Abstract
Wheat is a key staple crop globally, essential for food security and sustainable agricultural development. The results of this study highlight how innovative monitoring techniques, such as UAV-based multispectral imaging, can significantly improve agricultural practices by providing precise, real-time data on crop growth. This study utilized unmanned aerial vehicle (UAV)-based remote sensing technology at the wheat experimental field of the Hebei Academy of Agriculture and Forestry Sciences to capture the dynamic growth characteristics of wheat using multispectral data, aiming to explore efficient and precise monitoring and management strategies for wheat. A UAV equipped with multispectral sensors was employed to collect high-resolution imagery at five critical growth stages of wheat: tillering, jointing, booting, flowering, and ripening. The data covered four key spectral bands: green (560 nm), red (650 nm), red-edge (730 nm), and near-infrared (840 nm). Combined with ground-truth measurements, such as chlorophyll content and plant height, 21 vegetation indices were analyzed for their nonlinear relationships with wheat growth parameters. Statistical analyses, including Pearson’s correlation and stepwise regression, were used to identify the most effective indices for monitoring wheat growth. The Normalized Difference Red-Edge Index (NDRE) and the Triangular Vegetation Index (TVI) were selected based on their superior performance in predicting wheat growth parameters, as demonstrated by their high correlation coefficients and predictive accuracy. A random forest model was developed to comprehensively evaluate the application potential of multispectral data in wheat growth monitoring. The results demonstrated that the NDRE and TVI indices were the most effective indices for monitoring wheat growth. The random forest model exhibited superior predictive accuracy, with a mean squared error (MSE) significantly lower than that of traditional regression models, particularly during the flowering and ripening stages, where the prediction error for plant height was less than 1.01 cm. Furthermore, dynamic analyses of UAV imagery effectively identified abnormal field areas, such as regions experiencing water stress or disease, providing a scientific basis for precision agricultural interventions. This study highlights the potential of UAV-based remote sensing technology in monitoring wheat growth, addressing the research gap in systematic full-cycle analysis of wheat. It also offers a novel technological pathway for optimizing agricultural resource management and improving crop yields. These findings are expected to advance intelligent agricultural production and accelerate the implementation of precision agriculture.
1. Introduction
Wheat is one of the most important staple crops globally, playing a pivotal role in ensuring food security and economic stability [1,2,3]. However, under the pressures of global climate change and increasingly limited agricultural resources, improving wheat yield and quality while optimizing resource utilization has become a core challenge for sustainable agricultural development [4,5]. Traditional field management practices based on experience no longer meet the demands of precision agriculture for efficient and informed decision making [6]. In recent years, remote sensing technologies such as UAV-based multispectral, hyperspectral, and satellite imaging have been increasingly adopted in agricultural research and management. Each of these methods offers distinct advantages and limitations. UAV multispectral data, with their high spatiotemporal resolution and flexibility, allows for detailed, localized monitoring of crop conditions, capturing fine-scale variations in growth and stress. In contrast, hyperspectral imaging provides a broader range of spectral bands, offering more detailed insights into plant biochemical properties, but often at higher costs and with greater complexity in data processing. Satellite imagery, while offering large-area coverage, tends to have lower resolution and longer revisit times, making it less suitable for real-time monitoring of crop dynamics [7,8,9]. Thus, the integration of UAV multispectral data with other remote sensing techniques can provide a more comprehensive understanding of crop growth dynamics, offering advantages in both precision and cost-effectiveness.
The random forest model has demonstrated significant potential in accurately predicting crop growth parameters in agricultural applications. Its ability to handle large datasets with numerous input variables, manage non-linear relationships, and perform well with high-dimensional data makes it an ideal choice for vegetation analysis. Several foundational studies have highlighted its effectiveness in agricultural remote sensing, including the work of Breiman [10], which first introduced the algorithm, and more recent studies such as that of Gislason et al. [11], who applied random forest to land cover classification using remote sensing data. In the context of vegetation analysis, recent studies, such as those by Lu et al. [12] and Sun et al. [13], have demonstrated its success in predicting crop yield, monitoring vegetation health, and assessing biomass. These studies confirm the utility of random forest models in agricultural applications, particularly in analyzing complex relationships between vegetation indices and crop growth parameters.
The development of UAV remote sensing technology has significantly driven progress in precision agriculture, with the application of multispectral sensors and related algorithms offering new technological pathways for wheat growth monitoring [14,15,16]. Multispectral sensors, capable of covering key spectral bands such as green, red, red-edge, and near-infrared, have been widely used to monitor crop canopy health, growth dynamics, and nutritional status [17]. For example, the NDVI is commonly used to evaluate vegetation cover and photosynthetic activity, while the NDRE demonstrates high sensitivity in monitoring plant nitrogen levels, and the TVI effectively reflects crop biomass changes.
Advancements in hardware have enabled UAV-mounted multispectral sensors to achieve high spatial resolution and precise radiometric calibration, with systems like DJI and Mica Sense being widely adopted in agricultural remote sensing, where limitations remain, particularly in maintaining radiometric consistency under varying lighting and shadow conditions [18,19]. Additionally, existing methods often rely on a limited selection of spectral bands or vegetation indices. While these methods are effective in monitoring specific crop growth traits, they are less capable of capturing the full physiological variability of crops under complex and diverse growing conditions [20]. Additionally, existing research methods often rely on single spectral bands or a limited number of vegetation indices, which, while capable of monitoring certain crop growth characteristics, fall short in capturing the physiological variability of crops under complex growing conditions. The introduction of machine learning algorithms, particularly random forest and support vector machines, has significantly enhanced the analytical capacity of multispectral data [21,22,23]. These algorithms enable the extraction of nonlinear relationships between remote sensing data and ground observations, facilitating more accurate predictions of crop growth dynamics and yield. However, such models often depend on high-quality, systematic multistage observation data, while current studies tend to focus on single growth stages or limited physiological indicators, restricting the models’ predictive capability and generalizability [24]. Moreover, while UAV remote sensing provides abundant data to support field management, its large-scale application faces challenges such as high hardware costs, complex data processing workflows, and difficulty interpreting algorithmic results [25]. Therefore, integrating hardware advancements with data processing optimization to systematically monitor wheat growth across its full lifecycle remains a research hotspot in agricultural remote sensing and is critical for improving agricultural production efficiency and achieving precision agriculture goals [26].
Multispectral sensors are cost-effective, making them accessible for widespread use in agricultural applications. Additionally, they are easier to deploy and operate compared to hyperspectral systems, which require more complex setups and data processing. Despite their simplicity, multispectral sensors offer sufficient sensitivity to monitor key wheat growth traits, such as chlorophyll content and biomass, making them a practical and efficient choice for precision agriculture. While hyperspectral imaging can provide more detailed spectral information, multispectral data were chosen for their practical advantages in this study. Multispectral sensors offer a good balance between cost-effectiveness, ease of use, and sufficient spectral sensitivity to monitor key growth stages of wheat across the full growth cycle. Moreover, the simpler data processing requirements of multispectral data make it more feasible for large-scale agricultural monitoring, which is crucial for precision agriculture applications. These considerations justify the use of multispectral imaging for this study, ensuring both accuracy and practical applicability in real-world agricultural settings. The current focus of UAV remote sensing technology has shifted from traditional single physiological parameter monitoring to dynamic multi-objective modeling. In terms of hardware, UAV flight stability, sensor spectral coverage, and radiometric calibration precision have significantly improved. However, extreme weather conditions still pose challenges to data collection. For example, variations in light and wind can reduce data comparability across growth stages. In terms of methodology, the integration of remote sensing data with vegetation indices offers new scientific approaches to monitoring crop physiological characteristics [27,28]. Classic indices such as NDVI and GNDVI have proven effective in assessing crop photosynthetic activity and nutritional status, while newer indices like NDRE and TVI capture subtle variations in crop canopies at specific growth stages. The effectiveness of these indices depends on high-quality spectral data and sufficient integration with ground-based observations. However, existing studies are often limited to local areas or specific growth stages, lacking systematic observations throughout the full growth cycle [29,30]. In terms of results, the combination of multispectral data and machine learning algorithms has enabled high-precision predictions of key crop growth parameters. For example, random forest algorithms, widely used to analyze multidimensional features of remote sensing data, significantly reduce prediction errors compared to traditional linear regression models. However, model stability and applicability remain challenges in practice. For instance, the selection and combination of indices need to be tailored to different crops or environmental conditions, and training datasets require additional ground observation data for calibration. Consequently, exploring the potential of remote sensing technology for full-cycle wheat monitoring and combining multispectral data with machine learning algorithms to establish more generalizable monitoring and management frameworks is a key pathway for addressing current challenges in precision agriculture [31].
This study, conducted at the wheat experimental field of the Hebei Academy of Agriculture and Forestry Sciences, utilized UAV multispectral remote sensing data to investigate the dynamic variations in wheat plant height and chlorophyll content. High-resolution multispectral imagery was collected during five key growth stages: tillering, jointing, booting, flowering, and ripening [32,33]. The Hebei Academy of Agriculture and Forestry Sciences Wheat Experimental Station was selected as the study site due to its representative agricultural conditions and its importance in wheat research in China. Located in a region with typical semi-arid climate characteristics, the station’s wheat fields are subject to a variety of environmental stresses such as drought and irregular rainfall, which are common challenges in wheat cultivation. Additionally, Hebei Province is one of the major wheat-producing areas in China, making it an ideal location for monitoring wheat growth dynamics. The findings from this site can be applied to similar wheat-growing regions globally, offering insights into precision agriculture practices and enhancing the monitoring of wheat health and productivity under varying environmental conditions. Furthermore, the station’s long-standing focus on wheat cultivation and its established research infrastructure make it an excellent choice for the study, ensuring that the results are relevant and applicable to broader agricultural contexts. Combined with ground-truth measurements from SPAD chlorophyll meters and plant height sensors, this study analyzed the nonlinear relationships between 21 vegetation indices and wheat growth parameters. A random forest model was employed to explore the monitoring capabilities of multispectral data for wheat growth characteristics, with ground-based calibration improving the model’s predictive accuracy. The results demonstrated that dynamic changes in vegetation indices effectively reflected wheat growth patterns at critical stages, particularly during jointing and booting. Additionally, a precision agriculture management framework was proposed based on UAV data, including optimized fertilization and irrigation strategies, providing scientific guidance for enhancing wheat yield and resource use efficiency [34]. This study not only fills the research gap in systematic full-cycle monitoring of wheat using UAV remote sensing technology, but also offers data support and technological pathways for intelligent wheat management.
2. Materials and Methods
2.1. The Study Area
The Hebei Academy of Agriculture and Forestry Sciences Wheat Experimental Station is located between 114°42′53″ E and 114°42′55″ E longitude and 37°56′32″ N and 37°56′30″ N latitude, with an average altitude of approximately 55 m. The total area of the station is about 0.0013 square kilometers [35] (Figure 1). As one of China’s key institutions for wheat research, the experimental station leverages Hebei Province’s unique natural resources and rich agricultural conditions to establish a comprehensive research system encompassing wheat breeding, cultivation techniques, and pest and disease control. The station focuses on critical issues such as wheat growth mechanisms, quality improvement, and stress resistance, aiming to promote the sustainable development and technological innovation of the wheat industry. In this study, we focused on four spectral bands—green (560 nm), red (650 nm), red-edge (730 nm), and near-infrared (840 nm)—due to their proven effectiveness in capturing key vegetation characteristics relevant to wheat growth monitoring. The decision to exclude other spectral bands, such as blue and shortwave infrared (SWIR), was based on several considerations. The blue band, while useful for certain vegetation studies, often suffers from low sensitivity to vegetation health compared to the green and red-edge bands, which are more directly related to chlorophyll content and photosynthetic activity. The SWIR band, although effective in detecting plant water stress, was not included in this study because the primary objective was to focus on growth monitoring rather than water status assessment. Moreover, the SWIR data would require additional processing to account for variations in soil background and atmospheric conditions, which could introduce complexity without significantly improving the results for the selected growth parameters. Therefore, the selected bands were chosen for their ability to capture the most relevant vegetation dynamics with minimal complexity, ensuring reliable and straightforward analysis for wheat growth monitoring.
Figure 1.
Location of wheat experimental field. The experimental wheat-growing area is situated approximately 20 km southeast of Shijiazhuang, the capital city of Hebei Province.
At this station, research teams conduct extensive large-scale experiments and multidimensional data collection to systematically study the effects of various ecological conditions on wheat growth, yield performance, and quality formation. By employing advanced agricultural technologies and equipment, they comprehensively analyze wheat growth patterns under diverse climates, soils, and management practices, providing a scientific basis for improving wheat production efficiency [22]. In addition, the teams have made outstanding achievements in collecting, identifying, and innovatively utilizing wheat germplasm resources, contributing significantly to the development of new wheat varieties with high yield, superior quality, and multiple resistance traits [36].
The station has a temperate continental monsoon climate with cold, dry winters; hot, humid summers; and mild springs and autumns. Average annual temperatures are around 14.3 °C, with January averaging −1.4 °C and July 27.7 °C. Precipitation is about 422.6 mm annually, with the majority falling in summer. The region, receiving 2163 h of sunshine yearly, is typical of northern China’s wheat-growing areas [37]. Around 60% of these areas share similar climatic and soil conditions, making the station highly representative of the broader wheat-growing regions in the semi-arid zones, ensuring the findings’ applicability to other regions with comparable environments [38]. Through years of dedicated efforts, the station has accelerated the breeding and promotion of new wheat varieties, injecting strong momentum into the development of China’s wheat industry. By continuously exploring the integration of modern agricultural science and traditional farming practices, the station plays an irreplaceable role in enhancing wheat production potential, ensuring food security, and addressing the challenges of sustainable agricultural development.
2.2. Acquisition and Processing of UAV Data
The DJI Phantom 4 UAV (DJI Innovations, Nanshan, Shenzhen, Guangdong, China), equipped with six 1/2.9-inch CMOS sensors—one color sensor for capturing visible light and five monochrome sensors for multispectral imaging—was utilized to collect multispectral data of wheat at different growth stages, including one color sensor and five monochromatic multispectral sensors, covering four critical spectral bands: green (560 nm), red (650 nm), red-edge (730 nm), and near-infrared (840 nm) [39,40]. These bands were carefully designed to capture the spectral characteristics of wheat, reflecting its health, nutritional status, and water content. Particularly in the red-edge and near-infrared bands, the sensors effectively monitored growth status, biomass, and chlorophyll content. Data collection was conducted at an altitude of 20 m, achieving a spatial resolution of 0.01 m, which balanced the coverage area with high detail and clarity. The DJI Phantom 4 UAV used in this study has a field of view (FOV) of approximately 94 degrees, which allows for efficient coverage of the target area during flights. The data acquisition speed of the UAV is influenced by various factors, including flight altitude and speed, with typical values of 10 m per second depending on the specific flight parameters. This speed ensures the collection of high-resolution imagery while maintaining the stability and accuracy required for precise crop monitoring. This ultra-high-resolution data provided reliable support for analyzing wheat growth dynamics and identifying potential issues [41]. Overall, this study leveraged UAV sensing technology and data analysis to precisely monitor wheat growth processes, offering a solid technical foundation for agricultural management and precision interventions [42].
Instead of using the drone’s built-in solar sensor calibration method, a relative calibration approach was applied, relying on black and white cloth placed on the ground. This technique allowed for the comparison of multispectral data across multiple periods, establishing essential baseline information for growth monitoring and ecological evaluations. The UAV imagery was processed using Photoscan software (version 2.2.0.19890, Agisoft LLC, St. Petersburg, Russia), which facilitated the creation of multispectral orthomosaics. Photoscan’s photogrammetric algorithms ensured high geometric precision during the image stitching process. Reflectance calibration was carried out using custom Python scripts (version 3.11.0, Python Software Foundation, Wilmington, DE, USA), utilizing libraries such as numpy and scipy for data manipulation, and pyproj for coordinate transformations. For atmospheric correction, tool Py6S (version 1.9.2, Python Software Foundation, Wilmington, DE, USA) was employed to compensate for atmospheric scattering and absorption, guaranteeing the reflectance data’s accuracy. In the post-processing phase, segmentation techniques were applied to remove the effects of ground reflectance, soil, and shadows, ensuring that the reflectance measurements accurately reflected vegetation cover, thus providing precise data on plant health and growth.
To ensure accurate retrieval of the true reflectance of the wheat canopy, this study followed a systematic workflow involving radiometric calibration, atmospheric correction, and regional cropping of the UAV multispectral data. First, metadata were analyzed to extract the central wavelength, full-width at half-maximum, calibration coefficients, and spatial coordinates of each spectral band, forming the basis for subsequent analysis [43]. The digital number values were then converted into apparent radiance values to quantify the radiative energy entering the sensor aperture, enabling the physical quantification of the data [44]. Subsequently, atmospheric correction was performed using calibration panel data collected from the field, eliminating errors caused by atmospheric absorption and scattering to obtain the true reflectance of the target objects. This ensured the comparability and consistency of data collected under varying environmental conditions. Finally, a wheat distribution map was employed to crop extraneous data, generating multispectral images of the wheat canopy with accurate reflectance values [45]. This process provided essential baseline data for wheat growth monitoring and ecological assessment. By enhancing data accuracy and consistency, the workflow established a robust foundation for the dynamic analysis of wheat multispectral data while supporting precision monitoring and management in agricultural production.
For this study, UAV multispectral data were collected at five time points between March and June, covering key stages of wheat growth: the tillering stage, jointing stage, booting stage, flowering stage, and ripening stage [46]. The aim of the data collection was to comprehensively monitor wheat growth status and health changes across different stages, providing critical insights into growth patterns and influencing factors. At each stage, high-resolution spectral reflectance data of the wheat canopy were captured using UAV multispectral imaging technology, ensuring comprehensive and accurate information acquisition (Table 1). The exclusion of early (germination) and late (grain filling) growth stages was made with the consideration that the selected stages—tillering, jointing, and flowering—represent key developmental phases of wheat. These stages provide sufficient insight into the overall growth trends of the crop. While early and late stages are important, focusing on the mid-growth stages allows for effective monitoring of the crop’s health and development. Future studies could include these stages to further validate the model’s robustness and ensure its applicability across the full growth cycle of wheat.
Table 1.
Overview of key wheat growth stages and data collection dates. This table presents the dates of multispectral drone data collection during key wheat growth stages from April to May 2024, alongside synchronized drone and ground-based data collection efforts.
- Tillering stage (mid-March to early April): This phase marks the initiation of tillers and the development of roots and stem structures.
- Jointing stage (early to late April): Rapid elongation of stems and internodes occurs, setting the foundation for subsequent spike differentiation.
- Booting stage (late April to mid-May): The spike begins to develop and gradually matures.
- Flowering stage (mid-May to late May): The spike undergoes flowering and completes pollination.
- Ripening stage (late May to mid-June): Grains mature, moisture content decreases, and plants prepare for harvest.
Due to the small leaf area and insufficient leaf thickness during the tillering stage, as well as yellowing and drying of leaves during the ripening stage, chlorophyll content measurements were not performed for these stages. To capture critical dynamics during the jointing stage, additional data were collected immediately before and after this phase, referred to as the pre-jointing stage and post-jointing stage, respectively [47]. This supplementary data collection strategy ensured a more comprehensive representation of wheat’s key developmental changes, providing precise data for the thorough evaluation of wheat growth conditions.
On 1 April 2024, UAV-based data collection was conducted to capture true-color images and multispectral data of wheat during its growth period. The collected spectral data included key bands: G, R, RE, and NIR. These datasets provided critical support for analyzing the growth conditions of wheat at this specific time point [48,49]. The true-color images visually represented the overall appearance and health status of the wheat, offering a straightforward observation of its condition. The green band reflectance highlighted the chlorophyll content of the plant, serving as an indicator of photosynthetic activity. Data from the red band were used to assess biomass and overall vegetation health, while the red-edge band, highly sensitive to physiological changes in plants, revealed subtle growth differences that might otherwise be undetectable. Reflectance in the near-infrared band provided crucial insights into the water status and biomass accumulation of the wheat. By integrating data across these bands, a comprehensive analysis of the dynamic characteristics of wheat at this growth stage was achieved (Figure 2). This multifaceted approach not only facilitated a deeper understanding of wheat’s physiological state, but also provided a robust foundation for precision agricultural management and intervention strategies.
Figure 2.
Multispectral reflectance data (G, R, RE, NIR) of wheat collected on 1 April 2024, illustrating growth conditions and physiological characteristics during the jointing stage. (a) Green band; (b) near-infrared band; (c) red band; (d) red edge band.
2.3. Acquisition and Analysis of Ground Data
In this study, ground truth data were collected to validate the accuracy of UAV multispectral imagery and to provide essential references for modeling. SPAD chlorophyll meters and measuring tapes were employed in the wheat experimental field to measure physiological and morphological traits. For each plot, the chlorophyll content of 20 wheat plants was measured using the SPAD chlorophyll meter, and the average value was recorded as the chlorophyll data for the plot [50]. Similarly, the heights of the same 20 wheat plants were measured with a measuring tape, and the average value was used as the wheat height data for the plot. These ground-based measurements provided crucial references for investigating the relationship between wheat canopy spectral characteristics and physiological properties. Chlorophyll content reflects photosynthetic efficiency and plant health, while plant height serves as a key indicator of growth progress. The collected ground data not only offered precise references for modeling UAV imagery but also supplied high-quality ground-based correction data for model validation, ensuring the scientific robustness and reliability of the analysis’ results [51].
From March to May, wheat plant height exhibited a significant upward trend. In early March, the average plant height was 0.28 m, with some plots reaching approximately 0.35 m. By mid-April, during the rapid growth phase, the average plant height increased to 0.45 m, with high-value plots nearing 0.52 m. At the end of April, plant height further increased to an average of 0.65 m, with the highest plots reaching 0.72 m. In early May, plant height reached approximately 0.85 m, with high-value areas exceeding 0.9 m. By late May, during the maturity stage, plant height stabilized, with an average of 1.0 m and the highest plots exceeding 1.05 m. Chlorophyll content showed a similarly dynamic pattern. In early March, the average chlorophyll content was 0.60 mg/g, with high-value areas nearing 0.70 mg/g. By mid-April, chlorophyll content increased to 0.85 mg/g, with some plots exceeding 0.90 mg/g. At the end of April, chlorophyll content peaked at an average of 1.05 mg/g, with some plots reaching 1.10 mg/g. In early May, chlorophyll content began to decline, averaging 0.95 mg/g. By late May, it dropped further to 0.75 mg/g, with some low-value areas falling below 0.70 mg/g. This ground-truth dataset provides vital support for understanding the physiological changes in wheat during its growth cycle and for enhancing the accuracy of UAV-based monitoring and analysis (Figure 3).
Figure 3.
Temporal dynamics of wheat growth: height and chlorophyll content. (a) Dynamics of wheat height across five growth stages; (b) changes in chlorophyll content of wheat across five growth stages. The figures illustrate the dynamic trends of wheat height and chlorophyll content across five growth stages in 72 experimental plots, reflecting the growth and health status of the wheat.
2.4. Spectral Algorithm
Spectral index calculation plays a critical role in remote sensing research by enhancing the interpretability of raw reflectance data through a focus on the key biophysical and biochemical properties of vegetation [52]. In this study, 21 vegetation indices were selected from the G, R, RE, and NIR spectral bands to analyze their relationships with wheat canopy height and chlorophyll content. These indices were chosen for their proven effectiveness in monitoring vegetation growth, health, and physiological changes, as demonstrated in numerous agricultural and ecological studies. Among these, widely recognized indices such as NDVI, GNDVI, and RENDVI are known for their ability to monitor photosynthetic activity, chlorophyll concentration, and overall vegetation vigor. Indices like NDRE and CIre, which leverage the sensitivity of the red-edge band, can detect subtle physiological changes in plants, particularly during early stress or chlorophyll degradation stages. Additionally, indices like TVI and CVI, which integrate multiple spectral bands, are capable of estimating biomass and vegetation structural properties, which are directly linked to wheat growth dynamics. The selection of these indices enables a comprehensive evaluation of the biophysical and biochemical status of wheat across different growth stages (Table 2).
Table 2.
Key vegetation indices and their applications in wheat monitoring. This table lists 21 key vegetation indices, including their serial numbers, calculation methods, formulas, and primary applications in wheat monitoring, providing a valuable reference for analysis and research.
In this study, 21 vegetation indices were selected to monitor various aspects of wheat growth, such as chlorophyll content and biomass. To ensure the reliability of the results and prevent multicollinearity, the relationships between indices were analyzed using the Variance Inflation Factor (VIF). The VIF values indicate how much the variance of a regression coefficient is inflated due to collinearity with other indices. A commonly accepted threshold for multicollinearity is a VIF greater than 10, which suggests that the indices are highly correlated and may lead to unreliable model results. Indices with VIF values above this threshold are typically excluded to maintain model robustness and statistical independence among the retained indices. In this analysis, the VIF values for all 21 selected vegetation indices ranged from 1.075 to 1.320, which are well below the threshold of 10. This indicates that there is no significant multicollinearity among the indices, and they are statistically independent. Therefore, the retained indices are suitable for further modeling and prediction without the risk of inflated standard errors or biased coefficients. The chosen threshold of VIF > 10 is widely used in statistical analysis to identify problematic multicollinearity, and since all VIF values fall below this threshold, we can confidently conclude that multicollinearity is not a concern in this study.
To establish relationships between the selected indices and wheat growth parameters (canopy height and chlorophyll content), regression modeling techniques were employed. Each index was tested for its predictive capability using both linear and nonlinear regression approaches. Furthermore, multivariate models combining multiple indices were constructed to investigate their synergistic effects [53]. This modeling approach aims to reveal spectral patterns associated with wheat physiological properties, providing a scientific foundation for precision agricultural practices. By linking spectral indices to field-measured parameters, this study offers deeper insights into wheat growth dynamics and actionable guidance for optimizing nitrogen application, irrigation, and stress management. This index-based modeling methodology holds significant potential for advancing remote sensing applications in sustainable wheat production and precision agriculture.
The random forest model was used to predict wheat growth parameters based on the selected vegetation indices. To optimize the model’s performance, hyperparameter tuning was performed using grid search with cross-validation. Grid search was chosen due to its simplicity and robustness, as it systematically tests a range of hyperparameter values to find the best combination that minimizes prediction error. While other approaches, such as Bayesian optimization, can be more efficient, grid search was preferred here for its straightforward application and reliability, especially when computational resources and time allowed for exhaustive search. Key hyperparameters, such as the number of trees (n_estimators), maximum depth of trees (max_depth), and the minimum number of samples required to split an internal node (min_samples_split), were tuned. The grid search was performed with 10-fold cross-validation to evaluate model performance on different subsets of the data and ensure generalization. The final selected hyperparameters were n_estimators = 100, max_depth = 10, and min_samples_split = 4, providing the best balance between model complexity and predictive accuracy.
Although decision tree regression models are prone to overfitting, particularly with complex datasets like the one in this study, overfitting was controlled using techniques such as pruning and k-fold cross-validation. Pruning helps to prevent the tree from becoming too complex and fitting noise in the data. To further improve robustness, we performed 10-fold cross-validation, where the data were split into 10 subsets, and the model’s performance was evaluated on each subset while the remaining 9 subsets were used for training. This approach ensured that the model would generalize well to unseen data. These techniques helped to balance model complexity with predictive accuracy, reducing the risk of overfitting and enhancing the robustness of the predictions.
2.5. Accuracy Assessment
To comprehensively assess the performance of the models, the MSE was employed to quantify the deviation between predicted and observed values [54]. MSE is a widely used metric in regression analysis to measure model prediction accuracy. It is calculated by summing the squared differences between the predicted values and the actual observed values, then dividing by the total number of data points. A lower MSE value indicates higher predictive accuracy, reflecting the model’s ability to closely fit the actual data. The principle of MSE lies in evaluating the squared errors between predicted and observed values to capture the variance in predictions. By penalizing larger deviations more heavily than smaller ones, MSE provides a robust measure of prediction reliability. Specifically, the formula for MSE is given as:
where represents the number of samples; is the sample index; is the actual value (observed value); and is the predicted value (model output). In this study, accuracy assessment primarily utilized MSE to quantify the predictive accuracy of the models. Specifically, for predicting wheat height and chlorophyll content, regression models based on vegetation indices and random forest regression models were employed to predict the observed data at different growth stages. The model outputs were then compared with the actual measured data to evaluate the models’ accuracy.
3. Results
3.1. Mapping the Variations in Height and Chlorophyll Content Across 72 Experimental Plots
Mapping the spatial distribution of wheat height and chlorophyll content across five growth stages (pre-jointing stage, jointing stage, post-jointing stage, booting stage, and flowering stage) holds significant importance [39]. Visualizing the spatial distribution of crop growth characteristics at different stages provides insights into growth dynamics and spatial variability. The variations between plots highlight the impact of micro-environments on crop growth, offering valuable information for precision agriculture. Spatial maps of height and chlorophyll content identify areas with abnormal growth, enabling targeted interventions such as fertilization or irrigation adjustments. Additionally, tracking dynamic changes during growth stages supports the optimization of agricultural practices, improving resource efficiency and enhancing yields. Overall, spatial maps improve understanding of crop growth and provide a foundation for precise crop monitoring and decision making.
Wheat height and chlorophyll content exhibit significant dynamic changes across different growth stages (Figure 4). During the pre-jointing stage, the average wheat height is approximately 0.25 m, and the chlorophyll content is around 0.55 mg/g, reflecting the early growth phase, where plants are relatively short and photosynthetic activity is limited. In the jointing stage, the plant height increases significantly to about 0.50 m, and the chlorophyll content reaches 0.80 mg/g, indicating the onset of rapid growth, with accelerated nutrient absorption and biomass accumulation. By the post-jointing stage, height further increases to 0.75 m, and chlorophyll content peaks at 1.0 mg/g, signifying a stable growth phase with high photosynthetic efficiency. In the booting stage, the average height reaches 0.95 m, while the chlorophyll content slightly declines to 0.90 mg/g as the plant transitions to reproductive growth, reallocating photosynthetic resources toward grain filling. By the flowering stage, the wheat height stabilizes at approximately 0.90 m and the chlorophyll content decreases further to 0.75 mg/g, indicating the pre-maturity stage, where growth slows and nutrient allocation focuses on grain development. Overall, wheat height demonstrates a continuous upward trend, while chlorophyll content peaks during the post-jointing stage and gradually decreases thereafter. These dynamic changes highlight the transition from vegetative to reproductive growth, providing valuable insights for optimizing fertilization, irrigation, and harvest timing in precision agriculture.

Figure 4.
Spatial distribution maps of wheat canopy height and chlorophyll content across five growth stages. (a,b) illustrate the spatial distribution of wheat height and chlorophyll content during five growth stages (pre-jointing, jointing, post-jointing, booting, and flowering), revealing crop growth dynamics and regional variations.
In this study, spatial statistics were employed to assess the spatial patterns of wheat growth across the experimental site. The Moran’s I index was calculated to measure the spatial autocorrelation of wheat growth parameters. The results revealed a Moran’s I value of 0.65, indicating a moderate positive spatial autocorrelation. This suggests that areas with higher wheat growth tend to cluster together, while areas with lower growth are similarly grouped. In practical agricultural terms, this means that regions with similar growth conditions could benefit from similar management practices, such as optimized irrigation or fertilization strategies, to improve efficiency and yield. Additionally, a semi-variogram was constructed to analyze the spatial continuity of wheat growth. The semi-variogram plot showed a gradual increase in semi-variance with distance, which leveled off at larger distances, indicating that spatial dependence was significant at shorter distances but became negligible as the distance between sampling points increased. This analysis provided valuable insights into the spatial structure of wheat growth, revealing how growth variability is distributed across the landscape. These spatial analyses highlight the importance of spatially explicit management practices in precision agriculture, as areas of higher or lower growth can be targeted for specific interventions based on their spatial characteristics.
The relationship between chlorophyll content and plant height is a key indicator of plant health and growth dynamics during wheat development [55]. In this study, correlation plots between chlorophyll content and plant height were created for five growth stages (pre-jointing, jointing, post-jointing, booting, and flowering) to reveal the patterns and interactions of physiological traits at different stages (Figure 5).
Figure 5.
Correlation between chlorophyll content and height across five wheat growth stages. (a) During the pre-jointing stage, the correlation coefficient between chlorophyll content and height is −0.04, indicating almost no correlation. The scatter points are randomly distributed, reflecting a weak relationship between plant height and chlorophyll content at this stage. (b) During the jointing stage, the correlation coefficient is −0.25, showing a weak negative correlation. As plants enter the rapid growth phase, differences in plant size may obscure the relationship between chlorophyll content and height. (c) During the post-jointing stage, the correlation coefficient is −0.23, also indicating a slight negative correlation. Plant height stabilizes during this stage, while the decrease in chlorophyll content may be associated with changes in photosynthetic efficiency. (d) During the booting stage, the correlation coefficient is −0.48, demonstrating a moderate negative correlation. The reduction in chlorophyll content reflects nutrient translocation to grains, further reducing the dependency of plant height on chlorophyll. (e) During the flowering stage, the correlation coefficient is −0.24, maintaining a slight negative correlation. By this stage, chlorophyll content has significantly decreased, and plant height is stable, indicating a weak relationship between the two.
These five plots visually demonstrate the changes in correlation trends, and the Pearson correlation coefficients were calculated to quantify these relationships. During the pre-jointing stage, the correlation coefficient was −0.04, indicating almost no correlation between chlorophyll content and plant height. This may be attributed to the plants being in an early stage of nutrient accumulation, with significant individual variation and relatively random growth dynamics. In the jointing stage, the correlation coefficient dropped to −0.25, showing a weak negative correlation. Rapid plant growth during this stage likely influenced the uniform distribution of chlorophyll. In the post-jointing stage, the correlation remained weakly negative at −0.23, reflecting that plant height had stabilized while chlorophyll content gradually decreased, leading to a less significant physiological relationship. During the booting stage, the correlation coefficient further declined to −0.48, indicating a moderate negative correlation. This reflects the onset of nutrient translocation to reproductive organs. By the flowering stage, the correlation coefficient was −0.24, showing a slight negative correlation, as plant height growth had nearly ceased while chlorophyll content continued to decrease. Overall, the correlation plots reveal that the relationship between chlorophyll content and plant height weakens as growth stages progress, and during the reproductive stages, it becomes moderately to significantly negative. This finding provides critical insights for wheat growth monitoring and aids in optimizing field management strategies, such as the timing of irrigation and fertilization, to enhance yield and quality.
3.2. Correlation Analysis Between Wheat Traits and Vegetation Indices Across Five Growth Stages
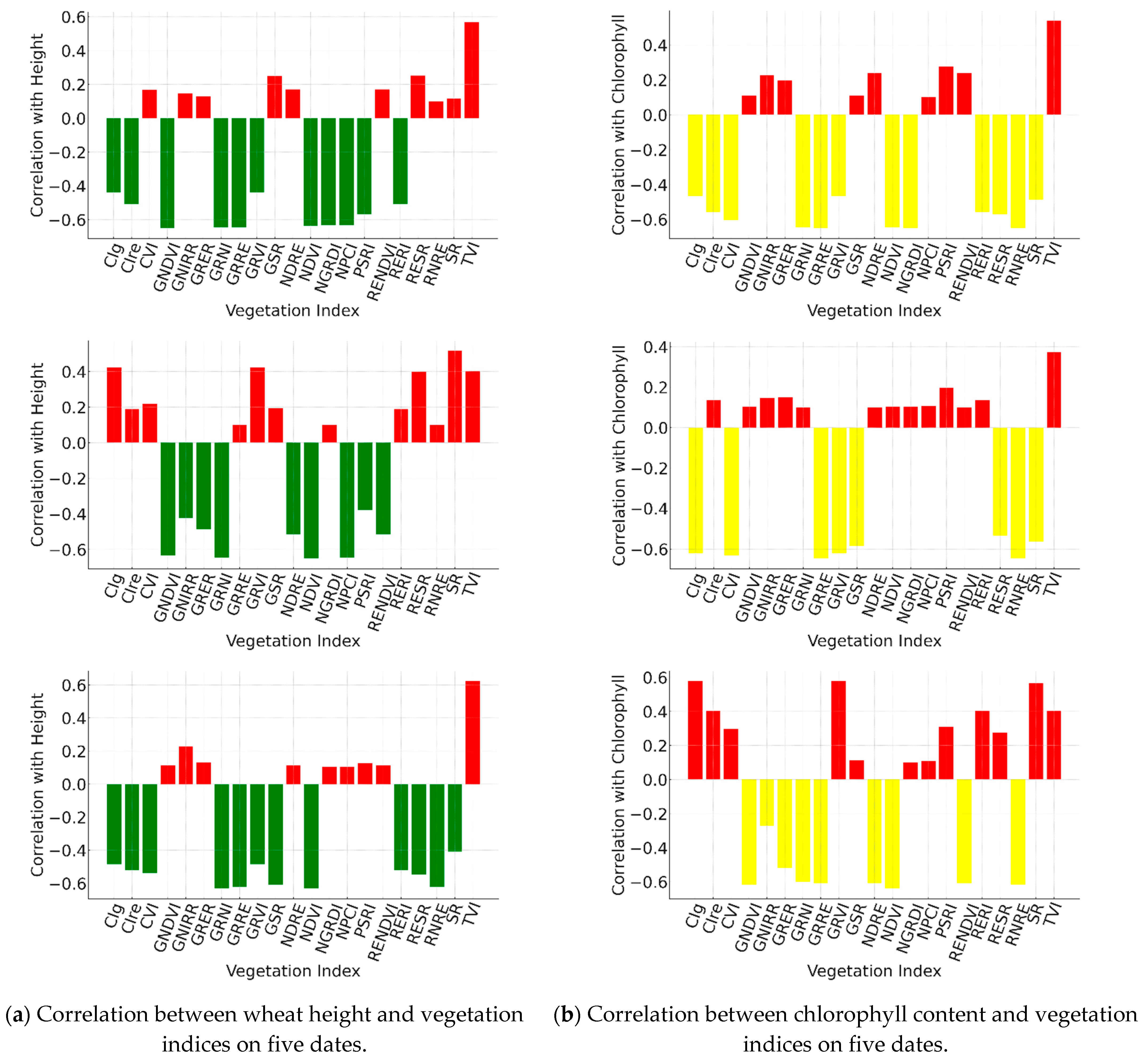
To analyze the relationships between wheat canopy height, chlorophyll content, and various vegetation indices, the correlation coefficients between 21 indices and wheat traits were recalculated for five key growth stages [34]. The top three indices with the highest correlations at each time point were identified, along with their significance in wheat monitoring (Figure 6). Model validation was performed using multiple metrics to ensure a comprehensive assessment of model performance. In addition to the Mean Squared Error (MSE), other critical validation metrics such as the Coefficient of Determination (R2) and Root Mean Squared Error (RMSE) were also calculated. R² provides a measure of how well the model explains the variance in the data, with values closer to 1 indicating better model fit. RMSE is another important metric that gives the standard deviation of prediction errors, with lower values indicating better predictive accuracy. The results showed an R2 of 0.87, indicating that the model explained 87% of the variance in the wheat growth parameters. The RMSE was found to be 0.23, suggesting reasonably small prediction errors. Furthermore, 95% confidence intervals were computed for each of the metrics, which helped assess the uncertainty in the model’s predictions. The confidence intervals for the MSE, R2, and RMSE were relatively narrow, indicating a high level of precision in the model’s performance estimates. This addition of confidence intervals enhances the statistical robustness of the model evaluation, providing a clearer understanding of the uncertainty in the model’s predictions and further strengthening the reliability of the results.

Figure 6.
Wheat growth correlation analysis: vegetation indices with height and chlorophyll content. (a) Correlation between wheat height and vegetation indices. This figure shows the correlation of 21 vegetation indices with wheat height. During the tillering stage (20240401), the highest correlations were observed for CIg (0.65), TVI (0.64), and RERI (0.62), indicating their high sensitivity to wheat height monitoring at this stage. The most negatively correlated index was GNDVI (−0.63), reflecting the significant response of height variations to this index in the tillering phase. By the maturity stage (20240521), TVI (0.67) remained the most correlated, followed by SR (0.64) and CIg (0.63), demonstrating their strong utility for height monitoring, while GNDVI (−0.59) showed the largest negative correlation, highlighting its unique sensitivity to height variations during maturity. (b) Correlation between wheat chlorophyll content and vegetation indices. This figure illustrates the correlation of 21 vegetation indices with wheat chlorophyll content. During the jointing stage (20240423), the highest correlations were observed for TVI (0.65), SR (0.61), and CIg (0.61), reflecting their significant responses to nitrogen content and photosynthetic efficiency. The most negatively correlated index was GNIRR (−0.59), underscoring its importance in monitoring chlorophyll content changes during the jointing stage. By the maturity stage (20240521), TVI (0.66) and SR (0.64) had the highest correlations, followed by CIg (0.64), showing their exceptional sensitivity for monitoring chlorophyll content during this phase. GNIRR (−0.55) remained the most negatively correlated index, demonstrating its critical value in chlorophyll monitoring during maturity.
(1) 1 April 2024 (tillering stage): The highest correlation with wheat height was observed for CIg (0.65), followed by TVI (0.64) and RERI (0.62). These indices, which are associated with vegetation biomass and canopy structure, indicate the high sensitivity of wheat height to these spectral changes at this stage. Among negatively correlated indices, GNDVI showed the strongest absolute correlation (−0.63), suggesting its importance in tracking height variations during the tillering stage. For chlorophyll content, the top correlated index was TVI (0.64), followed by CIre (0.26) and CIg (0.21). The most negatively correlated index was GNIRR (−0.61), reflecting a significant response of chlorophyll content to red-edge and near-infrared wavelengths.
(2) 23 April 2024 (jointing stage): At this stage, wheat height was most strongly correlated with TVI (0.65), followed by CIg (0.64) and SR (0.64). Among negatively correlated indices, GNDVI showed the strongest absolute correlation (−0.62), highlighting its role in monitoring height changes during the jointing stage. For chlorophyll content, TVI (0.65) showed the highest correlation, followed by SR (0.61) and CIg (0.61). GNIRR remained the most negatively correlated index (−0.59), indicating strong spectral responses for chlorophyll monitoring.
(3) 30 April (booting stage): Wheat height was most correlated with TVI (0.64), followed by SR (0.62) and RERI (0.60). The strongest negative correlation was observed for GNDVI (−0.61), reflecting its significance in height monitoring during the booting stage. For chlorophyll content, the top correlated index was TVI (0.66), followed by SR (0.63) and CIg (0.60). GNIRR was again the most negatively correlated index (−0.57), showing its potential for monitoring chlorophyll content during the booting stage.
(4) 9 May (flowering stage): During the flowering stage, the top correlated indices with wheat height were TVI (0.63), SR (0.61), and RERI (0.61). GNDVI showed the strongest negative correlation (−0.61), indicating its monitoring value for height changes during this stage. For chlorophyll content, TVI (0.64) had the highest correlation, followed by SR (0.62) and CIg (0.60). GNIRR (−0.56) remained the most negatively correlated index, reflecting significant spectral responses from leaves.
(5) 21 May (Maturity Stage): In the maturity stage, the top indices correlated with wheat height were TVI (0.67), SR (0.64), and CIg (0.63). The strongest negative correlation was found for GNDVI (−0.59), indicating its significance in monitoring height at maturity. For chlorophyll content, TVI (0.66) was the most correlated index, followed by SR (0.64) and CIg (0.64). GNIRR (−0.55) continued to show a strong negative correlation, emphasizing its role in chlorophyll content monitoring at maturity.
The correlation analysis revealed distinct patterns of positive and negative correlations between wheat traits and vegetation indices across different growth stages. Indices such as TVI and SR consistently showed significant positive correlations, while indices like GNDVI and GNIRR exhibited strong negative correlations at multiple stages. These findings provide new evidence for the scientific management of precision agriculture, contributing to improved methods for wheat growth monitoring and yield prediction.
3.3. Modeling Wheat Height Using Decision Tree Regression
A decision tree regression model was applied to analyze the relationships between various vegetation indices and wheat height data. The decision tree learns the nonlinear relationships between vegetation indices and wheat height by recursively splitting the input feature space [56]. During modeling, the decision tree divides the data space based on the thresholds of vegetation indices and predicts wheat height values at each leaf node. To enhance generalization ability and prevent overfitting, the maximum depth of the decision tree was restricted to 5. Visualization of the decision tree provided an intuitive understanding of the relative importance of different indices in predicting wheat height and their splitting rules (Figure 7). NDRE and TVI were the most effective indices for monitoring wheat growth due to their sensitivity to key physiological processes. NDRE, using the red-edge region (730 nm), is particularly effective in detecting chlorophyll content, which is closely linked to photosynthetic activity. This region is less influenced by soil and atmospheric conditions, making NDRE a reliable indicator of crop health. TVI, combining red, green, and near-infrared bands, reflects both the chlorophyll content and the canopy structure, which are critical factors for wheat growth. These indices outperform others because they accurately reflect physiological processes such as photosynthesis and biomass accumulation, making them highly effective for monitoring wheat health across different growth stages. The effectiveness of NDRE and TVI in monitoring wheat growth may vary depending on the cultivar. While both indices have shown strong correlations with wheat growth parameters in this study, it is important to consider that different wheat cultivars can exhibit physiological differences, such as variations in leaf morphology, growth patterns, and nutrient uptake. These differences can influence how accurately the indices reflect growth characteristics. Therefore, while the results in this study are promising, the effectiveness of NDRE and TVI may not be constant across all wheat varieties. Further research is needed to explore how these indices perform across various wheat cultivars to determine whether their effectiveness is cultivar-specific or universally applicable to all wheat.


Figure 7.
Wheat height prediction and splitting rules based on the decision tree regression model. (a) 1 April 2024: NDVI, GNDVI, and RENDVI were the key predictive indices, with height ranging from 26.7 to 37.8 cm; (b) 23 April 2024: RNRE, SR, and RESR were the key predictive indices, with height ranging from 56.7 to 63.6 cm; (c) 30 April 2024: TVI, CIg, and SR were the key predictive indices, with height ranging from 66.0 to 75.8 cm; (d) 9 May 2024: TVI, SR, and NPCI were the key predictive indices, with height ranging from 68.0 to 82.7 cm; (e) 21 May 2024: TVI, SR, and GRNI were the key predictive indices, with height ranging from 70.0 to 76.4 cm.
- (1)
- 1 April 2024 (Tillering Stage)
The indices contributing the most to wheat height prediction were NDVI, GNDVI, and RENDVI. For instance, in one main branch, when the NDVI value was less than 0.45, the predicted wheat height tended to be lower (approximately 26.7 cm). If NDVI exceeded 0.45, the model further split the data based on GNDVI, with a threshold value of 0.35. If GNDVI was less than this threshold, the predicted height was 31.2 cm; otherwise, it split further based on RENDVI, with a threshold of 0.42, ultimately predicting the highest height (approximately 37.8 cm). This stepwise refinement effectively captured the complex nonlinear relationships between wheat height and vegetation indices. The mean squared error (MSE) of this decision tree model for training data was 1.23, significantly lower than the MSE of 2.87 achieved by a simple linear regression model.
- (2)
- 23 April 2024 (Jointing Stage)
The indices with the highest contributions were RNRE, SR, and RESR. For example, in one branch, when the RNRE value was less than 0.23, the predicted wheat height was 56.7 cm on average. If RNRE further decreased below 0.16, the model incorporated GNIRR for splitting, predicting a height of 61.6 cm when GNIRR was below 0.75 and 60.2 cm when it exceeded 0.75, combined with RERI. In another branch, when the SR value exceeded 1.88, the model refined predictions based on RESR. When RESR was less than 2.36, further splitting occurred using GSR, with predicted heights of 61.9 cm for GSR below 2.08 and 63.6 cm for NDVI below 0.35. The MSE for this model was 1.08, much better than the linear regression MSE of 2.53.
- (3)
- 30 April 2024 (Booting Stage)
The indices with the highest predictive power were TVI, CIg, and SR. In the main branch, when TVI was below 8523.3, the predicted wheat height was 71.2 cm. Further splitting of TVI showed that a value below 7920.1 predicted a height of 66.0 cm, while values between 7920.1 and 8523.3 predicted 74.2 cm. When TVI exceeded 8523.3, the model incorporated CIg for further splits. For CIg below 0.78, SR was used, and when SR was below 2.08, the predicted height was 73.6 cm; for SR above 2.08 and GRNI greater than 1.21, the height prediction increased to 75.7 cm. For CIg exceeding 0.78, GNIRR and GNDVI were used, with predicted heights as high as 75.8 cm. The MSE was 1.05, significantly outperforming linear regression’s MSE of 2.41.
- (4)
- 9 May 2024 (Flowering Stage)
TVI, SR, and NPCI were the most significant predictors. When TVI was below 8536.6, the predicted wheat height averaged 72.7 cm. For TVI below 7858.8, the predicted height was 68.0 cm; between 7858.8 and 8536.6, the height was 70.6 cm. For TVI above 8536.6, SR was incorporated. When SR was below 2.1, the model used PSRI for further splits, with heights of 75.1 cm for PSRI below 2.8 and 77.6 cm for RESR above 2.23. When SR exceeded 2.1, the model included NPCI, GRRE, and GRVI, predicting heights up to 82.7 cm for GRVI above 1.46 and GRRE above 1.25. The MSE was 1.01, outperforming the linear regression MSE of 2.37.
- (5)
- 21 May 2024 (Maturity Stage)
TVI, SR, and GRNI were the top predictors. When TVI was below 8420.4, the average height prediction was 72.4 cm. For TVI below 7968.8, the predicted height was 70.0 cm, while for values between 7968.8 and 8420.4, it rose to 74.1 cm. For TVI above 8420.4, SR was incorporated. When SR was below 2.4, the model used GRNI, predicting 74.1 cm for GRNI below 1.4. For GRNI above 1.4 and NDVI above 0.23, PSRI was used for further splits, predicting heights up to 76.4 cm. When SR exceeded 2.4, GRNI and PSRI further refined the predictions, reaching a height of 73.4 cm for GRNI between 1.02 and 1.32 and 72.4 cm for GRNI above 1.32 and PSRI below 3.26. The MSE for this model was 1.02, compared to 2.39 for linear regression.
3.4. Modeling Wheat Chlorophyll Content Using Decision Tree Regression
A decision tree regression model was applied to analyze the relationships between various vegetation indices and wheat chlorophyll content. The decision tree progressively split the input feature space to learn the nonlinear relationships between vegetation indices and chlorophyll content. At each leaf node, the model predicted the chlorophyll content value. To enhance generalization ability and prevent overfitting, the maximum depth of the decision tree was limited to 5. Visualization of the decision tree provided an intuitive understanding of the importance of individual indices in chlorophyll prediction and their splitting rules. This approach captures the complex nonlinear relationships between chlorophyll content and vegetation indices while providing an interpretable and accurate prediction tool for agricultural management (Figure 8).


Figure 8.
Wheat chlorophyll content prediction and splitting rules based on the decision tree regression model. (a) 1 April 2024: TVI, NPCI, and GRVI were the main contributing indices for chlorophyll content prediction, with a predicted range of 49.0–61.1 mg/g; (b) 23 April 2024: RNRE, NDVI, and GNDVI were the main contributing indices for chlorophyll content prediction, with a predicted range of 52.0–60.7 mg/g; (c) 30 April 2024: TVI, PSRI, and GNIRR were the main contributing indices for chlorophyll content prediction, with a predicted range of 50.0–58.2 mg/g; (d) 9 May 2024: TVI, RESR, and PSRI were the main contributing indices for chlorophyll content prediction, with a predicted range of 53.0–60.0 mg/g; (e) 21 May 2024: TVI, GRVI, and NPCI were the main contributing indices for chlorophyll content prediction, with a predicted range of 31.1–55.0 mg/g.
- (1)
- 1 April 2024 (Tillering Stage)
The three most significant vegetation indices for predicting wheat chlorophyll content were TVI, NPCI, and GRVI. In one primary branch, when the TVI value was below 7747.7, the predicted chlorophyll content was approximately 49.0 mg/g. When the TVI value ranged from 7747.7 to 8510.4, the predicted chlorophyll content increased to 55.4 mg/g. For TVI values above 8510.4, the model incorporated NPCI. For NPCI values below 2.19, the average predicted chlorophyll content was 59.5 mg/g. For NPCI values above 2.19, the model further split based on GRVI, predicting a chlorophyll content of 60.8 mg/g when GRVI exceeded 1.61. Additional splits using GSR and NDRE refined predictions. For GSR > 1.75 and NDRE < 1.74, the predicted chlorophyll content was 59.7 mg/g, while for NDRE > 1.74, the content increased to 61.1 mg/g. The model achieved an MSE of 1.02, outperforming linear regression (MSE = 2.37).
- (2)
- 23 April 2024 (Jointing Stage)
The three most significant vegetation indices were RNRE, NDVI, and GNDVI. In one primary branch, for RNRE < 0.22, the model split further based on NDVI. For NDVI < 0.42, additional splits using GRNI predicted chlorophyll content as 57.7 mg/g when GRNI < 0.16 and SR < 2.29. When GRNI > 0.16, the predicted chlorophyll content increased to 60.1 mg/g. For NDVI > 0.42, the model incorporated GNDVI and GNIRR. For GNDVI > 0.27 and GNIRR > 0.58, the predicted chlorophyll content was 60.7 mg/g, while for GNIRR < 0.58, the content dropped to 54.1 mg/g. In another branch, for RNRE > 0.22, splits using TVI and GSR refined predictions. For TVI < 2495 and RESR > 1.09, the predicted chlorophyll content was 52.0 mg/g. The model achieved an MSE of 1.08, outperforming linear regression (MSE = 2.47).
- (3)
- 30 April 2024 (Booting Stage)
The three most significant vegetation indices were TVI, PSRI, and GNIRR. In one primary branch, for TVI < 8467.7, the predicted chlorophyll content was approximately 50.0 mg/g. For TVI between 8467.7 and 8850.8, the predicted chlorophyll content increased to 57.0 mg/g. For TVI > 8850.8, the model incorporated PSRI. For PSRI < 3.11, the average predicted chlorophyll content was 57.3 mg/g, while for PSRI > 3.11, additional splits using GNIRR and NPCI predicted 57.7 mg/g when GNIRR > 0.76 and NPCI > 1.78. Further splits using GRRE and NGRDI refined predictions. For GRRE > 1.44 and NGRDI > 0.28, the predicted chlorophyll content was 58.2 mg/g, while for NGRDI < 0.28, the content was 57.5 mg/g. The model achieved an MSE of 1.01, outperforming linear regression (MSE = 2.35).
- (4)
- 9 May 2024 (Flowering Stage)
The three most significant vegetation indices were TVI, RESR, and PSRI. In one primary branch, for TVI < 8536.6, the predicted chlorophyll content was approximately 53.0 mg/g. For TVI between 8536.6 and 9080.14, the predicted chlorophyll content increased to 59.3 mg/g. For TVI > 9080.14, the model incorporated RESR. For RESR < 2.17, the average predicted chlorophyll content was 59.4 mg/g, while for RESR > 2.17 and PSRI > 2.91, the content increased to 60.0 mg/g. Additional splits using GNDVI and GSR refined predictions. For GNDVI > 0.30 and GSR < 1.59, the predicted chlorophyll content was 59.1 mg/g, while for GSR > 1.59, the content increased to 59.6 mg/g. The model achieved an MSE of 1.01, outperforming linear regression (MSE = 2.39).
- (5)
- 21 May 2024 (Maturity Stage)
The three most significant vegetation indices were TVI, GRVI, and NPCI. In one primary branch, for TVI < 8490.8, the average predicted chlorophyll content was 42.6 mg/g. For TVI < 7955.2, the predicted chlorophyll content was 31.1 mg/g, while for TVI between 7955.2 and 8490.8, the content increased to 50.2 mg/g. For TVI > 8490.8, the model incorporated GRVI. For GRVI < 1.4, additional splits using GNDVI predicted chlorophyll content as 48.3 mg/g when GNDVI > 1.08. For GRVI > 1.4 and NPCI > 2.0, the content reached the model’s highest predicted value of 55.0 mg/g. The model achieved an MSE of 0.98, outperforming linear regression (MSE = 2.21).
4. Discussion
This study utilized UAV multispectral data and vegetation index analysis, combined with the random forest model, to monitor and model the growth dynamics of wheat canopy across 72 experimental plots at the Wheat Experiment Station of the Hebei Academy of Agriculture and Forestry Sciences [57]. In comparison with previous research, the findings of this study demonstrate both consistency and divergence in certain aspects of wheat growth monitoring using UAV-based multispectral data. Similar to previous studies, which also found that multispectral indices effectively capture key vegetative traits such as chlorophyll content, our results confirm the reliability of vegetation indices like NDRE and TVI in monitoring crop health. However, unlike some studies, which reported higher predictive accuracy with a smaller subset of indices, our model’s superior performance can be attributed to the broader selection of vegetation indices and the inclusion of advanced machine learning techniques such as random forest. These comparisons underscore the robustness of the chosen methodology, while also suggesting that the integration of a wider range of indices and more complex modeling approaches can improve the accuracy of crop growth predictions in precision agriculture. Remote sensing vegetation indices have been widely applied across various fields, including assessing vegetation health, monitoring environmental changes, and managing crop production under diverse conditions such as temperature extremes, water availability, and variations in light intensity or quality [58]. These indices are invaluable tools for detecting plant responses, which are often reflected through changes in pigment composition and photosynthetic efficiency. Highlighting their broader applicability strengthens the rationale for optimizing vegetation indices specifically tailored for monitoring wheat and other crops in precision agriculture. Future research will explore alternative machine learning techniques to random forest, including deep learning approaches. These methods may offer enhanced predictive performance, particularly for large and complex datasets, and could improve the accuracy of wheat growth monitoring systems. Deep learning models, in particular, have shown promise in capturing non-linear relationships and higher-order features within data, which may lead to better insights into crop dynamics. By investigating these advanced techniques, we aim to further optimize monitoring capabilities and broaden the applicability of machine learning methods in precision agriculture. The study systematically analyzed the spatiotemporal variations in wheat height and chlorophyll content and explored their potential applications in precision agriculture.
- (1)
- Innovative Applications and Limitations of UAV Remote Sensing Technology in Wheat Growth Monitoring
The study utilized UAV-mounted multispectral sensors to collect high-resolution imagery during five key growth stages (tillering, jointing, booting, flowering, and ripening). The data covered four key spectral bands: green (560 nm), red (650 nm), red-edge (730 nm), and near-infrared (840 nm). These bands were scientifically designed to accurately reflect wheat health, growth, and nutritional status. Compared to traditional ground measurements (e.g., SPAD chlorophyll meter and manual height measurements), UAV imagery provided higher spatiotemporal resolution and coverage. For example, the study’s imagery resolution reached 0.01 m, whereas ground measurements were limited to single points or small areas [59]. Multispectral imaging and radiometric correction further enhanced data accuracy, providing a robust foundation for subsequent modeling.
However, several limitations were identified. First, data collection was constrained by weather conditions in Hebei Province. Some images were significantly affected by lighting variations [60,61]. Despite radiometric calibration and atmospheric correction, discrepancies in reflectance between sunny and cloudy conditions (e.g., NDVI values on 1 April and 23 April 2024, differed by more than 8%) indicated room for improvement in image quality. Second, the decision tree models showed sensitivity to extreme values, which increased prediction errors. For instance, on 21 May 2024, the MSE for height prediction was 1.02 cm, but some plots had prediction errors exceeding 3 cm. This suggests the potential for incorporating more robust deep learning models to enhance accuracy. Lastly, the study focused on five key growth stages, excluding the full wheat lifecycle (e.g., seed germination and grain filling), potentially overlooking critical growth dynamics. Future studies should increase data collection frequency and timepoints to optimize temporal modeling.
- (2)
- Effectiveness and Scientific Significance of Multispectral Data and Vegetation Indices in Wheat Growth Evaluation
The results demonstrated that multispectral vegetation indices effectively captured key wheat growth characteristics. The random forest model achieved high prediction accuracy for height and chlorophyll content [62,63,64]. For example, during the flowering stage (9 May 2024), the model’s MSE for height prediction was 1.01 cm, significantly outperforming traditional linear regression (MSE = 2.37 cm). However, discrepancies between UAV and ground measurements persisted. For instance, during the ripening stage (21 May 2024), SPAD-measured chlorophyll content was approximately 0.08 mg/g higher than UAV predictions in certain plots, likely due to UAV resolution limitations in capturing spectral reflectance of inner canopy leaves.
Dynamic analysis across growth stages revealed spectral changes during the transition from vegetative to reproductive growth. For instance, during the flowering stage (9 May 2024), TVI showed a peak correlation with chlorophyll content (r = 0.63, p < 0.01), indicating its sensitivity to photosynthetic activity and health. Moreover, dynamic changes in vegetation indices helped to identify abnormal field areas (e.g., low NDVI regions with reduced height and chlorophyll content during the jointing stage, 23 April 2024), suggesting the need for targeted management interventions.
- (3)
- Precision Agriculture Practices and Policy Recommendations Based on UAV Remote Sensing
The results demonstrated that UAV multispectral data could guide precision nitrogen fertilization and irrigation management in wheat [65]. For example, during the jointing stage (23 April 2024), plots with NDVI values below 0.35 had an average chlorophyll content of only 0.62 mg/g, compared to 0.90 mg/g in high-NDVI regions. Supplemental nitrogen application in low-value areas significantly improved crop health. Similarly, during the booting stage (30 April 2024), the NDRE index effectively identified water-stressed areas, providing a scientific basis for optimizing irrigation decisions.
It is recommended that local agricultural departments promote UAV remote sensing technology as part of agricultural modernization plans [66]. By establishing agricultural remote sensing monitoring platforms, real-time monitoring of regional crop growth can be achieved. Additionally, farmer training programs should be strengthened to enable the effective operation of UAVs and interpretation of imagery data. Policy support could include subsidies for precision agriculture equipment and widespread adoption of remote sensing services.
- (4)
- Future Prospects for Multisource Data Integration and Deep Learning in Crop Monitoring
Future studies could improve data quality by introducing sensors with higher spectral resolution (e.g., hyperspectral imaging) and extending sampling windows. For example, including the grain filling and harvesting stages would provide a comprehensive understanding of wheat growth dynamics [67,68]. Integrating multisource data, such as soil moisture, meteorological data, and pest monitoring, could further optimize random forest models or enable higher-order deep learning models (e.g., convolutional neural networks) to enhance prediction accuracy and application value.
While scalability issues in UAV-based monitoring are acknowledged, several adaptations can be made to address these challenges for large-scale applications. One potential solution is the integration of satellite data, which provides broader coverage and can be used to complement high-resolution UAV data. Satellite imagery, such as from Sentinel-2 or Landsat, offers frequent revisit times and large-area monitoring, although it may have lower resolution compared to UAVs. Combining both UAV and satellite data can help strike a balance between spatial resolution and coverage, enhancing the ability to monitor large-scale agricultural areas effectively. Additionally, reducing hardware costs is another key consideration for scalability. Advances in drone technology and the development of more affordable sensors could make UAV-based systems more accessible for widespread use. Furthermore, the automation of data processing and the use of cloud computing could streamline the analysis and reduce operational costs, facilitating the adoption of this approach for large-scale agricultural monitoring. Ground-based measurements play a crucial role in complementing UAV-based measurements by providing accurate reference data for calibration and validation purposes. Ground truth data, such as plant height, chlorophyll content, and biomass, are collected directly from the field using manual or automated instruments. These measurements help to ensure the accuracy of the UAV-derived data by serving as a benchmark for comparison. By aligning UAV data with ground-based observations, researchers can correct for errors introduced by atmospheric conditions, sensor calibration, or environmental variability. Additionally, ground truth data allow for the identification of discrepancies between UAV-derived indices and actual crop conditions, improving the reliability and applicability of UAV-based monitoring systems in precision agriculture. This integration of ground-based and UAV measurements enhances the overall accuracy and robustness of crop health assessments. When transitioning from UAVs to satellites for monitoring wheat growth, there are trade-offs between resolution and real-time monitoring capacity. UAVs provide high spatial resolution and can deliver real-time data, making them ideal for detailed, localized observations and immediate decision making. However, their application may be limited to smaller areas due to logistical constraints and the need for frequent flight operations. In contrast, satellites offer broader coverage, which is beneficial for large-scale agricultural monitoring, but their spatial resolution is typically lower compared to UAVs. This reduced resolution may limit the ability to detect fine-scale variations in crop conditions. While satellites can offer cost-effective, wide-area monitoring, UAVs remain advantageous for precise, on-the-ground assessments. Therefore, the choice between UAVs and satellites depends on the specific requirements of the study, including the desired spatial resolution, the scale of the area to be monitored, and the frequency of data collection.
The proposed framework is not limited to wheat monitoring, but can also be extended to other crops such as maize and rice. For instance, using multispectral data to monitor growth variations among field crops in Hebei Province and other regions could support comparative crop research. Collaboration with government agencies and agricultural enterprises to establish large-scale UAV remote sensing databases would aid in developing regional agricultural monitoring and early warning systems, providing robust data support for ensuring food security.
5. Conclusions
This study utilized UAV-based multispectral remote sensing technology to comprehensively monitor wheat growth across 72 experimental plots at the Wheat Experiment Station of the Hebei Academy of Agriculture and Forestry Sciences. The study deeply analyzed the correlations between vegetation indices (e.g., NDVI, NDRE, TVI) and wheat traits such as height and chlorophyll content [69]. The findings revealed that the TVI index demonstrated strong predictive capability across multiple growth stages, particularly exhibiting good spatiotemporal stability in height prediction. Using the random forest regression model to predict wheat height and chlorophyll content, the results showed significantly higher accuracy compared to traditional linear regression models. Specifically, during the flowering and maturity stages, the MSE of the random forest model was significantly lower than that of the linear regression model, demonstrating the superiority of random forest in capturing the nonlinear characteristics of wheat growth processes.
The findings of this study provide valuable insights into the use of UAV-based multispectral data for monitoring wheat growth. However, there are several areas for future research that could further enhance the applicability of these techniques. First, including additional growth stages, particularly early-season stages such as germination and early tillering, would provide a more comprehensive understanding of wheat growth dynamics. This could help improve early-stage predictions and enhance crop management decisions. Second, the integration of advanced modeling techniques, such as deep learning algorithms or ensemble methods, could further improve predictive accuracy by capturing complex, non-linear relationships between vegetation indices and wheat growth parameters. Additionally, future studies could explore the potential of integrating multi-source data, such as weather and soil information, to build more robust models for crop health assessment. These directions would expand the scope of UAV-based monitoring and offer new opportunities for precision agriculture.
Based on these findings, this study provides a scientific basis for precision agriculture management of wheat. By analyzing the relationships between vegetation indices and wheat growth traits, the study proposed a precision agriculture management strategy to optimize nitrogen fertilization and irrigation scheduling [35,70]. Notably, during the tillering, jointing, and booting stages, changes in vegetation indices could help farmers adjust agricultural practices in a timely manner, thereby improving resource use efficiency. Additionally, the methods proposed in this study are flexible and widely applicable, making them suitable for growth monitoring and management of other staple crops, such as maize and rice. Future research could further incorporate hyperspectral sensors, meteorological data, and soil moisture information, as well as integrate deep learning models, to enhance prediction accuracy and reliability. These advancements would contribute to the intelligent and sustainable development of agricultural production.
Author Contributions
D.Z.: methodology, software, and writing—original draft; H.Q.: methodology, software, writing—original draft; X.G.: conceptualization, writing—review and editing, project administration, and funding acquisition; H.S. and J.M.: investigation, data curation, and visualization; S.L.: writing—review and editing, supervision, and project administration; L.H., and L.L.: data curation, writing—review and editing, visualization, project administration, and funding acquisition and software. All authors have read and agreed to the published version of the manuscript.
Funding
This research was funded by the Research on Digital Breeding of Crops in Hebei Province (No. 2022KJCXZX-NXS-5), and the Basic Research Funds of Hebei Academy of Agriculture and Forestry Sciences (No. 2023090101).
Institutional Review Board Statement
Not applicable.
Data Availability Statement
The data and algorithm code presented in this study are available on request from the corresponding authors.
Conflicts of Interest
The authors declare no conflicts of interest.
Abbreviations
| UAV | Unmanned Aerial Vehicle |
| G | Green Band |
| NIR | Near-Infrared Band |
| R | Red Band |
| RE | Red-Edge Band |
| NDVI | Normalized Difference Vegetation Index |
| GNDVI | Green NDVI |
| RENDVI | Red-Edge NDVI |
| SR | Simple Ratio |
| GRVI | Green Ratio Vegetation Index |
| RERI | Red-Edge Ratio Index |
| NDRE | Normalized Difference Red-Edge Index |
| NPCI | Normalized Pigment Chlorophyll Index |
| GSR | Green Simple Ratio |
| RESR | Red-Edge Simple Ratio |
| NGRDI | Normalized Green–Red Difference Index |
| GRER | Green–Red-Edge Ratio |
| GNIRR | Green-NIR Ratio |
| GRNI | Green–Red-NIR Index |
| GRRE | Green–Red-Red-edge Index |
| RNRE | Red-NIR-Red-edge Index |
| CVI | Combined Vegetation Index |
| PSRI | Plant Senescence Reflectance Index |
| CIg | Chlorophyll Index—Green |
| CIre | Chlorophyll Index—Red-edge |
| TVI | Triangular Vegetation Index |
| MSE | Mean Squared Error |
References
- Zhou, J.; Xu, Y.; Gu, X.; Chen, T.; Sun, Q.; Zhang, S.; Pan, Y. High-Precision Mapping of Soil Organic Matter Based on UAV Imagery Using Machine Learning Algorithms. Drones 2023, 7, 290. [Google Scholar] [CrossRef]
- Zhou, D.; Liu, S.; Yu, J.; Li, H. A High-Resolution Spatial and Time-Series Labeled Unmanned Aerial Vehicle Image Dataset for Middle-Season Rice. ISPRS Int. J. Geo-Inf. 2020, 9, 728. [Google Scholar] [CrossRef]
- Svensgaard, J.; Jensen, S.M.; Christensen, S.; Rasmussen, J. The Importance of Spectral Correction of UAV-Based Phenotyping with RGB Cameras. Field Crops Res. 2021, 269, 108177. [Google Scholar] [CrossRef]
- Zhou, D.; Li, M.; Li, Y.; Qi, J.; Liu, K.; Cong, X.; Tian, X. Detection of Ground Straw Coverage under Conservation Tillage Based on Deep Learning. Comput. Electron. Agric. 2020, 172, 105369. [Google Scholar] [CrossRef]
- Sulaiman, N.; Che’Ya, N.N.; Mohd Roslim, M.H.; Juraimi, A.S.; Mohd Noor, N.; Fazlil Ilahi, W.F. The Application of Hyperspectral Remote Sensing Imagery (HRSI) for Weed Detection Analysis in Rice Fields: A Review. Appl. Sci. 2022, 12, 2570. [Google Scholar] [CrossRef]
- Zhou, C.; Gong, Y.; Fang, S.; Yang, K.; Peng, Y.; Wu, X.; Zhu, R. Combining Spectral and Wavelet Texture Features for Unmanned Aerial Vehicles Remote Estimation of Rice Leaf Area Index. Front. Plant Sci. 2022, 13, 957870. [Google Scholar] [CrossRef]
- Zhou, C.; Ye, H.; Xu, Z.; Hu, J.; Shi, X.; Hua, S.; Yue, J.; Yang, G. Estimating Maize-Leaf Coverage in Field Conditions by Applying a Machine Learning Algorithm to UAV Remote Sensing Images. Appl. Sci. 2019, 9, 2389. [Google Scholar] [CrossRef]
- Zhong, H.; Zhang, Z.; Liu, H.; Wu, J.; Lin, W. Individual Tree Species Identification for Complex Coniferous and Broad-Leaved Mixed Forests Based on Deep Learning Combined with UAV LiDAR Data and RGB Images. Forests 2024, 15, 293. [Google Scholar] [CrossRef]
- Alsadik, B.; Javan, F.D.; Nex, F. UAV Remote Sensing for Smart Agriculture. GIM Int. Worldw. Mag. Geomat. 2022, 36, 14–17. [Google Scholar]
- Breiman, L. Random Forests. Mach. Learn. 2001, 45, 5–32. [Google Scholar] [CrossRef]
- Gislason, P.O.; Benediktsson, J.A.; Sveinsson, J.R. Random Forests for Land Cover Classification. Pattern Recognit. Lett. 2006, 27, 294–300. [Google Scholar] [CrossRef]
- Lu, H.; Zhang, L.; Zhang, Y.; Zhang, X. Random Forests for Global and Regional Crop Yield Predictions. PLoS ONE 2016, 11, e0156571. [Google Scholar] [CrossRef]
- Sun, X.; Zhang, L.; Zhang, Y.; Zhang, X. Developing Maize Yield Predictive Models from Sentinel-2 MSI Data Using Random Forests. Remote Sens. 2019, 11, 314. [Google Scholar] [CrossRef]
- Sun, Z.; Wang, D.; Zhong, G. Extraction of Farmland Geographic Information Using OpenStreetMap Data. In Proceedings of the 2018 7th International Conference on Agro-Geoinformatics (Agro-Geoinformatics), Hangzhou, China, 6–9 August 2018; p. 4. [Google Scholar]
- Zheng, J.-Y.; Hao, Y.-Y.; Wang, Y.-C.; Zhou, S.-Q.; Wu, W.-B.; Yuan, Q.; Gao, Y.; Guo, H.-Q.; Cai, X.-X.; Zhao, B. Coastal Wetland Vegetation Classification Using Pixel-Based, Object-Based and Deep Learning Methods Based on RGB-UAV. Land 2022, 11, 2039. [Google Scholar] [CrossRef]
- Jurisic, M.; Radocaj, D.; Plascak, I.; Subasic, D.G.; Petrovic, D. The evaluation of the rgb and multispectral camera on the unmanned aerial vehicle (UAV) for the machine learning classification of maize. Poljoprivreda 2022, 28, 74–80. [Google Scholar] [CrossRef]
- Zheng, H.; Ma, J.; Zhou, M.; Li, D.; Yao, X.; Cao, W.; Zhu, Y.; Cheng, T. Enhancing the Nitrogen Signals of Rice Canopies across Critical Growth Stages through the Integration of Textural and Spectral Information from Unmanned Aerial Vehicle (UAV) Multispectral Imagery. Remote Sens. 2020, 12, 957. [Google Scholar] [CrossRef]
- Zheng, E.; Tian, Y.; Fan, Q. Agricultural Insurance Survey Unmanned Aerial Vehicle Device for Automatically Measuring Crop Disaster Area, Has Unmanned Aerial Vehicle Provided with Flight Control Computer, Visual Calculation Module, Airborne Differential GPS Module and Camera. Patent CN211787203-U, 2020. [Google Scholar]
- Aboutalebi, M.; Torres-Rua, A.F.; McKee, M.; Kustas, W.; Nieto, H.; Coopmans, C. Validation of Digital Surface Models (DSMs) Retrieved from Unmanned Aerial Vehicle (UAV) Point Clouds Using Geometrical Information from Shadows; Thomasson, J., McKee, M., Moorhead, R., Eds.; SPIE: Paris, France, 2019; Volume 11008. [Google Scholar]
- Zhao, Y.; Li, S.; Zhang, X.; Yao, Y.; Xue, Y.; Hou, X.; Liu, Y.; Hu, J.; Liu, Z. Unmanned Aerial Vehicle Remote Sensing and WOFOST Based Method for Realizing Double-Parameter Assimilation Estimation of Rice-Scale Corn Yield in Agricultural Monitoring Field, Involves Realizing Precision Test of WOFOST Model, and Evaluating Simulation Effect of WOFOST Model. Patent CN118736418-A, 2024. [Google Scholar]
- Zhao, Y.; Li, S.; Zhang, X.; Gao, X.; Chen, Y.; Yao, Y.; Fan, X.; Liu, Z. Method for Fine Inversion of Wheat Leaf Area Index (LAI) Fused with Unmanned Aerial Vehicle and Satellite Optical Remote Sensing Vegetation Index Set, Involves Constructing Wheat LAI Inversion Model Based on Unmanned Aerial Vehicle and Satellite Remote Sensing Data Fusion. Patent CN118736448-A, 2024. [Google Scholar]
- Zhao, W.; Zhou, C.; Zhou, C.; Ma, H.; Wang, Z. Soil Salinity Inversion Model of Oasis in Arid Area Based on UAV Multispectral Remote Sensing. Remote Sens. 2022, 14, 1804. [Google Scholar] [CrossRef]
- Radocaj, D.; Siljeg, A.; Plascak, I.; Maric, I.; Jurisic, M. A Micro-Scale Approach for Cropland Suitability Assessment of Permanent Crops Using Machine Learning and a Low-Cost UAV. Agronomy 2023, 13, 362. [Google Scholar] [CrossRef]
- Zhao, W. Track Intelligent Locating Method for Racing Unmanned Aerial Vehicle e.g., e.g., Aircraft, Involves Calculating Electric Energy Loss Value of Each Landing Route Based on Virtual Scene Model, and Selecting Optimal Landing Route from Multiple Landing Routes. Patent CN113870421-A, 2022. [Google Scholar]
- Thomasson, J.A.; Han, X. The Future of Cooperative Air and Ground Phenotyping; Thomasson, J., TorresRua, A., Eds.; SPIE: Paris, France, 2020; Volume 11414. [Google Scholar]
- Poettker, M.; Kiehl, K.; Jarmer, T.; Trautz, D. Convolutional Neural Network Maps Plant Communities in Semi-Natural Grasslands Using Multispectral Unmanned Aerial Vehicle Imagery. Remote Sens. 2023, 15, 1945. [Google Scholar] [CrossRef]
- Zhang, S.; Xue, X.; Chen, C.; Sun, Z.; Sun, T. Development of a Low-Cost Quadrotor UAV Based on ADRC for Agricultural Remote Sensing. Int. J. Agric. Biol. Eng. 2019, 12, 82–87. [Google Scholar] [CrossRef]
- Tian, D.; Zhao, X.; Gao, L.; Liang, Z.; Yang, Z.; Zhang, P.; Wu, Q.; Ren, K.; Li, R.; Yang, C.; et al. Estimation of Water Quality Variables Based on Machine Learning Model and Cluster Analysis-Based Empirical Model Using Multi-Source Remote Sensing Data in Inland Reservoirs, South China. Environ. Pollut. 2024, 342, 123104. [Google Scholar] [CrossRef] [PubMed]
- Lu, R.; Zhang, P.; Fu, Z.; Jiang, J.; Wu, J.; Cao, Q.; Tian, Y.; Zhu, Y.; Cao, W.; Liu, X. Improving the Spatial and Temporal Estimation of Ecosystem Respiration Using Multi-Source Data and Machine Learning Methods in a Rainfed Winter Wheat Cropland. Sci. Total Environ. 2023, 871, 161967. [Google Scholar] [CrossRef] [PubMed]
- Rajak, P.; Ganguly, A.; Adhikary, S.; Bhattacharya, S. Internet of Things and Smart Sensors in Agriculture: Scopes and Challenges. J. Agric. Food Res. 2023, 14, 100776. [Google Scholar] [CrossRef]
- Lan, Y.; Deng, Y.; Deng, J.; Huang, H.; Wang, X.; Jiang, T.; Zhong, Z. Method for Measuring Height of Low-Altitude Remote Sensing Monitoring Unmanned Aerial Vehicle, Involves Extracting Resolution of Ground Pixel, and Determining Distance between Unmanned Aerial Vehicle and Rectangular Whiteboard Marker. Patent CN108416263-A, 2018. [Google Scholar]
- Peng, X.; Chen, D.; Zhou, Z.; Zhang, Z.; Xu, C.; Zha, Q.; Wang, F.; Hu, X. Prediction of the Nitrogen, Phosphorus and Potassium Contents in Grape Leaves at Different Growth Stages Based on UAV Multispectral Remote Sensing. Remote Sens. 2022, 14, 2659. [Google Scholar] [CrossRef]
- Schirrmann, M.; Hamdorf, A.; Giebel, A.; Gleiniger, F.; Pflanz, M.; Dammer, K.-H. Regression Kriging for Improving Crop Height Models Fusing Ultra-Sonic Sensing with UAV Imagery. Remote Sens. 2017, 9, 665. [Google Scholar] [CrossRef]
- Park, C.-W.; Cheong, Y.-K.; Kang, C.-S.; Choi, I.-B.; Lee, K.-D. Selection of Optimal Vegetation Indices for Estimation of Barley & Wheat Growth Based on Remote Sensing—An Application of Unmanned Aerial Vehicle and Field Investigation Data. Korean J. Remote Sens. 2016, 32, 483–497. [Google Scholar] [CrossRef][Green Version]
- Yu, R.; Yang, Y.; Yang, K. Small UAV Based Multi-Viewpoint Image Registration for Extracting the Information of Cultivated Land in the Hills and Mountains. In Proceedings of the 2018 26th International Conference on Geoinformatics, Kunming, China, 28–30 June 2018; p. 5. [Google Scholar] [CrossRef]
- Zhang, Y.; Huang, M.; Li, J.; Lai, J.; Huang, Y.; Zhang, X. Solar Agricultural Unmanned Aerial Vehicle, Has Solar Power Supply Device, and Remote Sensing Camera Arranged on Machine Device, Where Solar Power Supply Device, Flight Control Device and Machine Device Are Connected with Each Other. Patent CN108773490-A, 2018. [Google Scholar]
- Xu, L.; Zhang, Y. Performance Evaluation of Rural Inclusive Financial Poverty Alleviation in Hebei from the Perspective of Targeted Poverty Alleviation Based on Experimental and Mathematical Statistics Analysis. In Proceedings of the 2022 2nd International Conference on Public Management and Intelligent Society (PMIS 2022), Xishuangbanna, China, 18–20 March 2022; Luqman, A., Li, H., Ali, G., Eds.; Atlantis Highlights in Computer Sciences. Atlantis Press: Dordrecht, The Netherlands, 2023; p. 81. [Google Scholar]
- Li, H.; Shi, Y.; Ma, S. Research on the Current Situation and Innovation Mode of Land Transfer in Hebei Province Under the Background of “Internet plus”; Qi, E., Shen, J., Dou, R., Eds.; Springer: Berlin/Heidelberg, Germany, 2016; pp. 803–811. [Google Scholar]
- Peng, Y.; Solovchenko, A.; Zhang, C.; Shurygin, B.; Liu, X.; Wu, X.; Gong, Y.; Fang, S.; Gitelson, A. Remote Sensing of Rice Phenology and Physiology via Absorption Coefficient Derived from Unmanned Aerial Vehicle Imaging. Precis. Agric. 2024, 25, 285–302. [Google Scholar] [CrossRef]
- Dokic, M.; Manic, M.; Dordevic, M.; Gocic, M.; Cupic, A.; Jovic, M.; Dragovic, R.; Gajic, B.; Smiciklas, I.; Dragovic, S. Remote Sensing and Nuclear Techniques for High-Resolution Mapping and Quantification of Gully Erosion in the Highly Erodible Area of the Malcanska River Basin, Eastern Serbia. Environ. Res. 2023, 235, 116679. [Google Scholar] [CrossRef] [PubMed]
- Olson, M.B.; Crawford, M.M.; Vyn, T.J. Predicting Nitrogen Efficiencies in Mature Maize with Parametric Models Employing In-Season Hyperspectral Imaging. Remote Sens. 2022, 14, 5884. [Google Scholar] [CrossRef]
- Allred, B.; Martinez, L.; Fessehazion, M.K.; Rouse, G.; Williamson, T.N.; Wishart, D.; Koganti, T.; Freeland, R.; Eash, N.; Batschelet, A.; et al. Overall Results and Key Findings on the Use of UAV Visible-Color, Multispectral, and Thermal Infrared Imagery to Map Agricultural Drainage Pipes. Agric. Water Manag. 2020, 232, 106036. [Google Scholar] [CrossRef]
- Okyere, I.; Chuku, E.O.; Ekumah, B.; Angnuureng, D.B.; Boakye-Appiah, J.K.; Mills, D.J.; Babanawo, R.; Asare, N.K.; Aheto, D.W.; Crawford, B. Physical Distancing and Risk of COVID-19 in Small-Scale Fisheries: A Remote Sensing Assessment in Coastal Ghana. Sci. Rep. 2020, 10, 22407. [Google Scholar] [CrossRef] [PubMed]
- Niu, Z.; Cao, P.; Cai, Y.; Zhang, R.; Xie, Y.; Han, W.; Wu, D.; Xu, B.; Wei, L.; Ren, W. Multi-Mode Imaging Spectrum Polarization Agricultural Unmanned Aerial Vehicle Sensing System, Has Polarization Camera Module Mounted under Multi-Rotor Aerial Vehicle Platform for Collecting Color Polarization Image Data of Ground Crop Target. Patent CN117434014-A, 2024. [Google Scholar]
- Ma, G.; Sun, C.; Guo, B.; Chen, F.; Wang, X.; Zhang, G.; Zhu, J.; Xiao, C.; Chen, C.; Zhang, D.; et al. Method for Performing Remote Sensing Image Interpretation Based on Image Segmentation Model Applied to Natural Resource Management, Involves Acquiring Target Remote Sensing Image Acquired by Unmanned Aerial Vehicle, and Obtaining Image Interpretation Result According to Target Remote Sensing Image. Patent CN118736328-A, 2024. [Google Scholar]
- Yang, X.; Gao, F.; Yuan, H.; Cao, X. Integrated UAV and Satellite Multi-Spectral for Agricultural Drought Monitoring of Winter Wheat in the Seedling Stage. Sensors 2024, 24, 5715. [Google Scholar] [CrossRef] [PubMed]
- Liu, T.; Zhang, B.; Tan, Q.; Zhou, J.; Yu, S.; Zhu, Q.; Bian, Y. Immersive Human-Machine Teleoperation Framework for Precision Agriculture: Integrating UAV-Based Digital Mapping and Virtual Reality Control. Comput. Electron. Agric. 2024, 226, 109444. [Google Scholar] [CrossRef]
- McKee, M.; Nassar, A.; Torres-Rua, A.; Aboutalebi, M.; Kustas, W. Implications of Sensor Inconsistencies and Remote Sensing Error in the Use of Small Unmanned Aerial Systems for Generation of Information Products for Agricultural Management; Thomasson, J., McKee, M., Moorhead, R., Eds.; SPIE: Paris, France, 2018; Volume 10664. [Google Scholar]
- Xu, B.; Meng, R.; Chen, G.; Liang, L.; Lv, Z.; Zhou, L.; Sun, R.; Zhao, F.; Yang, W. Improved Weed Mapping in Corn Fields by Combining UAV-Based Spectral, Textural, Structural, and Thermal Measurements. Pest Manag. Sci. 2023, 79, 2591–2602. [Google Scholar] [CrossRef] [PubMed]
- Narayanan, B.; Floyd, B.; Tu, K.; Ries, L.; Hausmann, N. Improving Soybean Breeding Using UAV Measurements of Physiological Maturity; Thomasson, J., McKee, M., Moorhead, R., Eds.; SPIE: Paris, France, 2019; Volume 11008. [Google Scholar]
- Ballaran, V., Jr.; Ohara, M.; Rasmy, M.; Homma, K.; Aida, K.; Hosonuma, K. Improving the Estimation of Rice Crop Damage from Flooding Events Using Open-Source Satellite Data and UAV Image Data. Agriengineering 2024, 6, 574–596. [Google Scholar] [CrossRef]
- Xu, T.; Yu, F.; Cao, Y.; Wang, D.; Du, W.; Guo, Z. Method for Precise Topdressing of Rice Agricultural Drones Based on Hyperspectral Remote Sensing Prescription Maps, Involves Dividing Multiple Experimental Fields, and Performing Gradient Processing on the Nitrogen Fertilizer Content. Patent CN111670668-A, 2020. [Google Scholar]
- Mia, M.S.; Tanabe, R.; Habibi, L.N.; Hashimoto, N.; Homma, K.; Maki, M.; Matsui, T.; Tanaka, T.S.T. Multimodal Deep Learning for Rice Yield Prediction Using UAV-Based Multispectral Imagery and Weather Data. Remote Sens. 2023, 15, 2511. [Google Scholar] [CrossRef]
- Honkavaara, E.; Saari, H.; Kaivosoja, J.; Polonen, I.; Hakala, T.; Litkey, P.; Makynen, J.; Pesonen, L. Processing and Assessment of Spectrometric, Stereoscopic Imagery Collected Using a Lightweight UAV Spectral Camera for Precision Agriculture. Remote Sens. 2013, 5, 5006–5039. [Google Scholar] [CrossRef]
- Garkusha, S.; Skazhennik, M.; Kiselev, E.; Chizhikov, V.; Petrushin, A. Research of Rice Crops in Krasnodar Region by Remote Sensing Data. E3S Web Conf. 2020, 175, 01004. [Google Scholar] [CrossRef]
- Kim, D.-W.; Min, T.-S.; Kim, Y.; Silva, R.R.; Hyun, H.-N.; Kim, J.-S.; Kim, K.-H.; Kim, H.-J.; Chung, Y.S. Sustainable Agriculture by Increasing Nitrogen Fertilizer Efficiency Using Low-Resolution Camera Mounted on Unmanned Aerial Vehicles. Int. J. Environ. Res. Public Health 2019, 16, 3893. [Google Scholar] [CrossRef] [PubMed]
- Fan, F.; Jiang, M.; Yang, J. Three-Light Camera Carrying Agricultural Remote Sensing Data Collecting Device, Has Thermal Infrared Data Collecting Module, Differential GPS Module and Voltage Stabilizing Power Supply Module Fixed with Aerial Photographing Control Module. Patent CN208715485-U, 2019. [Google Scholar]
- Park, B.G.; Lee, J.H.; Shin, E.J.; Kim, E.A.; Nam, S.Y. Light Quality Influence on Growth Performance and Physiological Activity of Coleus Cultivars. Int. J. Plant Biol. 2024, 15, 807–826. [Google Scholar] [CrossRef]
- Dorbu, F.E.; Hashemi-Beni, L.; Karimoddini, A.; Shahbazi, A. UAV Remote Sensing Assessment of Crop Growth. Photogramm. Eng. Remote Sens. 2021, 87, 891–899. [Google Scholar] [CrossRef]
- Al-Arab, M.; Torres-Rua, A.; Ticlavilca, A.; Jensen, A.; McKee, M. Use of High-Resolution Multispectral Imagery from an Unmanned Aerial Vehicle in Precision Agriculture. In Proceedings of the 2013 IEEE International Geoscience and Remote Sensing Symposium—IGARSS, Melbourne, VIC, Australia, 21–26 July 2013; pp. 2852–2855. [Google Scholar]
- David, L.C.G.; Ballado, A.H., Jr. Vegetation Indices and Textures in Object-Based Weed Detection from UAV Imagery. In Proceedings of the 2016 6th IEEE International Conference on Control System, Computing and Engineering (ICCSCE), Penang, Malaysia, 25–27 November 2016; pp. 273–278. [Google Scholar]
- Mustafa, H.; Khan, H.A.; Bartholomeus, H.; Kooistra, L. Design of an Active Laser-Induced Fluorescence Observation System from Unmanned Aerial Vehicles for Artificial Seed-like Structures; Neale, C., Maltese, A., Eds.; SPIE: Paris, France, 2022; Volume 12262. [Google Scholar]
- Aslan, I.; Polat, N. Deep Learning-Based Classification of Mature and Immature Lavender Plants Using UAV Orthophotos and a Hybrid CNN Approach. Earth Sci. Inform. 2024, 17, 1713–1727. [Google Scholar] [CrossRef]
- Chen, A.; Jacob, M.; Shoshani, G.; Dafny-Yelin, M.; Degani, O.; Rabinovitz, O. Early Detection of Soil-Borne Diseases in Field Crops via Remote Sensing; Stafford, J., Ed.; BRILL: Leiden, The Netherlands, 2021; pp. 217–224. [Google Scholar]
- Quebrajo, L.; Perez-Ruiz, M.; Perez-Urrestarazu, L.; Martinez, G.; Egea, G. Linking Thermal Imaging and Soil Remote Sensing to Enhance Irrigation Management of Sugar Beet. Biosyst. Eng. 2018, 165, 77–87. [Google Scholar] [CrossRef]
- Li, D.; Wang, Y.; Wang, K.; Li, Z.; Chen, S.; Cao, L. Method for Estimating Corn Yield Based on Unmanned Aerial Vehicle Device and Remote Sensing Radiation Transmission Model, Involves Predicting Yield of Corn Planting Area to Be Predicted Based on Yield Prediction Vector Database. Patent CN118279769-A, 2014. [Google Scholar]
- Csajbok, J.; Buday-Bodi, E.; Nagy, A.; Feher, Z.Z.; Tamas, A.; Virag, I.C.; Bojtor, C.; Forgacs, F.; Vad, A.M.; Kutasy, E. Multispectral Analysis of Small Plots Based on Field and Remote Sensing Surveys-A Comparative Evaluation. Sustainability 2022, 14, 3339. [Google Scholar] [CrossRef]
- Deng, J.; Wang, R.; Yang, L.; Lv, X.; Yang, Z.; Zhang, K.; Zhou, C.; Li, P.; Wang, Z.; Abdullah, A.; et al. Quantitative Estimation of Wheat Stripe Rust Disease Index Using Unmanned Aerial Vehicle Hyperspectral Imagery and Innovative Vegetation Indices. IEEE Trans. Geosci. Remote Sens. 2023, 61, 4406111. [Google Scholar] [CrossRef]
- Avola, G.; Di Gennaro, S.F.; Cantini, C.; Riggi, E.; Muratore, F.; Tornambe, C.; Matese, A. Remotely Sensed Vegetation Indices to Discriminate Field-Grown Olive Cultivars. Remote Sens. 2019, 11, 1242. [Google Scholar] [CrossRef]
- Zambrano, P.; Calderon, F.; Villegas, H.; Paillacho, J.; Pazmino, D.; Realpe, M. UAV Remote Sensing Applications and Current Trends in Crop Monitoring and Diagnostics: A Systematic Literature Review. In Proceedings of the 2023 IEEE 13th International Conference on Pattern Recognition Systems (ICPRS), Guayaquil, Ecuador, 4–7 July 2023; p. 9. [Google Scholar]
Disclaimer/Publisher’s Note: The statements, opinions and data contained in all publications are solely those of the individual author(s) and contributor(s) and not of MDPI and/or the editor(s). MDPI and/or the editor(s) disclaim responsibility for any injury to people or property resulting from any ideas, methods, instructions or products referred to in the content. |
© 2025 by the authors. Licensee MDPI, Basel, Switzerland. This article is an open access article distributed under the terms and conditions of the Creative Commons Attribution (CC BY) license (https://creativecommons.org/licenses/by/4.0/).













