Effect of Radio Frequency Vacuum Drying on Drying Characteristics and Physicochemical Quality of Codonopsis pilosula Slices
Abstract
1. Introduction
2. Materials and Methods
2.1. Experimental Materials
2.2. Instrument and Equipment
2.3. Experimental Methods
2.4. Drying Characteristics
2.4.1. Dry Basis Moisture Content
2.4.2. Moisture Ratio
2.4.3. Drying Rate
2.4.4. Effective Moisture Diffusion Coefficient
2.4.5. Drying Kinetic Model
2.5. Quality Attributes
2.5.1. Color Values
2.5.2. Rehydration Ratio (RR)
2.5.3. Shrinkage Rate (SR)
2.5.4. Lobetyolin and Syringin
2.5.5. Polysaccharide Content (PC)
2.5.6. Total Phenolic Content (TPC)
2.5.7. Total Flavonoid Content (TFC)
2.5.8. Antioxidant Properties (AP)
2.5.9. Microstructure
2.6. Statistical Analysis
3. Results and Discussion
3.1. Effect of Different Drying Conditions on the RFVD Characteristics of Codonopsis pilosula Slices
3.1.1. Effect of Different Drying Temperatures on Drying Characteristics
3.1.2. Effects of Different Slice Thicknesses on Drying Characteristics
3.1.3. Effects of Different Plate Spacing on Drying Characteristics
3.1.4. Effects of Different Vacuum Degrees on Drying Characteristics
3.1.5. Effect of Different Drying Conditions on the Effective Moisture Diffusivity (Deff)
3.1.6. Drying Kinetics Model and Validation
3.2. Effect of Different Drying Conditions on Quality Characteristics of Codonopsis pilosula Slices under RFVD
3.2.1. Color
3.2.2. Rehydration Ratio (RR) and Shrinkage Ratio (SR)
3.2.3. Effect of Different Drying Conditions on the Content of Lobetyolin and Syringin
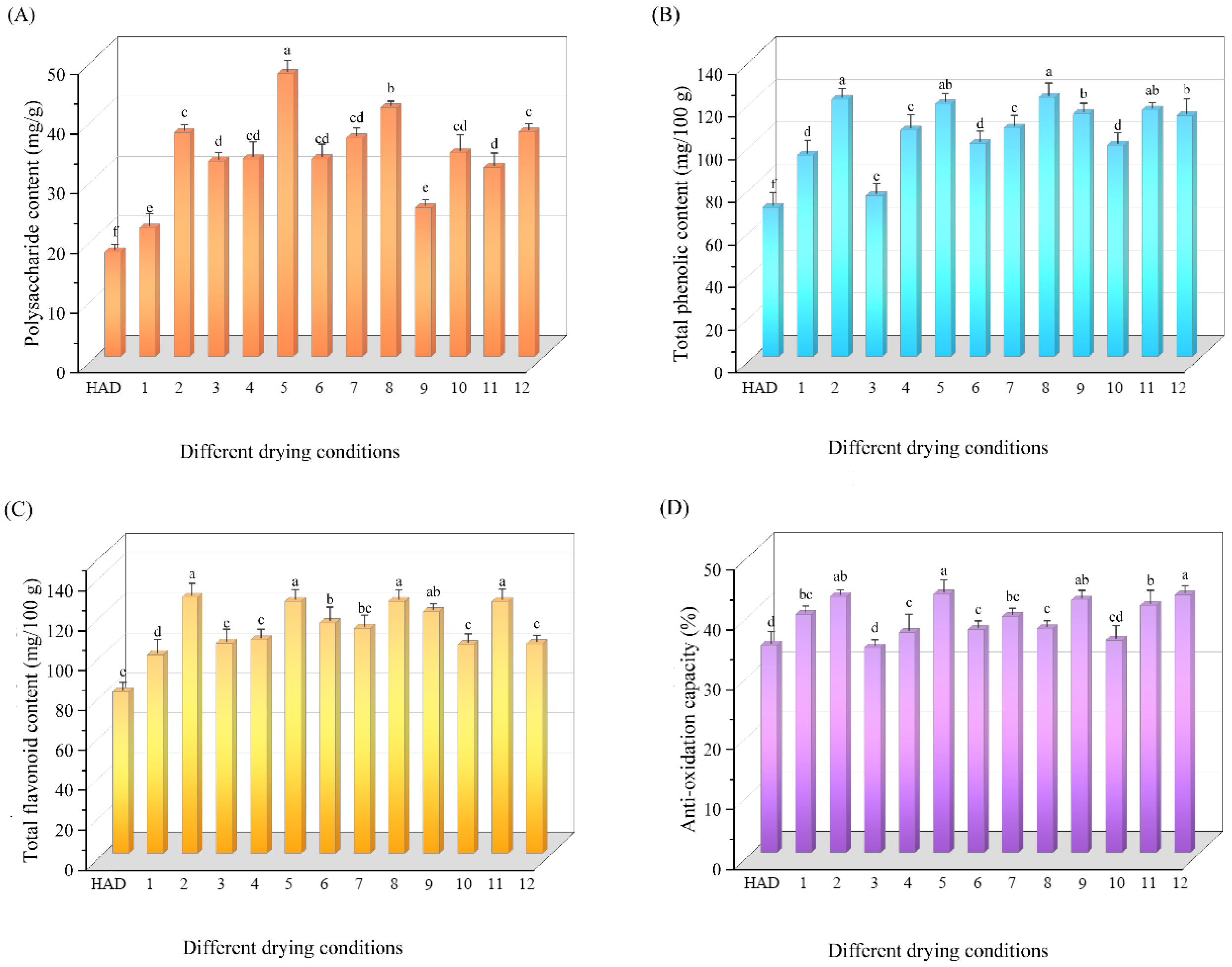
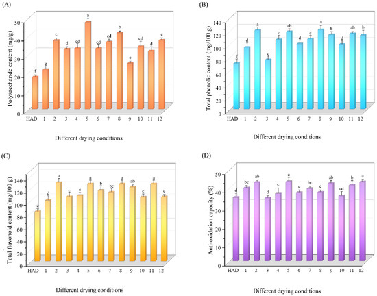
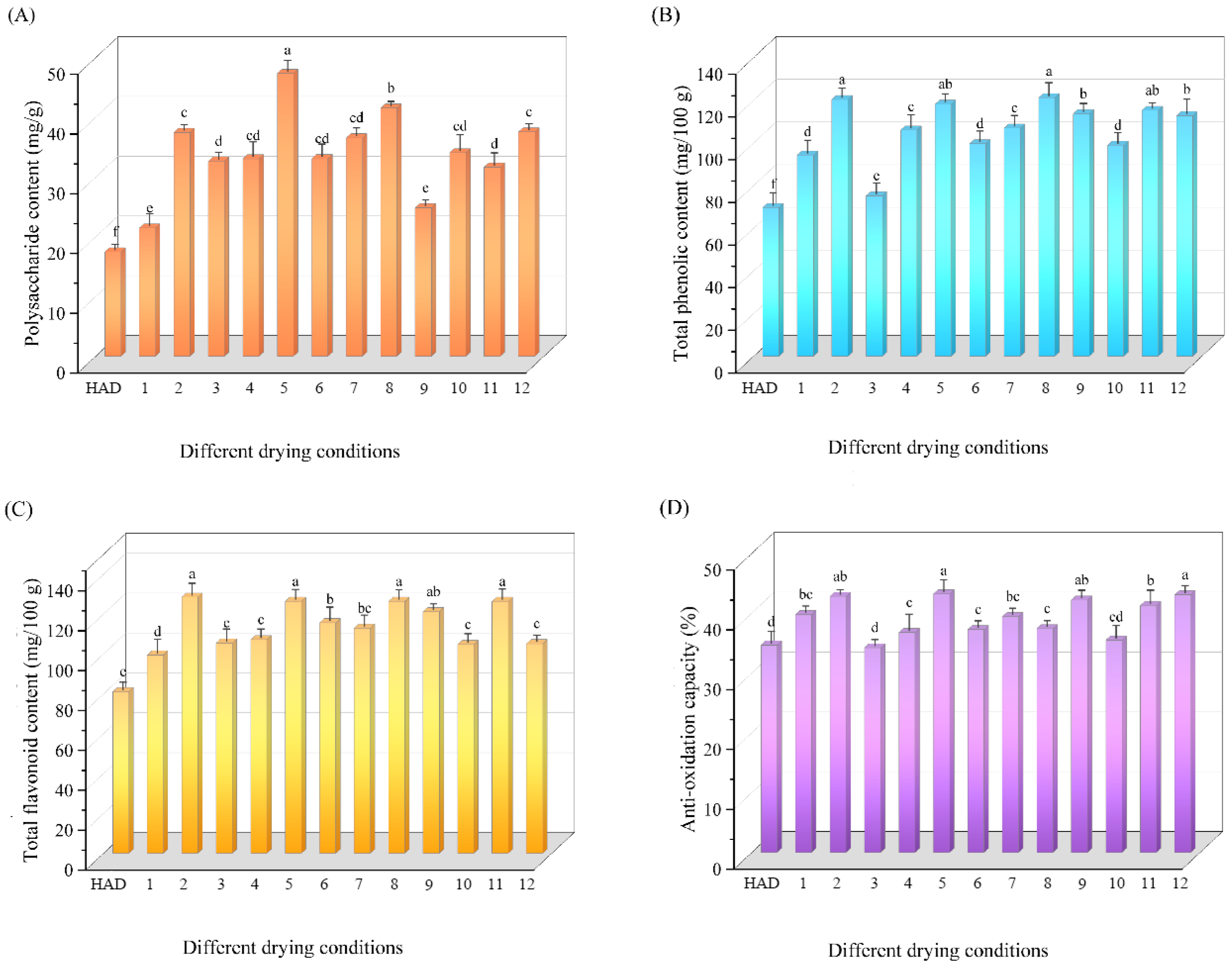
3.2.4. Effects of Different Drying Conditions on Polysaccharide Content (PC)
3.2.5. Effects of Different Drying Conditions on Total Phenolic Content (TPC)
3.2.6. Effects of Different Drying Conditions on Total Flavonoid Content (TFC)
3.2.7. Effects of Different Drying Conditions on Antioxidant Properties (AP)
3.2.8. Microstructure
4. Conclusions
Author Contributions
Funding
Institutional Review Board Statement
Data Availability Statement
Conflicts of Interest
References
- National Pharmacopoeia Commission. Chinese Pharmacopoeia, Volume I; China Pharmaceutical Science and Technology Press: Beijing, China, 2020. [Google Scholar]
- Liu, M.; Zhang, G.; Zhou, K.; Wen, J.; Zheng, F.; Sun, L.; Ren, X. Structural characterization, antioxidant activity, and the effects of Codonopsis pilosula polysaccharides on the solubility and stability of flavonoids. J. Pharm. Biomed. Anal. 2023, 229, 115368. [Google Scholar] [CrossRef]
- Luan, F.; Ji, Y.; Peng, L.; Liu, Q.; Cao, H.; Yang, Y.; He, X.; Zeng, N. Extraction, purification, structural characteristics and biological properties of the polysaccharides from Codonopsis pilosula: A review. Carbohydr. Polym. 2021, 261, 117863. [Google Scholar] [CrossRef] [PubMed]
- Kahraman, O.; Malvandi, A.M.; Vargas, L.; Feng, H. Drying characteristics and quality attributes of apple slices dried by a non-thermal ultrasonic contact drying method. Ultrason. Sonochem. 2021, 73, 105510. [Google Scholar] [CrossRef] [PubMed]
- Geng, X.; Zheng, G.S.; Qiang, Z.; Wei, X.; Li, H.; Wang, M.; Chen, Y. Research progress on drying and processing of Radix Codonopsis pilosulae. Chin. Contemp. Med 2020, 5, 23–26. [Google Scholar]
- Yuan, M.; Yan, Z.; Liu, Y.; Chen, D.; Yang, Z.; He, L.; Zhang, Z. Chemical profiles, antioxidant activity and acute toxicity of raw and sulfur-fumigated Smilacis Glabrae Rhizoma. J. Ethnopharmacol. 2019, 234, 76–84. [Google Scholar] [CrossRef]
- Zang, Z.; Huang, X.; He, C.; Zhang, Q.; Jiang, C.; Wan, F. Improving Drying Characteristics and Physicochemical Quality of Angelica sinensis by Novel Tray Rotation Microwave Vacuum Drying. Foods 2023, 12, 1202. [Google Scholar] [CrossRef]
- Xu, Y.; Zang, Z.; Zhang, Q.; Wang, T.; Shang, J.; Huang, X.; Wan, F. Characteristics and Quality Analysis of Radio Frequency-Hot Air Combined Segmented Drying of Wolfberry (Lycium barbarum). Foods 2022, 11, 1645. [Google Scholar] [CrossRef]
- Mahmood, N.; Liu, Y.; Munir, Z.; Zhang, Y.; Niazi, B.M. Effects of hot air assisted radio frequency drying on heating uniformity, drying characteristics and quality of paddy. LWT 2022, 158, 113131. [Google Scholar] [CrossRef]
- Yue, Y.; Zang, Z.; Wan, F.; Zhang, Q.; Shang, J.; Xu, Y.; Jiang, C.; Wang, T.; Huang, X. Effect of Ultrasonic Pretreatment on Radio Frequency Vacuum Drying Characteristics and Quality of Codonopsis pilosula Slices. Agriculture 2023, 13, 72. [Google Scholar] [CrossRef]
- Guo, X.; Hao, Q.; Qiao, X.; Li, M.; Qiu, Z.; Zheng, Z.; Zhang, B. An evaluation of different pretreatment methods of hot-air drying of garlic:drying characteristics, energy consumption and quality properties. LWT 2023, 180, 114685. [Google Scholar] [CrossRef]
- Jiang, C.; Wan, F.; Zang, Z.; Zhang, Q.; Ma, G.; Huang, X. Effect of an Ultrasound Pre-Treatment on the Characteristics and Quality of Far-Infrared Vacuum Drying with Cistanche Slices. Foods 2022, 11, 866. [Google Scholar] [CrossRef] [PubMed]
- Zang, Z.; Wan, F.; Jia, H.; Ma, G.; Xu, Y.; Zhao, Q.; Wu, B.; Lu, H.; Huang, X. Developing Effective Radio Frequency Vacuum Drying Processes for Moutan Cortex: Effect on Moisture Migration, Drying Kinetics, Physicochemical Quality, and Microstructure. Foods 2024, 13, 2294. [Google Scholar] [CrossRef] [PubMed]
- Zhou, X.; Xu, R.; Zhang, B.; Pei, S.; Liu, Q.; Ramaswamy, H.S.; Wang, S. Radio Frequency-Vacuum Drying of Kiwifruits: Kinetics, Uniformity, and Product Quality. Food Bioprocess Technol. 2018, 11, 2094–2109. [Google Scholar] [CrossRef]
- Huang, Z.; Zhu, H.; Yan, R.; Wang, S. Simulation and prediction of radio frequency heating in dry soybeans. Biosyst. Eng. 2015, 129, 34–47. [Google Scholar] [CrossRef]
- Xie, Y. A Comparative Study of Hot Air and RF-Hot Air Combined Drying of Maize Seeds. Master’s Thesis, China Agricultural University, Beijing, China, 2017. [Google Scholar]
- Wang, C.; Kou, X.; Zhou, X.; Li, R.; Wang, S. Effects of layer arrangement on heating uniformity and product quality after hot air assisted radio frequency drying of carrot. Innov. Food Sci. Emerg. Technol. 2021, 69, 102667. [Google Scholar] [CrossRef]
- Gou, M.; Gu, Y.; Li, W.; Zheng, J.; Jiang, H. Physicochemical characteristics, antioxidant capacity and thermodynamic properties of purple-fleshed potatos dried by radio frequency energy. Dry. Technol. 2019, 38, 1300–1312. [Google Scholar] [CrossRef]
- William, H. Official Methods of Analysis of the Association of Official Analytical Chemists, 13th ed.; The Association of Official Analytical Chemists: Rockville, MD, USA, 1980. [Google Scholar]
- Chao, E.; Tian, J.; Fan, L.; Zhang, T. Drying methods influence the physicochemical and functional properties of seed-used pumpkin. Food Chem. 2021, 369, 130937. [Google Scholar] [CrossRef]
- Zang, Z.; Huang, X.; Ma, G.; Zhang, Q.; Jiang, C.; Wan, F. Evaluation of drying characteristics and physicochemical properties of Angelicae Sinensis Radix under different drying methods based on combination entropy weight and variable coefficient method. Chin. Tradit. Herb. Drugs 2022, 53, 7403–7413. [Google Scholar]
- DuBois, M.; Gilles, K.A.; Hamilton, J.K.; Rebers, P.T.; Smith, F. Colorimetric Method for Determination of Sugars and Related Substances. Anal. Chem. 1956, 28, 350–356. [Google Scholar] [CrossRef]
- Beato, V.M.; Orgaz, F.; Mansilla, F.; Montaño, A. Changes in Phenolic Compounds in Garlic (Allium sativum L.) Owing to the Cultivar and Location of Growth. Plant Foods Hum. Nutr. 2011, 66, 218–223. [Google Scholar] [CrossRef]
- Lay, M.M.; Karsani, S.A.; Mohajer, S.; Abd Malek, S.N. Phytochemical constituents, nutritional values, phenolics, flavonols, flavonoids, antioxidant and cytotoxicity studies on Phaleria macrocarpa (Scheff.) Boerl fruits. BMC Complement. Altern. Med. 2014, 14, 152. [Google Scholar] [CrossRef] [PubMed]
- Nencini, C.; Menchiari, A.; Franchi, G.G.; Micheli, L. In vitro Antioxidant Activity of Aged Extracts of some Italian Allium Species. Plant Foods Hum. Nutr. 2011, 66, 11–16. [Google Scholar] [CrossRef] [PubMed]
- Shi, X.; Yang, Y.; Li, Z.; Wang, X.; Liu, Y. Moisture transfer and microstructure change of banana slices during contact ultrasound strengthened far-infrared radiation drying. Innov. Food Sci. Emerg. Technol. 2020, 66, 102537. [Google Scholar] [CrossRef]
- García-Moreira, D.P.; Hernández-Guzmán, H.; Pacheco, N.; Cuevas-Bernardino, J.C.; Herrera-Pool, E.; Moreno, I.; López-Vidaña, E.C. Solar and Convective Drying: Modeling, Color, Texture, Total Phenolic Content, and Antioxidant Activity of Peach (Prunus persica (L.) Batsch) Slices. Processes 2023, 11, 1280. [Google Scholar] [CrossRef]
- Jiang, H.; Gu, Y.; Gou, M.; Xia, T.; Wang, S. Radio frequency pasteurization and disinfestation techniques applied on low-moisture foods. Crit. Rev. Food Sci. Nutr. 2020, 60, 1417–1430. [Google Scholar] [CrossRef]
- Huang, D.; Yang, P.; Tang, X.; Luo, L.; Sundén, B. Application of infrared radiation in the drying of food products. Trends Food Sci. Technol. 2021, 110, 765–777. [Google Scholar] [CrossRef]
- Zhou, X. Developing Radio Frequency-Vacuum and Combined Dehydration with Hot Air Drying for Kiwifruit Slices. Master’s Thesis, Northwest A&F University, Xi’an, China, 2017. [Google Scholar]
- An, N.; Sun, W.; Li, B.; Wang, Y.; Shang, N.; Lv, W.; Li, D.; Wang, L. Effect of different drying techniques on drying kinetics, nutritional components, antioxidant capacity, physical properties and microstructure of edamame. Food Chem. 2021, 373 Pt B, 131412. [Google Scholar] [CrossRef]
- Deng, Y.; Tang, Q.; Zhang, R.; Zang, Y.; Wei, Z.; Liu, L.; Ma, Y.; Zhang, M. Effects of Different Drying Methods on the Nutrition and Physical Properties of Momordica charantia. Sci. Agric. Sin. 2017, 50, 362–371. [Google Scholar]
- Huang, Z. Finite Element Simulation And Uniformity Optimization for Radio Frequency Heating Process of Soybeans. Master’s Thesis, Northwest A&F University, Xi’an, China, 2018. [Google Scholar]
- Zang, Z. Study on Radio Frequency Vacuum Drying Characteristics and Heat and Mass Transfer Mechanism of Codonopsis Slices. Master’s Thesis, Gansu Agricultural University, Lanzhou, China, 2023. [Google Scholar]
- Feng, L.; Xu, Y.; Xiao, Y.; Song, J.; Li, D.; Zhang, Z.; Liu, C.; Liu, C.; Jiang, N.; Zhang, M.; et al. Effects of pre-drying treatments combined with explosion puffing drying on the physicochemical properties, antioxidant activities and flavor characteristics of apples. Food Chem. 2020, 338, 128015. [Google Scholar] [CrossRef]
- Wu, B.; Guo, X.; Guo, Y.; Ma, H.; Zhou, C. Enhancing jackfruit infrared drying by combining ultrasound treatments: Effect on drying characteristics, quality properties and microstructure. Food Chem. 2021, 358, 129845. [Google Scholar] [CrossRef] [PubMed]
- Yao, L.; Fan, L.; Duan, Z. Effect of different pretreatments followed by hot-air and far-infrared drying on the bioactive compounds, physicochemical property and microstructure of mango slices. Food Chem. 2020, 305, 125477. [Google Scholar] [CrossRef]
- Tang, L. Effect of Drying Methods on Drying Characteristics and Quality of Housui Pear Slices. Master’s Thesis, Tarim University, Aral, China, 2016. [Google Scholar]
- Rózek, A.; García-Pérez, J.V.; López, F.J.; Güell, C.; Ferrando, M. Infusion of grape phenolics into fruits and vegetables by osmotic treatment: Phenolic stability during air drying. J. Food Eng. 2010, 99, 142–150. [Google Scholar] [CrossRef]
- Jiang, C.; Wan, F.; Zang, Z.; Zhang, Q.; Xu, Y.; Huang, X. Influence of far-infrared vacuum drying on drying kinetics and quality characteristics of Cistanche slices. J. Food Process. Preserv. 2022, 46, e17144. [Google Scholar] [CrossRef]
- Jia, D.; He, C.; Ding, L. Study on optimization of microwave vacuum drying process of Angelica sinensis by AHP-entropy weight method combined with BoxBehnken response surface method. J. Chin. Agric. Mech. 2023, 44, 60–68. [Google Scholar]









| Experiments Number | Experiments Condition | |||
|---|---|---|---|---|
| Drying Temperature (°C) | Slice Thickness (mm) | Plate Spacing (mm) | Vacuum Degree (Mpa) | |
| 1 | 50 | 4 | 90 | 0.025 |
| 2 | 55 | 4 | 90 | 0.025 |
| 3 | 60 | 4 | 90 | 0.025 |
| 4 | 55 | 3 | 90 | 0.025 |
| 5 | 55 | 4 | 90 | 0.025 |
| 6 | 55 | 5 | 90 | 0.025 |
| 7 | 55 | 4 | 80 | 0.025 |
| 8 | 55 | 4 | 90 | 0.025 |
| 9 | 55 | 4 | 100 | 0.025 |
| 10 | 55 | 4 | 90 | 0.015 |
| 11 | 55 | 4 | 90 | 0.025 |
| 12 | 55 | 4 | 90 | 0.035 |
| 13 | 55 | 4 | HAD | |
| Drying Model | Model Equation | Model Parameter |
|---|---|---|
| Newton | MR = exp(−kt) | k |
| Midilli | MR = aexp(−ktn) + b | a; k; n; b |
| Weibull | MR = exp[−(k/α)β] | α; β |
| Handerson and Pabis | MR = aexp(−kt) | a; k |
| Logarithmic | MR = aexp(−kt) + b | a; k; b |
| Two-term exponential | MR = aexp(−kt) + (1 − a)exp(−kat) | a; k |
| Experiments Number | Experiments Condition | Deff/(×10−10 m2/s) | |||
|---|---|---|---|---|---|
| Drying Temperature (°C) | Slice Thickness (mm) | Plate Spacing (mm) | Vacuum Degree (Mpa) | ||
| 1 | 50 | 4 | 90 | 0.025 | 3.6233 |
| 2 | 55 | 4 | 90 | 0.025 | 4.2633 |
| 3 | 60 | 4 | 90 | 0.025 | 5.5638 |
| 4 | 55 | 3 | 90 | 0.025 | 4.5032 |
| 5 | 55 | 4 | 90 | 0.025 | 4.0028 |
| 6 | 55 | 5 | 90 | 0.025 | 3.6025 |
| 7 | 55 | 4 | 80 | 0.025 | 4.0028 |
| 8 | 55 | 4 | 90 | 0.025 | 4.5032 |
| 9 | 55 | 4 | 100 | 0.025 | 3.7268 |
| 10 | 55 | 4 | 90 | 0.015 | 3.6024 |
| 11 | 55 | 4 | 90 | 0.025 | 3.7599 |
| 12 | 55 | 4 | 90 | 0.035 | 4.1568 |
| 13 | 55 | 4 | HAD | 3.0021 | |
| Experiments Condition | Newton | Midilli | ||||
|---|---|---|---|---|---|---|
| R2 | RMSE | SSE | R2 | RMSE | SSE | |
| 50 °C/4 mm/90 mm/0.025 MPa | 0.9548 | 0.0029 | 2.16 × 10−4 | 0.9964 | 0.0026 | 3.78 × 10−4 |
| 55 °C/4 mm/90 mm/0.025 MPa | 0.9468 | 0.0077 | 3.79 × 10−4 | 0.9991 | 0.0048 | 5.64 × 10−4 |
| 60 °C/4 mm/90 mm/0.025 MPa | 0.9579 | 0.0033 | 4.28 × 10−4 | 0.9979 | 0.0037 | 4.33 × 10−4 |
| 55 °C/3 mm/90 mm/0.025 MPa | 0.9507 | 0.0044 | 4.49 × 10−4 | 0.9968 | 0.0029 | 3.21 × 10−4 |
| 55 °C/4 mm/90 mm/0.025 MPa | 0.9365 | 0.0058 | 4.32 × 10−4 | 0.9947 | 0.0060 | 5.49 × 10−4 |
| 55 °C/5 mm/90 mm/0.025 MPa | 0.9476 | 0.0049 | 3.88 × 10−4 | 0.9957 | 0.0054 | 4.49 × 10−4 |
| 55 °C/4 mm/80 mm/0.025 MPa | 0.9552 | 0.0069 | 5.54 × 10−4 | 0.9948 | 0.0058 | 5.83 × 10−4 |
| 55 °C/4 mm/90 mm/0.025 MPa | 0.9446 | 0.0059 | 4.82 × 10−4 | 0.9949 | 0.0061 | 5.57 × 10−4 |
| 55 °C/4 mm/100 mm/0.025 MPa | 0.9527 | 0.0052 | 3.92 × 10−4 | 0.9961 | 0.0049 | 4.08 × 10−4 |
| 55 °C/4 mm/90 mm/0.015 MPa | 0.9597 | 0.0038 | 3.00 × 10−4 | 0.9991 | 0.0010 | 8.29 × 10−4 |
| 55 °C/4 mm/90 mm/0.025 MPa | 0.9374 | 0.0064 | 4.67 × 10−4 | 0.9987 | 0.0034 | 6.21 × 10−4 |
| 55 °C/4 mm/90 mm/0.035 MPa | 0.9466 | 0.0054 | 4.86 × 10−4 | 0.9969 | 0.0028 | 3.16 × 10−4 |
| Experiments condition | Weibull | Handerson and Pabis | ||||
| R2 | RMSE | SSE | R2 | RMSE | SSE | |
| 50 °C/4 mm/90 mm/0.025 MPa | 0.9959 | 0.0010 | 5.29 × 10−4 | 0.9678 | 0.0031 | 3.89 × 10−4 |
| 55 °C/4 mm/90 mm/0.025 MPa | 0.9989 | 0.0005 | 3.66 × 10−4 | 0.9527 | 0.0029 | 6.44 × 10−4 |
| 60 °C/4 mm/90 mm/0.025 MPa | 0.9943 | 0.0014 | 2.75 × 10−4 | 0.9606 | 0.0033 | 4.59 × 10−4 |
| 55 °C/3 mm/90 mm/0.025 MPa | 0.9948 | 0.0006 | 5.11 × 10−4 | 0.9629 | 0.0037 | 5.67 × 10−4 |
| 55 °C/4 mm/90 mm/0.025 MPa | 0.9946 | 0.0007 | 5.64 × 10−4 | 0.9564 | 0.0046 | 5.34 × 10−4 |
| 55 °C/5 mm/90 mm/0.025 MPa | 0.9956 | 0.0006 | 4.56 × 10−4 | 0.9638 | 0.0038 | 4.71 × 10−4 |
| 55 °C/4 mm/80 mm/0.025 MPa | 0.9936 | 0.0007 | 5.78 × 10−4 | 0.9576 | 0.0048 | 6.80 × 10−4 |
| 55 °C/4 mm/90 mm/0.025 MPa | 0.9948 | 0.0006 | 6.97 × 10−4 | 0.9489 | 0.0056 | 6.01 × 10−4 |
| 55 °C/4 mm/100 mm/0.025 MPa | 0.9958 | 0.0009 | 4.39 × 10−4 | 0.9619 | 0.0040 | 4.79 × 10−4 |
| 55 °C/4 mm/90 mm/0.015 MPa | 0.9977 | 0.0003 | 2.14 × 10−4 | 0.9707 | 0.0028 | 3.61 × 10−4 |
| 55 °C/4 mm/90 mm/0.025 MPa | 0.9932 | 0.0008 | 6.98 × 10−4 | 0.9493 | 0.0052 | 5.89 × 10−4 |
| 55 °C/4 mm/90 mm/0.035 MPa | 0.9950 | 0.0006 | 5.04 × 10−4 | 0.9561 | 0.0045 | 6.12 × 10−4 |
| Experiments condition | Logarithmic | Two-term exponential | ||||
| R2 | RMSE | SSE | R2 | RMSE | SSE | |
| 50 °C/4 mm/90 mm/0.025 MPa | 0.9921 | 0.0021 | 4.27 × 10−4 | 0.9645 | 0.0017 | 0.0029 |
| 55 °C/4 mm/90 mm/0.025 MPa | 0.9923 | 0.0037 | 3.95 × 10−4 | 0.9660 | 0.0039 | 0.0128 |
| 60 °C/4 mm/90 mm/0.025 MPa | 0.9894 | 0.0019 | 5.49 × 10−4 | 0.9801 | 0.0033 | 0.0046 |
| 55 °C/3 mm/90 mm/0.025 MPa | 0.9946 | 0.0005 | 5.39 × 10−4 | 0.9718 | 0.0028 | 0.0280 |
| 55 °C/4 mm/90 mm/0.025 MPa | 0.9868 | 0.0014 | 3.70 × 10−4 | 0.9672 | 0.0034 | 0.0411 |
| 55 °C/5 mm/90 mm/0.025 MPa | 0.9865 | 0.0014 | 4.21 × 10−4 | 0.9737 | 0.0027 | 0.0356 |
| 55 °C/4 mm/80 mm/0.025 MPa | 0.9841 | 0.0018 | 1.79 × 10−4 | 0.9696 | 0.0034 | 0.0374 |
| 55 °C/4 mm/90 mm/0.025 MPa | 0.9883 | 0.0013 | 11.2 × 10−4 | 0.9603 | 0.0043 | 0.0520 |
| 55 °C/4 mm/100 mm/0.025 MPa | 0.9886 | 0.0012 | 1.19 × 10−4 | 0.9869 | 0.0014 | 0.0179 |
| 55 °C/4 mm/90 mm/0.015 MPa | 0.9969 | 0.0003 | 2.92 × 10−4 | 0.9794 | 0.0020 | 0.0254 |
| 55 °C/4 mm/90 mm/0.025 MPa | 0.9905 | 0.0010 | 9.79 × 10−4 | 0.9605 | 0.0041 | 0.0447 |
| 55 °C/4 mm/90 mm/0.035 MPa | 0.9934 | 0.0007 | 6.66 × 10−4 | 0.9668 | 0.0034 | 0.0337 |
| Experiments Condition | L* | a* | b* | ΔE |
|---|---|---|---|---|
| HAD | 64.92 ± 0.49 | 1.81 ± 0.25 | 22.01 ± 2.48 | 17.85 ± 0.59 |
| 50 °C/4 mm/90 mm/0.025 MPa | 64.63 ± 2.26 | 1.76 ± 0.89 | 20.41 ± 2.65 | 10.33 ± 1.21 |
| 55 °C/4 mm/90 mm/0.025 MPa | 71.48 ± 1.15 | 3.42 ± 0.65 | 21.76 ± 2.55 | 12.36 ± 1.33 |
| 60 °C/4 mm/90 mm/0.025 MPa | 79.91 ± 1.29 | 2.49 ± 0.44 | 18.93 ± 2.14 | 8.17 ± 0.45 |
| 55 °C/3 mm/90 mm/0.025 MPa | 74.13 ± 2.01 | 2.40 ± 0.89 | 21.92 ± 1.59 | 10.31 ± 0.62 |
| 55 °C/4 mm/90 mm/0.025 MPa | 74.93 ± 2.55 | 2.62 ± 0.58 | 20.75 ± 0.94 | 8.53 ± 0.42 |
| 55 °C/5 mm/90 mm/0.025 MPa | 69.33 ± 1.29 | 3.87 ± 0.14 | 22.73 ± 2.88 | 14.68 ± 1.22 |
| 55 °C/4 mm/80 mm/0.025 MPa | 76.2 ± 3.89 | 3.04 ± 0.33 | 22.71 ± 3.15 | 9.86 ± 0.59 |
| 55 °C/4 mm/90 mm/0.025 MPa | 77.97 ± 4.48 | 2.86 ± 0.41 | 20.04 ± 2.45 | 6.77 ± 2.08 |
| 55 °C/4 mm/100 mm/0.025 MPa | 72.75 ± 3.27 | 1.28 ± 0.55 | 20.59 ± 3.14 | 10.35 ± 2.01 |
| 55 °C/4 mm/90 mm/0.015 MPa | 69.69 ± 1.29 | 1.77 ± 0.26 | 19.01 ± 2.66 | 12.38 ± 0.89 |
| 55 °C/4 mm/90 mm/0.025 MPa | 71.38 ± 4.89 | 1.51 ± 0.18 | 18.81 ± 0.89 | 6.12 ± 2.11 |
| 55 °C/4 mm/90 mm/0.035 MPa | 76.24 ± 2.11 | 0.82 ± 0.31 | 79.4 ± 2.59 | 6.83 ± 0.94 |
Disclaimer/Publisher’s Note: The statements, opinions and data contained in all publications are solely those of the individual author(s) and contributor(s) and not of MDPI and/or the editor(s). MDPI and/or the editor(s) disclaim responsibility for any injury to people or property resulting from any ideas, methods, instructions or products referred to in the content. |
© 2024 by the authors. Licensee MDPI, Basel, Switzerland. This article is an open access article distributed under the terms and conditions of the Creative Commons Attribution (CC BY) license (https://creativecommons.org/licenses/by/4.0/).
Share and Cite
Ma, W.; Zang, Z.; Wu, B.; Ma, G.; Wan, F.; Xu, Y.; Huang, X. Effect of Radio Frequency Vacuum Drying on Drying Characteristics and Physicochemical Quality of Codonopsis pilosula Slices. Agriculture 2024, 14, 1495. https://doi.org/10.3390/agriculture14091495
Ma W, Zang Z, Wu B, Ma G, Wan F, Xu Y, Huang X. Effect of Radio Frequency Vacuum Drying on Drying Characteristics and Physicochemical Quality of Codonopsis pilosula Slices. Agriculture. 2024; 14(9):1495. https://doi.org/10.3390/agriculture14091495
Chicago/Turabian StyleMa, Wenli, Zepeng Zang, Bowen Wu, Guojun Ma, Fangxin Wan, Yanrui Xu, and Xiaopeng Huang. 2024. "Effect of Radio Frequency Vacuum Drying on Drying Characteristics and Physicochemical Quality of Codonopsis pilosula Slices" Agriculture 14, no. 9: 1495. https://doi.org/10.3390/agriculture14091495
APA StyleMa, W., Zang, Z., Wu, B., Ma, G., Wan, F., Xu, Y., & Huang, X. (2024). Effect of Radio Frequency Vacuum Drying on Drying Characteristics and Physicochemical Quality of Codonopsis pilosula Slices. Agriculture, 14(9), 1495. https://doi.org/10.3390/agriculture14091495

