Large Losses of Pyrogenic Carbon (Biochar) and Native Soil Carbon During a 15-Month Field Study in North Florida, USA
Abstract
1. Introduction
2. Materials and Methods
2.1. Materials and Field Methods
2.2. Analytical Methods
2.3. Data Treatment
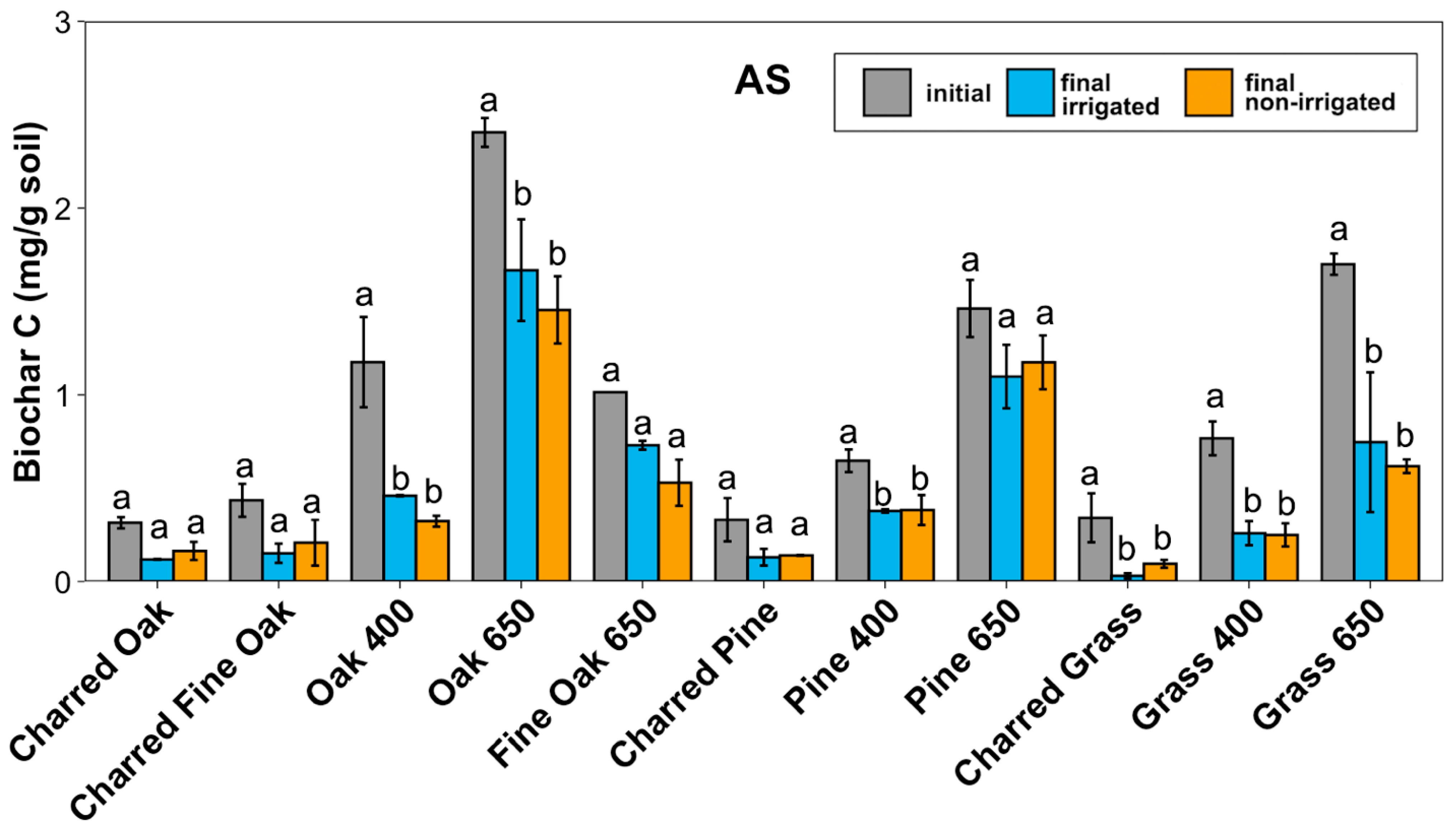
3. Results
3.1. BC Loss Variation
3.2. Native SOC (Non-BC) Loss Variation
4. Discussion
4.1. Controls on Biochar C Loss
4.1.1. Effects of Biochar Parent Material
4.1.2. Effects of Biochar Production Temperature
4.1.3. Effects of Biochar Particle Size
4.1.4. Effects of Soil Type
4.1.5. Effects of Soil Moisture
4.1.6. Potential for BC Physical Loss via Migration
4.2. Biochar Interaction with Native Soil C (Priming)
4.2.1. Effects of Biochar Parent Material on Non-BC Priming
4.2.2. Effects of Biochar Pyrolysis Temperature on Non-BC Priming
4.2.3. Effects of Soil Type on Non-BC Priming
4.3. Comparison of BC Loss Rates with Other Laboratory and Field Studies
4.4. Consideration of KMD Method of BC Quantification
5. Conclusions
Supplementary Materials
Author Contributions
Funding
Data Availability Statement
Acknowledgments
Conflicts of Interest
References
- Lehmann, J. A handful of carbon. Nature 2007, 447, 143–144. [Google Scholar] [CrossRef] [PubMed]
- Woolf, D.; Lehmann, J. Modelling the long-term response to positive and negative priming of soil organic carbon by black carbon. Biogeochemistry 2012, 111, 83–95. [Google Scholar] [CrossRef]
- Budai, A.; Rasse, D.P.; Lagomarsino, A.; Lerch, T.Z.; Paruch, L. Biochar persistence, priming and microbial responses to pyrolysis temperature series. Biol. Fertil. Soils 2016, 52, 749–761. [Google Scholar] [CrossRef]
- Wang, J.Y.; Xiong, Z.Q.; Kuzyakov, Y. Biochar stability in soil: Meta-analysis of decomposition and priming effects. Glob. Change Biol. Bioenergy 2016, 8, 512–523. [Google Scholar] [CrossRef]
- Woolf, D.; Lehmann, J.; Ogle, S.; Kishimoto-Mo, A.W.; McConkey, B.; Baldock, J. Greenhouse gas inventory model for biochar additions to soil. Environ. Sci. Technol. 2021, 55, 14795–14805. [Google Scholar] [CrossRef] [PubMed]
- Nguyen, B.T.; Lehmann, J.; Hockaday, W.C.; Joseph, S.; Masiello, C.A. Temperature Sensitivity of Black Carbon Decomposition and Oxidation. Environ. Sci. Technol. 2010, 44, 3324–3331. [Google Scholar] [CrossRef] [PubMed]
- Baldock, J.A.; Smernik, R.J. Chemical composition and bioavailability of thermally, altered Pinus resinosa (Red Pine) wood. Org. Geochem. 2002, 33, 1093–1109. [Google Scholar] [CrossRef]
- Hamer, U.; Marschner, B.; Brodowski, S.; Amelung, W. Interactive priming of black carbon and glucose mineralisation. Org. Geochem. 2004, 35, 823–830. [Google Scholar] [CrossRef]
- Nguyen, B.T.; Lehmann, J. Black carbon decomposition under varying water regimes. Org. Geochem. 2009, 40, 846–853. [Google Scholar] [CrossRef]
- Zimmerman, A.R. Abiotic and Microbial Oxidation of Laboratory-Produced Black Carbon (Biochar). Environ. Sci. Technol. 2010, 44, 1295–1301. [Google Scholar] [CrossRef]
- Lehmann, J.; Czimczik, C.; Laird, D.; Sohi, S. Stability of biochar in soil. In Biochar for Environmental Management; Routledge: London, UK, 2012; pp. 215–238. [Google Scholar]
- Zimmerman, A.R.; Gao, B. The stability of biochar in the environment. Biochar Soil Biota 2013, 1, 240. [Google Scholar]
- Cheng, C.H.; Lehmann, J.; Thies, J.E.; Burton, S.D.; Engelhard, M.H. Oxidation of black carbon by biotic and abiotic processes. Org. Geochem. 2006, 37, 1477–1488. [Google Scholar] [CrossRef]
- Zimmermann, M.; Bird, M.I.; Wurster, C.; Saiz, G.; Goodrick, I.; Barta, J.; Capek, P.; Santruckova, H.; Smernik, R. Rapid degradation of pyrogenic carbon. Glob. Change Biol. 2012, 18, 3306–3316. [Google Scholar] [CrossRef]
- Pietikainen, J.; Kiikkila, O.; Fritze, H. Charcoal as a habitat for microbes and its effect on the microbial community of the underlying humus. Oikos 2000, 89, 231–242. [Google Scholar] [CrossRef]
- Hockaday, W.C.; Grannas, A.M.; Kim, S.; Hatcher, P.G. The transformation and mobility of charcoal in a fire-impacted watershed. Geochim. Cosmochim. Acta 2007, 71, 3432–3445. [Google Scholar] [CrossRef]
- Yerli, C.; Cakmakci, T.; Sahin, U. CO2 emissions and their changes with H2O emissions, soil moisture, and temperature during the wetting–drying process of the soil mixed with different biochar materials. J. Water Clim. Change 2022, 13, 4273–4282. [Google Scholar] [CrossRef]
- Yu, O.-Y.; Raichle, B.; Sink, S. Impact of biochar on the water holding capacity of loamy sand soil. Int. J. Energy Environ. Eng. 2013, 4, 44. [Google Scholar] [CrossRef]
- Knicker, H. Pyrogenic organic matter in soil: Its origin and occurrence, its chemistry and survival in soil environments. Quat. Int. 2011, 243, 251–263. [Google Scholar] [CrossRef]
- Foereid, B.; Lehmann, J.; Major, J. Modeling black carbon degradation and movement in soil. Plant Soil 2011, 345, 223–236. [Google Scholar] [CrossRef]
- Nocentini, C.; Guenet, B.; Di Mattia, E.; Certini, G.; Bardoux, G.; Rumpel, C. Charcoal mineralisation potential of microbial inocula from burned and unburned forest soil with and without substrate addition. Soil Biol. Biochem. 2010, 42, 1472–1478. [Google Scholar] [CrossRef]
- Keith, A.; Singh, B.; Singh, B.P. Interactive Priming of Biochar and Labile Organic Matter Mineralization in a Smectite-Rich Soil. Environ. Sci. Technol. 2011, 45, 9611–9618. [Google Scholar] [CrossRef] [PubMed]
- Luo, Y.; Durenkamp, M.; De Nobili, M.; Lin, Q.; Brookes, P.C. Short term soil priming effects and the mineralisation of biochar following its incorporation to soils of different pH. Soil Biol. Biochem. 2011, 43, 2304–2314. [Google Scholar] [CrossRef]
- Zimmerman, A.R.; Gao, B.; Ahn, M.-Y. Positive and negative carbon mineralization priming effects among a variety of biochar-amended soils. Soil Biol. Biochem. 2011, 43, 1169–1179. [Google Scholar] [CrossRef]
- Whitman, T.; Singh, B.P.; Zimmerman, A.R.; Lehmann, J.; Joseph, S. Priming effects in biochar-amended soils: Implications of biochar-soil organic matter interactions for carbon storage. Biochar Environ. Manag. Sci. Technol. Implement. 2015, 2, 455–488. [Google Scholar]
- Cui, J.; Ge, T.; Kuzyakov, Y.; Nie, M.; Fang, C.; Tang, B.; Zhou, C. Interactions between biochar and litter priming: A three-source 14C and δ13C partitioning study. Soil Biol. Biochem. 2017, 104, 49–58. [Google Scholar] [CrossRef]
- Zimmerman, A.R.; Ouyang, L. Priming of pyrogenic C (biochar) mineralization by dissolved organic matter and vice versa. Soil Biol. Biochem. 2019, 130, 105–112. [Google Scholar] [CrossRef]
- Spokas, K.A. Review of the stability of biochar in soils: Predictability of O:C molar ratios. Carbon Manag. 2010, 1, 289–303. [Google Scholar] [CrossRef]
- Kuzyakov, Y.; Bogomolova, I.; Glaser, B. Biochar stability in soil: Decomposition during eight years and transformation as assessed by compound-specific 14C analysis. Soil Biol. Biochem. 2014, 70, 229–236. [Google Scholar] [CrossRef]
- Kuzyakov, Y.; Subbotina, I.; Chen, H.; Bogomolova, I.; Xu, X. Black carbon decomposition and incorporation into soil microbial biomass estimated by 14C labeling. Soil Biol. Biochem. 2009, 41, 210–219. [Google Scholar] [CrossRef]
- Gurwick, N.P.; Moore, L.A.; Kelly, C.; Elias, P. A Systematic Review of Biochar Research, with a Focus on Its Stability In Situ and Its Promise as a Climate Mitigation Strategy. PLoS ONE 2013, 8, e75932. [Google Scholar] [CrossRef]
- Major, J.; Lehmann, J.; Rondon, M.; Goodale, C. Fate of soil-applied black carbon: Downward migration, leaching and soil respiration. Glob. Change Biol. 2010, 16, 1366–1379. [Google Scholar] [CrossRef]
- Haefele, S.; Konboon, Y.; Wongboon, W.; Amarante, S.; Maarifat, A.; Pfeiffer, E.; Knoblauch, C. Effects and fate of biochar from rice residues in rice-based systems. Field Crops Res. 2011, 121, 430–440. [Google Scholar] [CrossRef]
- Knoblauch, C.; Maarifat, A.-A.; Pfeiffer, E.-M.; Haefele, S.M. Degradability of black carbon and its impact on trace gas fluxes and carbon turnover in paddy soils. Soil Biol. Biochem. 2011, 43, 1768–1778. [Google Scholar] [CrossRef]
- Van Zwieten, L.; Singh, B.P.; Tavakkoli, E.; Joseph, S.; Macdonald, L.M.; Rose, T.J.; Rose, M.T.; Kimber, S.W.; Morris, S.; Cozzolino, D. Biochar built soil carbon over a decade by stabilizing rhizodeposits. Nat. Clim. Change 2017, 7, 371–376. [Google Scholar]
- Obia, A.; Børresen, T.; Martinsen, V.; Cornelissen, G.; Mulder, J. Vertical and lateral transport of biochar in light-textured tropical soils. Soil Tillage Res. 2017, 165, 34–40. [Google Scholar] [CrossRef]
- Rumpel, C.; Ba, A.; Darboux, F.; Chaplot, V.; Planchon, O. Erosion budget and process selectivity of black carbon at meter scale. Geoderma 2009, 154, 131–137. [Google Scholar] [CrossRef]
- Obia, A.; Lyu, J.; Mulder, J.; Martinsen, V.; Cornelissen, G.; Smebye, A.B.; Zimmerman, A.R. Biochar dispersion in a tropical soil and its effects on native soil organic carbon. PLoS ONE 2024, 19, e0300387. [Google Scholar] [CrossRef] [PubMed]
- Santín, C.; Doerr, S.H.; Merino, A.; Bryant, R.; Loader, N.J. Forest floor chemical transformations in a boreal forest fire and their correlations with temperature and heating duration. Geoderma 2016, 264, 71–80. [Google Scholar] [CrossRef]
- Mukherjee, A.; Zimmerman, A.R. Organic carbon and nutrient release from a range of laboratory-produced biochars and biochar-soil mixtures. Geoderma 2013, 193, 122–130. [Google Scholar] [CrossRef]
- Ball, P.; MacKenzie, M.; DeLuca, T.; Montana, W.H. Wildfire and charcoal enhance nitrification and ammonium-oxidizing bacterial abundance in dry montane forest soils. J. Environ. Qual. 2010, 39, 1243–1253. [Google Scholar] [CrossRef]
- Bélanger, N.; Pinno, B.D. Carbon sequestration, vegetation dynamics and soil development in the Boreal Transition ecoregion of Saskatchewan during the Holocene. Catena 2008, 74, 65–72. [Google Scholar] [CrossRef]
- Licata, C.; Sanford, R. Charcoal and total carbon in soils from foothills shrublands to subalpine forests in the Colorado Front Range. Forests 2012, 3, 944–958. [Google Scholar] [CrossRef]
- MacKenzie, M.D.; Graham, R.; Quideau, S. Charcoal in Sierra Nevada Soils: Quantification and Spatial Variability; Report; Kearney Foundation of Soil Science: Davis, CA, USA, 2006. [Google Scholar]
- Soucémarianadin, L.N.; Quideau, S.A.; MacKenzie, M.D. Pyrogenic carbon stocks and storage mechanisms in podzolic soils of fire-affected Quebec black spruce forests. Geoderma 2014, 217, 118–128. [Google Scholar] [CrossRef]
- Zimmerman, A.R.; Mitra, S. Trial by fire: On the terminology and methods used in pyrogenic organic carbon research. Front. Earth Sci. 2017, 5, 95. [Google Scholar] [CrossRef]
- Maestrini, B.; Miesel, J.R. Modification of the weak nitric acid digestion method for the quantification of black carbon in organic matrices. Org. Geochem. 2017, 103, 136–139. [Google Scholar] [CrossRef]
- Lyu, J.; Obia, A.; Cornelissen, G.; Mulder, J.; Smebye, A.B.; Zimmerman, A.R. Comparison of three quantification methods used to detect biochar carbon migration in a tropical soil: A 4.5-year field experiment in Zambia. Geoderma 2025, 453, 117153. [Google Scholar] [CrossRef]
- Kurth, V.J.; MacKenzie, M.D.; DeLuca, T.H. Estimating charcoal content in forest mineral soils. Geoderma 2006, 137, 135–139. [Google Scholar] [CrossRef]
- Goranov, A.I.; Chen, H.; Duan, J.; Myneni, S.C.; Hatcher, P.G. Potentially Massive and Global Non-Pyrogenic Production of Condensed “Black” Carbon Through Biomass Oxidation. Environ. Sci. Technol. 2024, 58, 2750–2761. [Google Scholar] [CrossRef] [PubMed]
- Lehmann, J.; Rillig, M.C.; Thies, J.; Masiello, C.A.; Hockaday, W.C.; Crowley, D. Biochar effects on soil biota—A review. Soil Biol. Biochem. 2011, 43, 1812–1836. [Google Scholar] [CrossRef]
- Hilscher, A.; Heister, K.; Siewert, C.; Knicker, H. Mineralisation and structural changes during the initial phase of microbial degradation of pyrogenic plant residues in soil. Org. Geochem. 2009, 40, 332–342. [Google Scholar] [CrossRef]
- Jindo, K.; Sonoki, T. Comparative assessment of biochar stability using multiple indicators. Agronomy 2019, 9, 254. [Google Scholar] [CrossRef]
- Hammes, K.; Smernik, R.J.; Skjemstad, J.O.; Herzog, A.; Vogt, U.F.; Schmidt, M.W. Synthesis and characterisation of laboratory-charred grass straw (Oryza sativa) and chestnut wood (Castanea sativa) as reference materials for black carbon quantification. Org. Geochem. 2006, 37, 1629–1633. [Google Scholar] [CrossRef]
- Keiluweit, M.; Nico, P.S.; Johnson, M.G.; Kleber, M. Dynamic molecular structure of plant biomass-derived black carbon (biochar). Environ. Sci. Technol. 2010, 44, 1247–1253. [Google Scholar] [CrossRef]
- Singh, B.P.; Cowie, A.L. Long-term influence of biochar on native organic carbon mineralisation in a low-carbon clayey soil. Sci. Rep. 2014, 4, 3687. [Google Scholar] [CrossRef]
- Jiang, S.; Nguyen, T.A.; Rudolph, V.; Yang, H.; Zhang, D.; Ok, Y.S.; Huang, L. Characterization of hard-and softwood biochars pyrolyzed at high temperature. Environ. Geochem. Health 2017, 39, 403–415. [Google Scholar] [CrossRef] [PubMed]
- Bruun, E.W.; Ambus, P.; Egsgaard, H.; Hauggaard-Nielsen, H. Effects of slow and fast pyrolysis biochar on soil C and N turnover dynamics. Soil Biol. Biochem. 2012, 46, 73–79. [Google Scholar] [CrossRef]
- Sigua, G.C.; Novak, J.; Watts, D.; Cantrell, K.; Shumaker, P.; Szögi, A.; Johnson, M. Carbon mineralization in two ultisols amended with different sources and particle sizes of pyrolyzed biochar. Chemosphere 2014, 103, 313–321. [Google Scholar] [CrossRef] [PubMed]
- Chen, J.; Li, S.; Liang, C.; Xu, Q.; Li, Y.; Qin, H.; Fuhrmann, J.J. Response of microbial community structure and function to short-term biochar amendment in an intensively managed bamboo (Phyllostachys praecox) plantation soil: Effect of particle size and addition rate. Sci. Total Environ. 2017, 574, 24–33. [Google Scholar] [CrossRef] [PubMed]
- Spokas, K.A.; Novak, J.M.; Masiello, C.A.; Johnson, M.G.; Colosky, E.C.; Ippolito, J.A.; Trigo, C. Physical Disintegration of Biochar: An Overlooked Process. Environ. Sci. Technol. Lett. 2014, 1, 326–332. [Google Scholar] [CrossRef]
- Yang, F.; Zuo, X.; Zhou, Y.; Wu, S.; Wang, M. Stability of biochar in five soils: Effects from soil property. Environ. Prog. Sustain. Energy 2022, 41, e13775. [Google Scholar] [CrossRef]
- Fang, Y.; Singh, B.; Singh, B.; Krull, E. Biochar carbon stability in four contrasting soils. Eur. J. Soil Sci. 2014, 65, 60–71. [Google Scholar] [CrossRef]
- Wu, M.; Han, X.; Zhong, T.; Yuan, M.; Wu, W. Soil organic carbon content affects the stability of biochar in paddy soil. Agric. Ecosyst. Environ. 2016, 223, 59–66. [Google Scholar] [CrossRef]
- Dharmakeerthi, R.S.; Hanley, K.; Whitman, T.; Woolf, D.; Lehmann, J. Organic carbon dynamics in soils with pyrogenic organic matter that received plant residue additions over seven years. Soil Biol. Biochem. 2015, 88, 268–274. [Google Scholar] [CrossRef]
- Islam, M.U.; Jiang, F.; Guo, Z.; Peng, X. Does biochar application improve soil aggregation? A meta-analysis. Soil Tillage Res. 2021, 209, 104926. [Google Scholar] [CrossRef]
- Chow, A.T.; Tanji, K.K.; Gao, S.; Dahlgren, R.A. Temperature, water content and wet–dry cycle effects on DOC production and carbon mineralization in agricultural peat soils. Soil Biol. Biochem. 2006, 38, 477–488. [Google Scholar] [CrossRef]
- Bostick, K.W.; Zimmerman, A.R.; Goranov, A.; Mitra, S.; Hatcher, P.G.; Wozniak, A.S. Biolability of Fresh and Photodegraded Pyrogenic Dissolved Organic Matter From Laboratory-Prepared Chars. J. Geophys. Res. Biogeosci. 2021, 126, e2020JG005981. [Google Scholar] [CrossRef]
- Bostick, K.W.; Zimmerman, A.R.; Wozniak, A.S.; Mitra, S.; Hatcher, P.G. Production and Composition of Pyrogenic Dissolved Organic Matter From a Logical Series of Laboratory-Generated Chars. Front. Earth Sci. 2018, 6, 43. [Google Scholar] [CrossRef]
- Gibson, C.D.; Hatton, P.-J.; Bird, J.A.; Nadelhoffer, K.; Ward, C.P.; Stark, R.E.; Filley, T.R. Interacting controls of pyrolysis temperature and plant taxa on the degradability of PyOM in fire-prone northern temperate forest soil. Soil Syst. 2018, 2, 48. [Google Scholar] [CrossRef]
- Hockaday, W.C.; Grannas, A.M.; Kim, S.; Hatcher, P.G. Direct molecular evidence for the degradation and mobility of black carbon in soils from ultrahigh-resolution mass spectral analysis of dissolved organic matter from a fire-impacted forest soil. Org. Geochem. 2006, 37, 501–510. [Google Scholar] [CrossRef]
- Abiven, S.; Hengartner, P.; Schneider, M.P.; Singh, N.; Schmidt, M.W. Pyrogenic carbon soluble fraction is larger and more aromatic in aged charcoal than in fresh charcoal. Soil Biol. Biochem. 2011, 43, 1615–1617. [Google Scholar] [CrossRef]
- Jones, D.; Murphy, D.; Khalid, M.; Ahmad, W.; Edwards-Jones, G.; DeLuca, T. Short-term biochar-induced increase in soil CO2 release is both biotically and abiotically mediated. Soil Biol. Biochem. 2011, 43, 1723–1731. [Google Scholar] [CrossRef]
- Schiedung, M.; Bellè, S.-L.; Sigmund, G.; Kalbitz, K.; Abiven, S. Vertical mobility of pyrogenic organic matter in soils: A column experiment. Biogeosciences 2020, 17, 6457–6474. [Google Scholar] [CrossRef]
- Wozniak, A.S.; Mitra, S.; Goranov, A.I.; Zimmerman, A.R.; Bostick, K.W.; Hatcher, P.G. Effects of Environmental Aging on Wildfire Particulate and Dissolved Pyrogenic Organic Matter Characteristics. ACS Earth Space Chem. 2023, 8, 104–118. [Google Scholar] [CrossRef]
- Pulcher, R.; Balugani, E.; Ventura, M.; Greggio, N.; Marazza, D. Inclusion of biochar in a C dynamics model based on observations from an 8-year field experiment. Soil 2022, 8, 199–211. [Google Scholar] [CrossRef]
- Felber, R.; Leifeld, J.; Horák, J.; Neftel, A. Nitrous oxide emission reduction with greenwaste biochar: Comparison of laboratory and field experiments. Eur. J. Soil Sci. 2014, 65, 128–138. [Google Scholar] [CrossRef]
- Dong, X.; Singh, B.P.; Li, G.; Lin, Q.; Zhao, X. Biochar application constrained native soil organic carbon accumulation from wheat residue inputs in a long-term wheat-maize cropping system. Agric. Ecosyst. Environ. 2018, 252, 200–207. [Google Scholar] [CrossRef]
- Ventura, M.; Alberti, G.; Panzacchi, P.; Vedove, G.D.; Miglietta, F.; Tonon, G. Biochar mineralization and priming effect in a poplar short rotation coppice from a 3-year field experiment. Biol. Fertil. Soils 2019, 55, 67–78. [Google Scholar] [CrossRef]
- Blanco-Canqui, H.; Laird, D.A.; Heaton, E.A.; Rathke, S.; Acharya, B.S. Soil carbon increased by twice the amount of biochar carbon applied after 6 years: Field evidence of negative priming. GCB Bioenergy 2020, 12, 240–251. [Google Scholar] [CrossRef]
- Shi, S.; Zhang, Q.; Lou, Y.; Du, Z.; Wang, Q.; Hu, N.; Wang, Y.; Gunina, A.; Song, J. Soil organic and inorganic carbon sequestration by consecutive biochar application: Results from a decade field experiment. Soil Use Manag. 2021, 37, 95–103. [Google Scholar] [CrossRef]
- Singh, B.P.; Fang, Y.; Boersma, M.; Collins, D.; Van Zwieten, L.; Macdonald, L.M. In situ persistence and migration of biochar carbon and its impact on native carbon emission in contrasting soils under managed temperate pastures. PLoS ONE 2015, 10, e0141560. [Google Scholar] [CrossRef] [PubMed]
- Ventura, M.; Alberti, G.; Viger, M.; Jenkins, J.R.; Girardin, C.; Baronti, S.; Zaldei, A.; Taylor, G.; Rumpel, C.; Miglietta, F. Biochar mineralization and priming effect on SOM decomposition in two European short rotation coppices. GCB Bioenergy 2015, 7, 1150–1160. [Google Scholar] [CrossRef]
- Weng, Z.H.; Van Zwieten, L.; Singh, B.P.; Kimber, S.; Morris, S.; Cowie, A.; Macdonald, L.M. Plant-biochar interactions drive the negative priming of soil organic carbon in an annual ryegrass field system. Soil Biol. Biochem. 2015, 90, 111–121. [Google Scholar] [CrossRef]
- Reed, E.Y.; Chadwick, D.R.; Hill, P.W.; Jones, D.L. Critical comparison of the impact of biochar and wood ash on soil organic matter cycling and grassland productivity. Soil Biol. Biochem. 2017, 110, 134–142. [Google Scholar] [CrossRef]
- Cross, A.; Sohi, S.P. The priming potential of biochar products in relation to labile carbon contents and soil organic matter status. Soil Biol. Biochem. 2011, 43, 2127–2134. [Google Scholar] [CrossRef]
- Maestrini, B.; Nannipieri, P.; Abiven, S. A meta-analysis on pyrogenic organic matter induced priming effect. GCB Bioenergy 2015, 7, 577–590. [Google Scholar] [CrossRef]
- Yu, Z.; Chen, L.; Pan, S.; Li, Y.; Kuzyakov, Y.; Xu, J.; Brookes, P.; Luo, Y. Feedstock determines biochar-induced soil priming effects by stimulating the activity of specific microorganisms. Eur. J. Soil Sci. 2018, 69, 521–534. [Google Scholar] [CrossRef]
- Raya-Moreno, I.; Cañizares, R.; Domene, X.; Carabassa, V.; Alcañiz, J.M. Biochar Addition to a Mediterranean Agroecosystem: Short-Term Divergent Priming Effects. Agriculture 2024, 14, 242. [Google Scholar] [CrossRef]
- DeCiucies, S.; Whitman, T.; Woolf, D.; Enders, A.; Lehmann, J. Priming mechanisms with additions of pyrogenic organic matter to soil. Geochim. Cosmochim. Acta 2018, 238, 329–342. [Google Scholar] [CrossRef]
- Sun, F.; Lu, S. Biochars improve aggregate stability, water retention, and pore-space properties of clayey soil. J. Plant Nutr. Soil Sci. 2014, 177, 26–33. [Google Scholar] [CrossRef]
- Sun, J.; He, F.; Zhang, Z.; Shao, H.; Xu, G. Temperature and moisture responses to carbon mineralization in the biochar-amended saline soil. Sci. Total Environ. 2016, 569, 390–394. [Google Scholar] [CrossRef]
- Ding, F.; Van Zwieten, L.; Zhang, W.; Weng, Z.; Shi, S.; Wang, J.; Meng, J. A meta-analysis and critical evaluation of influencing factors on soil carbon priming following biochar amendment. J. Soils Sediments 2018, 18, 1507–1517. [Google Scholar] [CrossRef]
- Fang, Y.; Singh, B.; Singh, B.P. Effect of temperature on biochar priming effects and its stability in soils. Soil Biol. Biochem. 2015, 80, 136–145. [Google Scholar] [CrossRef]
- Soinne, H.; Hovi, J.; Tammeorg, P.; Turtola, E. Effect of biochar on phosphorus sorption and clay soil aggregate stability. Geoderma 2014, 219, 162–167. [Google Scholar] [CrossRef]
- Wang, D.; Fonte, S.J.; Parikh, S.J.; Six, J.; Scow, K.M. Biochar additions can enhance soil structure and the physical stabilization of C in aggregates. Geoderma 2017, 303, 110–117. [Google Scholar] [CrossRef]
- Abbruzzini, T.F.; Moreira, M.Z.; de Camargo, P.B.; Conz, R.F.; Cerri, C.E.P. Increasing rates of biochar application to soil induce stronger negative priming effect on soil organic carbon decomposition. Agric. Res. 2017, 6, 389–398. [Google Scholar] [CrossRef]
- Liu, Y.; Chen, Y.; Wang, Y.; Lu, H.; He, L.; Yang, S. Negative priming effect of three kinds of biochar on the mineralization of native soil organic carbon. Land Degrad. Dev. 2018, 29, 3985–3994. [Google Scholar] [CrossRef]
- Rasul, M.; Cho, J.; Shin, H.-S.; Hur, J. Biochar-induced priming effects in soil via modifying the status of soil organic matter and microflora: A review. Sci. Total Environ. 2022, 805, 150304. [Google Scholar] [CrossRef] [PubMed]
- Leng, L.; Xu, X.; Wei, L.; Fan, L.; Huang, H.; Li, J.; Lu, Q.; Li, J.; Zhou, W. Biochar stability assessment by incubation and modelling: Methods, drawbacks and recommendations. Sci. Total Environ. 2019, 664, 11–23. [Google Scholar] [CrossRef] [PubMed]
- Budai, A.; Zimmerman, A.; Cowie, A.; Webber, J.; Singh, B.; Glaser, B.; Masiello, C.; Andersson, D.; Shields, F.; Lehmann, J. Biochar Carbon Stability Test Method: An assessment of methods to determine biochar carbon stability. Int. Biochar Initiat. 2013, 20, 1–20. [Google Scholar]
- IBI-STD-2.0; Product Testing Guidelines for Biochar That Is Used in Soil. IBI Biochar Standards, International Biochar Initiative: Norfolk, VA, USA, 2016.
- Rasse, D.P.; Budai, A.; O’Toole, A.; Ma, X.; Rumpel, C.; Abiven, S. Persistence in soil of Miscanthus biochar in laboratory and field conditions. PLoS ONE 2017, 12, e0184383. [Google Scholar] [CrossRef] [PubMed]
- Naisse, C.; Girardin, C.; Lefevre, R.; Pozzi, A.; Maas, R.; Stark, A.; Rumpel, C. Effect of physical weathering on the carbon sequestration potential of biochars and hydrochars in soil. GCB Bioenergy 2015, 7, 488–496. [Google Scholar] [CrossRef]
- Maestrini, B.; Abiven, S.; Singh, N.; Bird, J.; Torn, M.S.; Schmidt, M.W. Carbon losses from pyrolysed and original wood in a forest soil under natural and increased N deposition. Biogeosciences 2014, 11, 5199–5213. [Google Scholar] [CrossRef]
- Sun, M.-Y.; Aller, R.C.; Lee, C.; Wakeham, S.G. Effects of oxygen and redox oscillation on degradation of cell-associated lipids in surficial marine sediments. Geochim. Cosmochim. Acta 2002, 66, 2003–2012. [Google Scholar] [CrossRef]
- Cravo-Laureau, C.; Hernandez-Raquet, G.; Vitte, I.; Jézéquel, R.; Bellet, V.; Godon, J.-J.; Caumette, P.; Balaguer, P.; Duran, R. Role of environmental fluctuations and microbial diversity in degradation of hydrocarbons in contaminated sludge. Res. Microbiol. 2011, 162, 888–895. [Google Scholar] [CrossRef] [PubMed]
- Schiedung, M.; Bellè, S.-L.; Hoeschen, C.; Schweizer, S.A.; Abiven, S. Enhanced loss but limited mobility of pyrogenic and organic matter in continuous permafrost-affected forest soils. Soil Biol. Biochem. 2023, 178, 108959. [Google Scholar] [CrossRef]
- Maestrini, B.; Alvey, E.C.; Hurteau, M.D.; Safford, H.; Miesel, J.R. Fire severity alters the distribution of pyrogenic carbon stocks across ecosystem pools in a Californian mixed-conifer forest. J. Geophys. Res. Biogeosci. 2017, 122, 2338–2355. [Google Scholar] [CrossRef]







Disclaimer/Publisher’s Note: The statements, opinions and data contained in all publications are solely those of the individual author(s) and contributor(s) and not of MDPI and/or the editor(s). MDPI and/or the editor(s) disclaim responsibility for any injury to people or property resulting from any ideas, methods, instructions or products referred to in the content. |
© 2025 by the authors. Licensee MDPI, Basel, Switzerland. This article is an open access article distributed under the terms and conditions of the Creative Commons Attribution (CC BY) license (https://creativecommons.org/licenses/by/4.0/).
Share and Cite
Lyu, J.; Zimmerman, A.R. Large Losses of Pyrogenic Carbon (Biochar) and Native Soil Carbon During a 15-Month Field Study in North Florida, USA. Agriculture 2025, 15, 300. https://doi.org/10.3390/agriculture15030300
Lyu J, Zimmerman AR. Large Losses of Pyrogenic Carbon (Biochar) and Native Soil Carbon During a 15-Month Field Study in North Florida, USA. Agriculture. 2025; 15(3):300. https://doi.org/10.3390/agriculture15030300
Chicago/Turabian StyleLyu, Jing, and Andrew R. Zimmerman. 2025. "Large Losses of Pyrogenic Carbon (Biochar) and Native Soil Carbon During a 15-Month Field Study in North Florida, USA" Agriculture 15, no. 3: 300. https://doi.org/10.3390/agriculture15030300
APA StyleLyu, J., & Zimmerman, A. R. (2025). Large Losses of Pyrogenic Carbon (Biochar) and Native Soil Carbon During a 15-Month Field Study in North Florida, USA. Agriculture, 15(3), 300. https://doi.org/10.3390/agriculture15030300

