Next Article in Journal
Effects of Poultry Manure Biochar on Salicornia herbacea L. Growth and Carbon Sequestration
Previous Article in Journal
Strigolactone Preserves Fresh-Cut Apple Quality during Shelf Life
 
 
Font Type:
Arial Georgia Verdana
Font Size:
Aa Aa Aa
Line Spacing:
Column Width:
Background:
Article

Ground Measurements and Remote Sensing Modeling of Gross Primary Productivity and Water Use Efficiency in Almond Agroecosystems

by
Clara Gabaldón-Leal
1,*,
Álvaro Sánchez-Virosta
1,
Carolina Doña
1,
José González-Piqueras
1,
Juan Manuel Sánchez
1 and
Ramón López-Urrea
2
1
Remote Sensing and GIS Group, Regional Development Institute, Campus of Albacete, University of Castilla-La Mancha (IDR-UCLM), 02071 Albacete, Spain
2
Desertification Research Centre (CIDE), CSIC-UV-GVA, Carretera CV 315, km 10.7, 46113 Moncada, Spain
*
Author to whom correspondence should be addressed.
Agriculture 2024, 14(9), 1589; https://doi.org/10.3390/agriculture14091589
Submission received: 6 August 2024 / Revised: 6 September 2024 / Accepted: 9 September 2024 / Published: 12 September 2024
(This article belongs to the Section Artificial Intelligence and Digital Agriculture)

Abstract

Agriculture plays a crucial role as a carbon sink in the atmosphere, contributing to a climate-neutral economy, which requires a comprehensive understanding of Earth’s complex biogeochemical processes. This study aims to quantify, for the first time, Gross Primary Productivity (GPP) and ecosystem water use efficiency (eWUE) in almond orchards during their vegetative phase. The study was conducted over six growing seasons (2017–2022) across two drip-irrigated commercial almond groves located in Albacete, SE Spain. Eddy covariance flux tower systems were used to measure Net Ecosystem Exchange (NEE) and evapotranspiration (ET), which were then used to calculate GPP and eWUE. A novel approach was developed to estimate eWUE by integrating the Normalized Difference Vegetation Index (NDVI), reference ET, and air temperature. The results show similar almond orchard carbon-fixing capacity rates to those of other natural and agro-ecosystems. Seasonal and interannual variability in GPP and eWUE were observed. The NDVI-ET combination proved to be effective for GPP estimations (regression coefficient of 0.78). Maximum carbon-fixing values were observed at ET values of around 4–5 mm/d. In addition, a novel method was developed to estimate eWUE from NDVI, reference ET and air temperature (RMSE of 0.38 g·C/kg·H2O). This study highlights the carbon capture potential of almond orchards during their vegetative phase and introduces a novel approach for eWUE monitoring, with the intention of underscoring their significance in a climate change context and to encourage further research.

1. Introduction

Climate change projections point to a substantial increase in greenhouse gas (GHG) emissions and a consequent rise in temperatures, extreme weather events, and water scarcity [1,2], especially in certain regions, with southern Europe being a case in point [3,4]. Agriculture, forestry, and other land use activities account for 22% of these emissions [1]. However, agriculture can also play an important role as a sink for atmospheric carbon, helping achieve a climate-neutral economy [5], as outlined in the Paris Agreement. Certain agricultural practices significantly enhance the ability of soils and crops to act as carbon sinks, thereby mitigating atmospheric CO2 levels. Practices falling under the umbrella of conservation agriculture include no-till farming, crop rotation and cover crops to reduce soil disturbance, which helps maintain soil organic matter and sequester carbon in the soil [6,7]. The Intergovernmental Panel on Climate Change (IPCC) defines carbon offset as “A unit of CO2-equivalent emissions that is reduced, avoided, or sequestered to compensate for emissions occurring elsewhere”. In this sense, a carbon credit certifies that a practice has removed 1 ton of carbon dioxide (CO2) from the atmosphere [8]. Companies or individuals that demonstrate CO2 sequestration practices can join the voluntary carbon market to receive economic compensation [9]. These credits can be traded in the voluntary carbon market, providing an additional revenue stream for farmers while contributing to global climate mitigation efforts. The growing interest in regenerative agriculture has further boosted the importance of this market, with studies indicating that such practices can significantly reduce the carbon footprint of farming operations [10,11].
The terrestrial ecosystem stores 25–30% of anthropogenic CO2 emissions [12,13]. This carbon quantification demands a comprehensive understanding of Earth’s complex biogeochemical processes. One of these processes, the relationship between Net Ecosystem Exchange (NEE), Ecosystem Respiration, and Gross Primary Productivity (GPP) is a fundamental aspect in understanding the carbon dynamics within an ecosystem. The GPP of ecosystems represents the total amount of CO2 that plants convert into organic matter through photosynthesis [14]. NEE represents the net carbon flux, which is the difference between the carbon dioxide (CO2) uptake through photosynthesis during GPP and the CO2 release through ecosystem respiration. Accurate quantification and accounting of GPP provide a robust framework for assessing ecosystem potential in sequestering atmospheric CO2, with the subsequent implications for climate change mitigation strategies [15,16]. In this context, understanding the carbon dynamics of specific agricultural systems, such as almond production, is crucial, as it contributes to our broader knowledge of the role different crop systems can play in carbon sequestration. A small number of studies have been published reporting values of the GPP for different woody crops, such as olive [17,18,19,20,21], citrus [22,23] and apple [24,25]. However, to the best of our knowledge, the literature lacks reports on important crops such as almond and other fruit tree species. In this sense, during the last 70 years, world almond production has increased with a linear trend of ca. 5000 tons per year, and the area of cultivation has grown ca. 2000 ha per year [26]. Spain is the country with the largest cultivated area of almond trees with more than 760,000 ha, followed by the United States of America with about 540,000 ha [27].
Specifically in Spain, there has been a significant increase in irrigated almond orchards over the last decade, reaching 142,000 ha (19% of the total harvested almond area) [28]. This growth is particularly notable in the La Mancha region, where high evaporative demand and scarce summer rainfall coincide with the peak water requirements in many crops, including nut tree orchards and vineyards. For example, Garrido et al. [29] estimated the irrigation water requirements in our study area for one of the largest irrigation water user associations in La Mancha, using remote sensing techniques. These authors reported that, from May to August, the irrigation water requirements reached the higher water demands across four consecutive years [30]. In this sense, the water use efficiency (WUE) index is a crucial sustainability indicator that measures how effectively almond trees convert water into biomass, particularly in arid and semi-arid regions where water scarcity is a major constraint on crop development and yield [31,32,33]. WUE is defined as the amount of carbon assimilated as biomass or marketable yield per unit of water consumed by the crop or crop ET [34]. Remote sensing ET and yield estimation models have improved the accuracy at the regional scale, and the incorporation of crop types and irrigation allocations into high-spatial-resolution crop-specific WUE modeling is the recommended method of WUE estimation [35] in almond crops. For example, Álvarez et al. [36] recently measured the ratio between total dry mass and water used in four different almond cultivars that were one year old. At the leaf level, several studies have addressed instantaneous and/or intrinsic WUE in almond orchards [37,38]. Other studies have determined the water use, ET and crop coefficients in young almond orchards using the EC system, by gas-exchange methods [39] or by soil water balance [40] under deficit conditions to optimize irrigation management based on tree development and local conditions [41,42,43]. However, to the best of our knowledge, ecosystem WUE (eWUE), calculated as the ratio between GPP and evapotranspiration (ET) [44,45], which can better represent the crop behavior at a larger spatial scale, has not been previously reported for almond trees [44,45].
In the context of climate change, parametrizing eWUE is crucial for understanding and addressing the evolving dynamics of water management, emphasizing its pivotal role in sustainable adaptation strategies. Modeling eWUE presents a significant challenge due to the complex interplay of various environmental factors and dynamic system interactions [46]. However, in this work, eWUE is parametrized based on vegetation indices and easily accessible meteorological data, which play a key role in optimizing water use in agriculture. This approach helps preserve water resources, adapt to changing climate conditions, and achieve both economic and environmental sustainability. Various authors have also correlated these variables, obtaining similar results in other crops, such as olives [47]. This approach may be a valuable tool for farmers, researchers, policymakers, and water resource managers striving to address the challenges associated with efficient water use in agriculture.
In the present study, Eddy Covariance (EC) flux towers were used to determine NEE, ET and GPP [48]. This advanced technology is able to continuously monitor gas, heat, and water vapor fluxes between vegetation and the atmosphere. Not only does this methodology provide detailed insights into ecosystem and agriculture water use efficiency, but it also significantly contributes to carbon cycle assessments and the development of effective climate change mitigation strategies. However, despite their accuracy, EC data have limitations in spatial representativeness because they only capture detailed information about ecosystem dynamics at their specific location and do not provide a broader view of ecosystem trends [49]. Moreover, complex terrain and dense vegetation can significantly affect the measurements from the EC tower, potentially leading to uncertainties [50,51]. In this scenario, remote sensing emerges as an alternative with operational capacity, since satellite imagery can be combined with meteorological data to generate distributed maps of both eWUE and ET, and ultimately GPP, covering large spatial areas. Important ET monitoring examples are operative at a global or regional scale. On the one hand, while the EEFlux system [52] displays remote-sensing-based ET products through thermal satellite imagery at a global scale, ET estimations at a regional scale are provided by other developments, such as the OPENET application [53] over different states in the U.S., also using thermal satellite imagery, while optical satellite data are used over Spain [54] and over certain regions of Australia [55]. On the other hand, GPP satellite-based estimations have been developed at a global scale [56,57,58] as well as at a regional scale [59,60].
Focusing on almond orchards, our study highlights the significance of incorporating GPP, NEE and eWUE measurements in agriculture for climate mitigation strategies, elucidating its importance in advancing our understanding of Earth’s carbon dynamics and fostering effective approaches for a more sustainable future. Data were gathered from a six-season experiment (2017–2022) in two different locations in southeastern Spain, allowing for a comprehensive and novel analysis of NEE, GPP and eWUE response in almond trees. Therefore, this paper aims to (1) quantify and understand NEE and GPP behavior in almond trees using EC data and (2) parametrize eWUE in almond trees using a remote-sensing-based approach. This work will contribute to a better understanding of carbon sequestration and water use efficiency in almond agroecosystems.

2. Materials and Methods

2.1. Experimental Design

This study was conducted over six consecutive almond growing seasons, from 2017 to 2022. We monitored two commercial drip-irrigated almond orchards located in the province of Albacete (SE Spain) and separated by a distance of 25 km. The first study site was located at “Las Tiesas” research facility (39.0424° N, −2.0890° W). An 11 ha almond (Prunus dulcis (Mill.) D.A. Webb) orchard was planted in 2015 with cv. Lauranne grafted onto the GF-677 rootstock. Tree spacing was 6 m (within row) and 7 m (inter-row), resulting in 238 trees per ha−1. A second almond orchard of about 10 ha was planted in Tarazona de la Mancha (Albacete, Spain) (39.2660° N, −1.9397° W) in 2017. The cultivar used in this case was Penta grafted onto the GXN (Garnem) rootstock, with spacing between plants and between rows of 4.5 and 6.5 m, respectively (342 trees ha−1) (Figure 1).
The climate in this region is semi-arid temperate Mediterranean, characterized by dry and warm summers, resulting in high evaporative demand. Long-term average annual rainfall is about 320 mm, and the annual cumulative grass reference evapotranspiration (ETo) is around 1250 mm. Meteorological data for the six years of the study (2017–2022) were collected from the “La Gineta” weather station situated at 8.5 linear km from “Las Tiesas” and 18 linear km from “Tarazona”, belonging to the Spanish Agro-climatic Information System for Irrigation [61]. Climate data were gathered from the official meteorological station rather than from the locations to ensure coherence in spatializing the results. Moreover, this weather station is the most representative of the atmospheric evaporative demand in the study area (LTs-TzM). Crop management practices were adopted to minimize water, nitrogen, weeds, and biotic stresses throughout the cropping season.

2.2. Eddy Covariance and Meteorological Instrumentation

An eddy covariance (EC) system was used to monitor NEE and ET, being subsequently used to obtain GPP. A fully equipped flux tower (Table 1) was initially deployed at the central location of the almond orchard in Las Tiesas at the beginning of the 2016 growing season, with its instrumentation being completed in 2017 (Figure 1), registering data for the first 3-year period (2017–2019). At the beginning of 2020, the tower was relocated in the commercial almond orchard of Tarazona, again at the central location of the plot, and data were collected for the second 3-year period (2020–2022).
The EC system was mounted on the tripod (Figure 1) and comprised a sonic anemometer (CSAT-3, Campbell Sci. Inst., Logan, UT, USA) and an open-path infrared gas analyzer (LI-7500, LI-COR Inc., Lincoln, NE, USA). Based on the footprint analysis, the EC instruments were initially positioned at a height of 4 m above the ground surface to avoid contributions from areas beyond the boundaries of the almond field. This position was later raised to 5 m in the 2019 season to maintain a minimum distance of 1.5 m from the canopy top. In 2020, the tower was installed with a similar setup in Tarazona, but raising the EC instruments 6 m above the soil surface in this case, and subsequently to 7.5 m in 2022 (Table 1).
The flux tower was also equipped with a net radiation sensor (NR-Lite in Las Tiesas, and CNR1 in Tarazona, Kipp & Zonen, Delft, The Netherlands), with 2 and 4 heat flux plates, respectively (HFP01SC, Hukseflux, Delft, The Netherlands), buried at 8 cm depth on both sides of the row. Soil temperature was measured using thermocouples (TCAV, Type E, Campbell Sci. Inst., Logan, UT, USA) at depths of 2 and 4 cm, and soil moisture was measured at a depth of 6 cm with volumetric moisture sensors (CS650, Campbell Sci. Inst., Logan, UT, USA) to account for heat storage in the soil layer above the plates. The other meteorological variables measured were air temperature/relative humidity (model MP100, Campbell Scientific Instrument, Logan, UT, USA) and rainfall (model ARG100, Campbell Scientific Instrument, Logan, UT, USA). All the data were recorded as 15-minute averages, using CR10X and CR1000 data loggers (Campbell Scientific Instrument, Logan, UT, USA), being subsequently processed to derive 30-minute, hourly and daily fluxes.
The study period covered from July to September in 2017, May to October in 2018, July to September in 2019, July to September in 2020 and April to October in 2021 and 2022 (Table 2). The dataset encompassed the full Stage III phenological phase (increase in seed weight) for all six years, as well as significant portions of Stage II (embryo growth) and Stage IV (post-harvest). Long gaps associated with the use of EC systems are common in this type of study, but we opted not to use synthetic data since this is a first attempt to accurately unravel almond carbon capture potential and eWUE during the almond growing season [62,63]. A total of 905 days were considered within these periods.

2.3. Flux Data Processing

The data collection process involved compiling daily summary logs containing half-hour flux measurements, which were subsequently stored as text files with tab-delimited formatting. To address data gaps and partition NEE into ecosystem respiration (Reco) and GPP, we employed the REddyProc© online tool [64] developed by the Max Planck Institute for Biogeochemistry, which uses the standard EC processing methods based on the REddyProc R Package. The flux measurements were filtered using the Ustar-based methods in conjunction with Moving Point Test threshold estimation algorithms [65]. Subsequently, for NEE partitioning, we utilized daily-time based algorithms [66], which use the light response curve to fit the daytime NEE, including the temperature sensitivity of respiration and the vapor pressure deficit (VPD) limitation of photosynthesis. For comprehensive details on data filtering, gap filling, and partitioning techniques, please refer to the REddyProc website [67]. Following the convention for NEE data presentation, negative flux values indicate net CO2 sequestration (flux from atmosphere to ecosystem), while positive values indicate net CO2 release (flux from ecosystem to atmosphere). The values were maintained within the threshold ±50 µmol C m−2 s−1 [68,69]. Daily cumulative values for NEE, GPP, and ET were computed by integrating hourly values using R free software (R version 4.3.0). eWUE was determined by means of the indirect technique, dividing GPP by ET [44,45]. The seasonal dynamics were explored as monthly cumulative values (NEE and GPP; g C m−2) and mean monthly values for eWUE (g C kg−1 H2O).

2.4. eWUE Model Development

The monthly values of eWUE were parametrized as a function of biophysical and meteorological variables. The monthly data scale is widely used in studies related to NEE and eWUE [24,70] due to its ability to provide a comprehensive view of these ecological processes over time. Monthly data reduce the extreme values, allowing researchers to analyze and identify long-term trends in measurement, which is crucial for understanding carbon fluxes and the overall health of ecosystems. To this end, we considered time series of the Normalized Difference Vegetation Index (NDVI) [71] and meteorological variables such as air temperature (Tair), VPD, precipitation (P), and reference evapotranspiration (ETo). NDVI is a widely used indicator of vegetation health and density, calculated from the reflectance values in both near-infrared and red spectral bands captured by remote sensing [72]. Based on NDVI time series from Sentinel-2A and Sentinel-2B (sensor MSI, granule 30SWJ) and Landsat 8 (sensor OLI, scenes 199-033 and 200-033) satellite images, data were extracted from the WebGIS platform developed by the University of Castilla-La Mancha [73]. Four pixels (10 m resolution) within the study site were selected and averaged monthly to avoid georeferencing errors in the EC tower; this sampling approach, however, remained representative of the footprint area of the flux tower.
In Las Tiesas, trees start with an age of only 2 years, whereas in Tarazona, the data begins with 3-year-old trees but with a higher planting density. While Tair, ETo and P were obtained from La Gineta-SIAR [61], vapor pressure deficit (VPD) values were directly measured by the instrumentation placed at the EC tower. In this analysis, a multiple linear regression model was developed to predict the eWUE using the set of variables NDVI, Tair, VPD, P and ETo as independent inputs. The independent variables in the multiple linear regression model for predicting eWUE were chosen based on their relevance to vegetation health and meteorological conditions. NDVI was included for its role in indicating vegetation density, while Tair, VPD, P, and ETo were selected for their direct effects on plant physiology and water use efficiency. These variables were included to offer a comprehensive view of the factors affecting eWUE and were readily accessible. Variables not included were either less relevant or could introduce unnecessary complexity, risking overfitting.
The full dataset was divided into randomly selected calibration (75% data) and validation sets (25% data). The approach was calibrated as a multiple linear regression model with the calibration data; following this correlation, the Akaike Information Criterion (AIC) was analyzed [74] using R free software, the function being part of the stats package. The AIC is designed to balance the trade-off between the goodness of fit of a model and its complexity, thereby helping to prevent overfitting. The AIC is a widely employed model selection metric that balances a model’s fit to data with its complexity [25,75,76]. The absolute value of AIC alone is not greatly informative; its usefulness lies in comparing AIC between different models. Two squared errors were computed, R2 and R2 adjusted (R2 adj), as the latter penalizes the inclusion of unnecessary variables. Subsequently, the model performance was evaluated on the validation data, measuring R2, Mean Absolute Error (MAE) and Root Mean Squared Error (RMSE) [77]. The AIC is a criterion intended to strike a balance between the model’s fit to the data and its complexity. In other words, the AIC penalizes more complex models to avoid overfitting. A model that fits the data well but is overly complex might have a higher AIC than a simpler model with a slightly worse fit. The absolute value of AIC alone is not very informative; its usefulness lies in comparing AIC between different models. Meanwhile, R2 measures the proportion of variability in the dependent variable explained by the model. However, R2 does not penalize the complexity of the model, meaning that a more complex model could have a higher R2 simply because it is “overfitting” the data.

2.5. Statistical Analysis

For the monthly accumulated GPP and NEE values, we took into account only the months where more than 75% of the days had complete measurements. For a more accurate statistical analysis, we also analyzed mean daily values in those months, while every available measured day was depicted in a complementary figure. This allowed us to assess specific daily values, monthly patterns and interannual differences. A factorial ANOVA was conducted to evaluate the effect of each factor (year, location, and month) independently as well as their interactions to detect statistical differences in GPP, NEE and eWUE. Pearson correlations and tests for the significance of the regression coefficients were also conducted to parametrize GPP and eWUE as a function of NDVI and ET. All the models and subsequent analyses were performed using XLSAT software (Version 2022.2.1, Addinsoft, Paris, France).

3. Results and Discussion

3.1. Meteorological Conditions

As mentioned in Section 2.1, both almond orchards are located and develop under a semi-arid climate. Specifically, the average annual precipitation was 314 mm, mainly concentrated during the spring and autumn months. The average interannual mean, maximum, and minimum air temperatures were 14.1 °C, 21.5 °C, and 7.2 °C. Seasonal weather patterns were similar throughout the 6 years of study (Figure 2). However, we conducted an in-depth analysis of the data points on some climatic events that could have affected the normal development of the almond trees during the six-season experiment. In this sense, within the 2017–2022 time series, 2022 was the warmest year, with maximum temperatures above 35 °C for 45 days (Table S1), which is the maximum threshold temperature for proper almond physiological activity [26,78]. Additionally, in June 2022, we found the highest values of VPD and VPDmax (Figure 2B and Table S1). Moreover, during this year, there were 10 days with temperatures below 0 °C, which affected almond blossoming in Spain [79]. These extreme temperatures, such as late frosts during flowering, can lead to frost damage, which can, in turn, result in substantial yield losses and impaired physiological performance [78,79,80,81]. Furthermore, in the years 2019 and 2022, there was a nearly rain-free period between May and August but preceded by notable rains in April. The impact of unfavorable weather conditions, such as those observed here in 2022, have previously been reported in other studies on GPP and NEE performance [17,82]. In this sense, other studies have reported that high evaporative demand contributes to constrained photosynthesis and higher respiration, affecting NEE and GPP [17], while low precipitation combined with high atmospheric temperature can increase WUE to a certain point [82]. This effect, where low rainfall and high temperatures influence the carbon sequestration capacity of almond trees, may be key in the short to medium term in a scenario where climate change may aggravate these impacts in the coming years.

3.2. Interannual, Interlocation and Interseasonal Patterns in Net Ecosystem Exchange (NEE), Gross Primary Productivity (GPP) and Ecosystem Water Use Efficiency (eWUE)

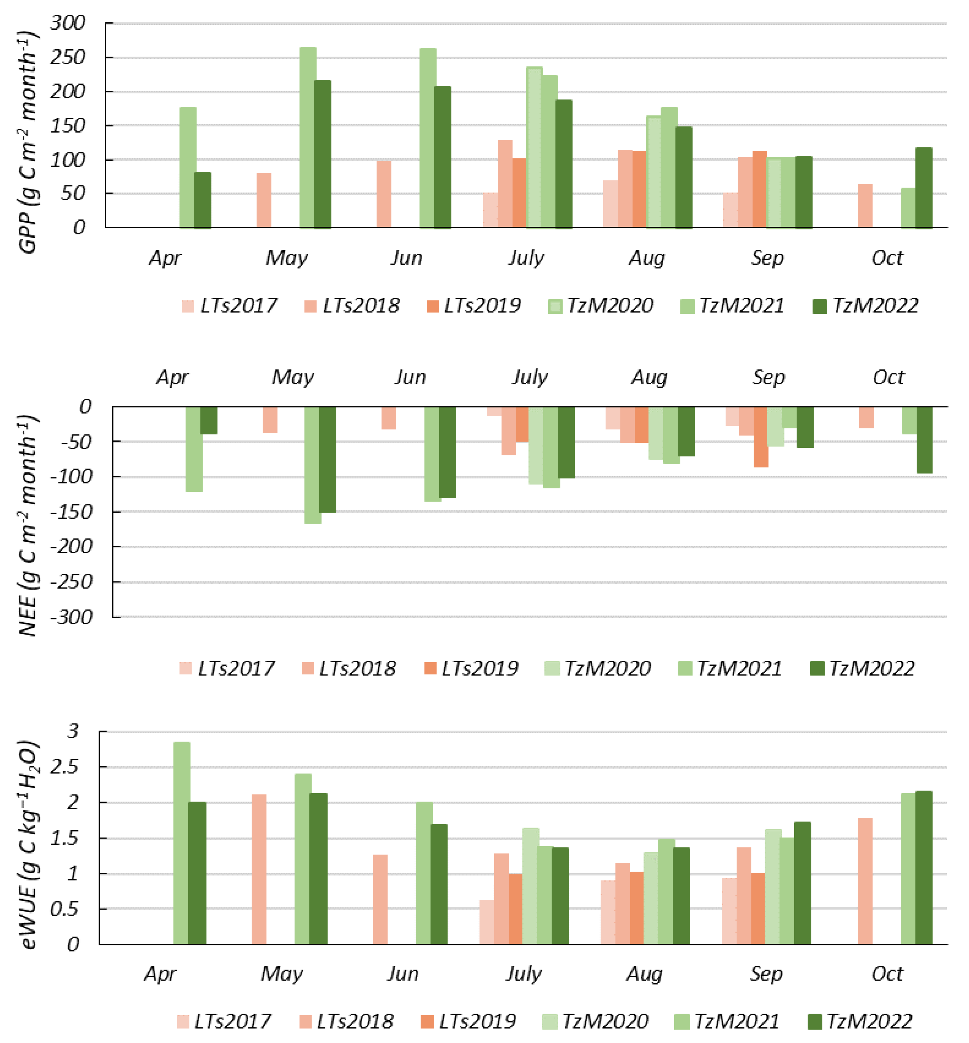
Figure 3 lists the accumulated values of monthly NEE and GPP obtained in the experiment. Several studies have shown that natural ecosystems act as net carbon sinks, thus contributing to climate change mitigation, absorbing more CO2 than they release [83,84,85,86]. Estimations of terrestrial GPP are consistently influenced by a number of environmental variables, the methods used to measure it, and the unique response characteristics of diverse vegetation types [87]. In this sense, when comparing our results with other natural and agricultural ecosystems, various aspects should be carefully considered to ensure fair comparisons.
In the experiment, positive GPP and negative NEE monthly values were found during the almond growing season (Figure 3). Obtaining a complete year of data from eddy covariance flux towers is challenging due to a number of factors, including instrument malfunctions, maintenance, power outages, and data quality issues. These interruptions often lead to significant gaps in the data, with some studies reporting gaps in 30–60% of the annual data [88,89,90]. Despite ground measurements not covering the entire year, with temporal gaps due to maintenance and calibration of the instrument, our dataset (from April to September) coincides with the vegetative phase of almond trees in Spain. We can state that, during the vegetative phase, the almond tree captured more CO2 than it released. This is confirmed by the negative values of NEE measured by the EC system, since they indicate that the CO2 capture balance was greater than the emission balance in the plots monitored. Liu et al. [85] found, in an old-growth forest, a maximum monthly GPP of 179.5 g C m−2 in August [85]. The maximum monthly GPP in our study was 263.7 g C m−2 in 5-year-old almond trees in May 2021. This result is promising in terms of potential carbon capture in almond orchards. In addition, similar daily and monthly cumulative GPP values have been found in a boreal Scots pine forest [86], with the authors reporting monthly GPP values of between 150 and 200 g C m−2 month−1 in summer months over 10 consecutive years and maximum values of ca. 250 g C m−2 month−1 [86]. Moreover, maximum daily values in this boreal Scots pine forest of ca 10 g C m−2 day−1 are also consistent with the results obtained in this study (Figure 4A).
However, as previously mentioned, natural forests or ecosystems cannot be fairly compared with a well-fertilized and irrigated almond orchard. In fact, for a complete carbon assessment, crop management practices that might release CO2 (such as fertilization, pruning, etc.) need to be incorporated into the carbon balance. In other crops, the different management practices [17,20,91], age of the plants [18] species studied [92,93] and short-term climatic conditions [19,21,23,25] were found to greatly influence the carbon uptake and fixation. For example, [17] reported significant differences in NEE in olive trees managed under different weeding practices, with lower annual cumulative NEE under weed cover compared with weed free soil management. In our study, monthly cumulative NEE values between May and October were lower (more negative) (Figure 3) than those reported by Chamizo et al. [17] under both treatments, indicating higher CO2 capture capacity in our almond orchard. In an 11-year apple orchard, Zanotelli et al. [24] obtained GPP values between 0 and 10 g C m−2 d−1, reporting similar yearly GPP to that of a temperate–humid deciduous forest (with 1375 ± 12 and 1263 ± 189 g C m−2 yr−1 in the forest and apple orchard, respectively). In our study, average daily GPP ranged between 1.5 and 9 g C m−2 d−1 (Figure 5C,D), closely coinciding with the former work. The maximum daily GPP results for our young almonds are slightly below those reported for olive trees (1–15 g C m−2 d−1) [47] and those reported in maize (0–18 g C m−2 d−1) [93] to those observed for citrus (2–10 g C m−2 d−1) [23] and for grassland (0–9 g C m−2 d−1) [93]. All these results highlight the potential carbon-fixing capacity of almond orchards.
As in the aforementioned studies, the seasonal and interannual variability of both NEE and GPP was observed in the present work. The factors month, year and location were found to be significant for NEE and GPP (p < 0.001). At both study sites, Las Tiesas (3–5 years old in 2017–2019) and Tarazona (4–6 years old in 2020–2022), there is a general trend of increasing CO2 sequestration (more negative NEE values) and plant carbon fixation (GPP) as the almond trees grew across the growing seasons at each of the locations. This was true for all years except 2022. The differences between tree age within the same location and that caused by tree density between Las Tiesas and Tarazona represent a common response regarding the higher photosynthetic potential due to tree size in older trees and the higher tree density in Tarazona [41,94]. For the same tree age (4 and 5 years corresponding to 2018–2019 period in LTs and 2020–2021 period in TzM), lower NEE and GPP values were observed in Las Tiesas compared to Tarazona (Figure 3 and Figure 4). In some cases, the Tarazona values doubled their counterparts in Las Tiesas on daily cumulative values (Figure 3), daily mean values (Figure 4) and average monthly daily values (Figure 5). In fact, for the six-season experiment, NDVI values ranged from 0.2 to 0.6 throughout the full growing season (see Figure 6). Figure 6 illustrates a dual effect pattern: as the trees mature, the canopy growth leads to an annual increase in NDVI, while a general trend of decreasing NDVI is observed from July onwards, except during the first two years in Las Tiesas.
This positive relationship between higher GPP and lower NEE with increasing NDVI has been reported in previous studies and will be further discussed in the following sections. These results suggest that the growth of almond trees, as well as the increase in the canopy vegetation fractional cover, with denser canopies throughout their interannual development, may increase their carbon capture capacity.
In terms of seasonal variability, late spring and summer months accounted for the highest GPP and ET, and the lowest (more negative) NEE (Figure 3, Figure 4 and Figure 5). These carbon fixation seasonal patterns were statistically significant (p < 0.001) when we analyzed average daily values for each month and year (Figure 4). The lowest NEE and highest GPP were found in late spring months (May–June) and match the period in which the almond growth rate is the highest in Spain [95,96] (Figure 4). From July onwards, these values are dampened (see NDVI in Figure 6). This is mainly due to inherent phenological changes [97] but also because of harsh weather conditions. Very high temperatures and high evaporative demand occur in summer months in Spain (see July and August in Figure 2 and Table S1). Additionally, at the end of the almond fruit formation cycle and close to harvest (end of August), regulated deficit irrigation was applied, this being a common practice among almond growers [41,97,98]. This deficit was also crucial in diminishing photosynthetic capacity, while higher temperature could result in elevated respiration rates, leading to lower GPP and higher NEE at the end of summer.

3.3. Interannual, Interlocation and Interseasonal Patterns in Ecosystem Water Use Efficiency

In this study, we obtained daily eWUE values between 0.2 and 5.0 g C kg−1 H2O d−1, with an interannual average of 1.54 g C kg−1 H2O and statistical monthly and interannual differences (p < 0.01). As occurred with GPP and NEE, eWUE responses depend on the vegetation type [99] and environmental factors [23,83]. In the case of agricultural ecosystems, the eWUE is especially vulnerable to water inputs and management practices [99,100]. In our study, irrigation was applied based on the FAO-56 methodology [101] to maintain well-watered conditions until a few days prior to harvest due to management purposes. Our mean annual eWUE presented relatively similar results to those obtained by Peddinti et al. [23] reporting 1.77 g C kg−1 H2O in citrus trees, and to those obtained in croplands in a 7-year study (1.76 g C kg−1 H2O) [99]. The latter study [99] also reported WUE results in different vegetation types, with mean almond eWUE estimates being higher than those obtained in grasslands and lower than forests and shrublands. In terms of daily eWUE, the results are within the range of other studies, for example, those obtained by [82] in a six-year study of subtropical coniferous plantation (1.5 to 4.5 g C kg−1 H2O d−1), being slightly higher than those reported in citrus trees (0.22–3.39 g C kg−1 H2O d−1) [23] and lower than those reported in olive trees (2 to 10 g C kg−1 H2O d−1) [47].
Although the present discussion on eWUE is limited, due to the lack of studies quantifying eWUE in almond, and given that comparisons with other crops are not strictly fair, this first assessment on eWUE in almond trees paves the way for a deeper analysis and assessment of these results, with future research for improved irrigation management practices in almond orchards.
In this context, we address how seasonal (weather), interannual (tree age) and management (tree density) variability can affect almond eWUE (Figure 3, Figure 4B and Figure 5E,F). Higher values of eWUE were observed in Tarazona (2020–2022) compared to Las Tiesas (2017–2019). Again, this is likely related to the higher assimilation capacity due to higher tree density and canopy cover (note higher NDVI) under similar seasonal climatic conditions. Across the growing season, the largest values of eWUE were observed in spring (April–May) and autumn (October, see Figure 3 and Figure 5E,F). In those months, both temperature and evaporative conditions were less demanding compared to summer months (June–August, Figure 2). These higher eWUE values in less demanding months compared to those in summer can be explained by evapotranspiration processes [41,82,102]. In this sense, it is worth noting that ET encompasses both water loss through plant transpiration and water evaporation from the soil and plant surfaces. Higher eWUE values mean that plants are achieving a greater ratio between biomass gain and evapotranspiration. However, this productivity based on WUE is relative but not absolute in terms of carbon fixation or productivity. As our results show, greater GPP and lower eWUE values were found in June and July compared with April or October (Figure 3 and Figure 5). Thus, higher eWUE does not mean higher carbon capture, biomass production or yield, as previously reported [103].
Therefore, eWUE emerges as a valuable metric for evaluating the relationship between GPP and ET. However, this relationship is not necessarily linear and is highly dependent on the ET range considered, as will be further discussed in the following sections.

3.4. Correlations among GPP and eWUE with NDVI

NDVI is an easily accessible vegetation index that typically has significant correlations with GPP [23,47,91,104]. In this study, we found a positive and linear relationship (R2 = 0.48) between GPP and NDVI (Figure 7A). This correlation depends on several factors. For grassland, Zhao et al. [104] found an R2 from 0.53 to 0.78 depending on the type and spatial distribution. Liu et al. [105] reported an R2 from 0.2 to 0.4 between NDVI obtained by MODIS and GPP depending on the phenological stage of a temperate deciduous forest. In this sense, NDVI has certain limitations in faithfully representing the evolution and performance of GPP. Environmental factors that cause short-term changes in GPP, such as those reported above, are not always captured by NDVI [104,106]. In addition, NDVI time series are somewhat limited and must be filtered on days where clouds are present, which also interferes in that NDVI with GPP correlation [91]. Moreover, it is commonly known that NDVI lacks accuracy in areas with low vegetation while it saturates at a certain level of vegetation cover [107], such that the maximum GPP peaks are not always captured by NDVI [105]. Finally, it should also be considered that the GPP calculated by EC works on a different spatial scale than the NDVI obtained by satellite, while the processing of EC data by gap filling also introduces uncertainties that are not determined by NDVI [91].
All of the above means that, although the NDVI can be an operational and easy-to-obtain index to monitor and estimate GPP, it requires additional data, mainly including environmental factors, to capture the variability in the evolution of the GPP, which is insufficient on its own. To address these environmental factors, we multiplied the average NDVI by the ET, finding an improved and notable correlation with GPP (R2 = 0.78, Figure 7C). ET has been shown to be a good predictor of plant water use responses to environmental factors [42] and is effective for assessing seasonal GPP responses [82]. Plant evapotranspiration encompasses both plant transpiration and soil water evaporation. These factors are, furthermore, driven by plant physiological performance (plant water use and photosynthesis by stomata) and environmental changes (soil water availability and evaporative demands). Hence, the combination of NDVI, related to photosynthesis potential, with ET reflecting actual plant performance and short-term environmental responses, can improve the estimation of GPP.
A weaker (R2 = 0.39) albeit positive and linear correlation was also obtained between eWUE and NDVI. Since the ecosystem WUE is calculated as the ratio GPP/ET, its prediction is affected by the same limitations previously mentioned for GPP. Additionally, since eWUE is calculated as GPP/ET, the combined predictor NDVI × ET as a factor to derive eWUE lacks dependability. Nevertheless, we explored this correlation, revealing a poor R2 = 0.27. As mentioned, water use efficiency greatly depends on a number of environmental factors, especially those related to temperature and evaporative demand [47,82]. Thus, to unravel eWUE responses, it is important to address other factors besides photosynthesis potential (i.e., NDVI) or consumptive water use/availability (i.e., ET). Hence, a model addressing several environmental factors was explored in this work, which is further discussed in the following sections.

3.5. GPP, NEE and eWUE Responses across ET Mean Gradients

ET is a pivotal factor that can have a great impact on GPP, NEE and eWUE. To diminish the dispersion of our data, we depicted GPP, NEE and eWUE average values in relation to seven ranges of ET, from 0 to above 6 mm d−1 (Figure 8). In Figure 8, it can be observed that the response of GPP to ET differed depending on the ET range. The higher the ET, the larger the GPP under a certain threshold (ET ca. 4–5 mm d−1). Around that point, GPP reached maximum values. Additionally, above that ET of ca. 4–5 mm d−1, both NEE and eWUE tended to stabilize, failing to present statistical differences (see post hoc letters in NEE and eWUE in Figure 8). Particularly in agro-ecosystems, the increase in carbon assimilation in response to water availability and transpiration rates is maintained until a certain point. From that point, the photosynthesis response to transpiration saturates due to non-stomatal limitations [108]. Hence, beyond that point, carbon assimilation and biomass production depend on other factors besides the sole water availability. In this sense, short-term environmental conditions [82,109], physiological performance due to inherent phenological responses [110,111] and biotic stresses [112] can lead to non-stomatal limitations, playing a key role in net CO2 assimilation and, hence, in GPP, NEE and eWUE performance. This effect, where net carbon assimilation, biomass and yield gain do not increase from a certain threshold of water use, has been previously reported in other studies. For example, [113] observed that the net carbon assimilation tended to stabilize from a certain threshold stomatal conductance. This scaled-up effect was reported by [98], who reported that almond yield failed to improve above a certain threshold of irrigation volume.

3.6. Ecosystem Water Use Efficiency Model Development

The Pearson correlation coefficient between variables for the complete dataset (Table 3) has been used to understand the correlation between NDVI, eWUE and meteorological variables (VPD, P, ETo and Tair). Subsequently, linear models were fitted and assessed using the AIC to gauge their quality in terms of fit and complexity with the calibration dataset. The findings using 75% of the dataset revealed that the model featuring the combination of variables NDVI, ETo, and Tair (Equation (1)) displayed the lowest AIC value (−2.4), making it the model striking the optimal balance between data explanation capacity and model simplicity. Furthermore, determination coefficients (R2 and R2 adj) were calculated for each model, with the selected model reaching an R2 of 0.88 and R2 adj of 0.86 (Table 4). The coefficients estimated for each variable in the chosen model provide insights into the relationship and magnitude of influence of each predictor on the eWUE variable. It is worth highlighting that, due to the limited sample size, these outcomes should be interpreted with caution and may require further validation with larger datasets to extract firm conclusions.
e W U E = 2.709 + 2.202 · N D V I + 0.005 · E T o 0.134 · T a i r
The AIC is a criterion that aims to strike a balance between the model’s fit to the data and its complexity. In other words, the AIC penalizes more complex models to avoid overfitting. A model that fits the data well but is overly complex might have a higher AIC than a simpler model with a slightly worse fit. The absolute value of AIC alone is not very informative; its usefulness lies in comparing AIC between different models. On the other hand, R2 measures the proportion of variability in the dependent variable that is explained by the model. However, R2 does not penalize the complexity of the model, meaning that a more complex model could have a higher R2 simply because it is “overfitting” the data.
As mentioned above, the remaining 25% of the dataset was reserved for a preliminary validation of this approach. Figure 9 shows the linear regression between WUE values modeled through Equation (1) and estimated WUE values from the EC tower observations. A regression coefficient of 0.83 and an RMSE value of 0.38 g C Kg−1 H2O were obtained. The results indicate an overestimation of eWUE; however, it is important to note that the values are monthly, and the variables considered exhibit a common variability within each month. It is worth noting that these validation results are representative for the location and specific conditions of the present study. In the absence of climate and human-induced changes, the interannual factors influencing eWUE remain constant [114]. However, several studies have observed that eWUE exhibits interannual and spatial variability due to various environmental conditions [46,115]. It is additionally important to consider climate change projections, as they can also have an impact on the eWUE parametrization [34].
The real potential of this parametrization of eWUE is that Equation (1) can be used for the operational spatio-temporal estimation of GPP in almond orchards from remote sensing ET information. This allows distributed maps of GPP over large areas to be generated and, hence, monitored for agro-environmental purposes.

4. Conclusions and Recommendations

This novel study highlights the significant potential for carbon sequestration by almond trees during their vegetative cycle and underlines the factors influencing this crop under climate change conditions in semi-arid regions. Our results indicate that the almond trees captured more CO2 than they released during the vegetative phase. However, seasonal and interannual differences were found, mainly related to tree age, planting frame and meteorological conditions. Our analysis at the monthly scale reveals a non-linear relationship between GPP and eWUE, influenced by evapotranspiration (ET) ranges. Despite some data gaps, this initial analysis of GPP and NEE in almond orchards offers a valuable first step in evaluating the crop’s carbon capture potential. The limited availability of comprehensive datasets on GPP and eWUE in almond orchards makes it complex to establish standardized benchmarks or definitive conclusions. To bridge this gap and improve our understanding of almond cultivation and management, further targeted research and data sharing within the scientific community are essential.
As one of the first investigations into the carbon sequestration of almonds, this research advances operational tools applicable to wider areas. The calibrated method for estimating eWUE using NDVI and meteorological variables (ETo and air temperature) performed with a promising regression coefficient of 0.83. However, the results also indicate that this method overestimates eWUE. Although further efforts are required to expand the analysis to additional locations and expand the dataset, our findings show promising opportunities for large-scale environmental monitoring of eWUE, GPP, and Net Ecosystem Exchange (NEE) through remote sensing.
In summary, this research provides new insights into carbon fixation and capture in almond trees, suggesting opportunities for optimizing water use efficiency and carbon capture, although further research and data analysis are needed for robust validation across various environments.

Supplementary Materials

The following supporting information can be downloaded at https://www.mdpi.com/article/10.3390/agriculture14091589/s1: Table S1: Daily mean air temperature (Tair), vapor pressure deficit (VPD), maximum vapor pressure deficit (VPD), radiation and monthly sum of reference evapotranspiration (ETo) calculated with the Pennman Monteith methodology and precipitation. Data were collected from SIAR La Gineta (URL: https://eportal.mapa.gob.es/websiar/SeleccionParametrosMap.aspx?dst=1 (accessed on 21 November 2023).

Author Contributions

Conceptualization, J.G.-P., J.M.S., C.G.-L., Á.S.-V. and R.L.-U.; methodology, J.G.-P., J.M.S., C.G.-L. and Á.S.-V.; formal analysis, C.G.-L. and Á.S.-V.; investigation, J.G.-P. and J.M.S.; resources, R.L.-U., J.M.S., J.G.-P. and C.D.; data curation, C.G.-L., Á.S.-V. and C.D.; writing—original draft preparation, C.G.-L. and Á.S.-V.; writing—review and editing, C.G.-L., Á.S.-V., J.G.-P., J.M.S. and R.L.-U.; supervision, J.G.-P., J.M.S. and R.L.-U. All authors have read and agreed to the published version of the manuscript.

Funding

This work was funded by Spanish Ministry of Science, Innovation and Universities, MICIU/AEI/10.13039/501100011033 (WATERSNUTS project, TED2021-130405B-I00) and the Education, Culture and Sports Council, JCCM, Spain (projects ANIATEL, SBPLY/17/180501/000357 and PISATEL, SBPLY/21/180501/000070), together with FEDER and Next Generation EU/PRTR funds and a Post-Doctoral contract funded by JCCM and FSE+ (SBPLY/22/180502/000064). Support from REXUS (ref. 101003632) funded by the H2020 European commission program is also appreciated.

Institutional Review Board Statement

Not applicable.

Data Availability Statement

The raw data supporting the conclusions of this article will be made available by the authors upon request.

Acknowledgments

The authors are grateful for the support of R. López-Urrea (former affiliation: Instituto Técnico Agronómico Provincial, Albacete, Spain) during this study.

Conflicts of Interest

The authors declare no conflicts of interest.

References

  1. Core Writing Team; Lee, H.; Romero, J. IPCC, 2023: Sections. In Climate Change 2023: Synthesis Report. Contribution of Working Groups I, II and III to the Sixth Assessment Report of the Intergovernmental Panel on Climate Change; IPCC: Geneva, Switzerland, 2023; pp. 35–115. [Google Scholar] [CrossRef]
  2. World Meteorological Organization WMO. Unit in Science 2023. Sustainable Development Edition. A Multi-Organization High-Level Compilation of the Latest Weather-Climate and Water-Related Sciences and Services for Sustainable Development. 2023. Available online: https://library.wmo.int/idurl/4/68235 (accessed on 20 November 2023).
  3. Cardell, M.F.; Amengual, A.; Romero, R.; Ramis, C. Future Extremes of Temperature and Precipitation in Europe Derived from a Combination of Dynamical and Statistical Approaches. Int. J. Climatol. 2020, 40, 4800–4827. [Google Scholar] [CrossRef]
  4. Lehner, B.; Döll, P.; Alcamo, J.; Henrichs, T.; Kaspar, F. Estimating the Impact of Global Change on Flood and Drought Risks in Europe: A Continental, Integrated Analysis. Clim. Change 2006, 75, 273–299. [Google Scholar] [CrossRef]
  5. Fritsche, U.; Brunori, G.; Chiaramonti, D.; Galanakis, C.; Hellweg, S.; Matthews, R.; Panoutsou, C.; European Commission; Joint Research Centre. Future Transitions for the Bioeconomy towards Sustainable Development and a Climate-Neutral Economy: Knowledge Synthesis: Final Report; Publications Office of the European Union: Luxembourg, 2020; ISBN 9789276215189. [Google Scholar]
  6. Sainju, U.M.; Stevens, W.B.; Caesar-TonThat, T.; Liebig, M.A.; Wang, J. Net Global Warming Potential and Greenhouse Gas Intensity Influenced by Irrigation, Tillage, Crop Rotation, and Nitrogen Fertilization. J. Environ. Qual. 2014, 43, 777–788. [Google Scholar] [CrossRef] [PubMed]
  7. González-Sánchez, E.J.; Ordóñez-Fernández, R.; Carbonell-Bojollo, R.; Veroz-González, O.; Gil-Ribes, J.A. Meta-Analysis on Atmospheric Carbon Capture in Spain through the Use of Conservation Agriculture. Soil Tillage Res. 2012, 122, 52–60. [Google Scholar] [CrossRef]
  8. IPCC Climate Change. Mitigation of Climate Change. Contribution of Working Group III to the Fifth Assessment Report of the Intergovernmental Panel on Climate Change; Edenhofer, O.R., Pichs-Madruga, Y., Sokona, E., Farahani, S., Kadner, K., Seyboth, A., Adler, I., Baum, S., Brunner, P., et al., Eds.; Cambridge University Press: Cambridge, UK, 2014. [Google Scholar]
  9. United Nations. Acuerdo de París Naciones Unidas; United Nations: Paris, France, 2015; p. 29. [Google Scholar]
  10. Smith, P.; Soussana, J.F.; Angers, D.; Schipper, L.; Chenu, C.; Rasse, D.P.; Batjes, N.H.; van Egmond, F.; McNeill, S.; Kuhnert, M.; et al. How to Measure, Report and Verify Soil Carbon Change to Realize the Potential of Soil Carbon Sequestration for Atmospheric Greenhouse Gas Removal. Glob. Change Biol. 2020, 26, 219–241. [Google Scholar] [CrossRef]
  11. Paustian, K.; Larson, E.; Kent, J.; Marx, E.; Swan, A. Soil C Sequestration as a Biological Negative Emission Strategy. Front. Clim. 2019, 1, 8. [Google Scholar] [CrossRef]
  12. Reichstein, M.; Bahn, M.; Ciais, P.; Frank, D.; Mahecha, M.D.; Seneviratne, S.I.; Zscheischler, J.; Beer, C.; Buchmann, N.; Frank, D.C.; et al. Climate Extremes and the Carbon Cycle. Nature 2013, 500, 287–295. [Google Scholar] [CrossRef]
  13. Baldocchi, D.; Penuelas, J. The Physics and Ecology of Mining Carbon Dioxide from the Atmosphere by Ecosystems. Glob. Change Biol. 2019, 25, 1191–1197. [Google Scholar] [CrossRef]
  14. Gouch, C.M. Terrestrial Primary Production: Fuel for Life. Nat. Educ. Knowl. 2011, 3, 28. [Google Scholar]
  15. Anderson-Teixeira, K.J.; Herrmann, V.; Morgan, R.B.; Bond-Lamberty, B.; Cook-Patton, S.C.; Ferson, A.E.; Muller-Landau, H.C.; Wang, M.M.H. Carbon Cycling in Mature and Regrowth Forests Globally. Environ. Res. Lett. 2021, 16, 053009. [Google Scholar] [CrossRef]
  16. Guerrieri, R.; Lepine, L.; Asbjornsen, H.; Xiao, J.; Ollinger, S.V. Evapotranspiration and Water Use Efficiency in Relation to Climate and Canopy Nitrogen in U.S. Forests. J. Geophys. Res. Biogeosci. 2016, 121, 2610–2629. [Google Scholar] [CrossRef]
  17. Chamizo, S.; Serrano-Ortiz, P.; López-Ballesteros, A.; Sánchez-Cañete, E.P.; Vicente-Vicente, J.L.; Kowalski, A.S. Net Ecosystem CO2 Exchange in an Irrigated Olive Orchard of SE Spain: Influence of Weed Cover. Agric. Ecosyst. Environ. 2017, 239, 51–64. [Google Scholar] [CrossRef]
  18. Nardino, M.; Pernice, F.; Rossi, F.; Georgiadis, T.; Facini, O.; Motisi, A.; Drago, A. Annual and Monthly Carbon Balance in an Intensively Managed Mediterranean Olive Orchard. Photosynthetica 2013, 51, 63–74. [Google Scholar] [CrossRef]
  19. Brilli, L.; Gioli, B.; Toscano, P.; Moriondo, M.; Zaldei, A.; Cantini, C.; Ferrise, R.; Bindi, M. Rainfall Regimes Control C-Exchange of Mediterranean Olive Orchard. Agric. Ecosyst. Environ. 2016, 233, 147–157. [Google Scholar] [CrossRef]
  20. Aranda-Barranco, S.; Serrano-Ortiz, P.; Kowalski, A.S.; Sánchez-Cañete, E.P. The Temporary Effect of Weed-Cover Maintenance on Transpiration and Carbon Assimilation of Olive Trees. Agric. For. Meteorol. 2023, 329, 109266. [Google Scholar] [CrossRef]
  21. Testi, L.; Orgaz, F.; Villalobos, F. Carbon Exchange and Water Use Efficiency of a Growing, Irrigated Olive Orchard. Environ. Exp. Bot. 2008, 63, 168–177. [Google Scholar] [CrossRef]
  22. Liguori, G.; Gugliuzza, G.; Inglese, P. Evaluating Carbon Fluxes in Orange Orchards in Relation to Planting Density. J. Agric. Sci. 2009, 147, 637–645. [Google Scholar] [CrossRef]
  23. Peddinti, S.R.; Kambhammettu, B.V.N.P.; Rodda, S.R.; Thumaty, K.C.; Suradhaniwar, S. Dynamics of Ecosystem Water Use Efficiency in Citrus Orchards of Central India Using Eddy Covariance and Landsat Measurements. Ecosystems 2020, 23, 511–528. [Google Scholar] [CrossRef]
  24. Zanotelli, D.; Montagnani, L.; Manca, G.; Tagliavini, M. Net Primary Productivity, Allocation Pattern and Carbon Use Efficiency in an Apple Orchard Assessed by Integrating Eddy Covariance, Biometric and Continuous Soil Chamber Measurements. Biogeosciences 2013, 10, 3089–3108. [Google Scholar] [CrossRef]
  25. Zanotelli, D.; Montagnani, L.; Andreotti, C.; Tagliavini, M. Water and Carbon Fluxes in an Apple Orchard during Heat Waves. Eur. J. Agron. 2022, 134, 126460. [Google Scholar] [CrossRef]
  26. Freitas, T.R.; Santos, J.A.; Silva, A.P.; Fraga, H. Reviewing the Adverse Climate Change Impacts and Adaptation Measures on Almond Trees (Prunus dulcis). Agriculture 2023, 13, 1423. [Google Scholar] [CrossRef]
  27. Food and Agriculture Organization of the United Nations. FAOSTAT 2022 Production Statistics. Available online: https://www.fao.org/faostat/es/#data/QCL (accessed on 5 March 2024).
  28. MAPA Anuario de Estadística. 2021. Available online: https://www.mapa.gob.es/es/estadistica/temas/publicaciones/anuario-de-estadistica/default.aspx. (accessed on 5 March 2024).
  29. Garrido-Rubio, J.; Sanz, D.; González-Piqueras, J.; Calera, A. Application of a Remote Sensing-Based Soil Water Balance for the Accounting of Groundwater Abstractions in Large Irrigation Areas. Irrig. Sci. 2019, 37, 709–724. [Google Scholar] [CrossRef]
  30. Garrido-Rubio, J.; González-Piqueras, J.; Campos, I.; Osann, A.; González-Gómez, L.; Calera, A. Remote Sensing–Based Soil Water Balance for Irrigation Water Accounting at Plot and Water User Association Management Scale. Agric. Water Manag. 2020, 238, 106236. [Google Scholar] [CrossRef]
  31. Keenan, T.F.; Hollinger, D.Y.; Bohrer, G.; Dragoni, D.; Munger, J.W.; Schmid, H.P.; Richardson, A.D. Increase in Forest Water-Use Efficiency as Atmospheric Carbon Dioxide Concentrations Rise. Nature 2013, 499, 324–327. [Google Scholar] [CrossRef] [PubMed]
  32. Liu, Y.; Song, W. Modelling Crop Yield, Water Consumption, and Water Use Efficiency for Sustainable Agroecosystem Management. J. Clean. Prod. 2020, 253, 119940. [Google Scholar] [CrossRef]
  33. Cai, W.; Ullah, S.; Yan, L.; Lin, Y. Remote Sensing of Ecosystem Water Use Efficiency: A Review of Direct and Indirect Estimation Methods. Remote Sens. 2021, 13, 2393. [Google Scholar] [CrossRef]
  34. Hatfield, J.L.; Dold, C. Water-Use Efficiency: Advances and Challenges in a Changing Climate. Front. Plant Sci. 2019, 10, 103. [Google Scholar] [CrossRef]
  35. Wang, T.; Sun, S.; Yin, Y.; Zhao, J.; Tang, Y.; Wang, Y.; Gao, F.; Luan, X. Status of Crop Water Use Efficiency Evaluation Methods: A Review. Agric. For. Meteorol. 2024, 349, 109961. [Google Scholar] [CrossRef]
  36. Álvarez, S.; Núñez, L.; Martín, H.; Barajas, E.; Mirás-Avalos, J.M. Differences in Growth and Water Use Efficiency in Four Almond Varieties Grafted onto Rootpac-20. Horticulturae 2023, 9, 295. [Google Scholar] [CrossRef]
  37. Fernandes de Oliveira, A.; Mameli, M.G.; De Pau, L.; Satta, D. Almond Tree Adaptation to Water Stress: Differences in Physiological Performance and Yield Responses among Four Cultivar Grown in Mediterranean Environment. Plants 2023, 12, 1131. [Google Scholar] [CrossRef]
  38. Ranjbar, A.; Imani, A.; Piri, S.; Abdoosi, V. Drought Effects on Photosynthetic Parameters, Gas Exchanges and Water Use Efficiency in Almond Cultivars on Different Rootstocks. Plant Physiol. Rep. 2021, 26, 95–108. [Google Scholar] [CrossRef]
  39. Espadafor, M.; Orgaz, F.; Testi, L.; Lorite, I.J.; González-Dugo, V.; Fereres, E. Responses of Transpiration and Transpiration Efficiency of Almond Trees to Moderate Water Deficits. Sci. Hortic. 2017, 225, 6–14. [Google Scholar] [CrossRef]
  40. López-López, M.; Espadador, M.; Testi, L.; Lorite, I.J.; Orgaz, F.; Fereres, E. Water Use of Irrigated Almond Trees When Subjected to Water Deficits. Agric. Water Manag. 2018, 195, 84–93. [Google Scholar] [CrossRef]
  41. Drechsler, K.; Fulton, A.; Kisekka, I. Crop Coefficients and Water Use of Young Almond Orchards. Irrig. Sci. 2022, 40, 379–395. [Google Scholar] [CrossRef]
  42. Stevens, R.M.; Ewenz, C.M.; Grigson, G.; Conner, S.M. Water Use by an Irrigated Almond Orchard. Irrig. Sci. 2012, 30, 189–200. [Google Scholar] [CrossRef]
  43. Sánchez, J.; Simón, L.; González-Piqueras, J.; Montoya, F.; López-Urrea, R. Monitoring Crop Evapotranspiration and Transpiration/Evaporation Partitioning in a Drip-Irrigated Young Almond Orchard Applying a Two-Source Surface Energy Balance Model. Water 2021, 13, 2073. [Google Scholar] [CrossRef]
  44. Gu, C.; Tang, Q.; Zhu, G.; Ma, J.; Gu, C.; Zhang, K.; Sun, S.; Yu, Q.; Niu, S. Discrepant Responses between Evapotranspiration- and Transpiration-Based Ecosystem Water Use Efficiency to Interannual Precipitation Fluctuations. Agric. For. Meteorol. 2021, 303, 108385. [Google Scholar] [CrossRef]
  45. Yang, S.; Zhang, J.; Zhang, S.; Wang, J.; Bai, Y.; Yao, F.; Guo, H. The Potential of Remote Sensing-Based Models on Global Water-Use Efficiency Estimation: An Evaluation and Intercomparison of an Ecosystem Model (BESS) and Algorithm (MODIS) Using Site Level and Upscaled Eddy Covariance Data. Agric. For. Meteorol. 2020, 287, 107959. [Google Scholar] [CrossRef]
  46. Xu, X.; Liu, J.; Jiao, F.; Zhang, K.; Yang, Y.; Qiu, J.; Zhu, Y.; Lin, N.; Zou, C. Spatial Variations and Mechanisms for the Stability of Water Use Efficiency in China. Front. Plant Sci. 2023, 14, 1254395. [Google Scholar] [CrossRef]
  47. Elfarkh, J.; Johansen, K.; El Hajj, M.M.; Almashharawi, S.K.; McCabe, M.F. Evapotranspiration, Gross Primary Productivity and Water Use Efficiency over a High-Density Olive Orchard Using Ground and Satellite Based Data. Agric. Water Manag. 2023, 287, 108423. [Google Scholar] [CrossRef]
  48. Baldocchi, D.D. Assessing the Eddy Covariance Technique for Evaluating the Carbon Balance of Ecosystems. Glob. Change Biol. 2003, 9, 1–41. [Google Scholar]
  49. Wang, H.; Jia, G.; Zhang, A.; Miao, C. Assessment of Spatial Representativeness of Eddy Covariance Flux Data from Flux Tower to Regional Grid. Remote Sens. 2016, 8, 742. [Google Scholar] [CrossRef]
  50. Jocher, G.; Fischer, M.; Šigut, L.; Pavelka, M.; Sedlák, P.; Katul, G. Assessing Decoupling of above and below Canopy Air Masses at a Norway Spruce Stand in Complex Terrain. Agric. For. Meteorol. 2020, 294, 108149. [Google Scholar] [CrossRef]
  51. Thomas, C.K.; Martin, J.G.; Law, B.E.; Davis, K. Toward Biologically Meaningful Net Carbon Exchange Estimates for Tall, Dense Canopies: Multi-Level Eddy Covariance Observations and Canopy Coupling Regimes in a Mature Douglas-Fir Forest in Oregon. Agric. For. Meteorol. 2013, 173, 14–27. [Google Scholar] [CrossRef]
  52. Allen, R.G.; Morton, C.; Kamble, B.; Kilic, A.; Huntington, J.; Thau, D.; Gorelick, N.; Erickson, T.; Moore, R.; Trezza, R.; et al. EEFlux: A Landsat-Based Evapotranspiration Mapping Tool on the Google Earth Engine. In Proceedings of the ASABE/IA Irrigation Symposium: Emerging Technologies for Sustainable Irrigation—A Tribute to the Career of Terry Howell, Sr. Conference Proceedings, Long Beach, CA, USA, 10–12 November 2015; pp. 1–11. [Google Scholar]
  53. OPENET Application. Available online: https://etdata.org/ (accessed on 3 September 2024).
  54. Garrido-Rubio, J.; Calera, A.; Arellano, I.; Belmonte, M.; Fraile, L.; Ortega, T.; Bravo, R.; González-Piqueras, J. Evaluation of Remote Sensing-Based Irrigation Water Accounting at River Basin District Management Scale. Remote Sens. 2020, 12, 3187. [Google Scholar] [CrossRef]
  55. Montgomery, J.; Hornbuckle, J.; Hume, I.; Vleeshouwer, J. IrriSAT—Weather Based Scheduling and Benchmarking Technology. In Proceedings of the 17th Australian Agronomy Conference, Hobart, Australia, 21–24 September 2015; pp. 1–4. [Google Scholar]
  56. Bai, Y.; Zhang, J.; Zhang, S.; Yao, F.; Magliulo, V. A Remote Sensing-Based Two-Leaf Canopy Conductance Model: Global Optimization and Applications in Modeling Gross Primary Productivity and Evapotranspiration of Crops. Remote Sens. Environ. 2018, 215, 411–437. [Google Scholar] [CrossRef]
  57. Li, L.; Wang, Y.; Arora, V.K.; Eamus, D.; Shi, H.; Li, J.; Cheng, L.; Cleverly, J.; Hajima, T.; Ji, D.; et al. Evaluating Global Land Surface Models in CMIP5: Analysis of Ecosystem Water- and Light-Use Efficiencies and Rainfall Partitioning. J. Clim. 2018, 31, 2995–3008. [Google Scholar] [CrossRef]
  58. Ito, A.; Inatomi, M. Water-Use Efficiency of the Terrestrial Biosphere: A Model Analysis Focusing on Interactions between the Global Carbon and Water Cycles. J. Hydrometeorol. 2012, 13, 681–694. [Google Scholar] [CrossRef]
  59. Wang, G.; Li, X.; Zhao, K.; Li, Y.; Sun, X. Quantifying the Spatio-Temporal Variations and Impacts of Factors on Vegetation Water Use Efficiency Using STL Decomposition and Geodetector Method. Remote Sens. 2022, 14, 5926. [Google Scholar] [CrossRef]
  60. Costa, G.B.; Santos e Silva, C.M.; Mendes, K.R.; Dos Santos, J.G.M.; Neves, T.T.A.T.; Silva, A.S.; Rodrigues, T.R.; Silva, J.B.; Dalmagro, H.J.; Mutti, P.R.; et al. WUE and CO2 Estimations by Eddy Covariance and Remote Sensing in Different Tropical Biomes. Remote Sens. 2022, 14, 3241. [Google Scholar] [CrossRef]
  61. SIAR. Available online: https://servicio.mapa.gob.es/websiar/SeleccionParametrosMap.aspx?dst=1 (accessed on 21 November 2023).
  62. Schmidt, M.; Reichenau, T.G.; Fiener, P.; Schneider, K. The Carbon Budget of a Winter Wheat Field: An Eddy Covariance Analysis of Seasonal and Inter-Annual Variability. Agric. For. Meteorol. 2012, 165, 114–126. [Google Scholar] [CrossRef]
  63. Richardson, A.D.; Hollinger, D.Y. A Method to Estimate the Additional Uncertainty in Gap-Filled NEE Resulting from Long Gaps in the CO2 Flux Record. Agric. For. Meteorol. 2007, 147, 199–208. [Google Scholar] [CrossRef]
  64. Wutzler, T.; Lucas-Moffat, A.; Migliavacca, M.; Knauer, J.; Sickel, K.; Šigut, L.; Menzer, O.; Reichstein, M. Basic and Extensible Post-Processing of Eddy Covariance Flux Data with REddyProc. Biogeosciences 2018, 15, 5015–5030. [Google Scholar] [CrossRef]
  65. Papale, D.; Reichstein, M.; Aubinet, M.; Canfora, E.; Bernhofer, C.; Kutsch, W.; Longdoz, B.; Rambal, S.; Valentini, R.; Vesala, T.; et al. Towards a Standardized Processing of Net Ecosystem Exchange Measured with Eddy Covariance Technique: Algorithms and Uncertainty Estimation. Biogeosciences 2006, 3, 571–583. [Google Scholar]
  66. Lasslop, G.; Reichstein, M.; Papale, D.; Richardson, A.; Arneth, A.; Barr, A.; Stoy, P.; Wohlfahrt, G. Separation of Net Ecosystem Exchange into Assimilation and Respiration Using a Light Response Curve Approach: Critical Issues and Global Evaluation. Glob. Change Biol. 2010, 16, 187–208. [Google Scholar] [CrossRef]
  67. Biogeochemistry, Max Planck Institute for Biogeochemistry. REddyProcWeb Online Tool. Available online: https://www.bgc-jena.mpg.de/5622399/REddyProc. (accessed on 10 June 2023).
  68. Zeeman, M.J.; Hiller, R.; Gilgen, A.K.; Michna, P.; Plüss, P.; Buchmann, N.; Eugster, W. Management and Climate Impacts on Net CO2 Fluxes and Carbon Budgets of Three Grasslands along an Elevational Gradient in Switzerland. Agric. For. Meteorol. 2010, 150, 519–530. [Google Scholar] [CrossRef]
  69. Rajan, N.; Maas, S.J.; Cui, S. Extreme Drought Effects on Carbon Dynamics of a Semiarid Pasture. Agron. J. 2013, 105, 1749–1760. [Google Scholar] [CrossRef]
  70. Li, Z.; Chen, C.; Nevins, A.; Pirtle, T.; Cui, S. Assessing and Modeling Ecosystem Carbon Exchange and Water Vapor Flux of a Pasture Ecosystem in the Temperate Climate-Transition Zone. Agronomy 2021, 11, 2071. [Google Scholar] [CrossRef]
  71. Rouse, J.W.; Haas, R.H.; Scheel, J.A.; Deering, D.W. Monitoring Vegetation Systems in the Great Plains with ERTS. In Proceedings of the 3rd Earth Resource Technology Satellite (ERTS) Goddard Space Flight Center 3d ERTS-1 Symp, Washington, DC, USA, 10–14 December 1974; pp. 309–317. [Google Scholar]
  72. Pôças, I.; Calera, A.; Campos, I.; Cunha, M. Remote Sensing for Estimating and Mapping Single and Basal Crop Coefficientes: A Review on Spectral Vegetation Indices Approaches. Agric. Water Manag. 2020, 233, 106081. [Google Scholar] [CrossRef]
  73. SpiderWebGis. Available online: www.spiderwebgis.org (accessed on 16 October 2023).
  74. Akaike, H. A New Look at the Statistical Model Identification. IEEE Trans. Automat. Contr. 1974, 19, 716–723. [Google Scholar] [CrossRef]
  75. Rey-Sánchez, A.C.; Bohrer, G.; Morin, T.H.; Shlomo, D.; Mirfenderesgi, G.; Gildor, H.; Genin, A. Evaporation and CO2 Fluxes in a Coastal Reef: An Eddy Covariance Approach. Ecosyst. Health Sustain. 2017, 3, 1392830. [Google Scholar] [CrossRef]
  76. Richardson, A.D.; Braswell, B.H.; Hollinger, D.Y.; Burman, P.; Davidson, E.A.; Evans, R.S.; Flanagan, L.B.; Munger, J.W.; Savage, K.; Urbanski, S.P.; et al. Comparing Simple Respiration Models for Eddy Flux and Dynamic Chamber Data. Agric. For. Meteorol. 2006, 141, 219–234. [Google Scholar] [CrossRef]
  77. Willmott, C.J. Some Comments on the Evaluation of Model Performance. Bull.—Am. Meteorol. Soc. 1982, 63, 1309–1313. [Google Scholar] [CrossRef]
  78. Freitas, T.R.; Santos, J.A.; Silva, A.P.; Fonseca, A.; Fraga, H. Evaluation of Historical and Future Thermal Conditions for Almond Trees in North-Eastern Portugal. Clim. Change 2023, 176, 89. [Google Scholar] [CrossRef]
  79. Guillamón, J.G.; Egea, J.; Mañas, F.; Egea, J.A.; Dicenta, F. Risk of Extreme Early Frosts in Almond. Horticulturae 2022, 8, 687. [Google Scholar] [CrossRef]
  80. Naseri, S.; Gholami, M.; Baninasab, B. Chilling and Heat Requirements in the Flower and Vegetative Buds of Some Local Almond Cultivars. Theor. Appl. Climatol. 2023, 154, 337–347. [Google Scholar] [CrossRef]
  81. Miranda, C.; Santesteban, L.G.; Royo, J.B. Variability in the Relationship between Frost Temperature and Injury Level for Some Cultivated Prunus Species. HortScience 2005, 40, 357–361. [Google Scholar] [CrossRef]
  82. Mi, N.; Wen, X.F.; Cai, F.; Zhang, Y.S.; Wang, H.M. Influence of Seasonal Drought on Ecosystem Water Use Efficiency in a Subtropical Evergreen Coniferous Plantation. Appl. Ecol. Environ. Res. 2016, 14, 33–50. [Google Scholar] [CrossRef]
  83. Zhang, Y.; Xiao, X.; Zhou, S.; Ciais, P.; McCarthy, H.; Luo, Y. Canopy and Physiological Controls of GPP during Drought and Heat Wave. Geophys. Res. Lett. 2016, 43, 3325–3333. [Google Scholar] [CrossRef]
  84. Mendes, K.R.; Campos, S.; da Silva, L.L.; Mutti, P.R.; Ferreira, R.R.; Medeiros, S.S.; Perez-Marin, A.M.; Marques, T.V.; Ramos, T.M.; de Lima Vieira, M.M.; et al. Seasonal Variation in Net Ecosystem CO2 Exchange of a Brazilian Seasonally Dry Tropical Forest. Sci. Rep. 2020, 10, 9454. [Google Scholar] [CrossRef]
  85. Liu, X.; Chen, X.; Li, R.; Long, F.; Zhang, L.; Zhang, Q.; Li, J. Water-Use Efficiency of an Old-Growth Forest in Lower Subtropical China. Sci. Rep. 2017, 7, 42761. [Google Scholar] [CrossRef]
  86. Ge, Z.M.; Kellomäki, S.; Zhou, X.; Peltola, H. The Role of Climatic Variability in Controlling Carbon and Water Budgets in a Boreal Scots Pine Forest during Ten Growing Seasons. Boreal Environ. Res. 2014, 19, 181–194. [Google Scholar]
  87. Liao, Z.; Zhou, B.; Zhu, J.; Jia, H.; Fei, X. A Critical Review of Methods, Principles and Progress for Estimating the Gross Primary Productivity of Terrestrial Ecosystems. Front. Environ. Sci. 2023, 11, 1093095. [Google Scholar] [CrossRef]
  88. Gao, D.; Yao, J.; Yu, S.; Ma, Y.; Li, L.; Gao, Z. Eddy Covariance CO2 Flux Gap Filling for Long Data Gaps: A Novel Framework Based on Machine Learning and Time Series Decomposition. Remote Sens. 2023, 15, 2695. [Google Scholar] [CrossRef]
  89. Ukkola, A.M.; Abramowitz, G.; De Kauwe, M.G. A Flux Tower Dataset Tailored for Land Model Evaluation. Earth Syst. Sci. Data 2022, 14, 449–461. [Google Scholar] [CrossRef]
  90. Callesen, T.O.; Gonzalez, C.V.; Campos, F.B.; Zanotelli, D.; Tagliavini, M.; Montagnani, L. Gross and Net Primary Productivity in a Vineyard Assessed by Eddy Covariance and Biometric Measurements. Acta Hortic. 2022, 1355, 423–429. [Google Scholar] [CrossRef]
  91. Maleki, M.; Arriga, N.; Barrios, J.M.; Wieneke, S.; Liu, Q.; Peñuelas, J.; Janssens, I.A.; Balzarolo, M. Estimation of Gross Primary Productivity (GPP) Phenology of a Short-Rotation Plantation Using Remotely Sensed Indices Derived from Sentinel-2 Images. Remote Sens. 2020, 12, 2104. [Google Scholar] [CrossRef]
  92. Scandellari, F.; Caruso, G.; Liguori, G.; Meggio, F.; Palese Assunta, M.; Zanotelli, D.; Celano, G.; Gucci, R.; Inglese, P.; Pitacco, A.; et al. A Survey of Carbon Sequestration Potential of Orchards and Vineyards in Italy. Eur. J. Hortic. Sci. 2016, 81, 106–114. [Google Scholar] [CrossRef]
  93. Tang, X.; Ma, M.; Ding, Z.; Xu, X.; Yao, L.; Huang, X.; Gu, Q.; Song, L. Remotely Monitoring Ecosystem Water Use Efficiency of Grassland and Cropland in China’s Arid and Semi-Arid Regions with MODIS Data. Remote Sens. 2017, 9, 616. [Google Scholar] [CrossRef]
  94. Espadafor, M.; Orgaz, F.; Testi, L.; Lorite, I.J.; Villalobos, F.J. Transpiration of Young Almond Trees in Relation to Intercepted Radiation. Irrig. Sci. 2015, 33, 265–275. [Google Scholar] [CrossRef]
  95. Egea, G.; Nortes, P.A.; Domingo, R.; Baille, A.; Pérez-Pastor, A.; González-Real, M.M. Almond Agronomic Response to Long-Term Deficit Irrigation Applied since Orchard Establishment. Irrig. Sci. 2013, 31, 445–454. [Google Scholar] [CrossRef]
  96. Martín-Palomo, M.J.; Andreu, L.; Pérez-López, D.; Centeno, A.; Galindo, A.; Moriana, A.; Corell, M. Trunk Growth Rate Frequencies as Water Stress Indicator in Almond Trees. Agric. Water Manag. 2022, 271, 107765. [Google Scholar] [CrossRef]
  97. García-Tejero, I.F.; Hernández, A.; Rodríguez, V.M.; Ponce, J.R.; Ramos, V.; Muriel, J.L.; Durán-Zuazo, V.H. Estimating Almond Crop Coefficients and Physiological Response to Water Stress in Semiarid Environments (SW Spain). J. Agric. Sci. Technol. 2015, 17, 1255–1266. [Google Scholar]
  98. Mirás-Avalos, J.M.; Gonzalez-Dugo, V.; García-Tejero, I.F.; López-Urrea, R.; Intrigliolo, D.S.; Egea, G. Quantitative Analysis of Almond Yield Response to Irrigation Regimes in Mediterranean Spain. Agric. Water Manag. 2023, 279, 108208. [Google Scholar] [CrossRef]
  99. Zhao, J.; Xu, T.; Xiao, J.; Liu, S.; Mao, K.; Song, L.; Yao, Y.; He, X.; Feng, H. Responses of Water Use Efficiency to Drought in Southwest China. Remote Sens. 2020, 12, 199. [Google Scholar] [CrossRef]
  100. Qin, W.; Assinck, F.B.T.; Heinen, M.; Oenema, O. Water and Nitrogen Use Efficiencies in Citrus Production: A Meta-Analysis. Agric. Ecosyst. Environ. 2016, 222, 103–111. [Google Scholar] [CrossRef]
  101. Allen, R.G.; Pereira, L.S.; Raes, D.; Smith, M. Crop Evapotranspiration: Guidelines for Computing Crop Water Requirements; Irr. Drain. Paper 56; UN-FAO: Rome, Italy, 1998. [Google Scholar]
  102. Bellvert, J.; Adeline, K.; Baram, S.; Pierce, L.; Sanden, B.L.; Smart, D.R. Monitoring Crop Evapotranspiration and Crop Coefficients over an Almond and Pistachio Orchard throughout Remote Sensing. Remote Sens. 2018, 10, 2001. [Google Scholar] [CrossRef]
  103. Blum, A. Effective Use of Water (EUW) and Not Water-Use Efficiency (WUE) Is the Target of Crop Yield Improvement under Drought Stress. Field Crops Res. 2009, 112, 119–123. [Google Scholar] [CrossRef]
  104. Zhao, Y.; Peng, J.; Ding, Z.; Qiu, S.; Liu, X.; Wu, J.; Meersmans, J. Divergent Dynamics between Grassland Greenness and Gross Primary Productivity across China. Ecol. Indic. 2022, 142, 109100. [Google Scholar] [CrossRef]
  105. Liu, F.; Wang, C.; Wang, X. Can Vegetation Index Track the Interannual Variation in Gross Primary Production of Temperate Deciduous Forests? Ecol. Process. 2021, 10, 51. [Google Scholar] [CrossRef]
  106. Nagai, S.; Saigusa, N.; Muraoka, H.; Nasahara, K.N. What Makes the Satellite-Based EVI–GPP Relationship Unclear in a Deciduous Broad-Leaved Forest? Ecol. Res. 2010, 25, 359–365. [Google Scholar] [CrossRef]
  107. Phillips, L.B.; Hansen, A.J.; Flather, C.H. Evaluating the Species Energy Relationship with the Newest Measures of Ecosystem Energy: NDVI versus MODIS Primary Production. Remote Sens. Environ. 2008, 112, 3538–3549. [Google Scholar] [CrossRef]
  108. Yoo, C.Y.; Pence, H.E.; Hasegawa, P.M.; Mickelbart, M. V Regulation of Transpiration to Improve Crop Water Use. CRC Crit. Rev. Plant Sci. 2009, 28, 410–431. [Google Scholar] [CrossRef]
  109. Flexas, J.; Medrano, H. Drought-Inhibition of Photosynthesis in C3 Plants: Stomatal and Non-Stomatal Limitations Revisited. Ann. Bot. 2002, 89, 183–189. [Google Scholar] [CrossRef]
  110. Augspurger, C.K.; Cheeseman, J.M.; Salk, C.F. Light Gains and Physiological Capacity of Understorey Woody Plants during Phenological Avoidance of Canopy Shade. Funct. Ecol. 2005, 19, 537–546. [Google Scholar] [CrossRef]
  111. García-Tejero, I.; Romero-Vicente, R.; Jiménez-Bocanegra, J.A.; Martínez-García, G.; Durán-Zuazo, V.H.; Muriel-Fernández, J.L. Response of Citrus Trees to Deficit Irrigation during Different Phenological Periods in Relation to Yield, Fruit Quality, and Water Productivity. Agric. Water Manag. 2010, 97, 689–699. [Google Scholar] [CrossRef]
  112. Pérez-Bueno, M.L.; Pineda, M.; Barón, M. Phenotyping Plant Responses to Biotic Stress by Chlorophyll Fluorescence Imaging. Front. Plant Sci. 2019, 10, 1135. [Google Scholar] [CrossRef]
  113. Pardo, J.J.; Sánchez-Virosta, A.; Léllis, B.C.; Domínguez, A.; Martínez-Romero, A. Physiological Basis to Assess Barley Response to Optimized Regulated Deficit Irrigation for Limited Volumes of Water (ORDIL). Agric. Water Manag. 2022, 274, 107917. [Google Scholar] [CrossRef]
  114. Piao, S.; Wang, X.; Wang, K.; Li, X.; Bastos, A.; Canadell, J.G.; Ciais, P.; Friedlingstein, P.; Sitch, S. Interannual Variation of Terrestrial Carbon Cycle: Issues and Perspectives. Glob. Change Biol. 2020, 26, 300–318. [Google Scholar] [CrossRef]
  115. El Masri, B.; Schwalm, C.; Huntzinger, D.N.; Mao, J.; Shi, X.; Peng, C.; Fisher, J.B.; Jain, A.K.; Tian, H.; Poulter, B.; et al. Carbon and Water Use Efficiencies: A Comparative Analysis of Ten Terrestrial Ecosystem Models under Changing Climate. Sci. Rep. 2019, 9, 14680. [Google Scholar] [CrossRef]
Figure 1. Location of the two almond orchards and the eddy covariance tower installed at each study site. Pictures show the evolution of the almond trees during the experiment at both Las Tiesas (ES—LTs; 2017–2019) and Tarazona de la Mancha (ES—TzM; 2020–2022).
Figure 1. Location of the two almond orchards and the eddy covariance tower installed at each study site. Pictures show the evolution of the almond trees during the experiment at both Las Tiesas (ES—LTs; 2017–2019) and Tarazona de la Mancha (ES—TzM; 2020–2022).
Agriculture 14 01589 g001
Figure 2. Evolution of the meteorological variables during the experiment in Las Tiesas (2017–2019) and Tarazona (2020–2022): Tair (A), VPD (B), global radiation (C), ETo and precipitation (D).
Figure 2. Evolution of the meteorological variables during the experiment in Las Tiesas (2017–2019) and Tarazona (2020–2022): Tair (A), VPD (B), global radiation (C), ETo and precipitation (D).
Agriculture 14 01589 g002
Figure 3. Monthly sum of daily values of Net Ecosystem Exchange (NEE) Gross Primary Productivity (GPP) and mean daily values of ecosystem water use efficiency (eWUE) between May and October during the 6-season experiment in Las Tiesas (2017–2019) and Tarazona (2020–2022).
Figure 3. Monthly sum of daily values of Net Ecosystem Exchange (NEE) Gross Primary Productivity (GPP) and mean daily values of ecosystem water use efficiency (eWUE) between May and October during the 6-season experiment in Las Tiesas (2017–2019) and Tarazona (2020–2022).
Agriculture 14 01589 g003
Figure 4. Mean daily values of GPP and NEE (A) and eWUE and ET (B) for the six-year experiment. The values depicted are those obtained after filtering and gap filling.
Figure 4. Mean daily values of GPP and NEE (A) and eWUE and ET (B) for the six-year experiment. The values depicted are those obtained after filtering and gap filling.
Agriculture 14 01589 g004
Figure 5. Monthly average daily values of NEE (A,B); GPP (C,D) and eWUE (E,F) for the six-year experiments, between April and October. Error bars represent the standard deviation of the daily values for each month.
Figure 5. Monthly average daily values of NEE (A,B); GPP (C,D) and eWUE (E,F) for the six-year experiments, between April and October. Error bars represent the standard deviation of the daily values for each month.
Agriculture 14 01589 g005aAgriculture 14 01589 g005b
Figure 6. Almond plot average NDVI temporal evolution across the six years examined at both locations.
Figure 6. Almond plot average NDVI temporal evolution across the six years examined at both locations.
Agriculture 14 01589 g006
Figure 7. Relationship between monthly averages of GPP and NDVI (A), eWUE and NDVI (B), and GPP and NDVI × ET (C). The correlation coefficient (R2) and error bars, representing the standard deviation of the mean values, are also shown. All regressions are significant at p < 0.05.
Figure 7. Relationship between monthly averages of GPP and NDVI (A), eWUE and NDVI (B), and GPP and NDVI × ET (C). The correlation coefficient (R2) and error bars, representing the standard deviation of the mean values, are also shown. All regressions are significant at p < 0.05.
Agriculture 14 01589 g007
Figure 8. Mean daily values of GPP (green), NEE (orange) and eWUE (blue) across the six-year of experiments. Values depicted are mean values ± standard deviation obtained after filtering and gap filling.
Figure 8. Mean daily values of GPP (green), NEE (orange) and eWUE (blue) across the six-year of experiments. Values depicted are mean values ± standard deviation obtained after filtering and gap filling.
Agriculture 14 01589 g008
Figure 9. Linear regression between modeled (Equation (1)) and observed (EC registers) values of eWUE. The main statistics of the regression are superposed: regression coefficient (R2). The data for this validation correspond to a random selection of 25% of the full dataset. The error bars correspond to the standard deviations of observed eWUE on the x-axis and the results from the propagation of errors of the input variables (NDVI, Tair, and ETo) on the y-axis.
Figure 9. Linear regression between modeled (Equation (1)) and observed (EC registers) values of eWUE. The main statistics of the regression are superposed: regression coefficient (R2). The data for this validation correspond to a random selection of 25% of the full dataset. The error bars correspond to the standard deviations of observed eWUE on the x-axis and the results from the propagation of errors of the input variables (NDVI, Tair, and ETo) on the y-axis.
Agriculture 14 01589 g009
Table 1. Detailed features of the equipment installed in the flux tower located in LTs (2017–2019) and TzM (2020–2022).
Table 1. Detailed features of the equipment installed in the flux tower located in LTs (2017–2019) and TzM (2020–2022).
VariableInstrumentModelManufacturerInstallation Height
Net radiationNet radiometerNR-Lite (2017–2019)
CNR1 (2020–2022)
Kipp & Zonen,
Delft, The Netherlands
4 m (2017 & 2018)
5 m (2019)
6 m (2020 & 2021)
7.5 m (2022)
Sensible heat flux3-D Sonic AnemometerCSAT3Campbell Sci. Inst., Logan, UT, USA
Latent heat fluxOpen-path
gas analyzer
LI-7500LI-COR Inc.,
Lincoln, NE, USA
Soil heat fluxHeat flux platesHFP01SCHukseflux,
Delft, The Netherlands
−0.08 m
Soil temperatureThermocouplesTCAV, Type ECampbell Sci. Inst., Logan, UT, USA−0.02 & −0.04 m
Soil moistureVolumetric moisture sensorsCS650Campbell Sci. Inst., Logan, UT, USA−0.06 cm
Table 2. Data collection periods per year for both study sites, LTs and TzM.
Table 2. Data collection periods per year for both study sites, LTs and TzM.
Study Site/LocationRecording Periods
YearMonths
ES-LTs
39.0424° N, −2.0890° W
2017July–September
2018May–October
2019July–September
ES-TzM
39.2660° N, −1.9397° W
2020July–September
2021April–October
2022April–October
Table 3. Pearson correlation coefficient between variables.
Table 3. Pearson correlation coefficient between variables.
eWUENDVIVPDPEToTair
eWUE1
NDVI0.631
VPD−0.55−0.051
P0.480.06−0.611
ETo−0.56−0.080.93−0.571
Tair−0.73−0.180.88−0.660.901
Table 4. Water use efficiency linear regression models with each corresponding calibration set. Akaike information criterion (AIC), regression coefficient (R2), adjusted regression coefficient (R2 Adj) and model coefficients. VPD (hPa), P (mm), Eto (mm), Tair (°C).
Table 4. Water use efficiency linear regression models with each corresponding calibration set. Akaike information criterion (AIC), regression coefficient (R2), adjusted regression coefficient (R2 Adj) and model coefficients. VPD (hPa), P (mm), Eto (mm), Tair (°C).
F (eWUE)AICR2R2 AdjCoefficients
NDVI29.00.410.380.2813.312
VPD31.10.350.322.420−0.065
P35.30.210.171.3360.010
ETo31.60.330.302.601−0.006
Tair18.20.640.623.629−0.098
NDVI, VPD17.80.670.641.1212.988−0.058
NDVI, P20.10.640.60−0.0473.3980.011
NDVI, ETo19.90.640.601.2762.920−0.005
NDVI, Tair2.60.840.822.3602.398−0.083
NDVI, VPD, P17.60.710.660.6913.134−0.0390.005
NDVI, VPD, ETo19.80.670.621.1432.979−0.0530.000
NDVI, VPD, Tair2.20.850.832.6802.2340.030−0.113
NDVI, P, ETo17.80.700.650.7143.1150.007−0.003
NDVI, P, Tair3.60.840.822.0662.5150.002−0.074
NDVI, ETo, Tair−2.40.880.862.7092.2020.005−0.134
NDVI, VPD, P, ETo19.40.710.640.7413.111−0.0250.006−0.001
NDVI, VPD, P, Tair1.40.870.842.3032.3690.0410.004−0.109
NDVI, VPD, ETo, Tair−0.40.880.852.6812.215−0.0050.005−0.133
NDVI, P, ETo, Tair−2.10.890.862.3902.3270.0030.005−0.125
NDVI, VPD, P, ETo, Tair−0.20.890.862.4032.3180.0080.0030.004−0.127
Disclaimer/Publisher’s Note: The statements, opinions and data contained in all publications are solely those of the individual author(s) and contributor(s) and not of MDPI and/or the editor(s). MDPI and/or the editor(s) disclaim responsibility for any injury to people or property resulting from any ideas, methods, instructions or products referred to in the content.

Share and Cite

MDPI and ACS Style

Gabaldón-Leal, C.; Sánchez-Virosta, Á.; Doña, C.; González-Piqueras, J.; Sánchez, J.M.; López-Urrea, R. Ground Measurements and Remote Sensing Modeling of Gross Primary Productivity and Water Use Efficiency in Almond Agroecosystems. Agriculture 2024, 14, 1589. https://doi.org/10.3390/agriculture14091589

AMA Style

Gabaldón-Leal C, Sánchez-Virosta Á, Doña C, González-Piqueras J, Sánchez JM, López-Urrea R. Ground Measurements and Remote Sensing Modeling of Gross Primary Productivity and Water Use Efficiency in Almond Agroecosystems. Agriculture. 2024; 14(9):1589. https://doi.org/10.3390/agriculture14091589

Chicago/Turabian Style

Gabaldón-Leal, Clara, Álvaro Sánchez-Virosta, Carolina Doña, José González-Piqueras, Juan Manuel Sánchez, and Ramón López-Urrea. 2024. "Ground Measurements and Remote Sensing Modeling of Gross Primary Productivity and Water Use Efficiency in Almond Agroecosystems" Agriculture 14, no. 9: 1589. https://doi.org/10.3390/agriculture14091589

APA Style

Gabaldón-Leal, C., Sánchez-Virosta, Á., Doña, C., González-Piqueras, J., Sánchez, J. M., & López-Urrea, R. (2024). Ground Measurements and Remote Sensing Modeling of Gross Primary Productivity and Water Use Efficiency in Almond Agroecosystems. Agriculture, 14(9), 1589. https://doi.org/10.3390/agriculture14091589

Note that from the first issue of 2016, this journal uses article numbers instead of page numbers. See further details here.

Article Metrics

Back to TopTop