Study on the Performance of Filters Under Biogas Slurry Drip Irrigation Systems
Abstract
1. Introduction
2. Materials and Methods
2.1. Experimental Apparatus
2.2. Experimental Design
2.2.1. Hydraulic Performance Test of Drip Irrigation Filter for Clear Water
2.2.2. Hydraulic Performance Testing of Biogas Slurry Drip Irrigation Filters
2.3. Test Indicators
2.3.1. Filter Head Loss
2.3.2. Filter Operating Time
2.3.3. Increase Rate of Head Loss
2.3.4. Uniformity of Blockage
2.3.5. Filter Capacity
2.4. Comprehensive Evaluation of Performance of TOPSIS Filter Based on Entropy Weight
- (1)
- First, establish a data matrix and standardize the head loss index. Let Xₘₙ represent the evaluation index for each processing set in the evaluation. The indicators for each processing set are combined to form a data matrix X = (Xₘₙ) M × N (1 ≤ m ≤ M; 1 ≤ n ≤ N). To eliminate the influence of dimensionality, the data matrix is standardized to create the standardized matrix Z = (Zₘₙ) M × N (1 ≤ m ≤ M; 1 ≤ n ≤N). Both positive and negative indicators are processed in the same direction to ensure data comparability. The raw data is standardized according to the formulas shown in Equations (5) and (6).
- (2)
- Determine the weight of indicators. The entropy weight method is a method that calculates the entropy value of each indicator based on its impact on the overall value and then determines the objective weight of the indicator by determining the weight [23,24]. The weight calculation method is shown in Equations (7)–(11).
- (3)
- Calculate the comprehensive score by constructing a weighted matrix using the TOPSIS method, which allows for an objective evaluation of each index while minimizing the influence of subjective factors. Based on the weighted matrix, select the positive and negative ideal solutions, and determine the distances from each operating condition to these ideal solutions. Use Formulas (12)–(17) to calculate the comprehensive score for each operating condition. A value closer to 1 indicates a better result, representing the optimal overall performance of the filter.
2.5. Data Statistical Analysis
3. Results and Discussion
3.1. Changes in Head Loss of Drip Irrigation Filters with Clear Water
3.2. Changes in Hydraulic Performance of Biogas Slurry Drip Irrigation Filter
3.2.1. Variation of Filter Head Loss with Respect to Different Flow Rates
3.2.2. Changes in Head Loss Under Different Concentrations of Biogas Slurry
3.2.3. Changes in Head Loss of Different Filters and Their Combinations
3.3. Variation Law of Total Operating Time of Biogas Slurry Drip Irrigation Filter
3.4. Variation Law of Pollutant Holding Capacity of Filter Element
3.4.1. Influence of Flow Rate on the Pollutant Holding Capacity of Filter Cartridges
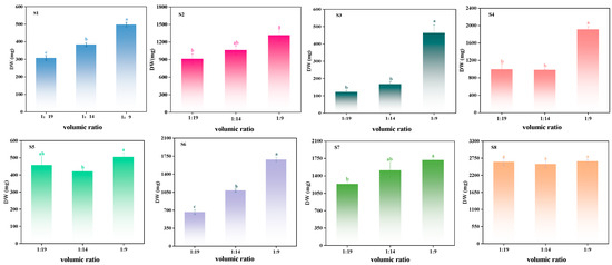
3.4.2. Influence of Biogas Slurry Concentration on the Pollutant Carrying Capacity of Filter Cartridges
3.5. Comprehensive Evaluation and Optimization of Filters for Biogas Slurry Drip Irrigation System
4. Conclusions
- (1)
- After testing common filters in the application of biogas slurry drip irrigation, it was found that the flow rate, concentration, and filter type in biogas slurry systems all significantly influence the hydraulic performance of the filter. Among these factors, concentration has a notably greater impact on the fouling capacity of the filter element than the flow rate. Medium to low concentrations are more conducive to the long-term operation of the filter. Small mesh filters exhibit lower initial head loss and longer operational lifetimes, but they have reduced filtration accuracy. In contrast, disk filters offer a higher pollutant holding capacity than screen mesh filters, with the pollutant retention of disk filters being approximately three times greater than that of screen mesh filters.
- (2)
- A comprehensive performance evaluation model for filters was established. In the entropy weight-TOPSIS comprehensive evaluation, the running time and pollutant holding capacity of the filter are key factors affecting the overall performance of the filter. The running time, pollutant capacity, and filtration accuracy are positive indicators that have a major impact on the comprehensive performance evaluation of the filter, accounting for about 90% of the weight. The blockage uniformity and initial water loss are negative indicators that have a minor impact on the comprehensive performance evaluation of the filter, accounting for only 10% of the weight.
- (3)
- The combination filter improves both the hydraulic performance and contaminant absorption capacity of the filter. Under all flow rates and concentrations, the hydraulic and contaminant removal performance of the four combination filters is superior to that of the four single filters. This is reflected in the longer operational cycles of the combination filters, which are approximately one to two times longer than those of the single filters. In terms of contaminant load, the combination filters typically have around twice the contaminant removal capacity of the single filters. Among them, when the disk filter is used as the pre-filter and the mesh filter as the post-filter in combination, the rate of head loss change is the smallest, and the clogging uniformity is the least. From the perspective of improving the operational stability of the slurry drip irrigation system, it is recommended to adopt a combination filtration method of disk + screen mesh.
Author Contributions
Funding
Institutional Review Board Statement
Data Availability Statement
Conflicts of Interest
References
- Jiang, Y.; Zhang, Y.; Li, H. Research Progress and Analysis on Comprehensive Utilization of Livestock and Poultry Biogas Slurry as Agricultural Resources. Agriculture 2023, 13, 2216. [Google Scholar] [CrossRef]
- Tao, J.; Li, J.; Yan, B.; Chen, G.; Cheng, Z.; Li, W.; Lin, F.; Hou, L. Catalytic Reforming: A Potentially Promising Method for Treating and Utilizing Wastewater from Biogas Plants. Environ. Sci. Technol. 2020, 54, 577–585. [Google Scholar] [CrossRef]
- Wang, H.; Wang, J.; Wang, C.; Wang, S.; Qiu, X.; Li, G. Adaptability of biogas slurry–water ratio and emitter types in biogas slurry drip irrigation system. Agric. Water Manag. 2022, 274, 107988. [Google Scholar] [CrossRef]
- Li, J.; Yang, W.; Liu, L.; Liu, X.; Qiu, F.; Ma, X. Development and environmental impacts of China’s livestock and poultry breeding. J. Clean. Prod. 2022, 371, 133586. [Google Scholar] [CrossRef]
- Zeng, W.; Qiu, J.; Wang, D.; Wu, Z.; He, L. Ultrafiltration concentrated biogas slurry can reduce the organic pollution of groundwater in fertigation. Sci. Total Environ. 2022, 810, 151294. [Google Scholar] [CrossRef]
- Hu, B.; Jiang, M.; Zhao, S.; Ji, X.; Shu, Q.; Tian, B.; He, T.; Zhang, L. Biogas slurry as draw solution of forward osmosis process to extract clean water from micro-polluted water for hydroponic cultivation. J. Membr. Sci. 2019, 576, 88–95. [Google Scholar] [CrossRef]
- Wang, H.; Qiu, X.; Liang, X.; Wang, H.; Wang, J. Biogas slurry change the transport and distribution of soil water under drip irrigation. Agric. Water Manag. 2024, 294, 108719. [Google Scholar] [CrossRef]
- Wang, H.; Wang, J.; Wang, C.; Wang, S.; Qiu, X.; Sun, Y.; Li, G. Characterization of labyrinth emitter-clogging substances in biogas slurry drip irrigation systems. Sci. Total Environ. 2022, 820, 153315. [Google Scholar] [CrossRef]
- Li, Y.; Xu, S.; Zhao, M.; Song, Y.; Wang, Z.; Xie, X. Filtration with cornstalks as a pre-treatment process to control membrane fouling in the concentration of biogas slurry: Performance, mechanism and economic analysis. Environ. Sci. Water Res. Technol. 2022, 8, 1011–1020. [Google Scholar] [CrossRef]
- Blume, T.; Neis, U. Improved wastewater disinfection by ultrasonic pre-treatment. Ultrason. Sonochemistry 2004, 11, 333–336. [Google Scholar] [CrossRef]
- Alfonso-Muniozguren, P.; Serna-Galvis, E.A.; Bussemaker, M.; Torres-Palma, R.A.; Lee, J. A review on pharmaceuticals removal from waters by single and combined biological, membrane filtration and ultrasound systems. Ultrason. Sonochemistry 2021, 76, 105656. [Google Scholar] [CrossRef] [PubMed]
- Badawi, A.K.; Kriaa, K.; Osman, R.M.; Hassan, R. Modified Rice Husk Waste-Based Filter for Wastewater Treatment: Pilot Study and Reuse Potential. Chem. Eng. Technol. 2024, 47, 968–975. [Google Scholar] [CrossRef]
- Wang, H.; Zhao, H.; Wang, K.; He, Y.; Zheng, C. Simulation of filtration process for multi-fiber filter using the Lattice-Boltzmann two-phase flow model. J. Aerosol Sci. 2013, 66, 164–178. [Google Scholar] [CrossRef]
- Heistad, A.; Paruch, A.M.; Vråle, L.; Ádám, K.; Jenssen, P.D. A high–performance compact filter system treating domestic wastewater. Ecol. Eng. 2006, 28, 374–379. [Google Scholar] [CrossRef]
- Ma, X.Y.D.; Zeng, Z.; Wang, Z.; Xu, L.; Zhang, Y.; Ang, J.M.; Wan, M.P.; Ng, B.F.; Lu, X. Robust microhoneycomb-like nanofibrous aerogels derived from cellulose and lignin as highly efficient, low-resistant and anti-clogging air filters. J. Membr. Sci. 2022, 642, 119977. [Google Scholar] [CrossRef]
- Liang, X.; Wang, C.; Wang, H.; Yao, Z.; Qiu, X.; Wang, J.; He, W. Biogas slurry topdressing as replacement of chemical fertilizers reduces leaf senescence of maize by up-regulating tolerance mechanisms. J. Environ. Manag. 2023, 344, 118433. [Google Scholar] [CrossRef] [PubMed]
- Capra, A.; Scicolone, B. Assessing dripper clogging and filtering performance using municipal wastewater. Irrig. Drain. 2005, 54, S71–S79. [Google Scholar] [CrossRef]
- Madeira, A.A. Major and minor head losses in a hydraulic flow circuit: Experimental measurements and a Moody’s diagram application. Eclética Química 2020, 45, 47–56. [Google Scholar] [CrossRef]
- Li, L.; Zhu, D.; Zhang, R.; Zheng, C.; Zhao, Z.; Hong, M.; Khudayberdi, N.; Liu, C. Enhanced experimental study on the head loss and filtration performance of annular flow disc filter. Nygcxb 2024, 40, 140–148. [Google Scholar] [CrossRef]
- Li, W.; O’Kelly, B.C.; Fang, K.; Yang, M. Briefing: Water content determinations of peaty soils using the oven-drying method. Environ. Geotech. 2022, 9, 3–11. [Google Scholar] [CrossRef]
- Bhadra, D.; Dhar, N.R.; Salam, M.A. Sensitivity analysis of the integrated AHP-TOPSIS and CRITIC-TOPSIS method for selection of the natural fiber. Mater. Today Proc. 2022, 56, 2618–2629. [Google Scholar] [CrossRef]
- Wu, H.-W.; Li, E.; Sun, Y.; Dong, B. Research on the operation safety evaluation of urban rail stations based on the improved TOPSIS method and entropy weight method. J. Rail Transp. Plan. Manag. 2021, 20, 100262. [Google Scholar] [CrossRef]
- Li, X.; Wang, K.; Liu, L.; Xin, J.; Yang, H.; Gao, C. Application of the Entropy Weight and TOPSIS Method in Safety Evaluation of Coal Mines. Procedia Eng. 2011, 26, 2085–2091. [Google Scholar] [CrossRef]
- Chen, P. Effects of the entropy weight on TOPSIS. Expert. Syst. Appl. 2021, 168, 114186. [Google Scholar] [CrossRef]
- Simon, M.; Vianello, A.; Vollertsen, J. Removal of >10 µm Microplastic Particles from Treated Wastewater by a Disc Filter. Water 2019, 11, 1935. [Google Scholar] [CrossRef]
- Alazba, A.A.; Mattar, M.A.; ElNesr, M.N.; Amin, M.T. Field Assessment of Friction Head Loss and Friction Correction Factor Equations. J. Irrig. Drain. Eng. 2012, 138, 166–176. [Google Scholar] [CrossRef]
- Jeon, S.; Heinz, U. Introduction to hydrodynamics. Int. J. Mod. Phys. E 2015, 24, 1530010. [Google Scholar] [CrossRef]
- Liu, Z.; Lei, C.; Li, J.; Long, Y.; Lu, C. A Standardized Treatment Model for Head Loss of Farmland Filters Based on Interaction Factors. Agriculture 2024, 14, 788. [Google Scholar] [CrossRef]
- Tao, H.; Shen, P.; Li, Q.; Jiang, Y.; Yang, W.; Wei, J. Research on head loss of pre-pump micro-pressure filter under clean water conditions. Water Supply 2021, 22, 3271–3282. [Google Scholar] [CrossRef]
- Li, X.; Huang, G.; Li, Y.; Chen, X.; Yao, Y.; Liang, Y.; Huang, J.; Zhao, K.; Yin, J. Low-Cost ceramic disk filters coated with Graphitic carbon nitride (g-C3N4) for drinking water disinfection and purification. Sep. Purif. Technol. 2022, 292, 120999. [Google Scholar] [CrossRef]
- Lin, W.; Lei, J.; Wang, Q.; Wang, X.; Huang, X. Performance enhancement of spiral-wound reverse osmosis membrane elements with novel diagonal-flow feed channels. Desalination 2022, 523, 115447. [Google Scholar] [CrossRef]
- Xiong, Z.-C.; Zhu, Y.-J.; Wang, Z.-Y.; Chen, Y.-Q.; Yu, H.-P. Tree-Inspired Ultralong Hydroxyapatite Nanowires-Based Multifunctional Aerogel with Vertically Aligned Channels for Continuous Flow Catalysis. Water Disinfection, and Solar Energy-Driven Water Purification. Adv. Funct. Mater. 2022, 32, 2106978. [Google Scholar] [CrossRef]
- Tian, X.; Ou, Q.; Liu, J.; Liang, Y.; Pui, D.Y.H. Influence of pre-stage filter selection and face velocity on the loading characteristics of a two-stage filtration system. Sep. Purif. Technol. 2019, 224, 227–236. [Google Scholar] [CrossRef]
- Xu, X.; Wang, Q.; Zhang, J.; Zong, R.; Liu, N. Experimental Study of Filtration Performance of Disc Filter with Discrete Channel Structure. J. Irrig. Drain. Eng. 2023, 149, 7. [Google Scholar] [CrossRef]
- Wakeman, R. The influence of particle properties on filtration. Sep. Purif. Technol. 2007, 58, 234–241. [Google Scholar] [CrossRef]
- Duran-Ros, M.; Puig-Bargués, J.; Arbat, G.; Barragán, J.; de Cartagena, F.R. Performance and backwashing efficiency of disc and screen filters in microirrigation systems. Biosyst. Eng. 2009, 103, 35–42. [Google Scholar] [CrossRef]
- Wilson, J.; Boutilier, L.; Jamieson, R.; Havard, P.; Lake, C. Effects of Hydraulic Loading Rate and Filter Length on the Performance of Lateral Flow Sand Filters for On-Site Wastewater Treatment. J. Hydrol. Eng. 2011, 16, 639–649. [Google Scholar] [CrossRef]
- Li, N.; Li, J.; Yu, L.; Yang, W.; Liu, X.; Cheng, Q. Effect of inlet velocity on the hydraulic and filtering performance of a Y-type screen filter. Irrig. Drain. 2024, 73, 799–812. [Google Scholar] [CrossRef]
- Coelho, R.D.; de Almeida, A.N.; Costa, J.d.O.; Pereira, D.J.d.S. Mobile drip irrigation (MDI): Clogging of high flow emitters caused by dragging of driplines on the ground and by solid particles in the irrigation water. Agric. Water Manag. 2022, 263, 107454. [Google Scholar] [CrossRef]
- Delgado, A.; Romero, I. Environmental conflict analysis using an integrated grey clustering and entropy-weight method: A case study of a mining project in Peru. Environ. Model. Softw. 2016, 77, 108–121. [Google Scholar] [CrossRef]







| Classification Number | Filter Type |
|---|---|
| S1 | 80 mesh screen mesh |
| S2 | 80 mesh disk |
| S3 | 120 mesh screen mesh |
| S4 | 120 mesh disk |
| S5 | 80 mesh screen mesh + 120 mesh screen mesh |
| S6 | 80 mesh screen mesh + 120 mesh disk |
| S7 | 80 mesh disk + 120 mesh screen mesh |
| S8 | 80 mesh disk + 120 mesh disk |
| Original Biogas Slurry | Test Biogas Slurry (1:9) | Test Biogas Slurry (1:14) | Test Biogas Slurry (1:19) | |
|---|---|---|---|---|
| EC (µs/cm) | 18,960 | 2030 | 1320 | 980 |
| SS (mg/L) | 2560 | 274 | 190 | 115 |
| Filter Type | S1 | S2 | S3 | S4 | S5 | S6 | S7 | S8 |
|---|---|---|---|---|---|---|---|---|
| 1.5 m3/h | 0.38 | 0.38 | 0.38 | 0.42 | 0.54 | 0.58 | 0.58 | 0.66 |
| 2.0 m3/h | 0.42 | 0.44 | 0.4 | 0.56 | 0.68 | 0.72 | 0.82 | 0.94 |
| 2.5 m3/h | 0.52 | 0.78 | 0.72 | 0.84 | 0.98 | 1.02 | 1.06 | 1.48 |
| 3.0 m3/h | 0.82 | 1.26 | 0.92 | 1.28 | 1.34 | 1.44 | 1.46 | 1.66 |
| 3.5 m3/h | 1.06 | 1.64 | 1.3 | 1.88 | 1.54 | 1.56 | 1.6 | 2 |
| FI SI/mm | Treatment | t1/s | t2/s | T | δ1 | δ2 | hj1 | hj2 | hj0 | η | DW |
|---|---|---|---|---|---|---|---|---|---|---|---|
| S1 0.180 | Q1.5-C1:14 | 600 | 240 | 840 | 0.003 | 0.013 | 1.8 | 3.2 | 0.38 | 4.44 | 440.33 |
| Q2.5-C1:14 | 120 | 120 | 240 | 0.015 | 0.027 | 1.8 | 3.2 | 0.52 | 1.78 | 383.00 | |
| Q3.5-C1:14 | 240 | 240 | 480 | 0.009 | 0.012 | 2.2 | 2.8 | 1.06 | 1.27 | 327.33 | |
| Q2.5-C1:19 | 1560 | 540 | 2100 | 0.002 | 0.004 | 2.7 | 2.3 | 0.52 | 2.46 | 497.00 | |
| Q2.5-C1:9 | 4 | 10 | 14 | 0.625 | 0.250 | 2.5 | 2.5 | 0.52 | 0.40 | 307.00 | |
| S2 0.180 | Q1.5-C1:14 | 420 | 300 | 720 | 0.004 | 0.011 | 1.7 | 3.3 | 0.38 | 2.72 | 935.67 |
| Q2.5-C1:14 | 60 | 120 | 180 | 0.038 | 0.023 | 2.3 | 2.7 | 0.78 | 0.59 | 1060.67 | |
| Q3.5-C1:14 | 20 | 40 | 60 | 0.115 | 0.068 | 2.3 | 2.7 | 1.64 | 0.59 | 1552.00 | |
| Q2.5-C1:19 | 1260 | 600 | 1860 | 0.002 | 0.004 | 2.5 | 2.5 | 0.78 | 2.10 | 1315.67 | |
| Q2.5-C1:9 | 6 | 7 | 13 | 0.233 | 0.514 | 1.4 | 3.6 | 0.78 | 2.20 | 909.67 | |
| S3 0.125 | Q1.5-C1:14 | 240 | 60 | 300 | 0.008 | 0.050 | 2 | 3 | 0.38 | 6.00 | 208.67 |
| Q2.5-C1:14 | 30 | 90 | 120 | 0.073 | 0.031 | 2.2 | 2.8 | 0.72 | 0.42 | 167.00 | |
| Q3.5-C1:14 | 360 | 240 | 600 | 0.006 | 0.012 | 2.2 | 2.8 | 1.3 | 1.91 | 124.00 | |
| Q2.5-C1:19 | 780 | 660 | 1440 | 0.003 | 0.004 | 2.2 | 2.8 | 0.72 | 1.50 | 463.33 | |
| Q2.5-C1:9 | 1 | 6 | 7 | 0.500 | 0.750 | 0.5 | 4.5 | 0.72 | 1.50 | 122.00 | |
| S4 0.125 | Q1.5-C1:14 | 360 | 240 | 600 | 0.007 | 0.012 | 2.4 | 2.8 | 0.42 | 1.75 | 990.67 |
| Q2.5-C1:14 | 10 | 110 | 120 | 0.120 | 0.035 | 1.2 | 3.8 | 0.84 | 0.29 | 979.67 | |
| Q3.5-C1:14 | 5 | 15 | 20 | 0.480 | 0.213 | 2.4 | 3.2 | 1.88 | 0.44 | 932.33 | |
| Q2.5-C1:19 | 780 | 300 | 1080 | 0.003 | 0.008 | 2.5 | 2.5 | 0.84 | 2.60 | 1909.67 | |
| Q2.5-C1:9 | 3 | 4 | 7 | 0.400 | 1.025 | 1.2 | 4.1 | 0.84 | 2.56 | 995.33 | |
| S5 0.18 & 0.125 | Q1.5-C1:14 | 600 | 240 | 840 | 0.002 | 0.015 | 1.4 | 3.6 | 0.54 | 6.43 | 458.33 |
| Q2.5-C1:14 | 120 | 240 | 360 | 0.014 | 0.014 | 1.7 | 3.3 | 0.98 | 0.97 | 420.33 | |
| Q3.5-C1:14 | 300 | 120 | 420 | 0.009 | 0.019 | 2.7 | 2.3 | 1.54 | 2.13 | 371.33 | |
| Q2.5-C1:19 | 2460 | 120 | 2580 | 0.001 | 0.030 | 3.2 | 3.6 | 0.98 | 23.06 | 505.33 | |
| Q2.5-C1:9 | 13 | 7 | 20 | 0.138 | 0.529 | 1.8 | 3.7 | 0.98 | 3.82 | 457.00 | |
| S6 0.18 & 0.126 | Q1.5-C1:14 | 480 | 420 | 900 | 0.004 | 0.008 | 1.7 | 3.3 | 0.58 | 2.22 | 1579.33 |
| Q2.5-C1:14 | 240 | 120 | 360 | 0.006 | 0.030 | 1.4 | 3.6 | 1.02 | 5.14 | 1082.67 | |
| Q3.5-C1:14 | 300 | 120 | 420 | 0.009 | 0.020 | 2.6 | 2.4 | 1.56 | 2.31 | 531.67 | |
| Q2.5-C1:19 | 1500 | 1140 | 2640 | 0.001 | 0.004 | 1.3 | 4.1 | 1.02 | 4.15 | 1681.67 | |
| Q2.5-C1:9 | 9 | 9 | 18 | 0.211 | 0.378 | 1.9 | 3.4 | 1.02 | 1.79 | 660.00 | |
| S7 0.18 & 0.127 | Q1.5-C1:14 | 600 | 360 | 960 | 0.004 | 0.008 | 2.3 | 2.7 | 0.58 | 1.96 | 1624.67 |
| Q2.5-C1:14 | 60 | 300 | 360 | 0.030 | 0.011 | 1.8 | 3.2 | 1.06 | 0.36 | 1511.00 | |
| Q3.5-C1:14 | 60 | 120 | 180 | 0.038 | 0.023 | 2.3 | 2.7 | 1.6 | 0.59 | 1282.00 | |
| Q2.5-C1:19 | 1440 | 1080 | 2520 | 0.001 | 0.004 | 1.7 | 4 | 1.06 | 3.14 | 1719.00 | |
| Q2.5-C1:9 | 4 | 8 | 12 | 0.150 | 0.588 | 0.6 | 4.7 | 1.06 | 3.92 | 1236.67 | |
| S8 0.18 & 0.128 | Q1.5-C1:14 | 720 | 180 | 900 | 0.002 | 0.021 | 1.3 | 3.7 | 0.66 | 11.38 | 2626.00 |
| Q2.5-C1:14 | 30 | 270 | 300 | 0.043 | 0.014 | 1.3 | 3.7 | 1.48 | 0.32 | 2554.00 | |
| Q3.5-C1:14 | 20 | 40 | 60 | 0.120 | 0.065 | 2.4 | 2.6 | 2 | 0.54 | 2537.00 | |
| Q2.5-C1:19 | 1500 | 1080 | 2580 | 0.001 | 0.003 | 2.2 | 3.1 | 1.48 | 1.96 | 2650.67 | |
| Q2.5-C1:9 | 3 | 6 | 9 | 0.200 | 0.750 | 0.6 | 4.5 | 1.48 | 3.75 | 2629.33 |
| Evaluation Index | Weight/% |
|---|---|
| Total operation time (T) | 46.00 |
| dry weight of pollutant carrying capacity (DW) | 23.62 |
| Filter mesh size (M) | 20.61 |
| Clogging uniformity (η) | 2.23 |
| Initial head loss (hj) | 7.54 |
| Treatment | Scoring Index | Sorting Results | Treatment | Scoring Index | Sorting Results |
|---|---|---|---|---|---|
| S1-Q1.5-C1:14 | 0.468 | 31 | S5-Q1.5-C1:14 | 0.652 | 12 |
| S1-Q2.5-C1:14 | 0.226 | 39 | S5-Q2.5-C1:14 | 0.521 | 23 |
| S1-Q3.5-C1:14 | 0.288 | 37 | S5-Q3.5-C1:14 | 0.538 | 21 |
| S1-Q2.5-C1:19 | 0.801 | 7 | S5-Q2.5-C1:19 | 0.925 | 4 |
| S1-Q2.5-C1:9 | 0.174 | 40 | S5-Q2.5-C1:9 | 0.466 | 32 |
| S2-Q1.5-C1:14 | 0.469 | 30 | S6-Q1.5-C1:14 | 0.744 | 11 |
| S2--Q2.5-C1:14 | 0.298 | 36 | S6-Q2.5-C1:14 | 0.575 | 18 |
| S2-Q3.5-C1:14 | 0.344 | 35 | S6-Q3.5-C1:14 | 0.549 | 20 |
| S2-Q2.5-C1:19 | 0.817 | 5 | S6-Q2.5-C1:19 | 0.985 | 2 |
| S2-Q2.5-C1:9 | 0.242 | 38 | S6-Q2.5-C1:9 | 0.474 | 29 |
| S3-Q1.5-C1:14 | 0.503 | 26 | S7-Q1.5-C1:14 | 0.761 | 10 |
| S3-Q2.5-C1:14 | 0.463 | 33 | S7-Q2.5-C1:14 | 0.598 | 15 |
| S3-Q3.5-C1:14 | 0.558 | 19 | S7-Q3.5-C1:14 | 0.536 | 22 |
| S3-Q2.5-C1:19 | 0.793 | 8 | S7-Q2.5-C1:19 | 0.982 | 3 |
| S3-Q2.5-C1:9 | 0.443 | 34 | S7-Q2.5-C1:9 | 0.505 | 25 |
| S4-Q1.5-C1:14 | 0.626 | 14 | S8-Q1.5-C1:14 | 0.791 | 9 |
| S4-Q2.5-C1:14 | 0.509 | 24 | S8-Q2.5-C1:14 | 0.647 | 13 |
| S4-Q3.5-C1:14 | 0.479 | 28 | S8-Q3.5-C1:14 | 0.595 | 16 |
| S4-Q2.5-C1:19 | 0.804 | 6 | S8-Q2.5-C1:19 | 0.994 | 1 |
| S4-Q2.5-C1:9 | 0.49 | 27 | S8-Q2.5-C1:9 | 0.594 | 17 |
Disclaimer/Publisher’s Note: The statements, opinions and data contained in all publications are solely those of the individual author(s) and contributor(s) and not of MDPI and/or the editor(s). MDPI and/or the editor(s) disclaim responsibility for any injury to people or property resulting from any ideas, methods, instructions or products referred to in the content. |
© 2024 by the authors. Licensee MDPI, Basel, Switzerland. This article is an open access article distributed under the terms and conditions of the Creative Commons Attribution (CC BY) license (https://creativecommons.org/licenses/by/4.0/).
Share and Cite
Wang, S.; Wang, H.; Qiu, X.; Wang, J.; Wang, S.; Wang, H.; Shen, T. Study on the Performance of Filters Under Biogas Slurry Drip Irrigation Systems. Agriculture 2025, 15, 30. https://doi.org/10.3390/agriculture15010030
Wang S, Wang H, Qiu X, Wang J, Wang S, Wang H, Shen T. Study on the Performance of Filters Under Biogas Slurry Drip Irrigation Systems. Agriculture. 2025; 15(1):30. https://doi.org/10.3390/agriculture15010030
Chicago/Turabian StyleWang, Shuaijie, Haitao Wang, Xuefeng Qiu, Jiandong Wang, Shuji Wang, Hang Wang, and Tao Shen. 2025. "Study on the Performance of Filters Under Biogas Slurry Drip Irrigation Systems" Agriculture 15, no. 1: 30. https://doi.org/10.3390/agriculture15010030
APA StyleWang, S., Wang, H., Qiu, X., Wang, J., Wang, S., Wang, H., & Shen, T. (2025). Study on the Performance of Filters Under Biogas Slurry Drip Irrigation Systems. Agriculture, 15(1), 30. https://doi.org/10.3390/agriculture15010030

