Matching Phosphorus Fertilizer Types with Soil Type in Rice Cultivation Optimizes Yield, Soil Phosphorus Availability, and Phosphorus Fertilizer Use Efficiency
Abstract
1. Introduction
2. Materials and Methods
2.1. Site Description and Experimental Soils
2.2. Experimental Design
2.3. Sampling and Analysis
2.4. Calculations
2.5. Statistical Analyses
3. Results
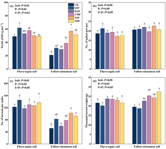
3.1. Rice Yield
3.2. Soil P Availability and Fractions
3.3. Root Morphological Characteristics
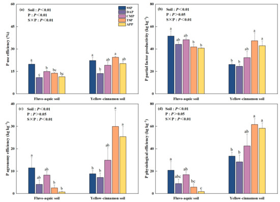
3.4. P Use Efficiency and Shoot P Uptake
3.5. Relationship Between P Uptake, Soil P Fractions and ACP/ALP Activity
4. Discussion
4.1. Effects of P Fertilizer Types on Yield and P Uptake of Rice
4.2. Effects of P Fertilizer Types on Soil P Pool
4.3. Association Between Shoot P Uptake and Soil P Pool
5. Conclusions
Supplementary Materials
Author Contributions
Funding
Institutional Review Board Statement
Data Availability Statement
Conflicts of Interest
References
- Zou, T.; Zhang, X.; Davidson, E.A. Global trends of cropland phosphorus use and sustainability challenges. Nature 2022, 611, 81–87. [Google Scholar] [CrossRef] [PubMed]
- Yu, X.; Keitel, C.; Dijkstra, F.A. Global analysis of phosphorus fertilizer use efficiency in cereal crops. Glob. Food Secur.-Agric. Policy Econ. Environ. 2021, 29, 100545. [Google Scholar] [CrossRef]
- Hinsinger, P. Bioavailability of soil inorganic P in the rhizosphere as affected by root-induced chemical changes: A review. Plant Soil 2001, 237, 173–195. [Google Scholar] [CrossRef]
- Arai, Y.; Sparks, D.L. Phosphate reaction dynamics in soils and soil components: A muiltiscale approach. Adv. Agron. 2007, 94, 135–179. [Google Scholar] [CrossRef]
- Shen, J.B.; Yuan, L.X.; Zhang, J.L.; Li, H.G.; Bai, Z.H.; Chen, X.P.; Zhang, W.F.; Zhang, F.S. Phosphorus Dynamics: From Soil to Plant. Plant Physiol. 2011, 156, 997–1005. [Google Scholar] [CrossRef] [PubMed]
- Barrow, N.J.; Sen, A.; Roy, N.; Debnath, A. The soil phosphate fractionation fallacy. Plant Soil 2021, 459, 1–11. [Google Scholar] [CrossRef]
- Oberson, A.; Besson, J.M.; Maire, N.; Sticher, H. Microbiological processes in soil organic phosphorus transformations in conventional and biological farming systems. Biol. Fertil. Soils 1996, 21, 138–148. [Google Scholar] [CrossRef]
- Jin, X.C.; Wang, S.R.; Pang, Y.; Wu, F.C. Phosphorus fractions and the effect of pH on the phosphorus release of the sediments from different trophic areas in Taihu Lake, China. Environ. Pollut. 2006, 139, 288–295. [Google Scholar] [CrossRef] [PubMed]
- Negassa, W.; Leinweber, P. How does the Hedley sequential phosphorus fractionation reflect impacts of land use and management on soil phosphorus: A review. J. Plant Nutr. Soil Sci. 2009, 172, 305–325. [Google Scholar] [CrossRef]
- Dao, T.H.; Schomberg, H.H.; Cavigelli, M.A. Tillage and rotational effects on exchangeable and enzyme-labile phosphorus forms in conventional and organic cropping systems. Nutr. Cycl. Agroecosyst. 2015, 101, 153–165. [Google Scholar] [CrossRef]
- Wang, C.; Yang, Q.N.; Zhang, C.; Zhou, B.; Liu, T.X.; Zhang, X.L.; Chen, J.; Chen, J.J.; Liu, K.X. Vegetation restoration of abandoned cropland improves soil phosphorus availability and microbial activities in the Danxia degraded region. Appl. Soil Ecol. 2023, 188, 104921. [Google Scholar] [CrossRef]
- Gong, H.Q.; Meng, F.L.; Wang, G.H.; Hartmann, T.E.; Feng, G.; Wu, J.C.; Jiao, X.Q.; Zhang, F.S. Toward the sustainable use of mineral phosphorus fertilizers for crop production in China: From primary resource demand to final agricultural use. Sci. Total Environ. 2022, 804, 150183. [Google Scholar] [CrossRef] [PubMed]
- Khan, A.; Guo, S.L.; Wang, R.; Zhang, S.L.; Yang, X.Y.; He, B.H.; Li, T.Y. An assessment of various pools of organic phosphorus distributed in soil aggregates as affected by long-term P fertilization regimes. Soil Use Manag. 2023, 39, 833–848. [Google Scholar] [CrossRef]
- Wang, L.; Gao, X.Z.; Ma, W.Q.; Zhang, W.F. The using conditions and developing directions of Chinese phosphorous fertilizer. Plant Nutr. Fertil. Sci. 2006, 12, 732–737. [Google Scholar] [CrossRef]
- Lv, Y.M.; Yang, J.P.; Zhao, X.; Ye, X.Y. Effects of different phosphate fertilizers on the availability and bioaccumulation of cadmium in the tea garden soil. J. Zhejiang Univ. 2015, 42, 726–754. [Google Scholar] [CrossRef]
- Shen, P.; Sun, X.S.; Wang, C.B.; Shi, C.R.; Yu, T.Y. Research progress and prospect of the utilization characteristics of phosphorus and its high-efficiency management for peanut. J. Nucl. Agric. Sci. 2015, 29, 2246–2251. [Google Scholar] [CrossRef]
- Chen, Y.L.; Chen, X.J.; Zhang, C.L.; Tu, P.F.; Deng, L.S. Conversion of ammonium polyphosphate (APP) in acidic soil and its effect on soil phosphorus availability. Appl. Ecol. Environ. Res. 2020, 18, 4405–4415. [Google Scholar] [CrossRef]
- Bundy, L.G.; Tunney, H.; Halvorson, A.D. Agronomic aspects of phosphorus management. Phosphorus Agric. Environ. 2005, 46, 683–727. [Google Scholar] [CrossRef]
- Koenig, R.; Winward, D.; Reid, C.; Barnhill, J.; Pace, M.; Heaton, K. Phosphorus source and surface fluid band spacing effects on irrigated alfalfa. Soil Sci. Soc. Am. J. 2009, 73, 367–374. [Google Scholar] [CrossRef]
- Mussarat, M.; Ali, H.; Muhammad, D.; Mian, I.A.; Khan, S.; Adnan, M.; Fahad, S.; Wahid, F.; Dawar, K.; Ali, S.; et al. Comparing the phosphorus use efficiency of pre-treated (organically) rock phosphate with soluble P fertilizers in maize under calcareous soils. PeerJ 2021, 9, e11452. [Google Scholar] [CrossRef] [PubMed]
- Zhou, L.; Su, L.Z.; Zhao, H.M.; Zhang, L.Y.; Zheng, Y.; Tang, L. Matching study of low phosphorus red soil-maize-phosphate fertilizer varieties. Soil Fertil. Sci. China 2023, 12, 210–218. [Google Scholar]
- Wang, Y.Z.; Peng, X.Y.; Lai, L.Y.; Li, H.; Zhang, X.Y.; Chen, H.X.; Xie, L.T. Phosphorus fertilization regimes and rates alter Cd extractability in rhizospheric soils and uptake in maize (Zea mays L.). Chemosphere 2022, 298, 134288. [Google Scholar] [CrossRef] [PubMed]
- Omidire, N.S.; Brye, K.R.; Roberts, T.L.; Kekedy-Nagy, L.; Greenlee, L.; Gbur, E.E.; Mozzoni, L.A. Evaluation of electrochemically precipitated struvite as a fertilizer-phosphorus source in flood-irrigated rice. Agron. J. 2022, 114, 739–755. [Google Scholar] [CrossRef]
- Liu, L.; Miao, Q.; Wang, H.Y.; Xue, Y.F.; Qi, S.J.; Zhang, J.S.; Li, J.C.; Meng, Q.F.; Cui, Z.L. Optimizing phosphorus application for winter wheat production in the coastal saline area. Agronomy 2022, 12, 2966. [Google Scholar] [CrossRef]
- Oliveira, L.E.Z.; Nunes, R.D.; de Figueiredo, C.C.; Rein, T.A. Spatial distribution of soil phosphorus fractions in a clayey oxisol submitted to long-term phosphate fertilization strategies. Geoderma 2022, 418, 115847. [Google Scholar] [CrossRef]
- Milic, S.; Ninkov, J.; Zeremski, T.; Latkovic, D.; Seremesic, S.; Radovanovic, V.; Zarkovic, B. Soil fertility and phosphorus fractions in a calcareous chernozem after a long-term field experiment. Geoderma 2019, 339, 9–19. [Google Scholar] [CrossRef]
- Hedley, M.J.; Stewart, J.W.B.; Chauhan, B.S.C. Changes in inorganic and organic soil phosphorus fractions induced by cultivation practices and by laboratory incubations. Soil Sci. Soc. Am. J. 1982, 46, 970–976. [Google Scholar] [CrossRef]
- Sui, Y.B.; Thompson, M.L.; Shang, C. Fractionation of phosphorus in a Mollisol amended with biosolids. Soil Sci. Soc. Am. J. 1999, 63, 1174–1180. [Google Scholar] [CrossRef]
- Abdel-Satar, A.M.; Sayed, M.F. Sequential fractionation of phosphorus in sediments of El-Fayum lakes-Egypt. Environ. Monit. Assess. 2010, 169, 169–178. [Google Scholar] [CrossRef]
- Li, L.; Liang, X.Q.; Ye, Y.S.; Zhao, Y.; Zhang, Y.X.; Jin, Y.; Yuan, J.L.; Chen, Y.X. Effects of repeated swine manure applications on legacy phosphorus and phosphomonoesterase activities in a paddy soil. Biol. Fertil. Soils 2015, 51, 167–181. [Google Scholar] [CrossRef]
- Gao, Y.J.; Wang, X.W.; Shah, J.A.; Chu, G.X. Polyphosphate fertilizers increased maize (Zea mays L.) P, Fe, Zn, and Mn uptake by decreasing P fixation and mobilizing microelements in calcareous soil. J. Soils Sediments 2020, 20, 1–11. [Google Scholar] [CrossRef]
- Turan, M.; Ataoglu, N.; Sahin, F. Effects of Bacillus FS-3 on growth of tomato (Lycopersicon esculentum L.) plants and availability of phosphorus in soil. Plant Soil Environ. 2007, 53, 58–64. [Google Scholar] [CrossRef]
- Wei, P.; Shi, F.; Wang, X.X.; Peng, S.Y.; Chai, R.S.; Zhang, L.L.; Zhang, C.C.; Luo, L.C.; Siddique, K.H.M. Optimizing rice yield and phosphorus use efficiency through root morphology and soil phosphorus management in agricultural soils. Ann. Agric. Sci. 2024, 69, 53–66. [Google Scholar] [CrossRef]
- Fan, K.K.; Weisenhorn, P.; Gilbert, J.A.; Chu, H.Y. Wheat rhizosphere harbors a less complex and more stable microbial co-occurrence pattern than bulk soil. Soil Biol. Biochem. 2018, 125, 251–260. [Google Scholar] [CrossRef]
- Liu, B.H.; Wang, S.X.; Wang, J.; Zhang, X.Z.; Shen, Z.G.; Shi, L.; Chen, Y.H. The great potential for phytoremediation of abandoned tailings pond using ectomycorrhizal Pinus sylvestris. Sci. Total Environ. 2020, 719, 137475. [Google Scholar] [CrossRef] [PubMed]
- Shao, T.Y.; Zhao, J.Y.; Liu, A.H.; Long, X.H.; Rengel, Z. Effects of soil physicochemical properties on microbial communities in different ecological niches in coastal area. Appl. Soil Ecol. 2020, 150, 103486. [Google Scholar] [CrossRef]
- Cakmak, I. Plant nutrition research: Priorities to meet human needs for food in sustainable ways. Plant Soil 2002, 247, 3–24. [Google Scholar] [CrossRef]
- Jobbágy, E.G.; Sala, O.E. The imprint of crop choice on global nutrient needs. Environ. Res. Lett. 2014, 9, 084014. [Google Scholar] [CrossRef]
- Dhillon, J.; Torres, G.; Driver, E.; Figueiredo, B.; Raun, W.R. World phosphorus use efficiency in cereal crops. Agron. J. 2017, 109, 1670–1677. [Google Scholar] [CrossRef]
- Meyer, G.; Bell, M.J.; Doolette, C.L.; Brunetti, G.; Zhang, Y.Q.; Lombi, E.; Kopittke, P.M. Plant-available phosphorus in highly concentrated fertilizer bands: Effects of soil type, phosphorus form, and coapplied potassium. J. Agric. Food Chem. 2020, 68, 7571–7580. [Google Scholar] [CrossRef] [PubMed]
- Zhao, Y.N.; Li, R.K.; Huang, Y.F.; Sun, X.M.; Qin, W.; Wei, F.F.; Ye, Y.L. Effects of various phosphorus fertilizers on maize yield and phosphorus uptake in soils with different pH values. Arch. Agron. Soil Sci. 2022, 68, 1746–1754. [Google Scholar] [CrossRef]
- Luo, L.C.; Wei, P.; Peng, S.Y.; Wang, X.X.; Chai, R.S.; Zhang, C.C.; Kadambot, H.M.S.; Palta, J.A. Rational phosphorus stewardship for sustainable maize production in China: A meta-analysis. Eur. J. Agron. 2024, 153, 127072. [Google Scholar] [CrossRef]
- Luo, L.C.; Zhang, X.Y.; Zhang, M.; Wei, P.; Chai, R.S.; Wang, Y.Y.; Zhang, C.C.; Siddique, K.H.M. Improving wheat yield and phosphorus use efficiency through the optimization of phosphorus fertilizer types based on soil P pool characteristics in calcareous and non-calcareous soil. Agronomy 2023, 13, 928. [Google Scholar] [CrossRef]
- Saracanlao, R.J.; Van, R.H.; Verbeeck, M.; Everaert, M.; Smolders, E. Increasing phosphorus fertilizer value of recycled iron phosphates by prolonged flooding and organic matter addition. Pedosphere 2024, 34, 631–640. [Google Scholar] [CrossRef]
- Wang, K.K.; Ren, T.; Yan, J.Y.; Zhu, D.D.; Liao, S.P.; Zhang, Y.Y.; Lu, Z.F.; Cong, R.H.; Li, X.K.; Lu, J.W. Straw returning mediates soil microbial biomass carbon and phosphorus turnover to enhance soil phosphorus availability in a rice-oilseed rape rotation with different soil phosphorus levels. Agric. Ecosyst. Environ. 2022, 335, 107991. [Google Scholar] [CrossRef]
- Wang, Y.; Zhao, X.; Wang, L.; Jin, S.Z.; Zhu, W.B.; Lu, Y.N.; Wang, S.Q. A five-year P fertilization pot trial for wheat only in a rice-wheat rotation of Chinese paddy soil: Interaction of P availability and microorganism. Plant Soil 2016, 399, 305–318. [Google Scholar] [CrossRef]
- Pizzeghello, D.; Schiavon, M.; Maretto, L.; Stevanato, P.; Ertani, A.; Altissimo, A.; Nardi, S. Short-term application of polymer-coated mono-ammonium phosphate in a calcareous soil affects the pools of available phosphorus and the growth of Hypericum x moserianum (L.). Front. Sustain. Food Syst. 2019, 3, 4. [Google Scholar] [CrossRef]
- Pizzeghello, D.; Berti, A.; Nardi, S.; Morari, F. Phosphorus forms and P-sorption properties in three alkaline soils after long-term mineral and manure applications in north-eastern Italy. Agric. Ecosyst. Environ. 2011, 141, 58–66. [Google Scholar] [CrossRef]
- Li, S.X.; Wang, Z.H.; Stewart, B.A. Differences of some leguminous and nonleguminous crops in utilization of soil phosphorus and responses to phosphate fertilizers. Adv. Agron. 2011, 110, 125–249. [Google Scholar] [CrossRef]
- Pheav, S.; Bell, R.W.; Kirk, G.J.D.; White, P.F. Phosphorus cycling in rainfed lowland rice ecosystems on sandy soils. Plant Soil 2005, 269, 89–98. [Google Scholar] [CrossRef]
- Shah, J.A.; Chu, G.X. Short-chain soluble polyphosphate fertilizers increased soil P availability and mobility by reducing P fixation in two contrasting calcareous soils. PeerJ 2021, 9, e11493. [Google Scholar] [CrossRef]
- Zhang, Q.; Wang, G.H.; Feng, Y.K.; Sun, Q.Z.; Witt, C.; Dobermann, A. Changes in soil phosphorus fractions in a calcareous paddy soil under intensive rice cropping. Plant Soil 2006, 288, 141–154. [Google Scholar] [CrossRef]
- DeForest, J.L.; Smemo, K.A.; Burke, D.J.; Elliott, H.L.; Becker, J.C. Soil microbial responses to elevated phosphorus and pH in acidic temperate deciduous forests. Biogeochemistry 2012, 9, 189–202. [Google Scholar] [CrossRef]
- Olander, L.P.; Vitousek, P.M. Regulation of soil phosphatase and chitinase activity by N and P availability. Biogeochemistry 2000, 49, 175–190. [Google Scholar] [CrossRef]
- Pettersson, K. The availability of phosphorus and the species composition of the spring phytoplankton in lake Erken. Int. Rev. Hydrobiol. 1985, 70, 527–546. [Google Scholar] [CrossRef]
- Gou, X.M.; Ren, Y.Q.; Qin, X.; Wei, X.R.; Wang, J.J. Global patterns of soil phosphatase responses to nitrogen and phosphorus fertilization. Pedosphere 2024, 34, 200–210. [Google Scholar] [CrossRef]
- Chen, C.R.; Condron, L.M.; Davis, M.R.; Sherlock, R.R. Phosphorus dynamics in the rhizosphere of perennial ryegrass (Lolium perenne L.) and radiata pine (Pinus radiata D. Don.). Soil Biol. Biochem. 2002, 34, 487–499. [Google Scholar] [CrossRef]
- Zheng, M.M.; Wang, C.; Li, W.X.; Guo, L.; Cai, Z.J.; Wang, B.R.; Chen, J.; Shen, R.F. Changes of acid and alkaline phosphatase activities in long-term chemical fertilization are driven by the similar soil properties and associated microbial community composition in acidic soil. Eur. J. Soil Biol. 2021, 104, 103312. [Google Scholar] [CrossRef]
- Timofeeva, A.; Galyamova, M.; Sedykh, S. Prospects for using phosphate-solubilizing microorganisms as natural fertilizers in agriculture. Plants 2022, 11, 2119. [Google Scholar] [CrossRef] [PubMed]











| Soil Types | Texture | BD | Porosity | OC | TN | AP | AK | pH |
|---|---|---|---|---|---|---|---|---|
| g cm−3 | % | g kg−1 | g kg−1 | mg kg−1 | mg kg−1 | |||
| Fluvo-aquic soil | Sandy loam | 1.22 | 53.96 | 11.7 | 0.65 | 4.9 | 101.3 | 8.04 |
| Yellow-cinnamon soil | Clay loam | 1.43 | 49.07 | 14.9 | 0.93 | 4.1 | 150.0 | 7.17 |
Disclaimer/Publisher’s Note: The statements, opinions and data contained in all publications are solely those of the individual author(s) and contributor(s) and not of MDPI and/or the editor(s). MDPI and/or the editor(s) disclaim responsibility for any injury to people or property resulting from any ideas, methods, instructions or products referred to in the content. |
© 2025 by the authors. Licensee MDPI, Basel, Switzerland. This article is an open access article distributed under the terms and conditions of the Creative Commons Attribution (CC BY) license (https://creativecommons.org/licenses/by/4.0/).
Share and Cite
Peng, S.; Zhang, X.; Sun, L.; Chai, R.; Zhang, C.; Chen, X.; Luo, L.; Siddique, K.H.M. Matching Phosphorus Fertilizer Types with Soil Type in Rice Cultivation Optimizes Yield, Soil Phosphorus Availability, and Phosphorus Fertilizer Use Efficiency. Agriculture 2025, 15, 172. https://doi.org/10.3390/agriculture15020172
Peng S, Zhang X, Sun L, Chai R, Zhang C, Chen X, Luo L, Siddique KHM. Matching Phosphorus Fertilizer Types with Soil Type in Rice Cultivation Optimizes Yield, Soil Phosphorus Availability, and Phosphorus Fertilizer Use Efficiency. Agriculture. 2025; 15(2):172. https://doi.org/10.3390/agriculture15020172
Chicago/Turabian StylePeng, Shiyu, Xinyao Zhang, Le Sun, Rushan Chai, Chaochun Zhang, Xiaohui Chen, Laichao Luo, and Kadambot H. M. Siddique. 2025. "Matching Phosphorus Fertilizer Types with Soil Type in Rice Cultivation Optimizes Yield, Soil Phosphorus Availability, and Phosphorus Fertilizer Use Efficiency" Agriculture 15, no. 2: 172. https://doi.org/10.3390/agriculture15020172
APA StylePeng, S., Zhang, X., Sun, L., Chai, R., Zhang, C., Chen, X., Luo, L., & Siddique, K. H. M. (2025). Matching Phosphorus Fertilizer Types with Soil Type in Rice Cultivation Optimizes Yield, Soil Phosphorus Availability, and Phosphorus Fertilizer Use Efficiency. Agriculture, 15(2), 172. https://doi.org/10.3390/agriculture15020172

