | 0.6375 | 0.0292 | 0.6364 | |
| p value | 0.6006 | 0.4461 | 0.7452 | 0.6398 | 0.9223 | 0.4298 | 0.8653 | 0.4303 | ||
| 2018 | 2019 | ||||||||
|---|---|---|---|---|---|---|---|---|---|
| Taxon | DS vs. DSCC | Soybean | Wheat | Corn | DS vs. DSCC | Soybean | Wheat | Corn | |
| DS vs. DSCC | DS vs. DSCC | DS vs. DSCC | DS vs. DSCC | DS vs. DSCC | DS vs. DSCC | ||||
| Aeromicrobium | F value | 0.2345 | 0.093 | 0.3358 | 0.0021 | 0.4448 | 0.0338 | 0.1551 | 0.8932 |
| p value | 0.6311 | 0.7621 | 0.5658 | 0.9638 | 0.5091 | 0.8552 | 0.6961 | 0.3509 | |
| Agromyces | F value | 0.2786 | 1.1231 | 0.1559 | 0.2919 | 0.3765 | 1.1043 | 0.4964 | 1.9856 |
| p value | 0.6008 | 0.2963 | 0.6953 | 0.5923 | 0.5433 | 0.3003 | 0.4856 | 0.1674 | |
| Anaeromyxobacter | F value | 6.5229 | 8.4698 | 0.7623 | 0.4099 | 0.3907 | 0.0342 | 0.7139 | 0.1785 |
| p value | 0.0150 * | 0.0062 * | 0.3884 | 0.5261 | 0.5359 | 0.8544 | 0.4037 | 0.6752 | |
| Arthrobacter | F value | 1.0408 | 2.0036 | 2.8977 | 2.1911 | 0.6268 | 0.9421 | 0.6153 | 0.1473 |
| p value | 0.3144 | 0.1655 | 0.0973 | 0.1475 | 0.4337 | 0.3382 | 0.4379 | 0.7034 | |
| Balneimonas | F value | 0.0039 | 0.5802 | 0.5395 | 0.0067 | 0.806 | 0.5842 | 0.4341 | 0.0174 |
| p value | 0.9503 | 0.4512 | 0.4674 | 0.9354 | 0.3753 | 0.4497 | 0.5142 | 0.8959 | |
| Candidatus Nitrososphaera | F value | 0.625 | 3.5294 | 1.7767 | 3.3941 | 0.5934 | 1.2691 | 0.2494 | 0.085 |
| p value | 0.4344 | 0.0684 | 0.1909 | 0.0737 | 0.4461 | 0.2674 | 0.6206 | 0.7722 | |
| DA101 | F value | 0.2995 | 0.8562 | 0.0998 | 0.0861 | 0.0912 | 0.0021 | 0.6403 | 0.0533 |
| p value | 0.5876 | 0.361 | 0.7539 | 0.7709 | 0.7643 | 0.9634 | 0.4289 | 0.8188 | |
| Gemmata | F value | na | na | na | na | 5.4564 | 2.85 | 1.4945 | 1.2886 |
| p value | na | na | na | na | 0.0252 | 0.1 | 0.2295 | 0.2638 | |
| Hyphomicrobium | F value | 0.1253 | 0.898 | 0.2804 | 1.0634 | 0.8193 | 2.9984 | 0.2897 | 0.4928 |
| p value | 0.7254 | 0.3496 | 0.5997 | 0.3093 | 0.3714 | 0.0919 | 0.5938 | 0.4872 | |
| Iamia | F value | 1.0891 | 1.5793 | 0.7708 | 0.107 | 0.1047 | 0.0365 | 0.0015 | 0.5087 |
| p value | 0.3036 | 0.217 | 0.3858 | 0.7455 | 0.7482 | 0.8496 | 0.9697 | 0.4803 | |
| Kaistobacter | F value | 0.3799 | 0.0067 | 2.1368 | 0.2269 | 2.5859 | 0.0076 | 4.2604 | 0.4021 |
| p value | 0.5415 | 0.935 | 0.1525 | 0.6367 | 0.1166 | 0.9311 | 0.0463 * | 0.53 | |
| Kribbella | F value | 0.2361 | 2.7448 | 3.787 | 0.305 | 2.0322 | 1.0765 | 1.9017 | 0.0028 |
| p value | 0.63 | 0.1063 | 0.0595 | 0.5842 | 0.1626 | 0.3064 | 0.1764 | 0.9584 | |
| Marmoricola | F value | 0.3086 | 0.0689 | 1.5718 | 0.0009 | 2.131 | 2.5889 | 0.1189 | 0.3302 |
| p value | 0.582 | 0.7945 | 0.218 | 0.9769 | 0.153 | 0.1164 | 0.7323 | 0.5691 | |
| Methylibium | F value | 1.4876 | 0.1639 | 4.0987 | 0.243 | 0.677 | 0.0181 | 0.0463 | 1.1569 |
| p value | 0.2305 | 0.6879 | 0.0504 | 0.6251 | 0.416 | 0.8938 | 0.8309 | 0.2893 | |
| Mycobacterium | F value | 0.0019 | 1.4361 | 0.4214 | 0.225 | 0.0215 | 0.0286 | 0.0247 | 0.0584 |
| p value | 0.9657 | 0.2386 | 0.5204 | 0.6381 | 0.8843 | 0.8666 | 0.876 | 0.8103 | |
| Nitrospira | F value | 0.809 | 0.1569 | 0.2015 | 2.2652 | 4.1841 | 0.4003 | 0.5294 | 4.7642 |
| p value | 0.3744 | 0.6944 | 0.6562 | 0.141 | 0.0482 * | 0.5309 | 0.4716 | 0.0357 * | |
| Nocardioides | F value | 0.01 | 1.6356 | 0.871 | 0.2688 | 0.5821 | 0.1636 | 0.792 | 0.0007 |
| p value | 0.9211 | 0.2091 | 0.3569 | 0.6073 | 0.4505 | 0.6882 | 0.3794 | 0.9786 | |
| Pedomicrobium | F value | 0.0077 | 0.0026 | 0.0848 | 0.2438 | 0.6524 | 1.7834 | 0.5823 | 0.4893 |
| p value | 0.9306 | 0.9599 | 0.7726 | 0.6245 | 0.4245 | 0.1901 | 0.4504 | 0.4887 | |
| Pirellula | F value | 0.0129 | 0.0011 | 0.3481 | 0.1816 | 0.01 | 0.088 | 0.2206 | 0.352 |
| p value | 0.9102 | 0.974 | 0.5589 | 0.6725 | 0.921 | 0.7684 | 0.6414 | 0.5567 | |
| Pseudonocardia | F value | 0.0523 | 1.3196 | 0.0251 | 0.83 | 0.2804 | 4.3372 | 1.0254 | 0.0234 |
| p value | 0.824 | 0.2582 | 0.875 | 0.3683 | 0.5997 | 0.0445 * | 0.318 | 0.8794 | |
| Rhodoplanes | F value | 0.345 | 0.1975 | 0.0197 | 0.1872 | 5.8762 | 3.0914 | 1.6575 | 1.3293 |
| p value | 0.5606 | 0.6594 | 0.8892 | 0.6678 | 0.0205 * | 0.0872 | 0.2062 | 0.2565 | |
| Skermanella | F value | 0.0046 | 0.3633 | 0.5194 | 0.0556 | 0.8042 | 0.3513 | 1.9887 | 0.2022 |
| p value | 0.9461 | 0.5505 | 0.4758 | 0.8149 | 0.3758 | 0.5571 | 0.1671 | 0.6557 | |
| Solirubrobacter | F value | 1.4444 | 2.1522 | 0.5978 | 0.0252 | 0.1223 | 0.0963 | 0.4421 | 0.0631 |
| p value | 0.2373 | 0.151 | 0.4445 | 0.8749 | 0.7286 | 0.7581 | 0.5103 | 0.8031 | |
| Steroidobacter | F value | 0.6637 | 0.1424 | 0.0778 | 0.5696 | 0.0761 | 2.5559 | 0.0976 | 3.1121 |
| p value | 0.4206 | 0.7081 | 0.7819 | 0.4553 | 0.7842 | 0.1186 | 0.7565 | 0.0862 | |
| Streptomyces | F value | na | na | na | na | 0.6263 | 0.0301 | 0.3006 | 0.4209 |
| p value | na | na | na | na | 0.4339 | 0.8631 | 0.5869 | 0.5206 | |
| Element (mg * kg−1) | Corn | Soybean | ||||||||
|---|---|---|---|---|---|---|---|---|---|---|
| DS 3.3 | DSCC 3.3 | DSCC 1.67 | DSCC 0.84 | p Value | DS 3.3 | DSCC 3.3 | DSCC 1.67 | DSCC 0.84 | p Value | |
| P | 27.72 ± 14.94 | 10.64 ± 1.32 | 12.96 ± 1.81 | 22.22 ± 7.66 | 0.4636 | 12.30 ± 0.59 | 11.32 ± 1.29 | 13.02 ± 1.77 | 8.58 ± 0.67 | 0.0723 |
| K | 313.17 ± 10.33 | 304.33 ± 12.39 | 327.33 ± 13.45 | 314.83 ± 10.22 | 0.5875 | 333.00 ± 4.45 a | 334.33 ± 3.37 a | 321.33 ± 8.80 ab | 311.67 ± 5.55 b | 0.0424 |
| Ca | 2989.67 ± 65.64 | 2908.33 ± 91.01 | 2896.33 ± 85.88 | 2874.50 ± 35.15 | 0.7017 | 2850.17 ± 151.18 | 3019.83 ± 100.57 | 2673.50 ± 75.01 | 2934.50 ± 49.47 | 0.0789 |
| Mg | 797.33 ± 30.72 | 850.83 ± 18.17 | 814.17 ± 8.89 | 826.50 ± 9.44 | 0.2702 | 717.67 ± 7.47 c | 739.33 ± 33.56 bc | 777.33 ± 11.97 ab | 828.33 ± 7.22 a | 0.0022 |
| AL | 1055.00 ± 11.19 | 1056.83 ± 5.72 | 1050.17 ± 5.87 | 1038.00 ± 8.35 | 0.3735 | 1050.33 ± 7.28 | 1045.83 ± 5.59 | 1066.33 ± 9.23 | 1043.83 ± 12.82 | 0.3192 |
| B | 0.753 ± 0.036 | 0.696 ± 0.010 | 0.765 ± 0.012 | 0.723 ± 0.027 | 0.2008 | 0.685 ± 0.048 b | 0.781 ± 0.029 a | 0.651 ± 0.013 b | 0.716 ± 0.015 ab | 0.0384 |
| Cu | 11.42 ± 0.37 | 11.60 ± 0.47 | 11.28 ± 0.20 | 10.93 ± 0.17 | 0.5445 | 10.75 ± 0.18 | 11.35 ± 0.29 | 11.30 ± 0.20 | 10.75 ± 0.18 | 0.1020 |
| Fe | 216.33 ± 5.35 | 217.83 ± 2.65 | 216.17 ± 4.64 | 233.17 ± 12.14 | 0.2493 | 226.33 ± 7.09 a | 215.67 ± 2.25 ab | 229.33 ± 5.90 a | 204.50 ± 2.58 b | 0.0077 |
| Mn | 24.67 ± 2.02 a | 19.25 ± 1.57 b | 25.93 ± 1.44 a | 19.17 ± 1.40 b | 0.0115 | 17.44 ± 3.85 b | 24.43 ± 2.11 a | 17.27 ± 0.92 b | 26.10 ± 1.40 b | 0.0249 |
| Zn | 2.79 ± 0.30 | 2.66 ± 0.17 | 2.56 ± 0.11 | 2.49 ± 0.06 | 0.6816 | 2.34 ± 0.05 b | 2.30 ± 0.02 b | 2.50 ± 0.05 a | 2.09 ± 0.06 c | 0.0001 |
| Na | 46.02 ± 2.04 | 44.73 ± 1.82 | 43.63 ± 1.56 | 44.58 ± 1.05 | 0.7897 | 41.85 ± 1.17 | 46.70 ± 1.46 | 47.20 ± 1.98 | 47.10 ± 1.59 | 0.0739 |
| Ni | 1.38 ± 0.08 | 1.40 ± 0.05 | 1.40 ± 0.05 | 1.44 ± 0.02 | 0.9138 | 1.57 ± 0.13 a | 1.33 ± 0.04 bc | 1.47 ± 0.03 ab | 1.12 ± 0.05 c | 0.0031 |
| Cd | 0.089 ± 0.004 | 0.091 ± 0.003 | 0.091 ± 0.003 | 0.092 ± 0.002 | 0.8851 | 0.093 ± 0.001 a | 0.090 ± 0.003 a | 0.087 ± 0.002 ab | 0.081 ± 0.002 c | 0.0226 |
| Cr | 0.294 ± 0.005 | 0.293 ± 0.007 | 0.292 ± 0.005 | 0.284 ± 0.010 | 0.7896 | 0.286 ± 0.004 | 0.291 ± 0.006 | 0.281 ± 0.006 | 0.285 ± 0.005 | 0.5929 |
| Co | 0.489 ± 0.042 ab | 0.414 ± 0.027 b | 0.523 ± 0.027 a | 0.399 ± 0.034 b | 0.0441 | 0.406 ± 0.056 | 0.498 ± 0.035 | 0.394 ± 0.023 | 0.488 ± 0.030 | 0.1455 |
| Pb | 3.69 ± 0.24 | 3.69 ± 0.22 | 3.76 ± 0.11 | 3.65 ± 0.17 | 0.9820 | 3.64 ± 0.18 | 3.83 ± 0.21 | 3.70 ± 0.15 | 3.30 ± 0.16 | 0.2201 |
| Element (mg * kg−1) | Wheat | |||||||||
| DS 3.3 | DSCC 3.3 | DSCC 1.67 | DSCC 0.84 | p value | ||||||
| P | 12.84 ± 3.17 | 11.15 ± 1.15 | 12.36 ± 1.04 | 11.77 ± 1.02 | 0.9626 | |||||
| K | 311.88 ± 9.17 | 322.38 ± 6.08 | 340.88 ± 12.86 | 332.00 ± 8.25 | 0.1779 | |||||
| Ca | 2972.25 ± 44.77 | 2931.00 ± 102.28 | 2818.25 ± 71.30 | 2887.75 ± 45.92 | 0.4627 | |||||
| Mg | 814.625 ± 6.47 a | 794.5 ± 8.23 ab | 775.38 ± 8.71 b | 809.88 ± 11.11 a | 0.0163 | |||||
| AL | 1044.13 ± 8.51 | 1049.25 ± 9.42 | 1045.63 ± 9.58 | 1046.13 ± 9.13 | 0.9826 | |||||
| B | 0.72 ± 0.02 | 0.74 ± 0.02 | 0.69 ± 0.03 | 0.67 ± 0.02 | 0.1314 | |||||
| Cu | 11.16 ± 0.30 | 11.24 ± 0.24 | 11.06 ± 0.16 | 11.09 ± 0.23 | 0.9534 | |||||
| Fe | 211.375 ± 2.76 | 222.88 ± 8.23 | 220.13 ± 3.93 | 219.25 ± 5.51 | 0.5023 | |||||
| Mn | 25.79 ± 1.12 a | 25.08 ± 3.60 a | 19.39 ± 1.33 b | 20.6 ± 1.33 b | 0.0020 | |||||
| Zn | 2.48 ± 0.16 | 2.57 ± 0.11 | 2.54 ± 0.09 | 2.47 ± 0.14 | 0.9270 | |||||
| Na | 45.38 ± 1.76 | 44.24 ± 0.94 | 42.03 ± 0.99 | 41.88 ± 1.06 | 0.1478 | |||||
| Ni | 1.25 ± 0.04 b | 1.35 ± 0.06 ab | 1.47 ± 0.06 a | 1.32 ± 0.06 ab | 0.0463 | |||||
| Cd | 0.086 ± 0.008 | 0.088 ± 0.002 | 0.089 ± 0.002 | 0.085 ± 0.004 | 0.6212 | |||||
| Cr | 0.302 ± 0.010 | 0.288 ± 0.008 | 0.281 ± 0.006 | 0.295 ± 0.004 | 0.2485 | |||||
| Co | 0.517 ± 0.026 | 0.486 ± 0.028 | 0.440 ± 0.023 | 0.449 ± 0.022 | 0.1368 | |||||
| Pb | 3.59 ± 0.16 | 4.00 ± 0.22 | 3.73 ± 0.13 | 3.51 ± 0.14 | 0.2050 | |||||
| Element (mg × g−1) | DS vs. DCC | Corn DS vs. DSCC | Soybean DS vs. DSCC | Wheat DS vs. DSCC | ||||
| F Value | p Value | F Value | p Value | F Value | p Value | F Value | p Value | |
| P | 0.0261 | 0.8729 | 1.1465 | 0.2934 | 0.7935 | 0.3806 | 4.9135 | 0.0349 * |
| K | 0.0476 | 0.8288 | 1.6846 | 0.2049 | 0.3530 | 0.5572 | 5.0182 | 0.0332 * |
| Ca | 1.8144 | 0.1888 | 0.5848 | 0.4508 | 0.3518 | 0.5579 | 0.6945 | 0.4117 |
| Mg | 0.1278 | 0.7234 | 0.1517 | 0.6998 | 2.3576 | 0.1359 | 1.6951 | 0.2035 |
| Al | 0.4915 | 0.4891 | 3.3792 | 0.0767 | 0.7900 | 0.3817 | 0.0871 | 0.7701 |
| B | 0.7897 | 0.3817 | 0.6611 | 0.4230 | 0.3544 | 0.5564 | 0.0188 | 0.8918 |
| Cu | 0.0719 | 0.7906 | 1.6083 | 0.2152 | 0.1522 | 0.6994 | 0.1522 | 0.6994 |
| Fe | 0.0288 | 0.8665 | 1.4428 | 0.2397 | 0.1156 | 0.7364 | 1.2717 | 0.2690 |
| Mn | 0.8698 | 0.3590 | 0.4034 | 0.5305 | 0.1443 | 0.7069 | 1.8555 | 0.1840 |
| Zn | 0.0312 | 0.8610 | 0.7200 | 0.4033 | 0.7200 | 0.4033 | 5.4641 | 0.0268 * |
| Na | 0.1060 | 0.7471 | 0.5416 | 0.4679 | 1.7681 | 0.1944 | 1.3674 | 0.2521 |
| Ni | 0.0107 | 0.9183 | 0.5648 | 0.4586 | 0.2285 | 0.6364 | 1.0726 | 0.3092 |
| Cd | 0.2332 | 0.6329 | 0.2467 | 0.6233 | 0.2565 | 0.6165 | 0.0263 | 0.8724 |
| Cr | 1.8885 | 0.1803 | 2.1776 | 0.1512 | 0.2788 | 0.6017 | 2.0939 | 0.1590 |
| Co | 1.0200 | 0.3212 | 0.6982 | 0.4105 | 0.0512 | 0.8226 | 1.3122 | 0.2617 |
| Pb | 0.2854 | 0.5974 | 0.0093 | 0.9240 | 0.3794 | 0.5429 | 2.6538 | 0.1145 |
Disclaimer/Publisher’s Note: The statements, opinions and data contained in all publications are solely those of the individual author(s) and contributor(s) and not of MDPI and/or the editor(s). MDPI and/or the editor(s) disclaim responsibility for any injury to people or property resulting from any ideas, methods, instructions or products referred to in the content. |
© 2025 by the authors. Licensee MDPI, Basel, Switzerland. This article is an open access article distributed under the terms and conditions of the Creative Commons Attribution (CC BY) license (https://creativecommons.org/licenses/by/4.0/).
Share and Cite
Bernier Brillon, J.; Lucotte, M.; Giusti, B.; Tremblay, G.; Moingt, M. Cross-Effect Between Cover Crops and Glyphosate-Based Herbicide Application on Microbiote Communities in Field Crops Soils. Agriculture 2025, 15, 432. https://doi.org/10.3390/agriculture15040432
Bernier Brillon J, Lucotte M, Giusti B, Tremblay G, Moingt M. Cross-Effect Between Cover Crops and Glyphosate-Based Herbicide Application on Microbiote Communities in Field Crops Soils. Agriculture. 2025; 15(4):432. https://doi.org/10.3390/agriculture15040432
Chicago/Turabian StyleBernier Brillon, Jérôme, Marc Lucotte, Blandine Giusti, Gilles Tremblay, and Matthieu Moingt. 2025. "Cross-Effect Between Cover Crops and Glyphosate-Based Herbicide Application on Microbiote Communities in Field Crops Soils" Agriculture 15, no. 4: 432. https://doi.org/10.3390/agriculture15040432
APA StyleBernier Brillon, J., Lucotte, M., Giusti, B., Tremblay, G., & Moingt, M. (2025). Cross-Effect Between Cover Crops and Glyphosate-Based Herbicide Application on Microbiote Communities in Field Crops Soils. Agriculture, 15(4), 432. https://doi.org/10.3390/agriculture15040432

