Next Article in Journal
Collaborative Digital Governance for Sustainable Rural Development in China: An Evolutionary Game Approach
Previous Article in Journal
Tibetan Butter and Indian Ghee: A Review on Their Production and Adulteration
 
 
Font Type:
Arial Georgia Verdana
Font Size:
Aa Aa Aa
Line Spacing:
Column Width:
Background:
Article

Effects of Terracing on Soil Aggregate Stability and Erodibility in Sloped Farmland in Black Soil (Mollisols) Region of China

by
Guibin Wang
1,†,
Zhi Zhang
1,†,
Mark Henderson
2,
Mingyang Chen
1,
Zeyu Dou
1,
Wanying Zhou
1,
Weiwei Huang
1 and
Binhui Liu
1,*
1
College of Forestry, The Northeast Forestry University, Harbin 150040, China
2
Mills College, Northeastern University, Oakland, CA 94613, USA
*
Author to whom correspondence should be addressed.
These authors contributed equally to this work.
Agriculture 2024, 14(9), 1534; https://doi.org/10.3390/agriculture14091534
Submission received: 30 June 2024 / Revised: 6 August 2024 / Accepted: 4 September 2024 / Published: 5 September 2024
(This article belongs to the Section Agricultural Soils)

Abstract

Soil aggregates are important indicators of soil structure stability and quality. The black soil region of northeast China, known for its high agricultural productivity, faces significant challenges due to soil erosion. This study investigates the impact of terracing on the stability and erodibility characteristics of soil aggregates in sloped farmlands, which is crucial for this important agricultural area. Three research sites with the same basic management modes were selected along a latitudinal gradient, from the mid-temperate zone to the cold temperate zone, in the black soil region of northeast China. The Savinov method was used to analyze the differences in soil aggregate size distribution, stability characteristics, and soil erodibility between terraced and non-terraced slopes at each research site. The results showed that terracing increased the content of large soil aggregates (>0.25 mm) by 5.38–6.35%, with the increase becoming more pronounced from north to south. The improvement in soil structure varied by location and slope position, with the most significant improvement at the middle slope position. Terracing enhanced soil aggregate stability, reduced soil erodibility, and improved soil structure by increasing clay and soil organic matter (SOM) content and reducing soil bulk density (BD), promoting the conversion of small aggregates to large aggregates. Soil stability indicators such as water-stable aggregates (WSAs), mean weight diameter (MWD), and geometric mean diameter (GMD) were dominated by aggregates > 5 mm, while erodibility indicators such as fractal dimensions (Ds) and the soil erodibility factor (K values) were mainly influenced by aggregates < 0.25 mm. Terraces can improve the soil structure and stability of sloping farmland by increasing the content of large soil aggregates and enhancing overall soil quality. The benefits of these improvements increase with latitude. These findings provide critical insights for determining effective management practices for sloped farmlands in the black soil region under various site conditions. They offer scientific evidence for preventing soil erosion and improving soil quality, thus supporting the sustainable development strategy for protecting black soil and ensuring long-term agricultural productivity.

1. Introduction

As fundamental units of soil structure and function, the size, distribution, and quantity of soil aggregates influence soil quality [1]. They are pivotal to soil functioning and serve as crucial indicators of soil health [2,3]. Stable soil aggregates play an important role in improving soil structure, boosting soil fertility, reducing soil erodibility, and mitigating soil erosion.
Common methods for measuring soil aggregates include dry sieving [4] and wet sieving [5]. Both methods preserve relatively intact habitats and active sites for soil microorganisms [6]. However, dry sieving can only capture the soil structure characteristics of dry fields without rainfall or irrigation. By contrast, wet sieving can reveal soil erosion characteristics and is thus frequently employed to determine the stability of water-stable aggregates (WSAs) [7].
To comprehensively assess the distribution and stability of soil aggregates, numerous studies have utilized the percentage of WSA > 0.25 mm, mean weight diameter (MWD), and geometric mean diameter (GMD) as indicators of aggregate stability [7,8], Aggregate stability may also be characterized in terms of fractal dimension (D) and the percentage of aggregate disruption (PAD) [9]. The information contained in a single indicator is very limited, so an index combining multiple indicators, such as the K value, can have greater sensitivity and accuracy in reflecting the stability of soil aggregates across different regions and soil types [10].
The black soil region of northeast China is one of only four major black soil (Mollisols) belts worldwide and serves as a crucial grain production base [11]. In recent years, continuous soil and water loss has led to soil quality degradation, reduced land productivity, and environmental damage in the sloping farmland of the black soil region [12]. The causes of soil and water loss in the northeast black soil region are complex and varied, with multiple forms of erosion occurring simultaneously, restricting the stable and sustainable development of agriculture [13]. To protect the black soil, China has initiated several projects targeting the sloping farmland in the northeast black soil region. However, soil quality degradation remains severe, with soil fertility declining annually and the black soil layer continuously deteriorating.
As one of the most critical soil and water conservation measures, terraces have been shown to effectively improve soil texture and prevent soil and water loss in sloping farmland. For example, high-quality terraces in northwest China’s Gansu Province have significantly enhanced the water retention capacity and sediment interception efficiency of sloping farmland [14]. A study in the red soil hilly region in southern China found that terraces significantly enhance slope farmland soil and water conservation through reducing surface runoff and enhancing soil erosion resistance [15]. Therefore, research on the impact of terraces on soil quality in the northeast black soil region is of great importance. This research has significant implications for the agricultural development of the northeast black soil region and for improving the local ecological environment.
Among several relevant studies on the aggregate stability and erosion resistance of soils in the black soil region of northeast China, Wang et al. [16] found that freeze–thaw cycles are destructive to the overall water stability of black soil aggregates; with an increase in the number of freeze–thaw cycles, the conversion of soil macro aggregates to micro aggregates is observed, and the water stability of soil aggregates decreases. Peng et al. [17] observed that soil stability and erodibility differed with latitude, while within the same region, they were affected by slope position and soil depth. Wang et al. [18] found that silt content, organic carbon, and moisture status critically influence the spatial variability of WSAs > 0.25 mm, MWD, and soil erodibility factor (K values).
Most studies have concluded that improving soil agglomerate stability can improve soil erosion resistance, thereby improving soil quality [19,20]. The effect of terracing on improvements in the soil quality of sloped farmland in the black soil region can be evaluated by analyzing the effect of terracing on the stability of soil aggregates and the resistance to soil erosion of slope farmland. In this study, we selected terraces on slope farmland in three areas with different latitudes and under different moisture and thermal conditions to analyze the effects of terracing on soil aggregate characteristics and soil erodibility and their relationship with soil physicochemical properties. We compared the terraced fields with the unterraced slopes in the same vicinity.
Prior research on terracing measures mainly focuses on the loess and red soil regions; although terracing is a key soil and water conservation measure in the black soil region, it remains understudied. Therefore, studying the impact of terracing on sloping farmland soil in the black soil region is not only of significant reference value for soil erosion prevention and fertility stability but also has profound implications for food security. This study will analyze the effects of and differences in terracing on the basic physicochemical properties, aggregate stability, and erosion resistance of sloping farmland soil under different moisture and thermal conditions to reveal the soil improvement mechanisms of terracing in the black soil region. Through comprehensive research at different sites, this study aims to more clearly reveal the soil quality improvement mechanisms and their spatial variations in the typical black soil region of northeast China, providing scientific evidence for soil and water conservation and agricultural production in the area.

2. Materials and Methods

2.1. Study Area

This study selected three typical terraced field locations within the black soil region representing varying moisture and thermal conditions (Figure 1). The research site in Dongliao County (125°24′ E, 43°01′ N) features typical low mountain hilly terrain with slope steepness ranging from 2 to 20 degrees. It has an average annual temperature of 5.2 °C and annual rainfall of 662 mm. The research site in Bin County (127°31′ E, 45°37′ N) is mainly hilly terrain with slope steepness ranging from 3 to 18 degrees. It has an average altitude of 405 m, an annual temperature of 4.4 °C, and annual rainfall of 570 mm. The research site in Keshan County (125°49′ E, 48°30′ N) sits in the hilly transitional zone between the Lesser Khingan Mountains and the Songnen Plain, with slope steepness ranging from 5 to 25 degrees. It has an average altitude of 236.9 m, an average annual temperature of 2.4 °C, and annual rainfall of 488.2 mm.

2.2. Experimental Setting and Sample Collection

The sloping farmland areas in Keshan County, Dongliao County, and Bin County are typical of the northeast black soil region. These areas are primarily characterized by rainfed agricultural practices. All experimental plots are classified as Mollisols, characterized by a dark mollic epipedon with high base saturation (>50%) due to substantial organic matter accumulation. Mollisols are noted for their high organic matter content, dark coloration, and high fertility. The cultivation period in this area does not exceed 100 years. Since reclamation, these areas have been continuously used for agriculture, primarily for maize cultivation, with one harvest per year. Soil management practices include organic fertilization and contour farming.
In July 2022, field surveys were conducted to select sampling sites in Dongliao County, Bin County, and Keshan County. Terraces with consistent construction years, slopes, and management measures were chosen as the study objects, with untreated natural sloping farmlands serving as controls. The terraces were constructed in the form of level terraces approximately 10 years ago. The width of the sampled terraces was between 5 m and 9 m, and the length of the sampled slopes was around 60 m. All sites were cultivated with maize. Detailed site information is provided in Table 1.
The slope was divided into upper, middle, and lower positions, with each terrace further subdivided into inner, middle, and outer sections. In each section, three replicates were set, resulting in nine measurement points per slope position, totaling twenty-seven measurement points for the terraced slope. The untreated sloping farmland had three replicates per slope position, totaling nine measurement points, with measurement points set at equidistant intervals (Figure 1).
At each measurement point, soil samples were collected at depths of 0–20 cm, 20–40 cm, and 40–60 cm using 100 cm3 ring knives, and undisturbed soil samples were collected using plastic boxes. A total of 108 soil samples were collected at each site. In the laboratory, larger soil clumps were broken into approximately 1 cm3 pieces along natural cracks, impurities were removed, and samples were air-dried. After air-drying, each sample was divided using the quartering method to obtain 500 g for dry sieving. Additionally, a portion of each sample was ground, sieved through 2 mm and 0.149 mm screens, and reserved for further analysis.

2.3. Measurement and Calculation of Indicators

Soil bulk density (BD), porosity, field capacity (FC) and capillary water capacity (CWC) were measured using the ring cutter method. In the laboratory, bulk soil samples were collected using pre-weighed (We, g) metal cutting cylinders from each study site. The samples were placed in a flat bowl filled with water to the top border of the cutting cylinders. After a 24 h immersion, the cutting cylinders were removed from the water and weighed immediately. The saturated soil samples in the cylinders were then placed on a dry sand layer and weighed again after 2 h and 5 days (W2h, W5d, g). Finally, the cylinders were dried in an oven at 105 °C for at least 48 h until reaching a constant weight (Wds, g) and then weighed.
Using the parameters W, W0, and B, calculate the capillary water capacity (CWC, %) using Formula (1) and the field capacity (FC, %) [21] using Formula (2):
C W C = ( W 2 h W d s ) W d s W e × 100
F C = ( W 5 d W d s ) W d s W e × 100
Soil moisture content was determined by the drying method [22]. Soil organic matter (SOM) was measured using the potassium dichromate external heating method. Soil mechanical composition was determined by the pipette method, referring to the American standard where soil particles are divided into three categories according to particle size: sand particles (0.05 mm ≤ d < 2 mm), silt particles (0.002 mm ≤ d < 0.05 mm), and clay particles (d < 0.002 mm), which involves microwave heating and vertical agitation.
The distribution characteristics of soil water-stable aggregates (WSAs) were measured using the wet sieving method [5], as follows: Each 50 g air-dried soil sample was placed on the top of a nested sieve set according to the dry sieving ratio and then placed into a DIK-2012 aggregate analyzer (Daiki Rika Kogyo Co., Ltd., Kounosu, Saitama, Japan)®. Deionized water was slowly added along the barrel wall until the water covered the soil sample. The sample was first gently moistened for 5 min, then vertically oscillated for 15 min at a frequency of 30 times per minute and an amplitude of 3 cm. The soil aggregates remaining in each sieve were washed into aluminum boxes with a fine water stream, dried at 60 °C to a constant weight, and then left in the atmosphere for 24 h to reach an air-dried state. The content of water-stable soil aggregates with particle sizes of <0.2 mm, 0.25–0.50 mm, 0.50–1.00 mm, 1.00–2.00 mm, 2.00–5.00 mm, and >5.00 mm was determined. Relevant data were recorded (accurate to 0.01 g), and the mass fraction of each particle size was calculated.
MWD (mean weight diameter) and GMD (geometric mean diameter) can describe the size and quantity of soil aggregates at various particle levels, representing soil fertility levels. Higher values indicate greater water stability of soil aggregates and stronger erosion resistance [23]. The first two soil aggregate stability indicators MWD and GMD were calculated as follows:
M W D = i = 1 n M i I n X i
G M D = e x p i = 1 n X i M i
where Xi is the average particle size of aggregates in the i-th size class (mm) and Mi is the weight percentage of aggregates in the Xi size class.
The >0.25 mm water-stable aggregate content (WSA > 0.25) was calculated as
W S A > 0.25 = N a N × 100 %
where Na is the mass of water-stable macroaggregates greater than 0.25 mm (g) and N is the total mass of each soil sample (g).
The fractal dimension (D) is a parameter representing the fractal characteristics of soil. A higher value indicates a greater proportion of fine particles in the soil, suggesting poorer soil structure and stability. Conversely, a lower value indicates better soil structure and stability. The fractal dimension was calculated as follows [24]:
D = 3 l g l g ω i / m l g X i / X m a x
where ωi is the cumulative weight of soil aggregates smaller than Xi (g), Xi is the average diameter of each particle size class of aggregates (mm), and Xmax is the average diameter of the largest soil particles (mm).
The soil aggregate destruction rate (percentage of aggregate disruption, or PAD) is an important indicator of the stability of soil aggregates and the overall soil structure. It represents the destructive capacity of water on aggregates; the smaller the value, the better the stability of the aggregates, and the larger the value, the more fragile the soil structure. The PAD was calculated as [25]
P A D = W d W ω W d × 100 %
where Wd is the content of air-dried aggregates larger than 0.25 mm and Wω is the content of water-stable aggregates larger than 0.25 mm.
Following Shirazi et al. [26,27], in the absence of sufficient soil data, the soil erodibility factor (K value) can be calculated using the following formula:
K = 7.954 × 0.0017 + 0.0494 × e x p × 0.5 × l g G M D + 1.675 0.6986 2
The formula for calculating soil aggregate stability and erodibility efficiency (δ) is provided in Equation (9):
δ S w = S M t / S M s
where SMt and SMs represent the soil aggregate stability and erosion resistance indices of the terraced fields and control fields, respectively [28].

2.4. Statistical Analysis

Data organization and statistical analyses were conducted using Microsoft Excel 2010® and IBM SPSS Statistics 26® software. Redundancy analysis was carried out using Canoco 5.0® to examine the relationships between soil physicochemical properties and aggregate stability indices. Graphs were generated using Origin 2021®. One-way ANOVA and independent samples t-tests were utilized to test for significant differences, with the significance level set at 0.05. Pearson correlation was employed to analyze the relationship between soil properties and moisture content.

3. Results

3.1. Characteristics of Soil Physical and Chemical Properties

There is a close relationship between the physicochemical properties of soil and its structure, directly affecting soil formation and stability. Table 2 shows that the soil properties of sloped farmland in the three regions vary and tend to improve with increasing latitude. In Keshan County, the northernmost site, BD and sand content are the lowest, while porosity, CWC, clay content, silt content, FC, and SOM are the highest. Dongliao County, the southernmost site, shows the opposite extremes.
Overall, terracing in sloped farmland across the three regions has improved soil quality, though the effects vary by slope position. In Dongliao County, terracing has reduced BD and increased CWC and SOM across all slope positions, with significant improvements in SOM at the upper and middle slopes. At the upper slope, terrace soil porosity and silt content are lower than the control, while sand content is higher. The opposite trends are observed in the middle and lower slopes. Clay content in terrace soil is significantly higher than in the control at the lower slope but lower at the upper and middle slopes.
In Bin County, terracing consistently reduces BD and sand content across different slope positions while increasing soil porosity, clay content, and SOM. The effect on sand content and FC are significant at the lower slope, and the improvements in clay and SOM content are significant at the middle and lower slopes. At the upper slope, terracing reduces capillary water capacity and increases silt content, opposite to the trends observed at the middle and lower slopes.
In Keshan County, the effects of terracing on BD, porosity, CWC, sand content, and SOM across different slope positions are relatively consistent with those in Bin County. Terracing reduces BD and sand content while increasing soil porosity and SOM content across all slope positions. In Keshan County, terracing significantly increases soil porosity at the upper slope and significantly reduces sand content at the middle and lower slopes, with notable improvements in SOM across all slope positions. Unlike in Bin County, terracing in Keshan County increases both clay content and CWC at the middle and lower slopes, with the most significant effect at the lower slope. Silt content and FC are significantly affected at the upper and middle slopes. The improvement effects of terracing on soil properties vary across regions, with the best results in Keshan County and the poorest in Dongliao County.
In these study locations, slope position significantly impacts soil physical and chemical properties. The upper slope section typically acts as a runoff source area, where soil erosion is more likely to occur, leading to the loss of fine particles and organic material. In contrast, the middle and lower slope sections serve as receiving areas for runoff and sediment deposition, making it easier for particles and SOM to accumulate in the soil.

3.2. Soil Aggregate Stability Characteristics

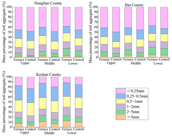
Soil aggregates significantly impact soil quality and are critical indicators of soil structure stability. The quantity and water stability of aggregates are primary indicators for evaluating soil erodibility. As shown in Figure 2, the terraced and control fields in Dongliao County and Bin County predominantly consist of WSAs < 0.25 mm at various slope positions, with contents ranging from 38.46% to 49.05% and 36.92% to 49.51%, respectively. The content of WSAs > 5 mm is the lowest, ranging from 0.95% to 2.92% and 1.86% to 4.95%, respectively. The construction of terraces reduced the content of WSAs < 0.25 mm, primarily increasing the content of WSAs > 5 mm and 2–5 mm, with other particle size levels fluctuating slightly.
Compared to the other two regions, Keshan County has more WSAs > 5 mm and fewer WSAs < 0.25 mm, with differences reaching significant levels (p < 0.05). In Keshan County, the sum of the two WSA particle sizes of 0.25–0.5 mm and 0.5–1 mm ranged from 47.42% to 54.08% at various slope positions. The construction of terraces in Keshan County reduced the content of WSAs < 0.25 mm at all slope positions, while increasing the content of WSAs > 5 mm and WSAs 2–5 mm at upper and middle slope positions and primarily increasing the content of WSAs > 5 mm at lower slope positions.
Compared to control fields, terraced fields in the three regions increased the content of soil macroaggregates (WSAs > 0.25) at various slope positions. In Dongliao County, the increases were 3.26%, 8.47%, and 7.33% at the upper, middle, and lower slope positions, respectively. In Bin County, the increases were 8.04%, 4.35%, and 5.67%, and in Keshan County, the increases were 5.52%, 7.24%, and 3.39%. The construction of terraces promoted the conversion of microaggregates to macroaggregates, enhancing the soil’s aggregate structure. Overall, in Dongliao and Bin Counties, the mass percentage of soil aggregates in terraced fields and control fields showed a trend of a gradual increase with decreasing particle size across the three slope positions. Additionally, the content of macroaggregates increased with descending slope positions. Keshan County exhibited a similar trend in the composition and distribution of WSAs in the > 0.25 mm size range.

3.3. Stability Characteristics of Soil Aggregates

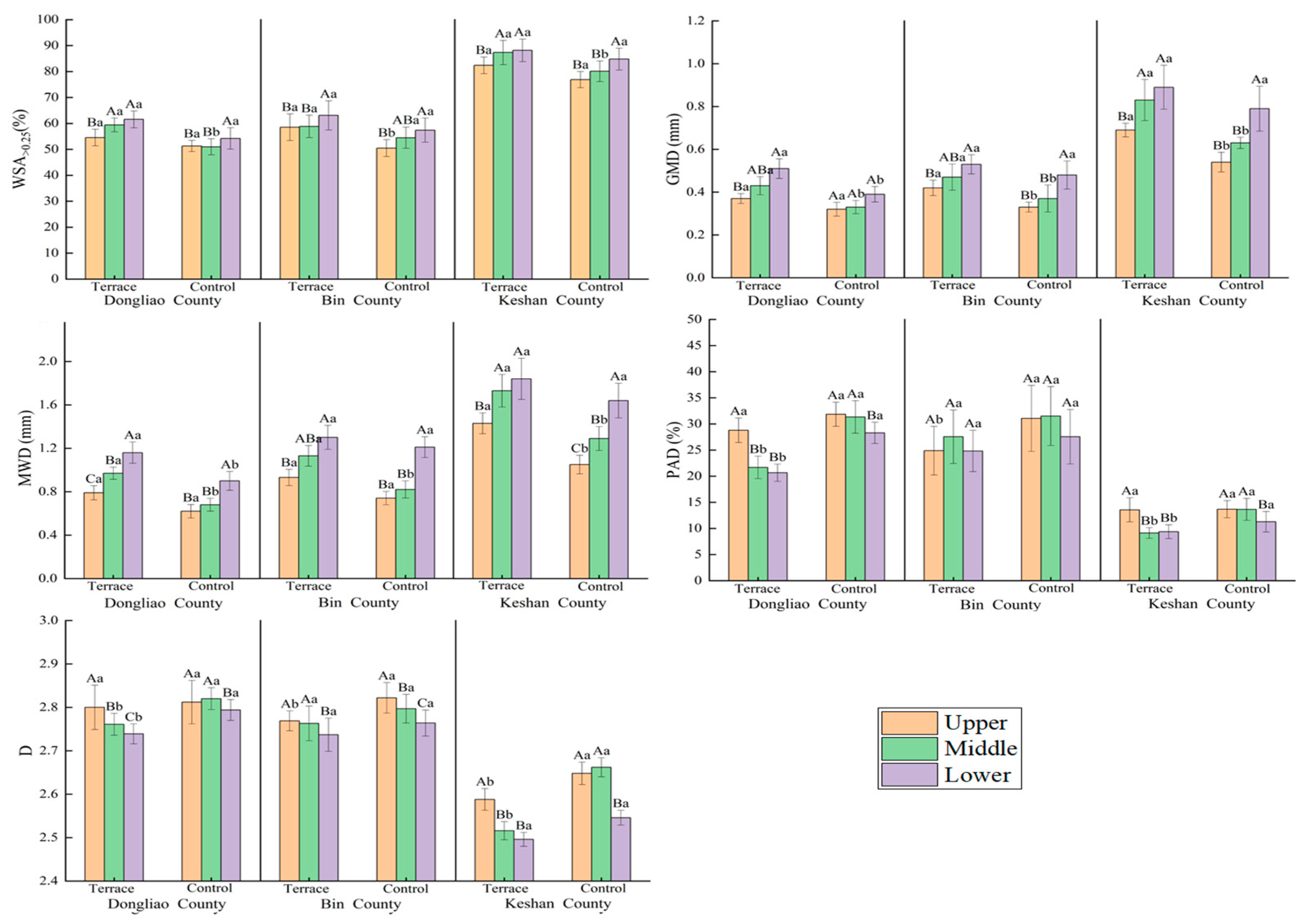
The significance of variations in soil aggregate stability indices also varied among slope positions. In Dongliao County, compared with control fields, the differences in MWD and GMD between the lower and upper slopes of terraced fields significantly increased, while the difference in WSAs>0.25 between the middle and lower slopes decreased. Conversely, in Bin County, terracing reduced the differences in MWD and GMD between the lower and middle slopes but increased the difference in WSAs>0.25. In Keshan County, terracing reduced the differences in WSAs>0.25, MWD, and GMD between the lower and middle slopes compared to control fields.
The D values of terraced slope and control fields in the three regions generally decreased at lower slope positions. In Dongliao County, the D value of the control field was highest at the middle of the slope, but it did not differ significantly from that at the upper slope. The impact of terracing on D values by slope position varied across the three regions. In Dongliao County, the influence was more pronounced at the middle and lower slopes, resulting in significant differences among the three slope positions (p < 0.05). In Bin County, the impact on D values was mainly seen at the upper slope, reducing the differences among the upper, middle, and lower slopes. In Keshan County, terracing significantly reduced the D values at both the upper and middle slopes, making the difference between the middle and lower slopes insignificant.
The trend in PAD with slope position was similar to that of D in Dongliao and Keshan Counties. In Bin County, PAD was highest at the middle slope, with no significant differences among slope positions. Terracing significantly reduced PAD values only at the upper slope, with no significant effect on the differences between the middle and lower slopes. In Dongliao and Keshan Counties, terracing significantly reduced PAD values at the middle and lower slopes of sloped farmlands, making the values at the middle and lower slopes of terraced fields significantly lower than those at the upper slope (p < 0.05).
Overall, the soil WSAs>0.25, MWD, and GMD in the three regions showed an increasing trend with latitude, while soil D and PAD showed the opposite trend (Figure 3). The WSAs>0.25, MWD, and GMD of terraced fields were higher than those of control fields in all three regions, whereas PAD and D were higher in the control fields. The values of WSAs>0.25, MWD, and GMD increased from the upper slope to the lower slope in all regions, a change not altered by terracing. However, the impact of terraces on the soil aggregate stability indices of sloped farmlands varied by slope position.
In Dongliao County, the MWD and GMD of the terraced field were significantly higher than those of the control field in the middle and lower slopes, and the WSAs>0.25 were significantly higher in the middle slope. In Bin County, terracing significantly increased WSAs>0.25 and GMD in the upper slope, and MWD and GMD in the middle slope, with no significant effect on the lower slope. In Keshan County, terracing significantly increased MWD and GMD in the upper slope and significantly improved WSAs>0.25, MWD, and GMD in the middle slope.

3.4. Soil Erodibility

Soil erodibility (K value) is a comprehensive indicator reflecting the soil’s susceptibility to external erosion. The smaller the K value, the stronger the soil’s erosion resistance; conversely, the larger the K value, the weaker the soil’s erosion resistance. As shown in Figure 4, overall, the erosion resistance of soils in the three regions increases with latitude. The erosion resistance of both terraced fields and control fields in the three regions gradually increases from the upper slope to the lower slope, with significantly higher erosion resistance at the lower slope compared to the upper slope.
At all three sites, terracing improved the erosion resistance of sloped farmlands at all slope positions. In Dongliao County, terracing reduced the soil erodibility of sloped farmlands by 0.012, 0.025, and 0.020 at the upper, middle, and lower slopes, respectively. In Bin County, the reductions were 0.021, 0.018, and 0.006, and in Keshan County, the reductions were 0.014, 0.013, and 0.005. There were differences in the improvement of erosion resistance at the three slope positions among the regions. In Dongliao County, terracing significantly improved soil erosion resistance at the middle slope, while in Bin County and Keshan County, significant improvements were observed at the upper and middle slopes (p < 0.05).

3.5. Relationship between Soil Physicochemical Properties and Soil Aggregate Stability and Erodibility

Soil is composed of mineral particles and exhibits a highly self-similar structure with fractal characteristics. Its erodibility and aggregate stability are directly influenced by the proportions of different particle sizes. Table 3 shows that the content of WSAs > 5.00 mm is significantly positively correlated with WSAs>0.25, MWD, and GMD (p < 0.01) and significantly negatively correlated with PAD, D, and K (p < 0.01).
Evaluating the contribution of aggregate size to aggregate stability and soil erodibility through correlation coefficients reveals that WSAs > 5.00 mm contribute the most to both. WSAs < 0.25 are significantly negatively correlated with WSAs>0.25, MWD, and GMD (p < 0.01), with correlation coefficients of −0.901, −0.899, and −0.962, respectively, and significantly positively correlated with PAD, D, and K (p < 0.01), with correlation coefficients of 0.977, 0.981, and 0.942, respectively. This indicates that in large aggregate structures, soil aggregate stability is mainly influenced by WSAs > 5.00 mm, while in small aggregate structures, PAD, D, and soil erodibility are mainly influenced by WSAs < 0.25 mm.
SOM is significantly positively correlated with WSAs>0.25, MWD, GMD, and WSAs > 5.00 mm (p < 0.01), and significantly negatively correlated with D, K, PAD, and WSAs < 0.25 mm (p < 0.01). Therefore, the higher SOM content, the greater the content of WSAs > 5.00 mm, and the higher the WSAs>0.25, MWD, and GMD values. The soil erodibility index (K value) is significantly correlated with the soil aggregate stability indices WSAs>0.25mm, MWD, and GMD. This shows that soil aggregate stability is closely related to soil erodibility, aggregate size, and organic matter content.
Increasing the content of WSAs > 5.00 mm and decreasing the content of WSAs < 0.25 helps to improve aggregate stability and reduce soil erodibility. Furthermore, it was found that WSAs > 0.25 mm are positively correlated with the soil aggregate stability indices WSAs>0.25, MWD, and GMD, and negatively correlated with PAD, D, and K, while WSAs < 0.25 show the opposite relationships. This indicates that 0.25 mm can serve as a threshold for the positive and negative correlations between aggregate stability and the K value of soil erodibility.
The redundancy analysis (RDA) of the soil physicochemical properties and the stability and erodibility of soil aggregates in the terraced and control fields is illustrated in Figure 5. The results indicate that the cumulative explanatory power of the physicochemical properties of terraced fields for these indicators reaches 99.74% (F = 25.4, p = 0.004), with RDA1 accounting for 98.09% and the first two axes (RDA1 and RDA2) explaining 99.74%. For control fields, the cumulative explanatory power of the physicochemical properties for the stability and erodibility of soil aggregates is 84.38% (F = 11.8, p = 0.006), with RDA1 accounting for 81.70% and the first two axes (RDA1 and RDA2) explaining 84.38%, with a cumulative explanatory power of 99.81% for the fitted variance.
As illustrated in Figure 5, the content of SOM silt and clay content, porosity, field capacity, and capillary water capacity in terraced slope and control fields are significantly positively correlated with MWD, GMD, and WSAs>0.25 and significantly negatively correlated with PAD, D, and soil K values (p < 0.05). The content of sand and BD is significantly negatively correlated with MWD, GMD, and WSAs>0.25 and significantly positively correlated with PAD, D, and K values (p < 0.05). In terraced fields, clay content and BD have the greatest impact on soil aggregate stability and soil erodibility, explaining 78.4% and 9.5% of the variation, respectively, followed by SOM (7.6%) and porosity (2.4%), with silt having the lowest explanatory power at only 0.4%. In the control fields, the silt and clay content have the greatest impact on soil aggregate stability and soil erodibility, explaining 62.8% and 15.5% of the variation, respectively, followed by porosity (7.6%) and SOM (5.5%), with BD having the lowest explanatory power at only 1.6%. Compared to control fields, terraced fields improve soil aggregate stability and erosion resistance by increasing clay and SOM content and reducing BD. The higher the clay and SOM content and the lower the BD, the lower the PAD, D, and K values and the higher the MWD, GMD, and WSA>0.25 values, leading to more water-stable aggregates and stronger erosion resistance.

3.6. Benefits of Terracing on Agglomerate Stability and Erodibility

Wei et al. [28], in their study on the benefits of terracing, used a key indicator (δ) to quantify the benefits of terracing, defining it as the ratio of ESs (ecological services) of terraced to non-terraced slopes. A δ value of 1 (i.e., no difference between terraced and control fields) is used as the threshold for distinguishing the impact of terracing. If the δ value is above 1, terracing is considered to have a positive effect; if the δ value is below 1, it is considered to have a negative effect.
To more intuitively reflect the differences in the impact of terracing on soil aggregate stability and erosion resistance in sloped farmlands across the three sites, this study calculates δSw as shown in Equation (9) above. As shown in Table 4, there are differences in the impact of terracing on the soil aggregate stability and erosion resistance of sloped farmlands among the three sites. In Dongliao County, the δ values for WSAs > 0.25, MWD, and GMD are higher than those in Bin County and Keshan County, while the PAD and K values are lower than those in Bin County and Keshan County. Overall, terracing in Dongliao County has a better effect on improving the soil aggregate stability and erosion resistance of sloped farmlands compared to Bin County and Keshan County. As shown in Table 2, terracing in Keshan County has the best effect on improving soil properties, while Dongliao County has the worst. This suggests that the poor baseline soil structure of sloped farmlands in Dongliao County makes terracing more effective in improving soil aggregate stability and erosion resistance. The study sites in Keshan County, Dongliao County, and Bin County, located in the black soil region of northeast China [29], exhibit distinct soil characteristics and responses to terracing. Keshan County, with its colder climate, features Mollisols with a thick mollic epipedon and high clay content, leading to significant improvements in soil stability and erosion resistance through terracing. In contrast, Dongliao County, with a more temperate climate, shows less pronounced improvements due to initially poorer soil structure and higher leaching. Bin County, positioned between these two extremes, displays moderate improvements in soil properties with terracing. The varying degrees of improvement across these sites reflect their differing baseline soil conditions and climatic influences, illustrating the variable effectiveness of terracing in enhancing soil properties in the black soil region.

4. Discussion

4.1. Analysis of Aggregate Composition Characteristics of Terraced on Sloped Farmland

Soil water-stable aggregates (WSAs) are soil particles that are not dispersed in water and have a particle size greater than 0.25 mm [8]. The pores, shapes, and sizes of these aggregates also vary. It is generally believed that the more developed the water-stable aggregates, the better the soil stability. In addition, the quantity and quality of WSAs can directly affect the soil’s erosion resistance [10].
This study found that the content of WSAs < 0.25 mm in Keshan County, the northernmost site, was significantly lower than that in Dongliao County and Bin County. This may be related to the moisture and thermal conditions and soil formation processes in these areas. All experimental plots are classified as Mollisols, characterized by a dark mollic epipedon with high base saturation (>50%) due to substantial organic matter accumulation. In Keshan County, the soil features a thick mollic epipedon overlying a cambic horizon, reflecting significant organic matter accumulation due to the cold climate, which slows plant residue decomposition and increases clay content. This higher clay content and organic matter accumulation result in more stable soil aggregates, enhancing soil erosion resistance.
In addition, In the black soil region, clay minerals are predominantly Montmorillonite and Illite, known for their high cation exchange capacity and strong water retention, contributing to soil structure stability in cold environments [30,31]. Keshan County’s cold climate supports Illite formation. In contrast, Dongliao and Bin Counties, with higher relative humidity, show less favorable conditions for Illite formation, resulting in less stable large aggregates and higher amounts of water-stable aggregates (WSAs) < 0.25 mm compared to Keshan County.
Soil formation processes differ among these regions. Keshan County exhibits significant humification and high organic matter accumulation. Conversely, Dongliao and Bin Counties experience higher leaching and lower organic matter accumulation, leading to reduced soil erosion resistance. These variations in soil formation processes directly affect the physical and chemical properties of the soils in these regions.
Compared with Dongliao and Bin counties, Keshan County has a lower BD, higher porosity, and greater capillary water capacity. The soil clay, silt, and SOM are significantly higher in Keshan County compared to Dongliao and Bin counties, while the sand content is lower. These physical and chemical properties are conducive to the formation and stability of soil aggregates. Additionally, the cold and humid climate conditions in Keshan County are conducive to the accumulation of SOM and the aggregation of soil particles, promoting the formation of <0.25 mm particle size aggregates. In Dongliao and Bin Counties, the content of WSAs increases as particle size decreases, consistent with the findings of Ma et al. [32] on the impact of terracing on soil water stability in southern China’s red soil region. This is mainly because the soils in Dongliao and Bin Counties contain more sand particles, similar to the soil texture in the Loess Plateau, and is a key reason for the different patterns observed compared to Keshan County.
This study also found that after terracing sloped farmlands, the proportion of water-stable macroaggregates in the soil significantly increased at all three sites. This indicates that terracing promotes the conversion of microaggregates (<0.25 mm) to macroaggregates (>0.25 mm), improving soil structure stability in sloped farmlands. This is mainly attributed to the increased clay and SOM content in the soil due to terracing, which significantly enhances soil fertility. Numerous studies have shown that clay and SOM are the primary binding agents for aggregate formation, effectively promoting soil aggregate formation [33,34].
However, the impact of terracing varies by region and slope position. In Dongliao and Keshan Counties, the increase in soil macroaggregate content is most pronounced at the middle slope position, while in Bin County, it is most pronounced at the upper slope position. This is likely due to the differential impact of terracing on soil properties at various slope positions. In Dongliao and Keshan Counties, the improvement at the middle slope position is mainly due to the stronger effect of terracing on increasing SOM at this position. SOM combined with soil humus promotes aggregate formation. Although terracing in Bin County improves both SOM and clay content at the middle and lower slope positions, the poor soil texture in this region means that terracing has the most significant effect on reducing BD at the upper slope position. It also increases clay and silt content and reduces sand content, effectively improving soil structure and providing a favorable environment for macroaggregate formation. Thus, in regions with poor soil texture, improving soil structure should be emphasized to prevent soil erosion.

4.2. Effect of Terracing on the Stability of Soil Aggregates in Sloped Farmlands

Soil MWD and GMD reflect the size distribution of aggregates. The larger the values, the greater the average particle size of the soil aggregates, indicating higher aggregation and stability and better soil structure and quality [7]. The results of this study indicate that the MWD, GMD, and WSAs>0.25 of terraced soils at the three sites are higher than those of sloped farmlands, while the D values are lower. This suggests that terracing improves soil aggregate stability, consistent with the findings of Xue et al. [35] in the Loess Plateau. However, there are differences in the stability indices WSAs>0.25, MWD, GMD, and D values across regions, and the effect of terracing on sloped farmlands varies by slope position.
Compared to Dongliao and Bin Counties, the effect of terracing on improving soil aggregate stability, aggregation, and soil structure is more pronounced in Keshan County. Again, this is because Keshan County is at a relatively higher latitude, with long and cold winters that favor the accumulation of SOM, thereby increasing clay content and creating favorable conditions for aggregate formation [36]. Additionally, the soil structure in Keshan County is relatively good, and the long-term entanglement and consolidation by crop roots enhances the formation of aggregates. Their secretions and humus accelerate aggregate formation, increasing aggregate content and stability [37,38].
In Dongliao County, the effect of terracing on improving sloped farmlands is more evident in the middle and lower slopes, whereas in Bin County and Keshan County, the improvement is more significant in the upper and middle slopes. This phenomenon in Dongliao County can be attributed to two main factors. First, due to severe erosion on the sloping farmland, the soil has a low SOM and clay content, with calcium carbonate being the primary cementing substance for soil aggregates [32,39]. When calcium carbonate reacts with water, it releases carbon dioxide, thereby weakening the water stability of the aggregates. Second, Dongliao County features relatively short slopes where erosion predominates and sedimentation is minimal. As the slope position descends, erosion intensifies, increasing BD and reducing clay content in the lower slope areas. The construction of terraces converts the sloping surface into a flatter one, reducing the downward movement of materials and thereby weakening the erosion in the middle and lower slope areas. This process enhances the stability of soil aggregates in these regions.
The Bin County site is located at the lower part of the overall slope, resulting in negligible differences in erosion effects between different slope positions within the study area. The construction of terraces in this region significantly improves BD at the upper slope, playing a crucial role in enhancing soil aggregate stability. Therefore, the improvement in aggregate stability at the upper slope is more pronounced.
Keshan County has a longer slope, making erosion and deposition more evident along the slope. The transportation of large aggregates with sediment to lower positions reduces the content of large-sized soil structures at the upper slope. Terracing primarily intercepts this soil migration, improving the soil structure at the upper slope. The middle slope position is affected by deposition, accumulating a large amount of material, which severely disrupts soil structure and nutrient distribution. Terracing reduces this impact, improving soil quality, particularly by significantly increasing SOM. Terracing also significantly affects SOM at the lower slope, but due to the similarity in soil structure between the lower slope and sloped farmland, the improvement is less pronounced than at the middle and upper slopes.
PAD reflects the degree of soil disruption; the smaller the value, the more stable the soil aggregates. This study found that the PAD values of terraced fields in the three regions are lower than those of sloped farmlands. However, at different slope positions, due to the influence of erosion and deposition, PAD values cannot fully reflect the changes in soil structure and quality. Therefore, PAD is not suitable for assessing soil stability at different slope positions.

4.3. Differences in Soil Erodibility of Terraces on Sloped Farmland

The soil erodibility factor (K value) reflects the stability of the soil’s physical structure. Studies have shown that the K value of soil erodibility is significantly negatively correlated with soil aggregate content, particle condition, water holding capacity, and permeability. Soils with higher K values are more susceptible to erosion [38,39]. By comparing the K values of terraced fields and sloped farmlands in different regions, it was found that the soil erodibility of sloped farmlands in all three regions is higher than that of terraced fields. This indicates that the construction of terraces in all three regions effectively improves the soil’s resistance to erosion. This finding is similar to the results of Fang et al. [40] in their study on the soil erosion resistance of sloped farmlands in the red soil region. The construction of terraces helps improve soil aggregate conditions, increase soil aggregation, and reduce soil dispersion and erosion rates.
The impact of terrace construction on soil erodibility varies across our sites. In Keshan County, the soil K value is significantly lower than in Dongliao and Bin Counties, indicating stronger soil erosion resistance in Keshan County. This is mainly due to significant differences in the soil physicochemical properties between Keshan County and the other two regions. Compared to Dongliao and Bin Counties, the soil in Keshan County has a lower BD and higher clay and SOM content, resulting in better soil structure and stronger soil erosion resistance [16].
This study also found that terracing improved soil erosion resistance at the middle slope position across the three regions at different latitudinal gradients. This indicates that terracing has the greatest impact on the middle slope, mainly because erosion increases soil mineralization rates, leading to severe soil organic carbon loss and the breakdown of soil aggregates along internal pores. This weakens soil erosion resistance [40]. During the erosion process on sloped farmlands, upper slope erosion continuously carries materials downward, accelerating erosion due to gravity. On long slopes, the erosion–deposition process slows down at a certain stage, causing significant deposition at the middle slope. This results in poor soil structure at the middle slope, making it more prone to erosion. At the lower slope, the friction between materials and slope position weakens erosion resistance.
The impact of terracing on the soil erodibility of sloped farmlands is mainly due to altering the original surface morphology, reducing slope gradient, significantly weakening erosion, changing soil physicochemical properties, improving soil structure, increasing soil carbon sequestration capacity, and promoting the formation of new, richer macroaggregates. These improvements enhance soil aggregate stability and erosion resistance.

4.4. Influence of Soil Physicochemical Properties on the Stability and Erodibility of Soil Aggregates

Studies have shown that soil physicochemical properties significantly affect soil aggregate stability and erodibility [41,42]. This study found that terracing mainly increases SOM, clay and silt content, porosity, and the number of large aggregates, while reducing BD and sand content, thereby enhancing soil aggregate stability and erosion resistance. The mechanism of influence mainly lies in the cementation mechanism of soil aggregates, including the bonding energy, reaction processes, bonding methods, and bonding sites among various components [43,44]. The increase in organic matter and clay promotes the formation and deposition of calcium carbonate. Calcium carbonate is an important cementing material in the formation of soil aggregates. The calcium carbonate crystals formed in the soil can enhance the cohesion between soil particles, reduce the loss of soil particles, and thereby improve the erosion resistance of soil aggregates.
Terracing improves soil moisture in sloped farmlands [45]. As soil moisture content increases, it enhances the cementation of various binding bonds (hydrogen bonds, van der Waals forces, electrostatic adsorption, ligand exchange, the entropy effect, etc.) in soil aggregates. In addition, the coordination mode changes from bidentate to monodentate coordination, increasing the number of protons released in aggregates and enhancing cementation [46].
This study found that SOM in the black soil region is significantly positively correlated with soil MWD, GMD, and WSAs>0.25 and significantly negatively correlated with the soil erodibility K value. This differs from the findings of Xu et al. [47] in the purple soils of central China’s Three Gorges region, possibly due to the loose soil structure and poor cohesion in the purple soil region, which weakens the cementation between soil aggregates, making fine particles more prone to loss. This reduces the number and stability of WSAs, increases the soil erodibility K value, and decreases soil erosion resistance.
This study also found that BD is significantly negatively correlated with soil porosity, capillary water capacity, and MWD, GMD, and WSAs>0.25 and significantly positively correlated with soil D and K values, differing from the findings of Zhao et al. [48]. The reason for this difference may be that smaller soil aggregates are more influenced by physicochemical properties, affecting soil aggregate stability. Higher porosity among soil aggregate structures facilitates soil respiration and the retention and movement of water, air, heat, and nutrients, creating favorable conditions for soil function. Overall, higher SOM and clay content, lower BD, and greater stability of WSAs enhance soil erosion resistance.

5. Conclusions

This study assessed the composition and physicochemical properties of soil aggregates in terraced fields and sloped farmland under three different moisture and thermal conditions in the black soil region of northeast China, analyzing the effects of terracing on the stability of soil aggregates and the erodibility of sloped farmland. The results elucidated the impact of terracing on soil aggregate stability and erodibility in sloped farmland under varying moisture and thermal conditions, providing a scientific basis for soil and water conservation in the black soil region and important references for maintaining soil productivity. The main findings of this study are as follows:
  • Terracing significantly enhances the soil structure and stability of sloped farmlands. The terraced fields exhibited a higher content of large soil aggregates (>5 mm) compared to sloped farmlands, indicating improved aggregate stability. The content of aggregates larger than 5 mm and 2–5 mm increased in the upper and middle slopes of Keshan County, while in Dongliao and Bin Counties, this increase was observed across all slope positions
  • The positive effects of terracing on soil stability and erosion resistance can be attributed to increased clay and soil organic matter (SOM) content and reduced bulk density (BD). These changes lowered the soil aggregate destruction rate (PAD), fractal dimension (D), and soil erodibility factor (K values), while increasing the mean weight diameter (MWD), geometric mean diameter (GMD), and water-stable aggregates (WSAs) > 0.25, making water-stable aggregates more stable and enhancing erosion resistance. Furthermore, a particle size of 0.25 mm was identified as a threshold for the positive and negative correlations of K values with aggregate stability and erodibility. The stability was primarily influenced by aggregates > 5 mm, and the PAD, D, and K values were mainly affected by particles < 0.25 mm.
  • The construction of terraces has a significant positive impact on soil quality in sloping farmland within the typical black soil region of northeast China. This improvement is evident not only in the enhancement of soil structure but also in its positive effects on soil functionality. However, the extent of these benefits is contingent upon local soil texture. Therefore, in managing soil erosion on sloping farmland, it is crucial to thoroughly understand local soil conditions and develop appropriate management strategies. This approach ensures the optimal effectiveness of terraces, thereby enhancing black soil protection.
Future research should examine the long-term impacts of terracing on soil properties across different climates to assess the sustainability of these practices. Additionally, studying the role of microbial communities in soil stability and the effects of various soil amendments combined with terracing could help optimize soil conservation strategies in the black soil region.

Author Contributions

Conceptualization, G.W. and B.L.; methodology, G.W.; software, G.W.; validation, G.W. and Z.Z.; formal analysis, G.W.; investigation, G.W., Z.Z., Z.D., W.Z. and M.C.; data curation, G.W. and Z.Z.; writing—original draft preparation, G.W. and Z.Z.; writing—review and editing, Z.Z., B.L. and M.H.; visualization, Z.Z. and W.H.; supervision, B.L.; funding acquisition, B.L. All authors have read and agreed to the published version of the manuscript.

Funding

This research was funded by the National Key Research and Development Program of China, grant number 2021YFD1500705.

Institutional Review Board Statement

Not applicable.

Data Availability Statement

Dataset available on request from the authors.

Conflicts of Interest

The authors declare no conflicts of interest.

References

  1. Six, J.; Bossuyt, H.; Degryze, S.; Denef, K. A history of research on the link between (micro)aggregates, soil biota, and soil organic matter dynamics. Soil Tillage Res. 2004, 79, 7–31. [Google Scholar] [CrossRef]
  2. Morris, E.K.; Morris, D.J.P.; Voget, S.; Gleber, S.C.; Bigalke, M.; Wilcke, W.; Rillig, M.C. Visualizing the dynamics of soil aggregation as affected by arbuscular mycorrhizal fungi. Isme J. 2019, 13, 1639–1646. [Google Scholar] [CrossRef] [PubMed]
  3. Rabot, E.; Wiesmeier, M.; Schlüter, S.; Vogel, H.J. Soil structure as an indicator of soil functions: A review. Geoderma 2018, 314, 122–137. [Google Scholar] [CrossRef]
  4. Puchner, H. Aggregate analysis as a means for determining soil structure. Mitteilungen Der Dtsch. Landwirtsch. Ges. 1911, 26, 38–40. [Google Scholar]
  5. Yoder, R.E. A Direct Method of Aggregate Analysis of Soils and a Study of the Physical Nature of Erosion Losses 1. Agron. J. 1936, 28, 337–351. [Google Scholar] [CrossRef]
  6. Schutter, M.E.; Dick, R.P. Microbial community profiles and activities among aggregates of winter fallow and cover-cropped soil. Soil Sci. Soc. Am. J. 2002, 66, 142–153. [Google Scholar]
  7. Yu, W.; Wei, X.; Zhao, H.; He, Y.; He, X.; Wu, X. Changes of Soil Aggregates and Nutrient Factors in Alpine Grassland and Alpine Meadow of Qinghai Tibet Plateau. J. Soil Water Conserv. 2020, 34, 301–308. [Google Scholar]
  8. Hu, C.; He, Y.; Cui, H.; Huang, J.; Tang, W.; Ma, G.; Lei, J.; Rong, D. Effects of four typical plantations on the distribution and stability of soil aggregates in Shennongjia. J. Cent. South Univ. For. Technol. 2020, 40, 125–133. [Google Scholar]
  9. Xie, X.; Zhang, J. Soil Aggregates and Fractal Features Under Different Styles of Eucalyptus grandis Plantations. J. Soil Water Conserv. 2012, 26, 175–179. [Google Scholar]
  10. Qi, Y.; Wang, Y.; Liu, J.; Yu, X.; Zhou, C. Comparative study on composition of soil aggregates with different land use patterns and several kinds of soil aggregate stability index. Trans. Chin. Soc. Agric. Eng. 2011, 27, 340–347. [Google Scholar]
  11. Han, X.; Li, N. Research Progress of Black Soil in Northeast China. Sci. Geogr. Sin. 2018, 38, 1032–1041. [Google Scholar]
  12. Pan, X. The harm of soil and water loss and the countermeasures of soil and water conservation. Hydroelectr. Sci. Technol. 2023, 6, 76–78. [Google Scholar]
  13. Wang, J.; Li, Z. Research progress on water erosion in the black soil region of northeast China. J. Agric. Resour. Environ. 2018, 35, 389–397. [Google Scholar]
  14. Wang, Y.; ZHou, B. The development of terraced fields in Gansu and its role in agricultural development. Soil Water Conserv. China 1996, 17, 31–32. [Google Scholar]
  15. Zuo, C.; Li, X. Study on soil and water conservation effect of slope conversion in red soil hilly area. Bull. Soil Water Conserv. 2004, 24, 79–81. [Google Scholar]
  16. Wang, W.; Wang, B.; Gu, W.; Chen, Z.; Jiang, Y. Effect of Freeze-Thaw Cycles on Soil Aggregate Stability and Microstructure of Black Soil. J. Soil Water Conserv. 2022, 36, 66–73. [Google Scholar]
  17. Peng, J.; Wang, J.G.; Yang, Q.S.; Long, L.; Li, H.Y.; Guo, Z.L.; Cai, C.F. Spatial variation in soil aggregate stability and erodibility at different slope positions in four hilly regions of northeast China. Catena 2024, 235, 107660. [Google Scholar] [CrossRef]
  18. Wang, L.X.; Guo, M.M.; Chen, Z.X.; Zhang, X.Y.; Zhou, P.C.; Liu, X.; Qi, J.R.; Wan, Z.K.; Xu, J.Z.; Zhang, S.L. Quantifying the contributions of factors influencing the spatial heterogeneity of soil aggregate stability and erodibility in a Mollisol watershed. Catena 2024, 239, 107941. [Google Scholar] [CrossRef]
  19. An, S.; Zheng, F.; Zhang, F.; Van Pelt, S.; Hamer, U.; Makeschin, F. Soil quality degradation processes along a deforestation chronosequence in the Ziwuling area, China. Catena 2008, 75, 248–256. [Google Scholar] [CrossRef]
  20. Zhao, H.; Wei, X.; He, Y.; Yu, W.; Wang, T. Effects of Freeze-Thaw on Soil Aggregate Characteristics and Erodibility Factor K. Res. Soil Water Conserv. 2019, 26, 1–6. [Google Scholar]
  21. Zou, W.; Jiang, B.; Gu, L. Measurement of Soil Moisture Constants. J. China Hydrol. 2015, 35, 62–66. [Google Scholar]
  22. Huixing, L.; Ziqiang, X.; Guanghui, M. Effects of water content variation on soil temperature process and water exchange. J. Hohai Univ. (Nat. Sci. Ed.) 2007, 35, 172–175. [Google Scholar]
  23. Wang, L.; Li, J.; Li, J.; Bai, W. Effects of tillage rotation and fertilization on soil aggregates and organic carbon content in corn field in Weibei Highland. J. Appl. Ecol. 2014, 25, 759–768. [Google Scholar]
  24. Yang, P.; Luo, Y.; Shi, Y. Soil fractal characteristics represented by the weight distribution of particle sizes. Chin. Sci. Bull. 1993, 38, 1896–1899. [Google Scholar]
  25. Zhang, Q.; Yu, E.; Lin, H.; Zhang, A.; Chen, Z.; Zhu, Q.; Cao, W.; Yao, D. Stability and Erodibility of Aggregate Affected by Different Continuous Green Manure Cultivations. Res. Soil Water Conserv. 2019, 26, 9–16. [Google Scholar]
  26. Shirazi, M.A.; Boersma, L. A unifying quantitative analysis of soil texture. Soil Sci. Soc. Am. J. 1984, 48, 142–147. [Google Scholar] [CrossRef]
  27. Zhang, K.; Peng, W.; Yang, H. Soil erodibility and its estimation for agricultural soil in China. Acta Pedol. Sin. 2007, 44, 7–13. [Google Scholar] [CrossRef]
  28. Wei, W.; Chen, D.; Wang, L.X.; Daryanto, S.; Chen, L.D.; Yu, Y.; Lu, Y.L.; Sun, G.; Feng, T.J. Global synthesis of the classifications, distributions, benefits and issues of terracing. Earth-Sci. Rev. 2016, 159, 388–403. [Google Scholar] [CrossRef]
  29. Liu, K.; Wei, M.; Dai, H.; Liu, G.; Jia, S.; Song, Y.; Liang, S. Spatiotemporal Variation of Black Soil Layer Thickness in the Black Soil Region of Northeast China. Geol. Resour. 2022, 31, 434–442. [Google Scholar]
  30. Zheng, Q.; Liu, T.; Zhao, L.; Feng, J.; Wang, H.; Li, C. Spatial Variation and Evolution Mechanism of Clay Mineral Composition in Agric Horizon of Black Soil in Northeast China. Acta Pedol. Sin. 2010, 47, 734–746. [Google Scholar]
  31. Shen, C.; Zhao, L.; Liu, H.; Zhang, Z.; Jiang, Y. A Study on Clay Minerals from Different Parent Material of Black Soil. Acta Mineral. Sin. 2013, 33, 382–388. [Google Scholar]
  32. Ma, R.; Cai, C.; Li, Z.; Wang, J.; Feng, J.; Wu, X.; Zhu, H. Effect of antecedent soil moisture on aggregate stability and splash erosion of krasnozem. Trans. Chin. Soc. Agric. Eng. 2014, 30, 95–103. [Google Scholar]
  33. Muneer, M.; Oades, J. The role of Ca-organic interactions in soil aggregate stability. III. Mechanisms and models. Soil Res. 1989, 27, 411–423. [Google Scholar] [CrossRef]
  34. Zhang, X.F.; Xin, X.L.; Zhu, A.N.; Zhang, J.B.; Yang, W.H. Effects of tillage and residue managements on organic C accumulation and soil aggregation in a sandy loam soil of the North China Plain. Catena 2017, 156, 176–183. [Google Scholar] [CrossRef]
  35. Xue, S.; Liu, G.; Zhang, C.; Fan, L. Effects of terracing slope cropland on soil quality in Hilly Region of Loess Plateau. Trans. Chin. Soc. Agric. Eng. 2011, 27, 310–316. [Google Scholar]
  36. Liu, Z.; Yu, W. Review of researches on soil aggregate and soil organic carbon. Chin. J. Eco-Agric. 2011, 19, 447–455. [Google Scholar] [CrossRef]
  37. Sha, X.; Li, K.; Wang, W.; Lou, Y.; Kang, H.; Feng, L.; Nie, H. Characteristics of soil anti-scouribility in gully head wall of grass-covering on the gullied Loess Plateau, Northwest China. J. Appl. Ecol. 2022, 33, 133–140. [Google Scholar] [CrossRef]
  38. Xia, Z.; Cheng, W.; Zhao, J.; Li, Y.; Fan, M. Effects of Different Planting Patterns on Maize Root System and Soil Aggregate Stability. Ecol. Environ. Sci. 2021, 30, 2331–2338. [Google Scholar]
  39. Le Bissonnais, Y.l. Aggregate stability and assessment of soil crustability and erodibility: I. Theory and methodology. Eur. J. Soil Sci. 1996, 47, 425–437. [Google Scholar] [CrossRef]
  40. Fang, H.; Yang, X.; Zhang, X.; Liang, A.; Shen, Y. Simulation on dynamics of soil organic carbon under the effect of tillage and water erosion. Acta Pedol. Sin. 2006, 43, 730–735. [Google Scholar]
  41. Jin, X.; Zhai, T.; Wang, P.; Song, Y.; Tang, S.; Zheng, T.; Xie, Z. Difference of Slope Erosion Between Loess and Red Soil and Its Relationship with Soil Properties. J. Soil Water Conserv. 2023, 37, 118–123. [Google Scholar]
  42. Zhu, Q.; Liu, J.e.; Zhou, Z. Research on the Spatial Distribution Characteristics and Influencing Factors of Soil Erodibility Factors of the Loess Plateau. J. Soil Water Conserv. 2023, 37, 50–56. [Google Scholar]
  43. Tan, W.; Xu, Y.; Shi, Z.; Cai, P.; Huang, Q. The Formation Process and Stabilization Mechanism of Soil Aggregates Driven by Binding Materials. Acta Pedol. Sin. 2023, 60, 1297–1308. [Google Scholar]
  44. Tan, W.; Zhou, S.; Liu, F.; Feng, X.; Li, X. Advancement in the Study on Interactions between Iron-aluminum (Hydro-) Oxides and Clay Minerals in Soil. Soils 2007, 39, 726–730. [Google Scholar]
  45. Wang, G.B.; Liu, B.H.; Henderson, M.; Zhang, Y.; Zhang, Z.; Chen, M.Y.; Guo, H.X.; Huang, W.W. Effect of Terracing on Soil Moisture of Slope Farmland in Northeast China’s Black Soil Region. Agriculture 2023, 13, 1876. [Google Scholar] [CrossRef]
  46. Aquino, A.J.A.; Tunega, D.; Schaumann, G.E.; Haberhauer, G.; Gerzabek, M.H.; Lischka, H. The Functionality of Cation Bridges for Binding Polar Groups in Soil Aggregates. Int. J. Quantum Chem. 2011, 111, 1531–1542. [Google Scholar] [CrossRef]
  47. Xu, W.; Wei, J.; Li, J.; Bao, Y.; Li, S. Topsoil Erodibility on Purple Soil Sloping Farmlands in Three Gorges Reservoir Area. Bull. Soil Water Conserv. 2019, 39, 7–11. [Google Scholar]
  48. Zhao, Y.; Meng, M.; Zhang, J.; Ma, J.; Liu, S. Study on the composition and stability of soil aggregates of the main forest stands in Fengyang Mountain, Zhejiang Province. J. Nanjing For. Univ. (Nat. Sci. Ed.) 2018, 42, 84–90. [Google Scholar]
Figure 1. Overview of the study site and soil sampling points on the slope.
Figure 1. Overview of the study site and soil sampling points on the slope.
Agriculture 14 01534 g001
Figure 2. Percentage of mass of water-stable aggregates (WSAs) of each grain size of terraced and control fields.
Figure 2. Percentage of mass of water-stable aggregates (WSAs) of each grain size of terraced and control fields.
Agriculture 14 01534 g002
Figure 3. Indicators of soil aggregate stability in terraced and control fields. Different UPPERCASE letters indicate significant differences between different slope types at the same slope position within the same site (p < 0.05), while different lowercase letters indicate significant differences between different slope positions on the same slope type within the same site (p < 0.05).
Figure 3. Indicators of soil aggregate stability in terraced and control fields. Different UPPERCASE letters indicate significant differences between different slope types at the same slope position within the same site (p < 0.05), while different lowercase letters indicate significant differences between different slope positions on the same slope type within the same site (p < 0.05).
Agriculture 14 01534 g003
Figure 4. Changes in soil erodibility of terraced and control fields. Different UPPERCASE letters indicate significant differences between different slope types at the same slope position within the same site (p < 0.05), Different lowercase letters indicate significant differences between different slope positions on the same slope type within the same site (p < 0.05).
Figure 4. Changes in soil erodibility of terraced and control fields. Different UPPERCASE letters indicate significant differences between different slope types at the same slope position within the same site (p < 0.05), Different lowercase letters indicate significant differences between different slope positions on the same slope type within the same site (p < 0.05).
Agriculture 14 01534 g004
Figure 5. Soil physicochemical properties and agglomerate stability and erodibility relationship based on RDA method. BD: bulk density; PAD: the percentage of aggregate disruption, MWD: mean weight diameter, GMD: geometric mean diameter, K: soil erodibility K value, D: fractal dimension, SOM: soil organic matter. FC: field capacity; CWC: capillary water capacity; WSA: the >0.25 mm water-stable aggregate content.
Figure 5. Soil physicochemical properties and agglomerate stability and erodibility relationship based on RDA method. BD: bulk density; PAD: the percentage of aggregate disruption, MWD: mean weight diameter, GMD: geometric mean diameter, K: soil erodibility K value, D: fractal dimension, SOM: soil organic matter. FC: field capacity; CWC: capillary water capacity; WSA: the >0.25 mm water-stable aggregate content.
Agriculture 14 01534 g005
Table 1. Elevations of measurement points and slopes of terraced and control fields.
Table 1. Elevations of measurement points and slopes of terraced and control fields.
SiteSlope
Position
Terraced PlotsControl Plots
Minimum
Elevation (m)
Maximum
Elevation (m)
Average Slope (%) from Upper to Lower Minimum
Elevation (m)
Maximum
Elevation (m)
Average Slope (%) from Upper to Lower
Dongliao
County
upper334.26334.5610.3334.65335.2610.6
middle329.65330.26329.54329.65
lower325.98326.26325.11325.65
Bin
County
upper293.75294.1210.2293.98294.4510.3
middle290.56290.88290.32290.65
lower286.01286.98286.32286.54
Keshan
County
upper305.65306.889.6306.95307.6510.1
middle299.58300.22300.56301.25
lower293.65294.87293.11293.35
Table 2. The physicochemical properties of soils in terraced fields and control fields.
Table 2. The physicochemical properties of soils in terraced fields and control fields.
SiteSlope
Type
Slope
Position
BD
(g·cm−3)
Porosity
(%)
CWC (%)Clay
(%)
Silt
(%)
Sand
(%)
SOM
(g·Kg−1)
FC
(%)
Dongliao CountyTerraceUpper1.45 ± 0.06 Aa39.37 ± 1.23 Aa23.04 ± 1.65 Aa17.07 ± 0.76 Aa31.67 ± 2.12 Aa51.26 ± 5.11 Aa15.13 ± 1.12 Aa21.38 ± 2.21 Aa
Middle1.48 ± 0.08 Aa40.80 ± 1.35 Aa22.68 ± 2.36 Aa16.57 ± 1.23 Aa31.17 ± 1.65 Aa52.26 ± 4.16 Ba13.85 ± 1.65 Aa21.50 ± 2.73 Aa
Lower1.49 ± 0.05 Aa41.15 ± 0.98 Aa22.33 ± 5.32 Aa16.55 ± 3.26 Aa30.69 ± 3.11 Aa52.76 ± 4.62 Ba14.37 ± 2.37 ABa20.33 ± 1.91 Aa
ControlUpper1.46 ± 0.06 Ab39.71 ± 3.12 Aa19.42 ± 2.36 Aa18.27 ± 2.65 Aa31.92 ± 3.12 Aa49.81 ± 3.65 Ab9.61 ± 1.63 Bb18.88 ± 1.77 Ba
Middle1.51 ± 0.03 Aa39.09 ± 1.36 Aa19.45 ± 3.64 Aa16.78 ± 3.56 Aa25.92 ± 1.32 Bb57.30 ± 4.18 Aa6.95 ± 0.98 Bc18.60± 2.11 Ba
Lower1.52 ± 0.04 Aa38.22 ± 1.68 Ba18.92 ± 1.64 Aa14.27 ± 2.41 Bb27.90 ± 1.26 Bb57.83 ± 5.37 Aa12.77 ± 2.64 Aa17.81 ± 0.88 Ba
Bin CountyTerraceUpper1.30 ± 0.05 Aa47.56 ± 1.36 Aa30.18 ± 5.11 Ab21.85 ± 2.61 Aa30.90 ± 6.34 Aa47.25 ± 2.31 Ab21.91 ± 1.98 Ab22.79 ± 3.10 Ab
Middle1.33 ± 0.03 Aa44.95 ± 3.32 Ab31.19 ± 3.11 Ab20.33 ± 5.11 Aa26.41 ± 2.15 Bb53.26 ± 1.36 Aa24.79 ± 3.45 Ab24.04 ± 1.92 Aa
Lower1.35 ± 0.08 Aa44.93 ± 0.65 Ab34.21 ± 3.65 Aa20.28 ± 3.11 Aa27.89 ±3.65 Aab51.83 ± 1.65 Ba31.20 ± 2.68 Aa25.32 ± 1.71 Aa
ControlUpper1.35 ± 0.11 Aa46.15 ± 3.26 Aa30.33 ± 1.34 Aa21.80 ± 6.18 Aa28.55 ± 5.31 Aa49.65 ± 1.22 Ab18.24 ± 3.62 Aa22.32 ± 2.11 Aa
Middle1.38 ± 0.06 Aa43.98 ± 2.12 Ab30.99 ± 5.21 Aa17.33 ± 2.35 Bb29.06 ± 1.65 Aa53.61 ± 3.21 Aa16.44 ± 1.35 Bb23.71 ± 2.03 Aa
Lower1.39 ± 0.05 Aa43.18 ± 3.68 Ab28.12 ± 2.32 Ba17.80 ± 1.65 Bb28.07 ± 2.11 Aa54.13 ± 4.11 Aa12.92 ± 0.96 Bc20.90 ± 1.19 Bb
Keshan
County
TerraceUpper1.12 ± 0.06 Aa53.16 ± 3.11 Aa38.50 ± 3.81 Aa35.41 ± 0.62 Aa40.96 ± 1.35 Ab23.63 ± 6.15 Aa27.65 ± 3.68 Ac29.42 ± 3.42 Aa
Middle1.14 ± 0.13 Aa51.97 ± 1.65 Aab38.03 ± 2.63 Aa34.72 ± 1.32 Aa43.43 ± 1.02 Aa21.85 ± 5.38 Ba34.84 ± 1.98 Ab27.92 ± 3.12 Ab
Lower1.15 ± 0.05 Aa48.15 ± 1.23 Ab36.33 ± 4.22 Aa34.94 ± 1.64 Aa42.93 ± 5.32 Aab23.13 ± 2.16 Ba41.74 ±2.92 Aa27.00 ± 1.22 Ab
ControlUpper1.12 ± 0.11 Aa51.61 ± 1.65 Ba38.58 ± 1.35 Aa36.45 ± 5.62 Aa37.88 ± 6.11 Bb25.67 ± 2.64 Ab21.21 ± 4.67 Bb28.59 ± 2.91 Aa
Middle1.17 ± 0.11 Aa50.10 ± 0.39 Aa37.92 ± 3.26 Aab33.51 ± 3.21 Ab40.85 ± 2.16 Ba25.64 ± 3.68 Ab18.70 ± 3.61 Bb26.13 ± 3.01 Ab
Lower1.18 ± 0.08 Aa48.14 ± 2.11 Ab35.45 ± 3.15 Ab31.14 ± 2.63 Bb40.72 ± 1.03 Aa28.14 ± 5.16 Aa24.99 ± 5.39 Ba27.95 ± 2.19 Aab
Different UPPERCASE letters indicate significant differences between different slope types at the same slope position within the same site (p < 0.05). Different lowercase letters indicate significant differences between different slope positions on the same slope type within the same site (p < 0.05).
Table 3. Pearson’s correlation analysis of soil aggregate particle size with the stability and erodibility of aggregates.
Table 3. Pearson’s correlation analysis of soil aggregate particle size with the stability and erodibility of aggregates.
IndexContent of WSA at Various Particle SizesWSA>0.25PADMWDGMDKDSOM
>5.002–51–20.5–10.25–0.5<0.25
WSA > 0.250.923 **0.2800.598 **0.859 **0.826 **−0.901 **1
PAD−0.767 **−0.303−0.599 **−0.859 **−0.787 **0.977 **−0.802 **1
MWD0.967 **0.587 *0.647 **0.597 **0.543 *−0.899 **0.898 **−0.872 **1
GMD0.984 **0.4270.643 **0.716 **0.693 **−0.962 **0.961 **−0.935 **0.977 **1
K−0.922 **−0.557 *−0.654 **−0.721 **−0.604 **0.942 **−0.943 **0.929 **−0.970 **−0.963 **1
D−0.963 **−0.303−0.603 **−0.795 **−0.785 **0.981 **−0.980 **0.958 **−0.929 **−0.983 **0.933 **1
SOM0.854 **0.3830.561 *0.4240.546 *−0.460 **0.759 **−0.704 **0.836 **0.823 **−0.788 **−0.802 **1
* Indicates p < 0.05, ** indicates p < 0.01. WSA>0.25: the >0.25 mm water-stable aggregate content, PAD: the percentage of aggregate disruption, MWD: mean weight diameter, GMD: geometric mean diameter, K: soil erodibility K value, D: Fractal dimension, SOM: soil organic matter.
Table 4. δ-values of soil aggregate stability and erosion resistance indicators of terraced farmlands compared with control fields.
Table 4. δ-values of soil aggregate stability and erosion resistance indicators of terraced farmlands compared with control fields.
SiteWSA>0.25MWDGMDPADDK
Dongliao county1.1221.3281.2540.7760.9840.809
Bin county1.1131.2361.2070.8590.9860.837
Keshan county1.0671.2801.2380.8300.9680.814
Disclaimer/Publisher’s Note: The statements, opinions and data contained in all publications are solely those of the individual author(s) and contributor(s) and not of MDPI and/or the editor(s). MDPI and/or the editor(s) disclaim responsibility for any injury to people or property resulting from any ideas, methods, instructions or products referred to in the content.

Share and Cite

MDPI and ACS Style

Wang, G.; Zhang, Z.; Henderson, M.; Chen, M.; Dou, Z.; Zhou, W.; Huang, W.; Liu, B. Effects of Terracing on Soil Aggregate Stability and Erodibility in Sloped Farmland in Black Soil (Mollisols) Region of China. Agriculture 2024, 14, 1534. https://doi.org/10.3390/agriculture14091534

AMA Style

Wang G, Zhang Z, Henderson M, Chen M, Dou Z, Zhou W, Huang W, Liu B. Effects of Terracing on Soil Aggregate Stability and Erodibility in Sloped Farmland in Black Soil (Mollisols) Region of China. Agriculture. 2024; 14(9):1534. https://doi.org/10.3390/agriculture14091534

Chicago/Turabian Style

Wang, Guibin, Zhi Zhang, Mark Henderson, Mingyang Chen, Zeyu Dou, Wanying Zhou, Weiwei Huang, and Binhui Liu. 2024. "Effects of Terracing on Soil Aggregate Stability and Erodibility in Sloped Farmland in Black Soil (Mollisols) Region of China" Agriculture 14, no. 9: 1534. https://doi.org/10.3390/agriculture14091534

APA Style

Wang, G., Zhang, Z., Henderson, M., Chen, M., Dou, Z., Zhou, W., Huang, W., & Liu, B. (2024). Effects of Terracing on Soil Aggregate Stability and Erodibility in Sloped Farmland in Black Soil (Mollisols) Region of China. Agriculture, 14(9), 1534. https://doi.org/10.3390/agriculture14091534

Note that from the first issue of 2016, this journal uses article numbers instead of page numbers. See further details here.

Article Metrics

Back to TopTop