Hybrid Cultivar and Crop Protection to Support Winter Rye Yield in Continuous Cropping
Abstract
1. Introduction
2. Materials and Methods
2.1. Study Site Characteristics
2.2. Overview of the Basic Long-Term Field Experiment
2.3. Study Design and Agronomic Management
2.4. Data Collection
2.5. Statistical Analysis
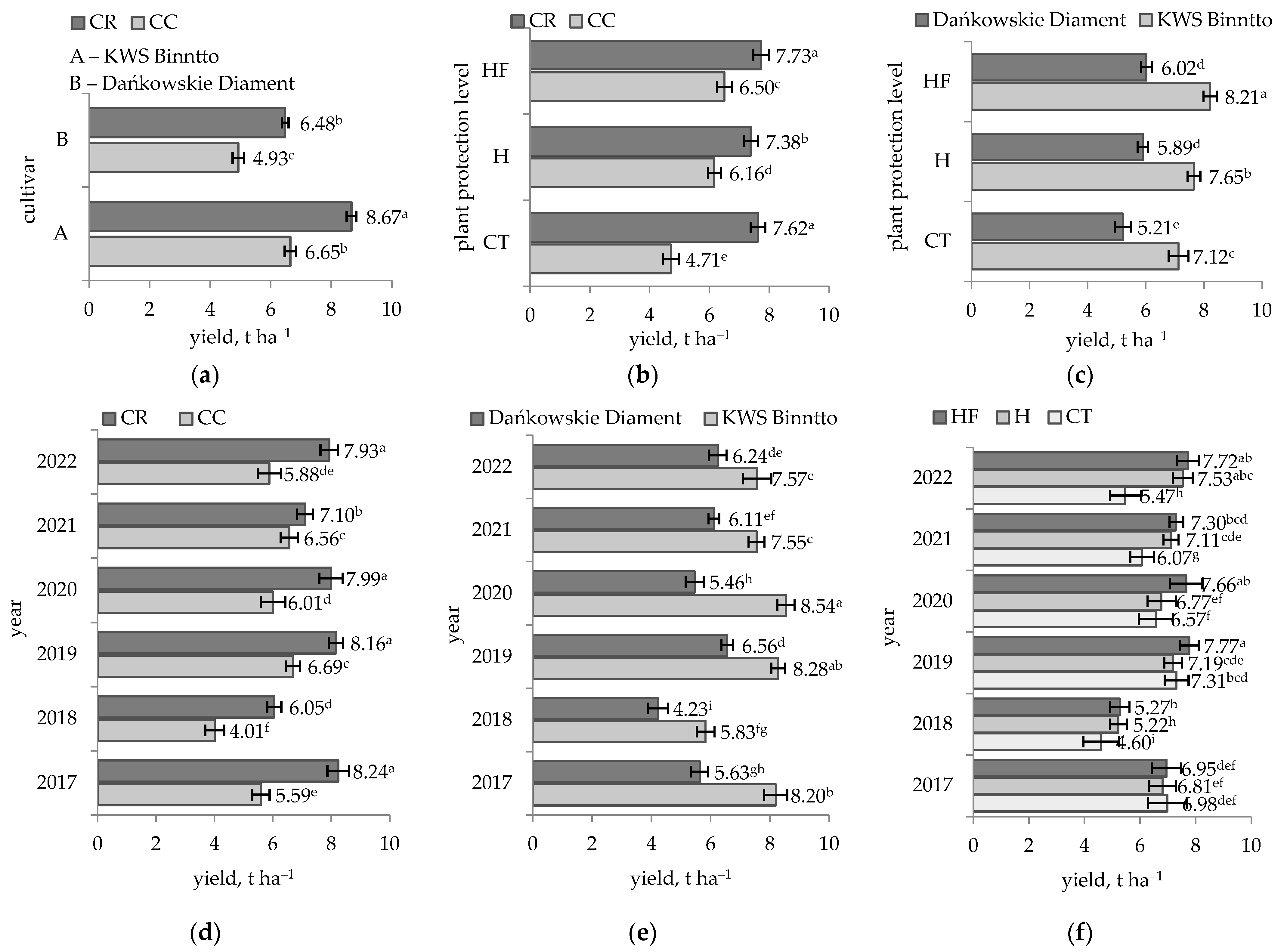
3. Results
4. Discussion
5. Conclusions
Supplementary Materials
Author Contributions
Funding
Institutional Review Board Statement
Data Availability Statement
Acknowledgments
Conflicts of Interest
Abbreviations
| ANOVA | analysis of variance |
| CC | continuous cropping |
| CCOs | continuous cropping obstacles |
| COBORU | Centralny Ośrodek Badania Odmian Roślin Uprawnych (Research Center for Cultivar Testing) |
| CR | crop rotation |
| CS | cropping system |
| CT | control treatment |
| Cv | cultivar |
| EUPVP | European Union Plant Variety Portal |
| FYM | farmyard manure |
| H | herbicide protection |
| HF | herbicide and fungicide protection |
| NLI | Polish National List (of agricultural plant varieties) |
| PP | plant protection |
| Yr | year |
References
- Ma, Z.; Guan, Z.; Liu, Q.; Hu, Y.; Liu, L.; Wang, B.; Huang, L.; Li, H.; Yang, Y.; Han, M.; et al. Chapter Four—Obstacles in continuous cropping: Mechanisms and control measures. In Advances in Agronomy; Sparks, D.L., Ed.; Academic Press: Cambridge, MA, USA, 2023; Volume 179, pp. 205–256. [Google Scholar] [CrossRef]
- Tan, G.; Liu, Y.; Peng, S.; Yin, H.; Meng, D.; Tao, J.; Gu, Y.; Li, J.; Yang, S.; Xiao, N.; et al. Soil potentials to resist continuous cropping obstacle: Three field cases. Environ. Res. 2021, 200, 111319. [Google Scholar] [CrossRef]
- Ma, L.; Ma, S.; Chen, G.; Lu, X.; Chai, Q.; Li, S. Mechanisms and mitigation strategies for the occurrence of continuous cropping obstacles of legumes in China. Agronomy 2024, 14, 104. [Google Scholar] [CrossRef]
- Guo, F.; Zhou, J.; Qi, C.; Chen, L.; Wu, J. Effects of vermicompost on rhizosphere metabolomics and bacterial community structures by the continuous cropping of scallion (Allium ascalonicum L.). Hortic. Environ. Biotechnol. 2025, 66, 1–11. [Google Scholar] [CrossRef]
- Blecharczyk, A.; Malecka, I.; Pudelko, J.; Piechota, T. Effect of long-term fertilization and cropping systems on yield and macroelements content in winter rye. Ann. UMCS Sec. E Agric. 2004, 59, 181–188. [Google Scholar]
- Adamiak, E. Struktura Zachwaszczenia i Produktywność Wybranych Agrocenoz Zbóż Ozimych i Jarych w Zależności od Systemu Następstwa Roślin i Ochrony Łanu; Wydawnictwo Uniwersytetu Warmińsko-Mazurskiego: Olsztyn, Poland, 2007; Volume 129, p. 146. [Google Scholar]
- Marks, M.; Rychcik, B.; Treder, K.; Tyburski, J. 50-letnie badania nad uprawą roślin w płodozmianie i monokulturze -źródło wiedzy i pomnik kultury rolnej. In Eksperymenty Wieloletnie w Badaniach Rolniczych w Polsce; Marks, M., Jastrzębska, M., Kostrzewska, M., Eds.; Wydawnictwo Uniwersytetu Warmińsko-Mazurskiego: Olsztyn, Poland, 2018; pp. 41–56. [Google Scholar]
- Blecharczyk, A.; Małecka-Jankowiak, I.; Sawińska, Z.; Piechota, T.; Waniorek, W. 60-letnie doświadczenie nawozowe w Brodach z uprawą roślin w zmianowaniu i monokultutrze. In Eksperymenty Wieloletnie w Badaniach Rolniczych w Polsce; Marks, M., Jastrzębska, M., Kostrzewska, M.K., Eds.; Wydawnictwo UWM: Olsztyn, Poland, 2018; pp. 27–40. [Google Scholar]
- Kurowski, T.P.; Adamiak, E. Occurrence of stem base diseases of four cereal species grown in long-term monocultures. Pol. J. Nat. Sci. 2007, 22, 574–583. [Google Scholar] [CrossRef]
- Chen, Y.; Du, J.; Li, Y.; Tang, H.; Yin, Z.; Yang, L.; Ding, X. Evolutions and managements of soil microbial community structure drove by continuous cropping. Front. Microbiol. 2022, 13, 839494. [Google Scholar] [CrossRef] [PubMed]
- Wang, K.; Lu, Q.; Dou, Z.; Chi, Z.; Cui, D.; Ma, J.; Wang, G.; Kuang, J.; Wang, N.; Zuo, Y. A review of research progress on continuous cropping obstacles. Front. Agric. Sci. Eng. 2024, 11, 253–270. [Google Scholar] [CrossRef]
- Woźniak, A. Effect of cropping systems on quantitative changes in prevailing weed species. Agron. Sci. 2023, 78, 121–133. [Google Scholar] [CrossRef]
- Cesarano, G.; Zotti, M.; Antignani, V.; Marra, R.; Scala, F.; Bonanomi, G. Soil sickness and negative plant-soil feedback: A reappraisal of hypotheses. J. Plant Pathol. 2017, 99, 545–570. [Google Scholar]
- Bogužas, V.; Skinulienė, L.; Butkevičienė, L.M.; Steponavičienė, V.; Petrauskas, E.; Maršalkienė, N. The effect of monoculture, crop rotation combinations, and continuous bare fallow on soil CO2 emissions, earthworms, and productivity of winter rye after a 50-year period. Plants 2022, 11, 431. [Google Scholar] [CrossRef]
- Pervaiz, Z.H.; Iqbal, J.; Zhang, Q.; Chen, D.; Wei, H.; Saleem, M. Continuous cropping alters multiple biotic and abiotic indicators of soil health. Soil Syst. 2020, 4, 59. [Google Scholar] [CrossRef]
- Johnston, A.E.; Poulton, P.R. The importance of long-term experiments in agriculture: Their management to ensure continued crop production and soil fertility; the Rothamsted experience. Eur. J. Soil Sci. 2018, 69, 113–125. [Google Scholar] [CrossRef] [PubMed]
- Merbach, W.; Deubel, A. Long-term field experiments—Museum relics or scientific challenge? Plant Soil Environ. 2008, 54, 219–226. [Google Scholar] [CrossRef]
- Debreczeni, K.; Körschens, M. Long-term field experiments of the world. Arch. Agron. Soil Sci. 2003, 49, 465–483. [Google Scholar] [CrossRef]
- BonaRes. Long-term Field Experiments in EUROPE. Overview of Long-Term Experiments. Available online: https://tools.bonares.de/ltfe/ (accessed on 25 April 2025).
- Liu, Z.; Liu, J.; Yu, Z.; Yao, Q.; Li, Y.; Liang, A.; Zhang, W.; Mi, G.; Jin, J.; Liu, X.; et al. Long-term continuous cropping of soybean is comparable to crop rotation in mediating microbial abundance, diversity and community composition. Soil Tillage Res. 2020, 197, 104503. [Google Scholar] [CrossRef]
- Smith, M.E.; Vico, G.; Costa, A.; Bowles, T.; Gaudin, A.C.M.; Hallin, S.; Watson, C.A.; Alarcón, R.; Berti, A.; Blecharczyk, A.; et al. Increasing crop rotational diversity can enhance cereal yields. Commun. Earth Environ. 2023, 4, 89. [Google Scholar] [CrossRef]
- Liang, Z.; Xu, Z.; Cheng, J.; Ma, B.; Cong, W.-F.; Zhang, C.; Zhang, F.; van der Werf, W.; Groot, J.C.J. Designing diversified crop rotations to advance sustainability: A method and an application. Sustain. Prod. Consum. 2023, 40, 532–544. [Google Scholar] [CrossRef]
- Shah, K.K.; Modi, B.; Pandey, H.P.; Subedi, A.; Aryal, G.; Pandey, M.; Shrestha, J. Diversified crop rotation: An approach for sustainable agriculture production. Adv. Agric. 2021, 2021, 8924087. [Google Scholar] [CrossRef]
- Blanco-Canqui, H.; Lal, R. Cropping Systems. In Principles of Soil Conservation and Management; Blanco-Canqui, H., Lal, R., Eds.; Springer: Dordrecht, The Netherlands, 2008; pp. 165–193. [Google Scholar]
- Jastrzębska, M.; Kostrzewska, M.; Saeid, A. Conventional agrochemicals: Pros and cons. In Smart Agrochemicals for Sustainable Agriculture; Chojnacka, K., Saeid, A., Eds.; Academic Press: Cambridge, MA, USA, 2022; pp. 1–28. [Google Scholar] [CrossRef]
- Ghose, S.; Bhattacharjee, B.; Rynjah, D.; Laloo, D. Pesticides and Allergens. In Pharmacognosy and Phytochemistry; Odoh, U.E., Gurav, S.S., Chukwuma, M.O., Eds.; John Wiley & Sons, Inc.: Hoboken, NJ, USA, 2025; pp. 315–334. [Google Scholar] [CrossRef]
- Jastrzębska, M.; Kostrzewska, M.K.; Marks, M.; Jastrzębski, W.P.; Treder, K.; Makowski, P. Crop Rotation compared with continuous rye cropping for weed biodiversity and rye yield. A case study of a long-term experiment in Poland. Agronomy 2019, 9, 644. [Google Scholar] [CrossRef]
- Gu, S.; Xiong, X.; Tan, L.; Deng, Y.; Du, X.; Yang, X.; Hu, Q. Soil microbial community assembly and stability are associated with potato (Solanum tuberosum L.) fitness under continuous cropping regime. Front. Plant Sci. 2022, 13, 1000045. [Google Scholar] [CrossRef]
- Liu, W.; Wang, N.; Yao, X.; He, D.; Sun, H.; Ao, X.; Wang, H.; Zhang, H.; St. Martin, S.; Xie, F.; et al. Continuous-cropping-tolerant soybean cultivars alleviate continuous cropping obstacles by improving structure and function of rhizosphere microorganisms. Front. Microbiol. 2023, 13, 1048747. [Google Scholar] [CrossRef] [PubMed]
- Yao, X.; He, D.; Zhao, X.; Tan, Z.; Zhao, H.; Xie, F.; Wang, J. Integrated microbiology and metabolomics analysis reveal how tolerant soybean cultivar adapt to continuous cropping. Agronomy 2025, 15, 468. [Google Scholar] [CrossRef]
- Kostrzewska, M.K.; Jastrzębska, M. Exploiting the yield potential of spring barley in Poland: The roles of crop rotation, cultivar, and plant protection. Agriculture 2024, 14, 1355. [Google Scholar] [CrossRef]
- Cao, T.; Manolii, V.P.; Zhou, Q.; Hwang, S.-F.; Strelkov, S.E. Effect of canola (Brassica napus) cultivar rotation on Plasmodiophora brassicae pathotype composition. Can. J. Plant Sci. 2019, 100, 218–225. [Google Scholar] [CrossRef]
- Korzun, V.; Ponomareva, M.L.; Sorrells, M.E. Economic and academic importance of rye. In The Rye Genome; Rabanus-Wallace, M.T., Stein, N., Eds.; Springer International Publishing: Cham, Switzerland, 2021; pp. 1–12. [Google Scholar] [CrossRef]
- Altai, D.S.; Noaema, A.H.; Alhasany, A.R.; Hadházy, Á.; Mendler-Drienyovszki, N.; Abido, W.A.E.; Magyar-Tábori, K. Effect of sowing date on some agronomical characteristics of rye cultivars in Iraq. Agronomy 2024, 14, 1995. [Google Scholar] [CrossRef]
- Ghafoor, A.Z.; Karim, H.; Studnicki, M.; Raza, A.; Javed, H.H.; Asghar, M.A. Climate change and rye (Secale cereale L.) production: Challenges, opportunities and adaptations. J. Agron. Crop Sci. 2024, 210, e12725. [Google Scholar] [CrossRef]
- Shchekleina, L.M.; Sheshegova, T.K. Winter rye varieties that can be used as sources of resistance against fungal diseases in phytoimmunity breeding. Russ. Agric. Sci. 2024, 50, 142–149. [Google Scholar] [CrossRef]
- Dibrova, A.; Baidala, V.; Mirzoieva, T.; Stepasyuk, L.; Chmil, A.; Dibrova, L. Forecasting and modelling the rye market, as a niche grain crop, under conditions of increasing mineral fertiliser costs. Sci. Horiz. 2024, 27, 52–67. [Google Scholar] [CrossRef]
- Różewicz, M. Use and importance of rye grain in Poland. Pol. Tech. Rev. 2024, 3, 7–12. [Google Scholar]
- GUS. Statistical Yearbook of the Republic of Poland 2024; Statistics Poland: Warsaw, Poland, 2024. [Google Scholar]
- FAO. FAOSTAT Database; Food and Agriculture Organization of the United Nations: Rome, Italy, 2023; Available online: http://www.fao.org/faostat/en/#data/QC (accessed on 4 March 2025).
- Riedesel, L.; Laidig, F.; Hadasch, S.; Rentel, D.; Hackauf, B.; Piepho, H.P.; Feike, T. Breeding progress reduces carbon footprints of wheat and rye. J. Clean. Prod. 2022, 377, 134326. [Google Scholar] [CrossRef]
- Hackauf, B.; Siekmann, D.; Fromme, F.J. Improving Yield and Yield Stability in Winter Rye by Hybrid Breeding. Plants 2022, 11, 2666. [Google Scholar] [CrossRef] [PubMed]
- EUPVP. EUPVP—Common Catalogue—Varieties of Agricultural Plant and Vegetable Species; European Commission: Brussels, Belgium, 2024; Available online: https://ec.europa.eu/food/plant-variety-portal/ (accessed on 6 March 2025).
- COBORU. Krajowy Rejestr Odmian Roślin Rolniczych; Centralny Ośrodek Badania Odmian Roślin Uprawnych: Słupia Wielka, Poland, 2025. Available online: https://coboru.gov.pl/pl/kr/kr_gat (accessed on 22 April 2025).
- Miedaner, T.; Lauenstein, S.; Lieberherr, B. Comparison of hybrid rye and wheat for grain yield and other agronomic traits under less favourable environmental conditions and two input levels. Agriculture 2025, 15, 163. [Google Scholar] [CrossRef]
- Barowicz, T. Świnie lubią żyto. In Żyto w Żywieniu Trzody Chlewnej; Wiadomości Rolnicze Polska: Poznań, Poland, 2022; Available online: https://www.wrp.pl/swinie-lubia-zyto-zyto-w-zywieniu-trzody-chlewnej/ (accessed on 25 April 2025).
- Haffke, S.; Wilde, P.; Schmiedchen, B.; Hackauf, B.; Roux, S.; Gottwald, M.; Miedaner, T. Toward a selection of broadly adapted germplasm for yield stability of hybrid rye under normal and managed drought stress conditions. Crop Sci. 2015, 55, 1026–1034. [Google Scholar] [CrossRef]
- Laidig, F.; Feike, T.; Klocke, B.; Macholdt, J.; Miedaner, T.; Rentel, D.; Piepho, H.P. Long-term breeding progress of yield, yield-related, and disease resistance traits in five cereal crops of German variety trials. Theor. Appl. Genet. 2021, 134, 3805–3827. [Google Scholar] [CrossRef] [PubMed]
- Ghafoor, A.Z.; Wijata, M.; Rozbicki, J.; Krysztofik, R.; Banaszak, K.; Karim, H.; Derejko, A.; Studnicki, M. Influence of crop management on stability rye yield and some grain quality traits. Agron. J. 2024, 116, 2263–2274. [Google Scholar] [CrossRef]
- Miedaner, T.; Laidig, F. Hybrid breeding in rye (Secale cereale L.). In Advances in Plant Breeding Strategies: Cereals; Al-Khayri, J.M., Jain, S.M., Johnson, D.V., Eds.; Springer International Publishing: Cham, Switzerland, 2019; pp. 343–372. [Google Scholar] [CrossRef]
- Madsen, M.D.; Kristensen, P.S.; Mahmood, K.; Thach, T.; Mohlfeld, M.; Orabi, J.; Sarup, P.; Jahoor, A.; Hovmøller, M.S.; Rodriguez-Algaba, J.; et al. Scald resistance in hybrid rye (Secale cereale): Genomic prediction and GWAS. Front. Plant Sci. 2024, 15, 1306591. [Google Scholar] [CrossRef]
- Mekonnen, T.W.; Labuschagne, M. Production, utilization, and breeding of winter rye. In Rye: Processing, Nutritional Profile and Commercial Uses; Singh Purewal, S., Ed.; Springer: Cham, Switzerland, 2025; pp. 23–47. [Google Scholar] [CrossRef]
- Marks, L. Pleistocene glacial limits in the territory of Poland. Przegl. Geol. 2005, 53, 988–993. [Google Scholar]
- Anjos, L.; Gaistardo, C.; Deckers, J.; Dondeyne, S.; Eberhardt, E.; Gerasimova, M.; Harms, B.; Jones, A.; Krasilnikov, P.; Reinsch, T.; et al. World reference base for soil resources 2014. In International Soil Classification System for Naming Soils and Creating Legends for Soil Maps; Food and Agriculture Organization of the United Nations: Rome, Italy, 2014. [Google Scholar]
- Jastrzębska, M.; Kostrzewska, M.K.; Marks, M. Over 50 years of a field experiment on cropping systems in Bałcyny, Poland: Assessing pesticide residues in soil and crops from the perspective of their field application history. Eur. J. Agron. 2024, 159, 127270. [Google Scholar] [CrossRef]
- COBORU. Lista Opisowa Odmian Roślin Rolniczych 2019. Zbożowe; Centralny Ośrodek Badania Odmian Roślin Uprawnych: Słupia Wielka, Poland, 2019. [Google Scholar]
- Statsoft, I. Statistica (Data Analysis Software System), Version 13.3; TIBCO Software Inc.: Palo Alto, CA, USA, 2017.
- Butkevičienė, L.M.; Skinulienė, L.; Auželienė, I.; Bogužas, V.; Pupalienė, R.; Steponavičienė, V. The influence of long-term different crop rotations and monoculture on weed prevalence and weed seed content in the soil. Agronomy 2021, 11, 1367. [Google Scholar] [CrossRef]
- Moitzi, G.; Neugschwandtner, R.W.; Kaul, H.-P.; Wagentristl, H. Energy efficiency of continuous rye, rotational rye and barley in different fertilization systems in a long-term field experiment. Agronomy 2021, 11, 229. [Google Scholar] [CrossRef]
- Chmielewski, F.M.; Köhn, W. Impact of weather on yield components of winter rye over 30 years. Agric. Forest Meteorol. 2000, 102, 253–261. [Google Scholar] [CrossRef]
- Carrera, C.S.; Savin, R.; Slafer, G.A. Critical period for yield determination across grain crops. Trends Plant Sci. 2024, 29, 329–342. [Google Scholar] [CrossRef]
- Dopierała, P.; Kordas, L. Znaczenie interakcji genotypowo-środowiskowej na plonowanie i cechy składowe plonu u wybranych gatunków zbóż ozimych. Biul. Inst. Hod. Aklim. Rośl. 2009, 253, 165–173. [Google Scholar] [CrossRef]
- Sułek, A.; Cacak-Pietrzak, G.; Studnicki, M.; Grabiński, J.; Nieróbca, A.; Wyzińska, M.; Różewicz, M. Influence of nitrogen fertilisation level and weather conditions on yield and quantitative profile of anti-nutritional compounds in grain of selected rye cultivars. Agriculture 2024, 14, 418. [Google Scholar] [CrossRef]
- Podolska, G.; Aleksandrowicz, E. Postęp odmianowy w zbożach chlebowych. Stud. I Rap. IUNG-PIB 2019, 60, 25–35. [Google Scholar] [CrossRef]
- COBORU. Post-Registration Variety Testing System and Variety Recommendation; Centralny Ośrodek Badania Odmian Roślin Uprawnych: Słupia Wielka, Poland, 2024. Available online: https://www.coboru.gov.pl/pdo (accessed on 4 April 2025).
- Keller, M.; Böhringer, N.; Möhring, J.; Rueda-Ayala, V.; Gutjahr, C.; Gerhards, R. Changes in weed communities, herbicides, yield levels and effect of weeds on yield in winter cereals based on three decades of field experiments in South-Western Germany. Gesunde Pflanz. 2015, 67, 11–20. [Google Scholar] [CrossRef]
- Saulic, M.; Oveisi, M.; Djalovic, I.; Bozic, D.; Pishyar, A.; Savić, A.; Prasad, P.V.; Vrbničanin, S. How Do long term crop rotations influence weed populations: Exploring the impacts of more than 50 years of crop management in Serbia. Agronomy 2022, 12, 1772. [Google Scholar] [CrossRef]
- Ramanauskienė, J.; Semaškienė, R.; Jonavičienė, A.; Ronis, A. The effect of crop rotation and fungicide seed treatment on take-all in winter cereals in Lithuania. Crop Prot. 2018, 110, 14–20. [Google Scholar] [CrossRef]
- Woźniak, A.; Rachoń, L.; Soroka, M. Impact of cropping and tillage system on take-all disease of winter wheat (Gaeumannomyces graminis var. tritici). Agron. Sci. 2023, 78, 5–15. [Google Scholar] [CrossRef]
- Zawiślak, K.; Kostrzewska, M. Konkurencja pokarmowa chwastów w łanach żyta ozimego uprawianego w płodozmianie iw wieloletniej monokulturze. II. Zawartość i pobranie makroelementów w nadziemnej biomasie żyta ozimego i chwastów. Ann. UMCS Sect. E Agric. Suppl. 2000, 33, 269–275. [Google Scholar]
- Sawinska, Z. Influence of powdery mildew and brown rust on winter rye yielding. Prog. Plant Prot. 2011, 51, 1193–1197. [Google Scholar]
- Łącka, A.; Nowosad, K.; Bocianowski, J. Ocena porażenia żyta przez rdzę brunatną (Puccinia recondita f. sp. secalis) w warunkach sztucznej inokulacji. Agron. Sci. 2019, 74, 113–121. [Google Scholar] [CrossRef]
- Vendelbo, N.M.; Mahmood, K.; Sarup, P.; Hovmøller, M.S.; Justesen, A.F.; Kristensen, P.S.; Orabi, J.; Jahoor, A. Discovery of a novel leaf rust (Puccinia recondita) resistance gene in rye (Secale cereale L.) using association genomics. Cells 2022, 11, 64. [Google Scholar] [CrossRef]
- Piechota, T.; Sawinska, Z.; Kowalski, M.; Majchrzak, L.; Świtek, S.; Dopierała, A. Plonowanie i zdrowotność wybranych odmian żyta ozimego uprawianego przeznaczeniem na biogaz. Fragm. Agron. 2017, 34, 67–74. [Google Scholar]
- Sawinska, Z.; Blecharczyk, A.; Małecka-Jankowiak, I. Wpływ wieloletniej monokultury na porażenie żyta ozimego przez choroby w zależności od nawożenia. Fragm. Agron. 2019, 36, 59–69. [Google Scholar]
- Tanveer, A.; Ikram, R.M.; Ali, H.H. Crop rotation: Principles and practices. In Agronomic Crops: Volume 2: Management Practices; Hasanuzzaman, M., Ed.; Springer: Singapore, 2019; pp. 1–12. [Google Scholar] [CrossRef]
- Zawiślak, K. Regulacyjna funkcja płodozmianu wobec chwastów w agrofitocenozach zbóż. Acta Acad. Agric. Tech. Olst. Agric. 1997, 64, 81–99. [Google Scholar]
- Andert, S.; Bürger, J.; Stein, S.; Gerowitt, B. The influence of crop sequence on fungicide and herbicide use intensities in North German arable farming. Eur. J. Agron. 2016, 77, 81–89. [Google Scholar] [CrossRef]
- Klocke, B.; Wagner, C.; Krengel-Horney, S.; Schwarz, J. Potential of pesticide reduction and effects on pests, weeds, yield and net return in winter rye (Secale cereale L.). Landbauforschung–Ger. 2023, 72, 1–24. [Google Scholar] [CrossRef]
- Sanyal, D.; Shrestha, A. Direct effect of herbicides on plant pathogens and disease development in various cropping systems. Weed Sci. 2008, 56, 155–160. [Google Scholar] [CrossRef]
- Martinez, D.A.; Loening, U.E.; Graham, M.C. Impacts of glyphosate-based herbicides on disease resistance and health of crops: A review. Environ. Sci. Eur. 2018, 30, 2. [Google Scholar] [CrossRef]
- Jańczak, C.; Pawlak, A. Podatność żyta mieszańcowego Esprit na choroby grzybowe i efektywność ich zwalczania fungicydami w latach 2000–2002. Biul. Inst. Hod. Aklim. Rośl. 2004, 231, 287–295. [Google Scholar] [CrossRef]
- Bujak, H.; Nowosad, K. Poszukiwanie źródeł genetycznej odporności na mączniaka i rdzę w kolekcji linii, rodów i odmian żyta. Biul. Inst. Hod. I Aklim. Rośl. 2021, 286, 181–183. [Google Scholar] [CrossRef]
- Szuleta, E.; Phillips, T.; Knott, C.A.; Lee, C.D.; Van Sanford, D.A. Influence of planting date on winter rye performance in Kentucky. Agronomy 2022, 12, 2887. [Google Scholar] [CrossRef]
- Blecharczyk, A.; Sawinska, Z.; Małecka, I.; Sparks, T.H.; Tryjanowski, P. The phenology of winter rye in Poland: An analysis of long-term experimental data. Int. J. Biometeorol. 2016, 60, 1341–1346. [Google Scholar] [CrossRef]
- Chloupek, O.; Hrstkova, P.; Schweigert, P. Yield and its stability, crop diversity, adaptability and response to climate change, weather and fertilisation over 75 years in the Czech Republic in comparison to some European countries. Field Crops Res. 2004, 85, 167–190. [Google Scholar] [CrossRef]
- Hadasch, S.; Laidig, F.; Macholdt, J.; Bönecke, E.; Piepho, H.P. Trends in mean performance and stability of winter wheat and winter rye yields in a long-term series of variety trials. Field Crops Res. 2020, 252, 107792. [Google Scholar] [CrossRef]
- Rembe, M.; Reif, J.C.; Ebmeyer, E.; Thorwarth, P.; Korzun, V.; Schacht, J.; Boeven, P.H.G.; Varenne, P.; Kazman, E.; Philipp, N.; et al. Reciprocal recurrent genomic selection is impacted by genotype-by-environment interactions. Front. Plant Sci. 2021, 12, 703419. [Google Scholar] [CrossRef]

| Factor | Factor Level | Characteristics |
|---|---|---|
| Cropping system (CS) | CC—continuous cropping | growing winter rye in the same field since 1967–1968 |
| CR—crop rotation | growing winter rye in a crop rotation with the following crop sequence: potato (Solanum tuberosum L.)—spring oats (Avena sativa L.)—fiber flax (Linum usitatissimum L.)—winter rye—faba bean (Vicia faba L.)—winter triticale (× Triticosecale Wittm. ex A. Camus) | |
| Cultivar (Cv) | KWS Binntto | hybrid cultivar |
| Dańkowskie Diament | population cultivar | |
| Chemical plant protection (PP) | CT—control treatment | no herbicide or fungicide treatments |
| H—herbicide application | treatments with chemical agents recommended for weed regulation in winter rye 1 | |
| HF—herbicide and fungicide application | treatments with chemical agents recommended for weed regulation and pathogen control and in winter 1 | |
| Year (Yr) | 2017 | 19 September 2016–4 August 2017 |
| 2018 | 2 October 2017–23 July 2018 | |
| 2019 | 18 September 2018–27 July 2019 | |
| 2020 | 12 September 2019–2 August 2020 | |
| 2021 | 12 September 2020–27 July 2021 | |
| 2022 | 21 September 2021–28 July 2022 |
| Characteristics | Unit | KWS Binntto | Dańkowskie Diament |
|---|---|---|---|
| Type | hybrid | population | |
| Breeder/maintainer | KWS Lochow GmbH, Kondratowice, Poland | DANKO Hodowla Roślin sp. z o.o., Choryń, Poland | |
| Addition to NLI 1 | year | 2016 | 2005 |
| Plant height | cm | 137 | 150 |
| Heading (from 1.01) | days | 134 | 132 |
| Maturation (from 1.01) | days | 201 | 201 |
| Resistance to lodging | 9-point scale | 6.6 | 5.6 |
| Resistance to disease | 9-point scale | 7.2–8.3 | 6.6–8.3 |
| Weight of 1000 grains | g | 35.4 | 34.4 |
| Yield potential | t ha−1 | 9.818 | 7.670 |
| Source of Variation | Yield | Spike Density | Grain Number per Spike | 1000-Grain Weight |
|---|---|---|---|---|
| Cropping system (CS) | 691.07 *** | 12.16 *** | 13.20 *** | 328.0 *** |
| Cultivar (Cv) | 824.77 *** | 57.19 *** | 39.46 *** | 0.5 |
| Plant protection (PP) | 65.95 *** | 15.27 *** | 14.76 *** | 4.4 * |
| Year (Yr) | 100.71 *** | 13.45 *** | 19.05 *** | 216.3 *** |
| CS × Cv | 11.64 *** | 2.26 | 2.07 | 0.3 |
| CS × PP | 67.82 *** | 4.54 * | 1.50 | 0.8 |
| Cv × PP | 3.41 * | 1.88 | 1.13 | 6.9 ** |
| CS × Yr | 18.51 *** | 7.88 *** | 3.51 ** | 78.8 *** |
| Cv × Yr | 17.81 *** | 2.95 * | 2.17 | 3.3 ** |
| PP × Yr | 11.38 *** | 2.41 * | 1.22 | 4.0 ** |
| CS × Cv × PP | 0.18 | 0.21 | 1.00 | 0.6 |
| CS × Cv × Yr | 3.60 ** | 2.21 | 0.23 | 1.4 |
| CS × PP × Yr | 1.67 | 0.91 | 1.16 | 3.0 ** |
| Cv × PP × Yr | 1.70 | 1.99 * | 2.30 * | 1.4 |
| CS × Cv × PP × Yr | 1.80 | 0.92 | 0.84 | 0.4 |
| Factor | Factor Level | Yield, t ha−1 | Spike Density, No. m−2 | Grain Number per Spike | 1000-Grain Weight, g |
|---|---|---|---|---|---|
| Cropping system (CS) | Continuous cropping (CC) | 5.79 ± 0.16 b,1 | 426 ± 9 b | 45.8 ± 0.8 b | 30.17 ± 0.35 b |
| Crop rotation (CR) | 7.58 ± 0.14 a | 453 ± 7 a | 48.3 ± 0.5 a | 33.09 ± 0.30 a | |
| Cultivar (Cv) | KWS Binntto | 7.66 ± 0.16 a | 470 ± 8 a | 49.2 ± 0.7 a | 31.57 ± 0.37 a |
| Dańkowskie Diament | 5.70 ± 0.13 b | 410 ± 7 b | 44.9 ± 0.6 b | 31.69 ± 0.34 a | |
| Plant protection (PP) | CT | 6.16 ± 0.25 c | 409 ± 11 b | 44.5 ± 0.9 b | 31.55 ± 0.46 b |
| H | 6.77 ± 0.18 b | 452 ± 8 a | 48.7 ± 0.7 a | 31.39 ± 0.43 b | |
| HF | 7.11 ± 0.20 a | 459 ± 10 a | 48.0 ± 0.8 a | 31.95 ± 0.42 a | |
| Year (Yr) | 2017 | 6.91± 0.32 b | 429 ± 15 b | 48.0 ± 0.8 b | 33.01 ± 0.58 b |
| 2018 | 5.03 ± 0.26 c | 374 ± 16 c | 43.8 ± 1.1 c | 29.76 ± 0.48 d | |
| 2019 | 7.42 ± 0.21 a | 470 ± 13 a | 42.1 ± 1.1 c | 36.59 ± 0.22 a | |
| 2020 | 7.00 ± 0.33 b | 469 ± 11 a | 48.5 ± 1.1 b | 31.06 ± 0.56 c | |
| 2021 | 6.83 ± 0.20 b | 457 ± 8 ab | 52.6 ± 0.9 a | 28.23 ± 0.28 e | |
| 2022 | 6.91 ± 0.30 b | 440 ± 15 ab | 47.5 ± 1.1 b | 31.11 ± 0.33 c |
| Year | Continuous Cropping (CC) | Crop Rotation (CR) | ||
|---|---|---|---|---|
| KWS Binntto | Dańkowskie Diament | KWS Binntto | Dańkowskie Diament | |
| 2017 | 6.71 ± 0.24 gh,1 | 4.47 ± 0.12 n | 9.69 ± 0.21 a | 6.80 ± 0.10 fg |
| 2018 | 4.86 ± 0.30 mn | 3.15 ± 0.41 o | 6.81 ± 0.23 fg | 5.30 ± 0.22 lm |
| 2019 | 7.52 ± 0.22 e | 5.85 ± 0.13 jk | 9.04 ± 0.20 bc | 7.27 ± 0.14 ef |
| 2020 | 7.58 ± 0.20 e | 4.43 ± 0.29 n | 9.50 ± 0.31 ab | 6.48 ± 0.18 ghi |
| 2021 | 6.96 ± 0.45 fg | 6.16 ± 0.35 ij | 8.14 ± 0.13 d | 6.06 ± 0.15 ij |
| 2022 | 6.27 ± 0.69 hij | 5.49 ± 0.43 kl | 8.87 ± 0.30 c | 7.00 ± 0.25 fg |
| Cropping System (CS) | Cultivar (Cv) | Plant Protection (PP) | ||
|---|---|---|---|---|
| CT | H | HF | ||
| CC | KWS Binntto | 5.52 ± 0.34 | 6.94 ± 0.24 | 7.49 ± 0.26 |
| Dańkowskie Diament | 3.90 ± 0.30 | 5.38 ± 0.26 | 5.50 ± 0.26 | |
| CR | KWS Binntto | 8.72 ± 0.26 | 8.37 ± 0.28 | 8.92 ± 0.29 |
| Dańkowskie Diament | 6.52 ± 0.19 | 6.40 ± 0.20 | 6.53 ± 0.21 | |
| Cropping System (CS) | Cultivar (Cv) | Plant Protection (PP) | ||
|---|---|---|---|---|
| CT | H | HF | ||
| CC | KWS Binntto | 24.8 | 12.1 | 13.4 |
| Dańkowskie Diament | 31.8 | 18.6 | 19.0 | |
| CR | KWS Binntto | 11.5 | 12.4 | 12.8 |
| Dańkowskie Diament | 11.0 | 9.5 | 12.1 | |
| Cultivar Type | Cultivar | In Poland | In Region | In This Study |
|---|---|---|---|---|
| Population | all tested | 9.74 (2022) | 9.74 (2022) | – |
| Dańkowskie Diament | 9.27 (2020) | 9.27 (2008) | 7.60 (2019) | |
| Hybrid | all tested | 12.1 (2022) | 12.1 (2022) | – |
| KWS Binntto | 11.2 (2019) | 11.2 (2019) | 10.4 (2017) |
Disclaimer/Publisher’s Note: The statements, opinions and data contained in all publications are solely those of the individual author(s) and contributor(s) and not of MDPI and/or the editor(s). MDPI and/or the editor(s) disclaim responsibility for any injury to people or property resulting from any ideas, methods, instructions or products referred to in the content. |
© 2025 by the authors. Licensee MDPI, Basel, Switzerland. This article is an open access article distributed under the terms and conditions of the Creative Commons Attribution (CC BY) license (https://creativecommons.org/licenses/by/4.0/).
Share and Cite
Kostrzewska, M.K.; Jastrzębska, M. Hybrid Cultivar and Crop Protection to Support Winter Rye Yield in Continuous Cropping. Agriculture 2025, 15, 1368. https://doi.org/10.3390/agriculture15131368
Kostrzewska MK, Jastrzębska M. Hybrid Cultivar and Crop Protection to Support Winter Rye Yield in Continuous Cropping. Agriculture. 2025; 15(13):1368. https://doi.org/10.3390/agriculture15131368
Chicago/Turabian StyleKostrzewska, Marta K., and Magdalena Jastrzębska. 2025. "Hybrid Cultivar and Crop Protection to Support Winter Rye Yield in Continuous Cropping" Agriculture 15, no. 13: 1368. https://doi.org/10.3390/agriculture15131368
APA StyleKostrzewska, M. K., & Jastrzębska, M. (2025). Hybrid Cultivar and Crop Protection to Support Winter Rye Yield in Continuous Cropping. Agriculture, 15(13), 1368. https://doi.org/10.3390/agriculture15131368

