Abstract
This paper explores the significance of digital governance for sustainable rural development in China, emphasizing the collaborative efforts of village administrative organizations, new agricultural business entities, and peasant households. Utilizing an evolutionary game approach, we examine the decision-making behaviors and stability points of these three entities within the context of rural digital governance. Our analysis is grounded in a mechanism of interest linkage among the stakeholders, with numerical simulations used to assess the impact of key variables and parameters on their evolutionary outcomes. The paper reveals that village administrative organizations are highly sensitive to changes in performance gains, special subsidies, penalty losses, and benefit distribution coefficients. Enhancing these variables can significantly motivate these organizations to engage in digital governance. In contrast, new agricultural business entities and peasant households demonstrate a stronger and more consistent willingness to collaborate, minimally affected by variable changes, which suggests a solid economic and social foundation for rural digital governance in China. Our paper underscores the need for positive incentives and a robust fault-tolerance mechanism to foster collaboration among village administrative organizations. It also highlights the importance of integrating new agricultural business entities into the digital governance framework to promote sustainable rural development. These insights provide valuable theoretical and practical implications for policymakers aiming to enhance the efficacy and inclusivity of digital governance in rural China.
1. Introduction
Rural sustainable development is a crucial component of sustainable development in developing countries []. Digital rural construction is an essential pathway to achieving rural sustainable development [,]. Rural digital governance is not only a significant part of digital rural construction in developing countries but also a necessary step towards modernizing rural governance. It has become a fundamental trend in the modernization of rural governance in China. A series of policies, such as the “Strategic Plan for Digital Rural Development” (2019), “Opinions on Strengthening the Modernization of Grassroots Governance System and Governance Capacity” (2021), and “Action Plan for Digital Rural Development (2022–2025)” (2022) have effectively promoted the exploratory practice of digital rural governance in China. Chinese rural digital governance involves the digitalization of rural management, public services, rural industries, and rural life. Digital technologies have provided strong support for the development of agriculture and rural areas in China []. The rural digital governance system has been continuously improved, the level of information services has been deepened, and the digital literacy and skills of farmers have been effectively enhanced. The construction of digital pilot villages has achieved initial success []. The construction of rural digital infrastructure has been steadily advancing, with key townships and a few key administrative villages achieving 5G network coverage. The level of rural industrial informatization has been steadily improving, with the online retail sales of agricultural products reaching 2.49 trillion yuan in 2023.
Unlike “administrative management”, “governance” is an activity supported by common goals, but the actors involved are not necessarily all government entities and do not require the use of state coercion to achieve their objectives []. Rural digital governance inevitably involves the participation and collaborative promotion of multiple rural actors. Village-level administrative organizations, new agricultural business entities, and rural households have complex interest linkages. The three entities share common interests to a certain extent but also have their own different interest demands, forming a complex intertwining of interest relationships. Their decision-making behaviors are constrained by both economic interests and traditional village rules and customs []. As China’s rural society enters a transitional period from targeted poverty alleviation to rural revitalization, the structure of rural entities has also undergone changes. A notable characteristic is the emergence of numerous new agricultural business entities, including professional cooperatives, family farms, large-scale planting and breeding households, and leading agricultural enterprises, which play an important role in rural governance. New agricultural business entities have the dual characteristics of market-oriented economic organizations and rural social service organizations []. The market-oriented operation of land transfer and financial lending has standardized various aspects of rural agricultural production and management. Modern agricultural production factors enter the rural economy through new agricultural business entities, promoting the integration of small farmers into modern agriculture []. New agricultural business entities are an important link connecting modern agriculture and scattered rural households []. At the same time, new agricultural business entities have relatively complete and scientific governance capabilities, maintaining rural order by participating in rural decision-making. Village-level administrative organizations are the actual grassroots end of Chinese administrative management in rural areas. On one hand, village-level administrative organizations serve as agents of grassroots governments in rural areas, responsible for implementing various policies and measures. On the other hand, they are the actual managers of villages, providing public services and representing rural households in managing and operating collective assets. Numerous scattered rural households remain the most micro-level production and management entities in rural China and will continue to exist for a long time. As China transitions from targeted poverty alleviation to rural revitalization, rural households’ incomes have generally increased, and their sense of gain and level of integration have improved. Rural households have always been important actors in rural digital governance []. Considering the structure of rural actors, rural China has formed a situation where village-level administrative organizations, new agricultural business entities, and numerous scattered rural households coexist. New agricultural business entities will play an increasingly important role in rural digital governance. Rural digital governance in China will inevitably involve the participation of all three actors, making it a process of collaborative governance.
Digital technologies can effectively improve the efficiency of rural governance and promote the development of rural industries. The application of digital technologies, especially the Internet, has eliminated interaction barriers (particularly distance barriers) and enhanced the interaction efficiency between rural households and group organizations []. Digital technologies have effectively improved the level of rural environmental governance, such as waste and sewage management, while also increasing the enthusiasm of rural actors to participate in rural governance. The application of emerging network technologies has promoted the innovation of collaborative governance methods in rural areas, and the popularization of new information technologies has a significant positive effect on rural governance []. Hsiao (2021) evaluated the ICT-Mixed Community Participation (ICTMCP) model, which is based on Information and Communication Technology (ICT) methods. Using the planning of Taipei’s Snake Island as a case study, Hsiao concluded that under certain conditions, the ICTMCP model demonstrates effectiveness in community participation decision-making processes []. In developing countries, digital information can significantly improve the level of rural governance and more effectively provide rural services, including agricultural services, infrastructure, and social services []. Digital finance has expanded the scope of traditional rural financial services, reduced transaction costs, and effectively alleviated the dilemmas of information asymmetry, diseconomies of scale, and uncontrollable risks, enabling rural households to enjoy better financial services [,]. Ren et al. (2023) found that improving rural financial services can effectively alleviate rural energy poverty. This, in turn, helps narrow the urban–rural income gap and contributes to achieving the primary objectives of the rural revitalization strategy [].
Rural e-commerce has promoted the expansion and integration of rural land use, and the e-commerce industry has significantly influenced the traditional spatial pattern of rural governance. Reshaping the interaction between rural geographical spaces has strengthened rural spatial network connections and enhanced the connectivity and resource flow efficiency of rural spatial networks []. The application of digital technologies has improved the flow efficiency of rural factor resources such as land, labor, capital, and information, as well as agricultural products [,], promoting the development of rural industries. Tian et al. (2023) designed a digital collaboration platform based on ICT. They established a framework for all stakeholders to participate in China’s urban renewal process. Using Village X as a case study, they verified the effectiveness of e-planning participation in the village’s renewal []. Chen et al. (2024) discovered that government digital governance primarily promotes natural resource management through two mechanisms: green technology innovation and intellectual property protection. This approach effectively enhances green, sustainable development [].
Regarding the actors in rural digital governance, academia generally holds the view of collaborative governance among multiple actors. Collaborative governance is a new governance strategy that emerged in the late 1980s [] and was introduced to China at the end of the 20th century. Participating actors reach consensus through negotiation, form a collective action logic, and share cooperation benefits []. Based on the existence of interest linkages among multiple actors, collaborative governance requires in-depth research on the behavioral preferences of relevant stakeholders []. This strategy emphasizes collective decision-making by multiple actors on public policies or public goods [,] and is mainly used in areas such as public resource management, environmental governance, and other fields where public goods serve as objects [,]. Cooperation is the most important factor in collaborative governance, especially for rural areas, where collaborative governance mainly addresses the issue of multi-actor cooperation []. Collaborative governance is an action process involving the participation of governments, public sectors, private institutions, and non-governmental organizations, where multiple actors formulate, implement, and manage consistent rules to achieve long-term cooperation plans [,].
Applying the research perspective of collaborative governance to rural governance in China contributes to understanding the experiences of Chinese rural governance []. In China’s rural governance, village government organizations and non-governmental organizations (NGOs) together constitute a unique political structure. As marketization progresses, various actors with different demands and functions emerge in rural society, and the diversity of actors requires targeted management and services from diverse NGOs with different functions []. China’s rural society features multi-level politics, with the presence of NGOs in rural governance that rely on grassroots government officials with different career motivations. The type of officials, whether innovative or implementational, significantly influences rural governance []. Moreover, complex interest relationships exist between the Chinese government and rural society, as well as between local leaders and village cadres. In the modernization process, village cadres play a crucial role in rural governance, serving as a link between higher and lower levels []. Rural elites also have a significant impact on rural governance, enjoying high prestige and influence in villages and possessing a driving effect on public interests []. Graeme Smith (2015) investigated the political paths of official promotion in a village in Anhui Province, China, focusing on the differentiation of elite cadres []. He argued that the careers and political statuses of political elites have a substantial influence on their participation in rural governance.
Regarding the research on collaborative governance models in rural areas, Dawes and Prefontaine (2003) first proposed that models should be constructed during the rural governance process []. Based on the collaborative governance model by Prefontaine (2003) and others, Milward et al. (2010) conducted an in-depth analysis of governance models in different types of regions and their differences, suggesting that external influences on collaborative governance are highly significant [,]. A data-driven study of the Rural Water Supply and Sanitation Cooperative Program (RWSSP) in Nepal, Shrestha (2013) found that the effectiveness of collaborative governance depends on the closeness of ties among relevant participating actors in terms of resources and technology [].
Existing research generally agrees that rural governance must undergo digital transformation, and the application of digital technologies can effectively improve rural governance efficiency and promote rural industrial development. Rural digital governance should be a collaborative governance process involving multiple actors, mainly including grassroots governments, NGOs, rural households, rural elites, and others. However, current research still has the following limitations: (1) In terms of governance actors, new agricultural business entities have not yet been incorporated into the rural digital governance system as a whole. At the current stage, new agricultural business entities are indispensable participants in China’s rural governance and are the concentrated embodiment of modern agricultural production and management methods in rural areas. (2) In terms of research methods, few studies have employed evolutionary game theory to investigate the collaboration among multiple actors in rural digital governance. Evolutionary game theory [] is an important tool for studying the collaboration of multiple actors with interest linkages [,,,]. (3) Regarding the selection of influencing variables, evolution process, and outcomes of participating actors’ decision-making, there is a lack of theoretical support to guide practical operations.
This paper adopts a multi-stakeholder collaborative governance approach to analyze the interest-linking mechanism among village-level administrative organizations, new agricultural business entities, and rural households. A three-party evolutionary game model is constructed to examine the decision-making behaviors of these three actors in the process of China’s rural digital governance. The variables are assigned values and simulated based on data from rural surveys in China. This paper aims to achieve two primary objectives. First, it analyzes the decision-making behaviors and evolutionary stable points of three key actors in rural digital governance: village-level administrative organizations, new agricultural business entities, and farmers. This analysis aims to identify collaborative pathways and the impact of main variables and parameters on these actors’ decision-making behaviors. Second, the paper utilizes data from Shandong Province, China to conduct numerical simulations. These simulations model the evolution and collaboration of the three actors at a practical level, providing policy insights for grassroots governments in China and other developing countries regarding rural digital governance. The contributions of this paper are threefold. First, it investigates new agricultural business entities as a whole, treating them as an important participating actor in rural digital governance. These entities play a crucial role in providing social services in rural areas, generating both direct and indirect governance effects. Including them in the governance participant structure better reflects the reality of China’s rural digital governance. Second, the study employs the evolutionary game method to explore the decision-making behaviors of the three actors in China’s rural digital governance. The application of evolutionary game theory and computer scenario simulation enriches the research methods for rural digital governance. Third, based on survey data from China’s digital governance pilot villages, the study assigns values to variables and conducts numerical simulations to investigate the impact of changes in variables and parameters on the evolutionary results of actors’ decisions. Variations in performance benefits, special subsidies, penalty losses, and the coefficient of new revenue distribution can significantly influence the decision-making behavior of village-level administrative organizations, providing theoretical support for the government to formulate and implement policies.
The remainder of this paper is structured as follows: Section 2 explores the interest-linking mechanism among the three main actors; Section 3 constructs a three-party evolutionary game model and derives the evolutionary stable points; Section 4 conducts numerical simulation analysis; Section 5 presents the discussion; and Section 6 concludes the paper with research findings, policy implications, limitations, and future research directions.
2. The Mechanism of Benefit Linking for the Three Subjects
Village-level administrative organizations, new agricultural business entities, and rural households are the three main actors in China’s current rural digital governance, with complex intertwined interests among them, as depicted in Figure 1.

Figure 1.
Benefit linkage mechanism for the three main actors.
Village-level administrative organizations are essentially the endpoints of state administrative power, with core members including the village party branch secretary, the village committee director (often held by the same person in many villages), and the first secretary stationed in the village. These organizations serve as the confluence of various interests, contradictions, and conflicts, and are the actual organizers of rural digital governance construction. On one hand, village-level administrative organizations must complete the “required actions” of grassroots governments, mainly assisting them (township governments) in administrative management, implementing the deployment and arrangements of rural digital governance construction, popularizing digital governance knowledge, and promoting policy implementation. On the other hand, they represent the overall interests of rural households, mobilizing and integrating factor resources such as land and labor within the village. They also manage village collective assets on behalf of all households, seeking to preserve and increase the value of these assets, either independently operating them through market-oriented approaches as new agricultural business entities or investing in other such entities to obtain corresponding benefits. Thus, village-level administrative organizations and new agricultural business entities have both common interests and competition. Based on completing the “required actions”, village-level administrative organizations can actively promote various tasks of rural digital governance according to the specific conditions of the village. By establishing rural digital governance goals, formulating long-term plans and specific work plans, and applying for the construction of rural digital governance pilot villages, they strive to establish a complete and effective rural digital governance system encompassing environment, industry, services, and other aspects. Through digital industry governance platforms, village-level administrative organizations can effectively integrate rural factor resources, share common benefits with new agricultural business entities, and realize the appreciation of collective assets. Meanwhile, the connection efficiency between rural households and new agricultural business entities is also enhanced, and rural households will have more trust in village-level administrative organizations. As cohesion and credibility improve, the negotiation and coordination capabilities and governance effectiveness of village-level administrative organizations will increase, thereby gaining performance benefits, and grassroots governments will also provide certain financial subsidies.
New agricultural business entities, to a certain extent, rely on the production factors possessed by villages, such as land, labor, production and operation sites, distinctive agricultural products, and primary processed agricultural products. For a certain period, the scattered production and operation methods of a large number of Chinese rural households can coexist with the scale production and operation methods of new agricultural business entities. Agricultural products produced and operated by rural households often enter the market through new agricultural business entities. Through rural digital industry governance platforms, new agricultural business entities can more effectively manage and guide the production and operation processes of scattered rural households. This ensures that the quality of agricultural products meets market requirements, increases the income of rural households, and promotes the integration of rural households into the modern agricultural system. Rural digital governance provides a better spatial environment for the production and operation of new agricultural business entities. Digital industry governance platforms can reduce information asymmetry between new agricultural business entities and scattered rural households, effectively connecting and acquiring rural production factor resources.
Rural households are essential actors in rural digital governance and its beneficiaries. First, they can participate more effectively in village management and decision-making. Rural households are familiar with the problems and needs of rural life and can actively engage in and promote rural digital governance by leveraging their subjective initiative. This ensures that rural digital governance policies and platform project construction better align with actual rural needs, fostering a favorable cooperative environment for rural digital governance. Second, the improvement of rural households’ digital literacy provides better-quality human capital for rural industrial development. By using industrial digital platforms and services, rural households enrich their digital skills and knowledge, continuously enhancing their understanding of modern agricultural production and operation, making it easier for them to integrate into the modern agricultural system. Meanwhile, through digital technology platforms, rural households who have “left the land and the village” can keep abreast of village industrial development, connect their resources in a timely manner, and seize opportunities to obtain higher returns. They can also participate in village governance remotely, exerting their subjective initiative as rural actors and finding a sense of belonging to their homeland.
Regarding the costs of rural digital governance, the first aspect is the construction of digital infrastructure. The infrastructure of the digital governance system mainly includes technical hardware equipment such as network devices, servers, sensors, monitors, and fiber-optic broadband networks. Village-level administrative organizations, new agricultural business entities, and rural households also need to be equipped with terminal devices. The second aspect is technical support for rural digital governance. Sensors, detection equipment, and Internet of Things technology are used to collect data on farmland, aquaculture, water sources, environment, land, labor, and other factors. On this basis, smart rural platforms and “Internet” platforms are built, utilizing relevant software to process and analyze data, providing decision-making support for agricultural planting, aquaculture, disaster warning, resource management, and other aspects. The third aspect is the training and learning of relevant personnel from village-level administrative organizations, new agricultural business entities, and rural households. On the one hand, it is necessary to disseminate and popularize digital governance knowledge and enhance their awareness of participation and digital literacy. On the other hand, relevant personnel need to receive training in digital governance technology to improve their ability to integrate into rural digital life.
3. Hypotheses and Constructions of the Model
3.1. Hypotheses of the Model
Village-level administrative organizations, new agricultural business entities, and rural households are assumed to be risk-neutral and bounded-rational agents who seek to maximize their benefits within their respective constraints. Based on the actual operational logic among the three actors, the following hypotheses are proposed:
Hypothesis 1: The village-level administrative organization is Player 1, the new agricultural business entity is Player 2, and the rural household is Player 3. The strategy choices of the three players gradually evolve and stabilize to the optimal strategy over time.
Hypothesis 2: The strategy space of the village-level administrative organization is (collaborate, non-collaborate). It chooses to collaborate with probability x, which is manifested as actively promoting the digital transformation of rural governance, and chooses not to collaborate with probability (1 − x), which is manifested as only completing the “required actions” assigned by the grassroots government, where x ∈ [0, 1]. The strategy space of the new agricultural business entity is (collaborate, non-collaborate). It chooses to collaborate in digital rural governance with probability y, which is manifested as actively engaging in digital transformation, and chooses not to collaborate with probability (1 − y), where y ∈ [0, 1]. The strategy space of the rural household is (collaborate, non-collaborate). It chooses to collaborate in digital rural governance with probability z, which is manifested as actively investing effort and cost in learning digital technologies, and chooses not to collaborate with probability (1 − z), where z ∈ [0, 1].
Hypothesis 3: The three players operate on a strategy of benefits and costs. In the context of collaborative efforts among the three players, V1 represents the political performance benefits accrued by the village-level administrative organization. K denotes the special fund subsidies obtained by the village-level administrative organization when it adopts a collaborative strategy. In the absence of collaboration among the three players, the proportion of political performance benefits gained by the village-level administrative organization is represented by a, indicating that the political performance benefits of the village-level administrative organization under such circumstances are aV1. V2 represents the shared public goods–nature benefits enjoyed by both the village-level administrative organization and rural households when they engage in collaborative efforts. R1 denotes the incremental benefits generated through the collaboration between the village-level administrative organization and new agricultural business entities, with b serving as the allocation coefficient. Consequently, the incremental benefits for these two entities are bR1 and (1 − b) R1, respectively. R2 signifies the incremental benefits arising from the collaboration between new agricultural business entities and rural households, with c acting as the allocation coefficient. As a result, the incremental benefits for these two players are (1 − c) R2 and cR2, respectively. The initial benefits of new agricultural business entities are represented by L, and their benefits from sole collaboration are R3. Lastly, the benefits obtained by rural households through sole collaboration are R4.
C1 represents the cost incurred by the village-level administrative organization when it adopts a non-collaborative strategy, while C2 denotes the cost associated with choosing a collaborative approach, with C1 being less than C2. C3 signifies the cost borne by new agricultural business entities when they opt for collaboration. When the village-level administrative organization collaborates, this cost is shared by both entities, with the allocation coefficient being d, resulting in a cost distribution of (1 − d) C3 and dC3, respectively. C4 represents the cost incurred by rural households when they choose to collaborate. When the village-level administrative organization collaborates, this cost is shared between the two parties, with the allocation coefficient being e, leading to a cost distribution of (1 − e) C4 and eC4, respectively. In a scenario where new agricultural business entities and rural households choose to collaborate while the village-level administrative organization opts for non-collaboration, the organizer of digital governance will suffer a loss, denoted by T, due to inaction. It is evident that the allocation coefficients a, b, c, d, and e all fall within the range of 0 to 1, while all other variables are greater than zero.
To achieve these research objectives, this paper follows a structured process as depicted in Figure 2.

Figure 2.
Research Flowchart.
This paper primarily employs evolutionary game theory as its methodological approach. Evolutionary game theory integrates game analysis with dynamic evolutionary processes, based on the fundamental assumption of bounded rationality. It focuses on collective behavior, recognizing that it emerges through mutual learning, imitation, and conflict among group members. In recent years, this approach has been widely applied to investigate strategic interactions among multiple stakeholders in innovation processes. The current research utilizes evolutionary game theory to explore the strategic interactions among village-level administrative organizations, new agricultural business entities, and individual farmers. It analyzes the long-term decision-making evolutionary paths of these three stakeholders within a bounded rationality framework. The first step involves examining the interest connections among the three parties, which establishes the applicability of the evolutionary game model. Assuming bounded rationality of the participants, the strategy space for each stakeholder is defined based on their decision-making behaviors, and a payoff matrix is constructed. The second step involves theoretically deriving replication dynamic equations and calculating equilibrium stability points. In the third step, variables are assigned values based on survey data, and computer simulations are conducted to analyze evolutionary stability paths and the influence of various factors on these paths. Finally, conclusions are drawn, and policy implications are discussed.
3.2. Payment Matrix Modeling
Village administrative organization: Collaborate
Peasant Households | |||
Collaborate | Non-Collaborate | ||
New Agricultural Business Entities | Collaborate | ||
Non- collaborate |
Village administrative organization: Non-Collaborate
Peasant Households | |||
Collaborate | Non-Collaborate | ||
New Agricultural Business Entities | Collaborate | ||
Non-Collaborate |
3.3. List the Expected Return, Average Return, and Replication Dynamic Equations
Friedman (1991) introduced a method that utilizes the local stability of the Jacobi matrix and the interest matrix to assess the stability of strategy combinations produced by game players []. This method determines whether these combinations are considered ESS or not. Additionally, it examines the aspects that will influence the player’s selection of game strategy.
The payment matrix provides information on the expected and average returns of village administrative organizations that implement collaborate and non-collaborate strategies, respectively:
The replication dynamic equation is a differential equation that characterizes the frequency at which a group adopts a strategy. The equation representing the replication dynamics of the evolutionary game, where probability x is the likelihood of the village administrative organization adopting a collaborative strategy, can be expressed as follows:
The payment matrix indicates that new agricultural business entities who implement collaborate and non-collaborate strategies can expect average returns of:
The equation representing the chance y of a new business entity selecting a collaborate strategy in an evolutionary game is as follows:
The expected and average returns for peasant households who implement collaborate and non-collaborate techniques, as indicated by the payment matrix, are as follows:
The equation that describes the chance z of a peasant household choosing a collaborate strategy in an evolutionary game is as follows:
3.4. Equilibrium Point and Stability Examination of the Cooperative Subjects’ Behavioral Game
To derive the replication dynamics system for each player, it is necessary to associate each replication dynamic equation.
The three players continuously adjust their strategies based on their vested interests to pursue an increase in their own benefits, ultimately reaching a dynamic equilibrium. Before determining the evolutionarily stable strategies, it is essential to calculate the equilibrium points of the evolutionary game. The equation F(x) = F(y) = F(z) = 0 represents the scenario where the rate of change of the system strategy selection is zero. In this case, the boundary equilibrium points of the dynamical system can be determined as follows: E1(0,0,0), E2(0,0,1), E3(0,1,0), E4(0,1,1), E5(1,0,0), E6(1,0,1), E7(1,1,0), and E8(1,1,1). These points exhibit asymptotically stable behavior and correspond to an equilibrium state in an evolutionary game. The equilibrium points within the equilibrium solution domain are non-asymptotically stable states and do not require further discussion.
According to the Friedman method, the evolutionarily stable strategies (ESS) of the differential equation system can be obtained through the local stability analysis of the system’s Jacobian matrix. The Jacobian matrix of the system is given by:
The case of the equilibrium point E1(0,0,0) will be examined, whereby the Jacobi matrix is as follows:
Currently, the eigenvalues of the Jacobi matrix are ; ; . As seen in Table 1, it is possible to derive the eigenvalues of the Jacobi matrices associated with the remaining equilibriums.

Table 1.
Characteristic values of the Jacobian matrix.
To facilitate the analysis of the stability of the replicator dynamics system without loss of generality, it is assumed that the collaboration among the three stakeholders is a Pareto improvement. This implies that the net benefits of collaboration between the village-level administrative organization, new agricultural business entities, and rural households are not lower than the net benefits of non-collaboration. The following relationships exist:
Due to the numerous and complex parameters in the model, this paper discusses the evolutionary game stable strategies under two different scenarios.
Scenario 1: . This is when the difference between the financial special fund subsidy obtained by the village-level administrative organization and the performance benefits when the collaboration among the three players is not achieved is greater than the difference between the costs of choosing the collaboration strategy and the non-collaboration strategy; the benefit of the new agricultural business entity collaborating alone is greater than the cost of choosing the collaboration strategy; and the sum of the benefits obtained by rural households when collaborating alone and the benefits obtained by rural households when collaborating with the new agricultural business entity is greater than the cost of rural households choosing the collaboration strategy. At this stage, the eigenvalues of the Jacobian matrix corresponding to the equilibrium point E8(1,1,1) are all negative, and the point E8(1,1,1) is the stable point of the system. The corresponding evolutionary strategy is (collaborate, collaborate, collaborate), as shown in Table 2.

Table 2.
Local stability of equilibrium points (Scenario 1 and 2).
Scenario 2: This is when the difference between the financial special fund subsidy obtained by the village-level administrative organization and the performance benefits when the collaboration among the three players is not achieved is less than the difference between the costs of choosing the collaboration strategy and the non-collaboration strategy, when the village-level administrative organization and the new agricultural business entity collaborate, and the benefits obtained by the village-level administrative organization are less than the costs it bears; the benefit of the new agricultural business entity collaborating alone is greater than the cost of choosing the collaboration strategy; and the sum of the benefits obtained by rural households when collaborating alone, the benefits obtained by rural households when collaborating with the new agricultural business entity, and the joint benefits when the village-level administrative organization and rural households collaborate is greater than the costs borne by rural households when collaborating with the village-level administrative organization. At this stage, the eigenvalues of the Jacobian matrix corresponding to the equilibrium points E3(0,1,1) and E8(1,1,1) are all negative, and both points E3(0,1,1) and E8(1,1,1) are stable points of the system. The corresponding evolutionary strategies are (non-collaborate, collaborate, collaborate) and (collaborate, collaborate, collaborate), respectively, as shown in Table 2.
4. Numerical Simulation and Analysis
Based on the theoretical analysis, numerical simulations were performed using Matlab (2023) software according to the constraints and replicator dynamic equations. In 2020, China established 117 national digital village pilot counties (districts and regiments). Shandong Province is one of the regions with better rural development in China. Shandong Province stands as a major agricultural powerhouse in China, distinguished by its advanced agricultural industry and robust rural economic foundation. Compared to other rural regions in China, Shandong exhibits a higher level of agricultural development. This positioning has made Shandong a crucial testing ground for the government to explore new rural development models and implement agricultural reforms. The digital governance initiatives in Shandong’s rural areas are representative of the broader trends in China’s rural digital governance. As such, Shandong’s experience offers valuable insights into the current state and future direction of digital governance in rural China. In 2021, Shandong Province established 21 provincial-level digital village pilot counties and districts and 36 pilot townships. This study selected villages from digital village governance pilot townships in Shandong Province, China, including Dongli Town in Yiyuan County, Shifo Town in Yanggu County, and Dongping Street in Dongping County, to conduct field research. Based on the survey results, initial values were assigned to the variables (unit: 10,000 yuan):
4.1. The Evolutionary Consequences of Alterations in the Initial Inclination of the Three Entities Involved in Digital Collaborative Governance
Assuming that the variables and parameters remain constant, it may be inferred that the initial willingness of the three subjects is equivalent, denoted as x = y = z. Figure 3 depicts the simulation of the combined development of the three subjects when their willingness to collaborate reaches values of 0.4, 0.5, and 0.6. Figure 1 illustrates that when the combined willingness of the three subjects increases simultaneously, decreases simultaneously, and remains at a moderate level, the combined willingness of x, y, and z all approach 1 and ultimately converge to the stabilization point (1,1,1). The willingness to collaborate of new agricultural business entities and peasant households exhibits a rapid increase across the three levels. Conversely, the willingness to collaborate of village administrative organizations experiences a brief initial decrease, followed by a subsequent rise and convergence to 1. However, the rate of convergence for the latter is comparatively slower.

Figure 3.
Evolution results in the willingness to collaborate, becoming larger and smaller simultaneously. The three lines represent three entities respectively, as shown in the legend. Different colors represent different probabilities or variable values, as shown on the vertical axis.
Furthermore, on the assumption that the variables and parameters remain constant and considering the varying and distinct initial willingness levels of the three participants, the simulation is conducted in three distinct scenarios: z > y > x, y > x > z, and x > z > y. Figure 3 shows the simulation of the collaborative evolution of the three players when their willingness to collaborate is (0.3,0.5,0.7), (0.5,0.7,0.3), and (0.7,0.3,0.5), respectively. As shown in Figure 4, when the willingness to collaborate of the three players changes to different levels, the willingness to collaborate converges to 1 and eventually tends to the stable point (1,1,1). Although the willingness to collaborate of the three players varies, the willingness to collaborate of the new agricultural business entities and rural households directly increases and quickly converges to 1. The willingness to collaborate of the village-level administrative organizations also eventually converges to 1, but the convergence speed is significantly slower. When the willingness to collaborate is (0.5,0.7,0.3), the willingness to collaborate of the village-level administrative organizations initially decreases. However, as the willingness to collaborate of the new agricultural business entities and rural households rapidly increases, the willingness to collaborate of the village-level administrative organizations also begins to rise.

Figure 4.
The evolution results from changes and different willingness to collaborate. The three lines represent three entities respectively, as shown in the legend. Different colors represent different probabilities or variable values, as shown on the vertical axis.
4.2. The Effects of Changes in Performance Gains on Digital Collaborative Governance: An Evolutionary Perspective
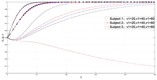
Figure 5 shows the simulation of the impact of changes in performance benefits on the digital governance collaboration of the three players, assuming that other variables and parameters remain unchanged. As shown in Figure 4, changes in performance benefits have almost no impact on the willingness to collaborate of the new agricultural business entities and rural households. The willingness to collaborate of both players increases rapidly and converges to 1, with the willingness to collaborate of rural households converging faster than that of the new agricultural business entities. When the performance benefit changes from 40 to 60, the willingness to collaborate of the village-level administrative organizations initially experiences a brief decline, then rises and converges to 1, but the convergence speed is slower than that of the other two players. The convergence speed of the willingness to collaborate of the village-level administrative organizations changes in the same direction as the performance benefits, i.e., the greater the performance benefits, the faster the willingness to collaborate of the village-level administrative organizations increases. When the performance benefit is reduced to 20, the willingness to collaborate of the village-level administrative organizations directly decreases slowly and eventually converges to 0, with the evolution result ultimately tending to the stable point (0,1,1). It can be seen that the willingness to collaborate of the village-level administrative organizations is sensitive to performance benefits, and changes in performance benefits will significantly affect the enthusiasm of village-level administrative organizations to collaborate, thereby influencing the evolution result.

Figure 5.
Evolution results of changes in political performance income V1. The three lines represent three entities respectively, as shown in the legend. Different colors represent different probabilities or variable values, as shown on the vertical axis.
4.3. The Transformative Influence of Alterations in Dedicated Subsidies on Digital Collaborative Governance
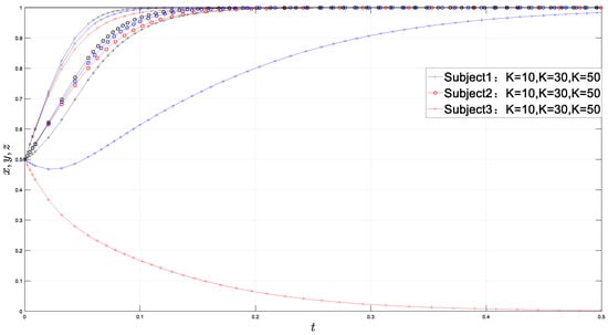
Figure 6 shows the simulation of the impact of changes in special subsidies on the collaboration willingness of the three players in digital governance, assuming other variables and parameters remain unchanged. As can be seen from Figure 5, changes in special subsidies have little effect on the collaboration willingness of new agricultural business entities and farmers. The collaboration willingness of both players rises rapidly and converges to 1, with a relatively similar convergence rate. When the special subsidy is 30, the collaboration willingness of village-level administrative organizations initially decreases briefly, then rises and converges to 1, with a significantly slower convergence rate than the other two players. When the special subsidy increases to 50, the collaboration willingness of village-level administrative organizations rises rapidly and directly converges to 1, with a convergence rate close to that of the other two players. When the special subsidy is reduced to 10, the collaboration willingness of village-level administrative organizations decreases directly and eventually converges to 0, with the evolutionary result ultimately tending towards the stable point (0,1,1). The figure shows that special subsidies can promote the convergence rate of village-level administrative organizations’ collaboration willingness to vary in the same direction, i.e., the larger the special subsidy, the faster the rise in village-level administrative organizations’ collaboration willingness. However, when the special subsidy is reduced to a certain amount, it will have a significant impact on the enthusiasm of village-level administrative organizations to collaborate, and they will choose not to collaborate.

Figure 6.
Evolution results of special subsidy changes. The three lines represent three entities respectively, as shown in the legend. Different colors represent different probabilities or variable values, as shown on the vertical axis.
4.4. Impact of Changes in Penalty Losses on the Evolution of Digital Collaborative Governance
Figure 6 shows the simulation of the impact of changes in penalty losses on the collaboration willingness of the three players in digital governance, assuming other variables and parameters remain unchanged. As can be seen from Figure 7, changes in penalty losses have little impact on the collaboration willingness of new agricultural business entities and farmers. The collaboration willingness of both players rises rapidly and directly converges to 1, with a relatively similar convergence rate.

Figure 7.
Evolution results of penalty loss changes. The three lines represent three entities respectively, as shown in the legend. Different colors represent different probabilities or variable values, as shown on the vertical axis.
When the penalty loss is 1, the collaboration willingness of village-level administrative organizations rises rapidly and directly converges to 1, with a convergence rate basically the same as the other two players. When the penalty loss is slightly increased to 3, the collaboration willingness of village-level administrative organizations initially decreases briefly, then rises and converges to 1, with a significantly slower convergence rate than the other two players. When the penalty loss is slightly further increased to 5, the collaboration willingness of village-level administrative organizations decreases rapidly and directly, eventually converging to 0, with the evolutionary result ultimately tending towards the stable point (0,1,1). The figure shows that the convergence rate of village-level administrative organizations’ collaboration willingness varies inversely with penalty losses and is extremely sensitive. A small increase in penalty losses will lead to a significant decrease in the collaboration willingness of village-level administrative organizations. When the penalty loss rises to a certain amount, village-level administrative organizations will choose not to collaborate.
4.5. Impact of Changes in Revenue Distribution Ratio b on the Evolution of Digital Collaborative Governance
Figure 8 shows the simulation of the impact of changes in revenue distribution ratio b on the collaboration willingness of the three players in digital governance, assuming other variables and parameters remain unchanged. As can be seen from Figure 7, the revenue distribution ratio b causes the collaboration willingness of new agricultural business entities and farmers to vary in the same direction, i.e., the larger the parameter value, the faster the convergence rate of the two players’ collaboration willingness to 1, but the magnitude of change is relatively small. This shows that village-level administrative organizations, as organizers of digital governance, have an important influence. When the value of parameter b increases, although the proportion of new revenue gained by new agricultural business entities decreases and farmers do not share in the new revenue, the collaboration willingness of both players increases as the convergence rate of village-level administrative organizations’ collaboration willingness accelerates.

Figure 8.
Evolution results of changes in benefit allocation proportion coefficient b. The three lines represent three entities respectively, as shown in the legend. Different colors represent different probabilities or variable values, as shown on the vertical axis.
The collaboration willingness of village-level administrative organizations also varies in the same direction with changes in parameter b and is relatively sensitive. When parameter b rises from 0.5 to 0.7, the collaboration willingness of village-level administrative organizations also rises at a faster rate and converges to 1, but the convergence rate is still slower than the other two players. When parameter b decreases to 0.2, the collaboration willingness of village-level administrative organizations decreases rapidly and directly, eventually converging to 0, with the evolutionary result ultimately tending towards the stable point (0,1,1).
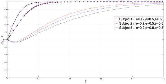
4.6. Impact of Changes in Cost Sharing Ratio Coefficient e on the Evolution of Digital Collaborative Governance
Figure 9 shows the simulation of the impact of changes in cost sharing ratio coefficient e on the collaboration willingness of the three players in digital governance, assuming other variables and parameters remain unchanged. As can be seen from Figure 8, changes in cost sharing ratio coefficient e have almost no impact on the collaboration willingness of new agricultural business entities and farmers. The collaboration willingness of both players converges to 1 at an unchanged rate. The collaboration willingness of village-level administrative organizations is also not sensitive to changes in parameter e. When parameter e increases, the collaboration willingness of village-level administrative organizations also rises at a faster rate and converges to 1, but the degree of change in convergence rate is very small. The reason is that the total cost of farmers choosing to collaborate is relatively small (how the two players share the cost will not affect the collaboration willingness of farmers) and only has a slight impact on the collaboration willingness of village-level administrative organizations.

Figure 9.
Evolution results of changes in cost allocation proportion coefficient e. The three lines represent three entities respectively, as shown in the legend. Different colors represent different probabilities or variable values, as shown on the vertical axis.
5. Discussion
New agricultural business entities and farmers have a strong willingness to collaborate in rural digital governance. Their shared economic interests bind them closely together, gradually integrating them into modern agriculture. Wossen et al. (2017) expressed a similar view, analyzing that the combination of farmers and cooperatives can improve market participation and farmers’ income levels []. Rural digital governance provides a sound institutional and environmental guarantee for this collaboration, and both players are willing to share the costs. The greater the mutual benefits, the more important the safeguarding of this collaboration becomes, and the stronger the willingness of both players to participate in rural digital governance. Shen et al. (2018) expressed a similar view through a case study of Xinhui Village in China []. Of course, this situation is premised on the large number of new agricultural business entities and their important position in the rural economic structure. The rapid development of the rural economy has built an economic foundation for both players to jointly participate in rural digital governance.
Village-level administrative organizations, as the organizers of rural digital governance, have not shown a strong willingness to collaborate. The collaboration willingness of village-level administrative organizations to participate in rural digital governance lags slightly behind, which is not entirely consistent with the research results of Zhang et al. and Sun et al. [,]. There are many personnel who can influence decision-making in village-level administrative organizations, including the village party secretary, village director, first secretary, and members of the village work team, and their interest demands may not be consistent. Especially when there are numerous village cooperatives, agricultural enterprises, family farms, and other new agricultural business entities and scattered farmers, the interest linkages are complex, further increasing the difficulty of decision-making. Compared with individual decision-making, the timeliness of decision-making by village-level administrative organizations is somewhat worse. As for the direction and degree of influence of variables such as special fund subsidies, penalty losses, and political performance benefits on the decision-making of village-level administrative organizations, they are basically consistent with existing research.
In terms of collaborative approaches to rural digital governance, Zhang, Ye, et al. (2022) developed a multidimensional framework for rural collaborative governance, examining the collaborative governance path in Liushe Village, Suzhou []. Similarly, Shi, Xu, et al. (2022) employed a combined theoretical model to investigate the collaborative pathways for resident participation in environmental governance within the Yangtze River Delta region. These findings align with the conclusion of this study, which posits the existence of multi-actor collaborative steady-state pathways in rural digital governance [].
6. Conclusions and Countermeasures
6.1. Conclusions
In the process of rural digital governance in China, there exists a complex mechanism of interest linkage among village-level administrative organizations, new agricultural business entities, and farmers. From the perspective of sustainable development, this paper studies the decision-making behavior of these three players and their evolutionary stable points in the process of rural digital governance in China. Furthermore, based on survey data, numerical simulations are conducted to examine the influence of major variables and parameters on the evolutionary results of the decision-making behavior of the three players. The following conclusions are drawn:
- (1)
- Among the three players, village-level administrative organizations are more sensitive to changes in variables such as political performance benefits, special subsidies, penalty losses, and the coefficient of new income distribution. Increasing political performance benefits through multiple channels, raising the amount of special subsidies, and increasing the proportion of new income distribution can enhance the enthusiasm of village-level administrative organizations to collaborate in rural digital governance. Village-level administrative organizations are most sensitive to changes in penalty losses, and even slight penalties can lead them to change their collaboration strategy.
- (2)
- The willingness of new agricultural business entities and farmers to collaborate is significantly stronger than that of village-level administrative organizations. Changes in the main variables and parameters basically do not affect the final convergence results of the collaboration willingness of these two players, but only have some impact on the convergence speed. This indicates that new agricultural business entities in China play an important economic and social service function, and the implementation of rural digital governance already has a good economic and social foundation. With the rapid development of rural industries and the general improvement of farmers’ living standards, new agricultural business entities and farmers have a strong digital awareness and will actively collaborate in rural digital governance.
- (3)
- The organizational function of village-level administrative organizations in rural digital governance has not been fully utilized. The collaboration awareness of village-level administrative organizations may briefly decline in the initial stage, but with the rapid improvement of collaboration awareness of the other two players, the three ultimately show consistent collaboration. This indicates, firstly, that the collaboration willingness of village-level administrative organizations is influenced by the decision-making behavior of the other two players. Compared with the other two players, as the organizer of rural digital governance, the enthusiasm of village-level administrative organizations for collaborative participation requires more incentives. Secondly, the decision-making behavior of village-level administrative organizations shows a certain degree of lag and has obvious collective decision-making characteristics, requiring the optimization of the decision-making mechanism of village-level administrative organizations and the improvement of their decision-making timeliness.
6.2. Countermeasures
- (1)
- In promoting rural digital governance, local governments in developing countries should primarily implement positive incentive policies. Measures such as increasing the amount of special subsidies and enhancing policy incentives can be adopted to improve the enthusiasm of village-level administrative organizations to participate. A better fault-tolerant mechanism should be established to provide more room for collaborative innovation by village-level administrative organizations. Local governments need to be extremely cautious when employing negative penalties.
- (2)
- Developing countries should vigorously support and cultivate new agricultural business entities and fully leverage their role in rural digital governance. The direct and indirect ways for new agricultural business entities to participate in rural digital governance should be thoroughly explored. The interest linkage between new agricultural business entities and farmers should be adjusted and improved to increase farmers’ income levels and enhance their digital awareness. With a focus on sustainable rural development, a solid economic and social foundation for rural digital governance should be built.
- (3)
- Developing countries need to enhance the decision-making efficiency of village-level administrative organizations and give full play to their leading role in rural digital governance. Comprehensive cost–benefit and risk analyses of rural digital governance should be conducted to improve the rationality of decision-making. The accuracy and timeliness of decisions should be enhanced by establishing a scientific communication mechanism.
This paper assigns values to variables and parameters based on a survey of pilot villages for rural digital governance in Shandong Province, China. These pilot villages generally have better economic development, with a certain amount of collective assets and new agricultural business entities of a certain scale, providing a good foundation for implementing rural digital governance. The selection of samples limits the applicability of the conclusions in this paper, which are only applicable to rural areas with better economic development in China. Regarding research methodology, this study primarily focused on cost–benefit analysis as a determinant of stakeholder decision-making behavior. However, it is important to note that certain variables, such as negotiation processes, commitment, and self-interested optimization were not incorporated into the model. Future research could benefit from including these additional variables to enhance the model’s comprehensiveness and predictive power. Expanding the survey samples to cover China’s overall rural areas and assigning values to variables and parameters would allow researchers to draw conclusions with wider applicability and greater value. Future research directions could include incorporating new variables into the model, examining the applicability of this study’s findings to other developing countries, and exploring legal perspectives such as personal data protection and liability issues. These avenues of investigation would enhance our understanding of the topic and provide valuable insights for policymakers and practitioners in the field.
Author Contributions
Conceptualization, S.Y.; methodology, S.Y. and X.C; software, W.Y. and J.L.; validation, S.Y. and Y.L.; formal analysis, Y.L.; investigation, S.Y.; resources, W.Y.; data curation, X.C.; writing—original draft preparation, S.Y.; writing—review and editing, W.Y. and Y.L.; visualization, Y.L.; supervision, W.Y. and J.L. All authors have read and agreed to the published version of the manuscript.
Funding
This research received no external funding.
Institutional Review Board Statement
Not applicable.
Informed Consent Statement
Not applicable.
Data Availability Statement
The data presented in this study are available upon request from the corresponding author.
Acknowledgments
This work was assisted by the Office of Research Administration, Chiang Mai University. This work was also supported by the China–ASEAN High-Quality Development Research Center at the Shandong University of Finance and Economics.
Conflicts of Interest
The authors declare no conflicts of interest.
References
- Baffoe, G. Exploring the utility of Analytic Hierarchy Process (AHP) in ranking livelihood activities for effective and sustainable rural development interventions in developing countries. Eval. Program Plan. 2019, 72, 197–204. [Google Scholar] [CrossRef]
- Wang, Y.; Wang, Z.; Shuai, J.; Shuai, C. Can digitalization alleviate multidimensional energy poverty in rural China? Designing a policy framework for achieving the sustainable development goals. Sustain. Prod. Consum. 2023, 39, 466–479. [Google Scholar] [CrossRef]
- Ma, X.; Feng, X.; Fu, D.; Tong, J.; Ji, M. How does the digital economy impact sustainable development?—An empirical study from China. J. Clean. Prod. 2024, 434, 140079. [Google Scholar] [CrossRef]
- Engås, K.G.; Raja, J.Z.; Neufang, I.F. Decoding technological frames: An exploratory study of access to and meaningful engagement with digital technologies in agriculture. Technol. Forecast. Soc. Chang. 2023, 190, 122405. [Google Scholar] [CrossRef]
- Liu, J.; Ren, Y. Can digital inclusive finance ensure food security while achieving low-carbon transformation in agricultural development? Evidence from China. J. Clean. Prod. 2023, 418, 138016. [Google Scholar] [CrossRef]
- Rosenau, H. Self-reflection and autobiography—Kierkegaard’s writings about himself. Hist. Eur. Ideas 1995, 20, 183–188. [Google Scholar] [CrossRef]
- Qiu, T.; Li, Y.; Shi, X.; Peng, C.; Luo, B. Alternative modes of governance: Clans and social instability in rural China. China Econ. Rev. 2024, 84, 102136. [Google Scholar] [CrossRef]
- Wang, Y.; Huan, M. The effects of socialized agricultural services on rural collective action in the irrigation commons: Evidence from China. Agric. Water Manag. 2023, 289, 108519. [Google Scholar] [CrossRef]
- Gong, M.; Zhong, Y.; Zhang, Y.; Elahi, E.; Yang, Y. Has the new round of agricultural land system reform improved farmers’ agricultural inputs in China? Land Use Policy 2023, 132, 10682. [Google Scholar] [CrossRef]
- Ke, C.; Huang, S.Z. The effect of environmental regulation and green subsidies on agricultural low-carbon production behavior: A survey of new agricultural management entities in Guangdong Province. Environ. Res. 2024, 242, 117768. [Google Scholar] [CrossRef]
- Sun, P.; Ge, D.; Yuan, Z.; Lu, Y. Rural revitalization mechanism based on spatial governance in China: A perspective on development rights. Habitat Int. 2024, 147, 103068. [Google Scholar] [CrossRef]
- Warren, M. The digital vicious cycle: Links between social disadvantage and digital exclusion in rural areas. Telecommun. Policy 2007, 31, 374–388. [Google Scholar] [CrossRef]
- Molin, M.D.; Masella, C. From fragmentation to comprehensiveness in network governance. Public Organ. Rev. 2016, 16, 493–508. [Google Scholar] [CrossRef]
- Hsiao, H. ICT-mixed community participation model for development planning in a vulnerable sandbank community: Case study of the Eco Shezi Island Plan in Taipei City, Taiwan. Int. J. Disaster Risk Reduct. 2021, 58, 102218. [Google Scholar] [CrossRef]
- Katrina, K.; Leonard, W. Can information improve rural governance and service delivery? World Dev. 2020, 125, 104376. [Google Scholar]
- Chen, Z.; Li, H.; Wang, T.; Wu, J. How digital transformation affects bank risk: Evidence from listed Chinese banks. Financ. Res. Lett. 2023, 58, 104319. [Google Scholar] [CrossRef]
- Ren, Y.; Kuang, X.; Tony, K. Does the urban–rural income gap matter for rural energy poverty? Energy Policy 2024, 186, 113977. [Google Scholar] [CrossRef]
- Wang, C.; Zhou, T.; Ren, M. Driving spatial network connections in settlements: The role of e-commerce. Appl. Geogr. 2023, 159, 103067. [Google Scholar] [CrossRef]
- Sun, Y.; Tang, X. The impact of digital inclusive finance on sustainable economic growth in China. Financ. Res. Lett. 2022, 50, 103234. [Google Scholar] [CrossRef]
- Liu, W.; Shao, X.; Wu, C.; Qiao, P. A systematic literature review on applications of information and communication technologies and blockchain technologies for precision agriculture development. J. Clean. Prod. 2021, 298, 126–763. [Google Scholar] [CrossRef]
- Tian, L.; Liu, J.; Wu, Y. A participatory e-planning model in the urban renewal of China: Implications of technologies in facilitating planning. Environ. Plan. B Urban Anal. City Sci. 2023, 50, 299–315. [Google Scholar] [CrossRef]
- Chen, K.; Li, Q.; Shoaib, M.; Ameer, W.; Jiang, T. Does improved digital governance in government promote natural resource management? Quasi-natural experiments based on smart city pilots. Resour. Policy 2024, 90, 104721. [Google Scholar] [CrossRef]
- Ansell, C.; Gash, A. Collaborative Governance in Theory and Practice. J. Public Adm. Res. Theory 2008, 18, 543–571. [Google Scholar] [CrossRef]
- Thomson, A.M. Collaboration: Meaning and Measurement; Indiana University: Bloomington, IN, USA, 2001. [Google Scholar]
- Choi, T.; Robertson, P.J. Deliberation and decision in collaborative governance: A simulation of approaches to mitigate power imbalance. J. Public Adm. Res. Theory 2014, 24, 495–518. [Google Scholar] [CrossRef]
- O’Leary, B.C.; Brown, R.L.; Johnson, D.E.; Von Nordheim, H.; Ardron, J.; Packeiser, T.; Roberts, C.M. The first network of marine protected areas (MPAs) in the high seas: The process, the challenges and where next. Mar. Policy 2012, 36, 598–605. [Google Scholar] [CrossRef]
- Emerson, K.; Nabatchi, T.; Balogh, S. An integrative framework for collaborative governance. J. Public Adm. Res. Theory 2012, 22, 1–29. [Google Scholar] [CrossRef]
- Huang, P. When government-led experimentation meets social resistance? A case study of solar policy retreat in Shenzhen, China. Energy Res. Soc. Sci. 2021, 75, 102031. [Google Scholar] [CrossRef]
- Wang, Y.; Zhao, Y. Is collaborative governance effective for air pollution prevention? A case study on the Yangtze river delta region of China. J. Environ. Manag. 2021, 292, 112709. [Google Scholar] [CrossRef]
- Shrestha, M.K. Self-organizing network capital and the success of collaborative public programs. J. Public Adm. Res. Theory 2012, 23, 307–329. [Google Scholar] [CrossRef]
- Zadek, S. The Logic of Collaborative Governance: Corporate Responsibility, Accountability, and the Social Contract; Mossaver-Rahmani Center for Business & Government, Harvard Kennedy School: Cambridge, MA, USA, 2006. [Google Scholar]
- Kim, Y.; Choi, T.Y.; Yan, T.; Dooley, K. Structural investigation of supply networks: A social network analysis approach. J. Oper. Manag. 2011, 29, 194–211. [Google Scholar] [CrossRef]
- Zhang, Q.; Ye, C.; Duan, J. Multi-dimensional superposition: Rural collaborative governance in Liushe village, Suzhou city. J. Rural. Stud. 2022, 96, 141–153. [Google Scholar] [CrossRef]
- Wang, J.; Newland, S.A. Diversity and Distribution: Essays on Local Governance and Public Service Provision in Multiethnic China. Ph.D. Thesis, UC Berkeley, Berkeley, CA, USA, 2015. [Google Scholar]
- Newland, S.A. Innovators and implementers: The multilevel politics of civil society governance in rural China. China Q. 2018, 233, 22–42. [Google Scholar] [CrossRef]
- Friedman, E.; Pickowicz, P.; Selden, M.; Johnson, K.A. Chinese Village, Socialist State; Yale University Press: New Haven, CT, USA, 1991. [Google Scholar]
- Shi, T. Chinese Rural Elite in the Japanese Perspective: Relations, Unity, and Rural Politics; Shandong People’s Publishing House: Jinan, China, 2012. (In Japanese) [Google Scholar]
- Smith, G. Getting ahead in rural China: The elite–cadre divide and its implications for rural governance. J. Contemp. China 2015, 24, 594–612. [Google Scholar] [CrossRef]
- Dawes, S.S.; Prefontaine, L. Understanding new models of collaboration for delivering government services. Commun. ACM 2003, 46, 40–42. [Google Scholar] [CrossRef]
- Milward, H.B.; Provan, K.G.; Fish, A.; Isett, K.R.; Huang, K. Governance and collaboration: An evolutionary study of two mental health networks. J. Public Adm. Res. Theory 2010, 20 (Suppl. S1), i125–i141. [Google Scholar] [CrossRef]
- Weibull, J.W. Evolutionary Game Theory; MIT Press: Cambridge, MA, USA, 1997. [Google Scholar]
- Zhao, T.; Liu, Z. A novel analysis of carbon capture and storage (CCS) technology adoption: An evolutionary game model between stakeholders. Energy 2019, 189, 116352. [Google Scholar] [CrossRef]
- Liu, X.; Wang, W.; Wu, W.; Zhang, L.; Wang, L. Using cooperative game model of air pollution governance to study the cost sharing in Yangtze River Delta region. J. Environ. Manag. 2022, 301, 113896. [Google Scholar] [CrossRef] [PubMed]
- Wang, J.; Jia, L.; He, P.; Wang, P.; Huang, L. Engaging stakeholders in collaborative control of air pollution: A tripartite evolutionary game of enterprises, public and government. J. Clean. Prod. 2023, 418, 138074. [Google Scholar] [CrossRef]
- Xu, H.; Shen, L.; Cui, Y.; Gao, J. Multi-agent collaborative management of coastal pollution from land-based sources from the perspective of emissions trading: An evolutionary game theory approach. Ocean. Coast. Manag. 2024, 251, 107067. [Google Scholar] [CrossRef]
- Friedman, D. Evolutionary games in economics. Econom. J. Econom. Soc. 1991, 59, 637–666. [Google Scholar] [CrossRef]
- Wossen, T.; Abdoulaye, T.; Alene, A.; Haile, M.G.; Feleke, S.; Olanrewaju, A.; Manyong, V. Impacts of extension access and cooperative membership on technology adoption and household welfare. J. Rural. Stud. 2017, 54, 223–233. [Google Scholar] [CrossRef] [PubMed]
- Shen, M.; Shen, J. Evaluating the cooperative and family farm programs in China: A rural governance perspective. Land Use Policy 2018, 79, 240–250. [Google Scholar] [CrossRef]
- Shi, J.; Xu, K.; Duan, K. Investigating the intention to participate in environmental governance during urban-rural integrated development process in the Yangtze River Delta Region. Environ. Sci. Policy 2022, 128, 132–141. [Google Scholar] [CrossRef]
Disclaimer/Publisher’s Note: The statements, opinions and data contained in all publications are solely those of the individual author(s) and contributor(s) and not of MDPI and/or the editor(s). MDPI and/or the editor(s) disclaim responsibility for any injury to people or property resulting from any ideas, methods, instructions or products referred to in the content. |
© 2024 by the authors. Licensee MDPI, Basel, Switzerland. This article is an open access article distributed under the terms and conditions of the Creative Commons Attribution (CC BY) license (https://creativecommons.org/licenses/by/4.0/).