Next Article in Journal
Research on Silage Corn Forage Quality Grading Based on Hyperspectroscopy
Previous Article in Journal
Enhancing Maize Yield and Nutrient Utilization through Improved Soil Quality under Reduced Fertilizer Use: The Efficacy of Organic–Inorganic Compound Fertilizer
 
 
Font Type:
Arial Georgia Verdana
Font Size:
Aa Aa Aa
Line Spacing:
Column Width:
Background:
Article

Mechanical Inter- and Intra-Row Weed Control for Small-Scale Vegetable Producers

1
Faculty of Mechanical Engineering, University of Ljubljana, Aškerčeva Cesta 6, 1000 Ljubljana, Slovenia
2
Biotechnical Center Naklo, Strahinj 99, 4202 Naklo, Slovenia
*
Author to whom correspondence should be addressed.
Agriculture 2024, 14(9), 1483; https://doi.org/10.3390/agriculture14091483
Submission received: 11 July 2024 / Revised: 19 August 2024 / Accepted: 20 August 2024 / Published: 1 September 2024
(This article belongs to the Section Agricultural Technology)

Abstract

Small-scale vegetable producers often do not have modern mechanical equipment; as a result, a significant amount of inter-row and all intra-row weeding is performed manually. The development of small, affordable machines increases the competitiveness of organic vegetable production, improves sustainable land use, and reduces dependence on unwanted herbicides. In this study, a simple modular lightweight e-hoe with the capability for both inter-row (1st degree of freedom) and intra-row (2nd degree of freedom) weeding was proposed. The e-hoe uses battery-powered in-wheel drives to move the platform (3rd degree of freedom) and additional drives to operate the tools. The e-hoe was evaluated in a small greenhouse using three different tools: a traditional hoe, an adjusted rounded hoe, and an adjusted spring tine narrow hoe. The experiments were conducted at four different tool rotation speeds, using specially designed 3D-printed models for crops and weeds for evaluation. The results indicate that the efficiency of the e-hoe rates up to 95% when the right tool design and rotation speed are combined. Based on the battery capacity, the machine can be operated for approximately 3.7 h, enabling the weeding of about 3050 plants.

1. Introduction

One of the goals of the EU Green Deal, through the Farm to Fork initiative, is to reduce the use and risk of chemical and hazardous pesticides by 50% by the year 2030 [1]. Weed management is crucial for agricultural production as well as landscape and environmental management. Integrated weed management typically combines chemical, mechanical, and crop management methods [2]. According to a comprehensive review of weed management strategies [1], these can be categorized into five distinct pillars. To address the challenges of increasing herbicide resistance and stringent chemical restrictions, while also meeting the needs of both large and small farms, the pillar of non-chemical tools, equipped with new technologies, will play a crucial role in providing essential services for sustainable environmental protection with a significant impact on human health. The widespread use and accessibility of mechanical weed control will help reduce the contamination of groundwater caused by herbicides and other phytopharmaceuticals resulting from chemical crop protection [3].
The most significant non-chemical integrated weed control strategy is mechanical weeding. Although mechanical weed control strategies generally exhibit lower efficiency [4], these tools are traditionally used in the field and can be easily modified or enhanced with sensors and modern information systems [2,4]. Despite their relatively simple design, the performance of non-intelligent, typically manually operated mechanical weeders is not significantly inferior to that of advanced high-tech intelligent solutions [5], which incorporate more expensive sensors and control systems [6,7,8].
Mechanical weeders can generally be classified into two main groups based on their mode of operation relative to the crop row: inter-row and intra-row weeders [6,9]. Traditionally, a number of inter-row weeding systems are used that relay on defined inter-row space characteristic for particular plant: typically, small spacing is used (12.5 cm to 20 cm) for small grain cereals and wheat, with 20–30 cm spacing being used for conventional cropping systems, and wide spacing of up to 75 cm can be used [9,10]. Common inter-row weeders include hoes, rotating disc tines, cycloid hoes, radius moving tines, rotating wheels, rolling harrows, intra-row cultivators, rotary hoes, brash weeders, and rotary discs; there are detailed reviews comparing their mechanisms [11,12,13,14,15]. Untreated intra-row weeds can considerably reduce yields (up to 76% [6,16]); thus, chemicals or manual weeding is involved. This highlights the importance of incorporating intra-row weeding that could improve sustainable land use and human labour [17]. The most common intra-row weeders include finger weeders [9], torsion weeders [18], flex-tine harrows [19], vertical spring tines, rotary weeders [20], and rotary hoeing tools [20]. Currently, inter-row and intra-row weeding operations are typically performed separately, which is both energy-intensive and time-consuming, as well as costly [6,9]. Recently, several prototypes have been proposed that incorporate intra-row weeding as an additional aspect for the separate function of inter-row width [6]. There are also smart systems that avoid the plant damage caused by simple rotaries with cranks [21], including co-robotic systems that need human supervision [22] or completely automated systems [23]; these have been tested for lettuces and tomatoes. Although almost completely automated, some of abovementioned systems still need hand hoeing, and can cause significant plant damage [22]. Most of the abovementioned innovative systems are not adaptable for small-scale farms, and have been tested as cultivator or tractor equipment, or present bigger autonomous platforms [8,24]. Smaller prototypes which could still be used as mobile platforms for bigger farms recently were introduced and tested in the field [25,26]. Small family farms cannot invest in such effective but expensive high-tech solutions [27].
From a mechanical perspective, weeders can be categorized into two groups based on their weed control mechanisms. The first group employs cutting tools that perform translatory movements in the direction of weeder travel, typically associated with tractors or cultivators. This category includes traditional hoes (featuring various geometries), spring hoes or spring tines, torsion weeders, and sweeps [5,6,22,28,29]. The second group utilizes rotating cutting tools, which can be further divided into three subcategories based on the rotation axis: (a) horizontally and transverse to the direction of movement—finger weeders, basket weeders, and rotary brushes [9]; (b) horizontally and around an axis parallel to the direction of movement—rotary hoes [20,25,30]; or (c) vertically and around an axis normal to the direction of movement—brush weeders, cycloid hoes [21,24], and the well-known Garford weeder [14]. The efficiency of weed control is significantly influenced by intrinsic weeder parameters (such as tool shape, tool angle, and working depth), weeding parameters (including translational/rotational speed and normal load), as well as soil parameters (such as soil bulk density, compaction, and moisture) and outside weather [19,31,32]. Additionally, weed density and crop type also affect the efficacy of the weeder to a certain extent [9,27]. Although newly designed machines are usually tested in the field, in recent studies, artificial weeding has been conducted and verified in controlled conditions, as an effective simplified system useful for concept proof, enabling different settings, adjustments, and easier comparison of results [33].
Minor crops, which mainly include vegetables and fruits, account for more than 20% of the value of the EU’s total agricultural production. These crops are predominantly cultivated by small-scale farmers who exhibit significant variability in farm management practices and technological adoption. Consequently, weed control strategies for minor crops are influenced by both technical and economic considerations [9].
In this study, a novel energy-efficient hoe (e-hoe) was designed to promote sustainable agricultural practices by ensuring soil fertility and preventing erosion and degradation. The e-hoe presents energy-efficient hoeing and serves as a viable alternative to internal combustion engines-driven tractors. It operates on a battery-powered drives, which can be charged using renewable energy sources, depending on the resources available to the farmer.
The aim of this study was to evaluate a novel e-hoe designed for both inter-row and intra-row weed control, specifically tailored for small-scale farmers. The e-hoe’s ability to facilitate easy tool changes allowed us to experimentally assess three distinct blade designs at four different rotational speeds. The efficiency of the e-hoe was tested through the cultivation of artificial weeds in a controlled greenhouse environment. Performance parameters were analysed based on the measured motor torque, rotational speed, and power consumption.

2. Materials and Methods

The e-hoe was designed as a lightweight tool for domestic use, or part time use on small family farms. It was designed with an emphasis on cost-effective manufacturing and ease of operation, while being capable of performing both inter-row and intra-row mechanical weeding. The versatility of the e-hoe extends to its applicability across a diverse range of vegetable crops.

2.1. Description of the Machine Design and Its Operation

To enable both inter-row and intra-row weeding operation and keep the e-hoe simple, a robust platform with planetary gearbox mechanism with 3 degrees of freedom (3 DOF) and two rotating tools was designed, as shown in Figure 1a,b. The planetary gearbox enables the rotation and revolution of the tools (1st and 2nd DOF, respectively). Meanwhile, the forward and backward movement is controlled by the wheels, representing the 3rd DOF. The 1st DOF of the planetary gearbox is the centrally mounted sun gear. The 2nd DOF of the planetary gearbox is the planet carrier and it is also mounted centrally.
The operation can best be explained with the following:
  • Inter-row weeding: When the 1st DOF of the planetary gearbox is actuated and the 2nd DOF is held stationary, the e-hoe performs inter-row weeding (Figure 2a). In this mode, the tool rotates around its axis without revolving around the crop. By adjusting the revolution angle (which also determines the lateral distance to the crop row), the position of the end effectors within the inter-row space can be set. During inter-row weeding, the revolution speed is zero, and the tools only rotate around their axes. The entire e-hoe platform can be moved forwards or backwards (3rd DOF) using the wheel motors.
  • Intra-row weeding: For intra-row weeding the planetary carrier (‘sun’ gear, 2nd DOF) is activated (Figure 2b). During this, the revolution of the planetary carrier and the rotation of planet gears take place simultaneously. Planet gears with tools rotate around each one’s axis, while at the same time, they both revolute around the sun gear, performing a circular movement around the crop. For intra-row weeding, the e-hoe platform should be stationary and should not move forward.
To adjust the weeding operation, the 1st DOF (rotation) and the 2nd DOF (revolution) of the planetary gearbox can be also actuated separately. For instance, the user can vary the revolution speed of the tools around the crop, while maintaining the rotation speed of the tool around its axis. With the regulation of both DOF actuation rotational speeds, and arbitrary ratio of tool rotation around the axis and revolution around the crop can be selected.
The e-hoe is actuated by BLDC (brushless DC) geared motors for all 3 DOF. The motors for the 1st and 2nd DOF are 24 V, 220 W BLDC geared motors with a 50:1 reduction ratio for the sun gear (1st DOF) and a 10:1 reduction ratio for the planetary carrier (2nd DOF). Each forward wheel is equipped with a 24 V, 350 W, BLDC geared hub motor to move the entire platform forwards or backwards.
During the experiments, the electric power consumption and total energy usage of each motor were measured using the digital electric power analyser, specifically the GPM-8330 Digital Power Analyser from Good Will Instrument Co., Ltd., New Taipei City 236, Taiwan. The data acquisition sampling rate was 10 Hz, with recorded data stored on a computer connected to the Digital Power Analyser via a USB cable for further analyses.
The operation and speed of electric motors were controlled by a microcontroller (Teensy 4.1, 600 MHz Cortex-M7, PJRC, OR 97140, USA) through BLDC motor controllers. The main technical parameters of the e-hoe are summarized in Table 1.
During the experiment presented in this paper, the e-hoe was operated as follows:
Initially, the e-hoe was started towards the first crop location using two in-wheel motors located at the front of the platform (3rd DOF). Simultaneously, the rotation of both tools (1st DOF—planet gear) was initiated along with the forward movement, and the inter-row weeding was performed while keeping the central planetary carrier stationary (2nd DOF). As the tools approached the position just above the crop, the operator deactivated the forward movement (3rd DOF) and activated the planetary carrier rotation (2nd DOF). The planet gears and the attached tools both rotated and revoluted around the crop; thus, intra-row weeding was performed. Upon completing a full rotation of the planetary carrier gear, the entire cycle was completed, allowing the e-hoe to start forward movement towards the next crop (3rd DOF).
During this experiment, the operator had to manually set the direction of travel with the steering wheel. All movements can be initiated manually, as this is the usual case during operation on the field. By pressing the controls, the operator can manually adjust rotational speed of all three DOF, initiate all above-described movements, or combine them for efficient weeding.

2.2. Description of the Weeding Tools

The e-hoe enables basic mechanical tool adjustments: the tool design and the working depth below the soil surface. For the purpose of e-hoe evaluation, three tool designs were proposed (Figure 3a–c), designed, and evaluated in this paper. The first two types (Figure 2a,b) are based on the traditional hoe design, made out of stainless steel that was 3 mm thick. Tool 1 was robust, with the side cutting tooth bent at a 120° angle. Tool 2 presented modified Tool 1, with the curved blade, with 4 cutting teeth bent at a 90° angle. Tool 3 used a completely different principle of flexible spring tine harrow. They were made of stainless steel and were 3 mm in diameter and 75 mm long, formed as straight tines; these were placed at both ends of the rotating tool, at a distance of 33 mm, normal to the ground. During all experiments, the working depth was constant; it amounted to 30 mm below the surface for tool types 1 and 2, while the tool 3 height was such that the springs touched the ground.

2.3. Experiments

In order to improve the repeatability of the tests and enable the statistical evaluation of the results, experiments were performed in a greenhouse located in the Biotechnical Centre Naklo, Slovenia. The greenhouse dimensions were 6 m (width) and 20 m (length). During the entire time of soil preparation and experiments, the greenhouse air temperature and humidity were kept constant around ~25 °C and 80% RH.

2.3.1. Soil Preparation

The soil type was sandy loam with the spherical structure (spongy, lumpy, nut-shaped). The soil organic matter content is 5.8%. The soil was prepared using the same procedure before each test. A day before the tests, the soil was sprayed with water and left overnight. Before the experiment was conducted each time, the soil was tilled twice with a small cultivator at a depth of 50 mm, and then levelled and compacted with a roller. The same soil preparation process was followed for each test to enable similar conditions for all tests. The average soil moisture content was 35%, and the average soil dry bulk density was 1.3 g m−3. A similar soil preparation procedure that we used for the repeatable measurements protocol was also used in previous studies [21,33].

2.3.2. Model Weed and Crop Distribution

The experiments were performed using model crop and model weed as shown in Figure 4. Both models were 3D-printed using the fused deposition modelling (FDM) method. The 3D-printed models were inspired by the lettuce dimensions expected at the best time for hoeing, as suggested by local farmers who were a part of the project consortium (~100 mm maximal diameter). Weed distribution was designed to maximally cover the expected hoeing area (300 × 300 mm, also defined as project requirement by local farmers).
To enable repeatable measurements, the weed model (Figure 5b) was placed around lettuce model with the help of a 3D-printed stencil mould 300 × 300 mm (Figure 5b), representing a real lettuce in a typical row (Figure 5a). Both lettuces and weeds were embedded in the ground to the mark shown in Figure 4.

2.4. Field Tests

The model crop was planted in a row with a 600 mm intra-row distance (Figure 6), which was only for the purposes of easier counting and classification of weeds. Our preliminary tests, which were also conducted in real fields and with real lettuces, were carried out with a 300 mm intra- and inter-row width, which is the working width enabled by construction. In each experimental setup, a total of 5 crops were planted in a row alongside 12 accompanying weed specimens, as illustrated in Figure 6. To ensure repeatability, each measurement was conducted three times for statistical evaluation. Thus, a total of 15 crops with 180 weed specimens were evaluated for each operating point of the e-hoe.
Three different tools were tested, and each tool was tested at four different rotational speeds. The selected rotational speeds of tools (1st DOF), as set by the controller, were as follows: 1.2 s−1; 1.8 s−1; 2.4 s−1, and 3.2 s−1. The revolution speed (2nd DOF) was set to 0.5 s−1 and was during the entire experiment constant. The forward movement of the e-hoe platform (3rd DOF) was set to 0.3 m/s and was also constant during the entire experiment.
After weeding, the efficiency of weed removal was assessed based on percentage of weed removal, classified into three groups: Wcr—completely uprooted; Wpr—partially removed; Wi—intact. The weed removal procedure was manual, with an operator taking images of weed removal before counting them and classifying them into categories. All three categories of weed removal are show in Figure 7. Later, for the evaluation, the number of weeds from each group was compared to the initial weed number (W0) before the tests.

3. Results

3.1. Statistical Evaluation of E-Hoe Efficiency

The results of the experiments of weed removal are shown in Figure 8. The efficiency of weed removal is shown in the percentages of the total initial weed number (W0).
Based on the results, presented in Figure 8a, the efficiency of the e-hoe when using tool 1 is 70.6 ± 11.4% (completely removed weed); this is not significantly affected by the tool rotational speed. Although the percentage of intact weeds is the smallest at the highest rotational speed (6.7 ± 3.4%), on average, the percentage of intact weeds is not significantly affected by rotational speed, and is below 12%.
When analysing the efficiency of e-hoe with tool 2 (Figure 8b), there is significant effect of tool rotation speed on the percentage of completely removed weeds. The efficiency increases from 44 ± 11.2% at 1.2 s−1 up to 82.8 ± 7.4% at a tool rotation speed of 3.2 s−1. At the same time, the percentage of intact weeds decreases from 25.5 ± 13.4% to 6.7 ± 5.6%, similar to the intact weed percentage at highest tool rotation speed when using tool 1. In the case of tool 2, the percentage of partially removed weeds is also significantly affected by the tool rotational speed; the percentage decreases from 30.3 ± 14.6% to 10.5 ± 9.2% and the amount of partially removed weeds in the case of tool 2 is lower compared to that of tool 1, which is a result of the higher overall efficiency of tool 2 (completely removed weed).
Tool 3 has the highest overall efficiency compared to the other two tools, which is significantly affected by the tool rotational speed; the percentage of completely uprooted weed increases from 73.9 ± 16.1% up to 95.1 ± 5.9%. The increase in the percentage of completely removed weeds is mainly due to the significant decrease in partially removed weeds at a higher tool rotation speed (from 18.33 ± 14.8% to 0.5 ± 1.9%). Although the percentage of intact weeds decreases (from 7.2 ± 5.3% to 4.4 ± 5.3%), it is not significantly affected by the tool rotation speed, and is the lowest compared to the other two tools used.
The crop was partially damaged, i.e., touched and slightly displaced, but not completely uprooted. The probability of a partially damaged crop was not significant and was less than 7% under all conditions tested.

3.2. Statistical Evaluation of E-Hoe Power Consumption

The results of the instantaneous power measurements of in-wheel geared motors (3rd DOF) and actuators (1st and 2nd DOF) are shown in Figure 9, for inter- and intra-row weeding for five crops in a row. From the blue curve, the driving motor operational average power was calculated—the 3rd DOF (for example, section depicted with the blue arrow in area of 1st crop, Figure 8). From the yellow curve, the planet actuator operational average power was calculated—1st DOF (for example, section depicted with the yellow arrow in area of 2st crop, Figure 9). From the grey curve, the sun actuator operational average power was calculated—2nd DOF (for example, the section depicted with the grey arrow in area of 3rd crop, Figure 9).
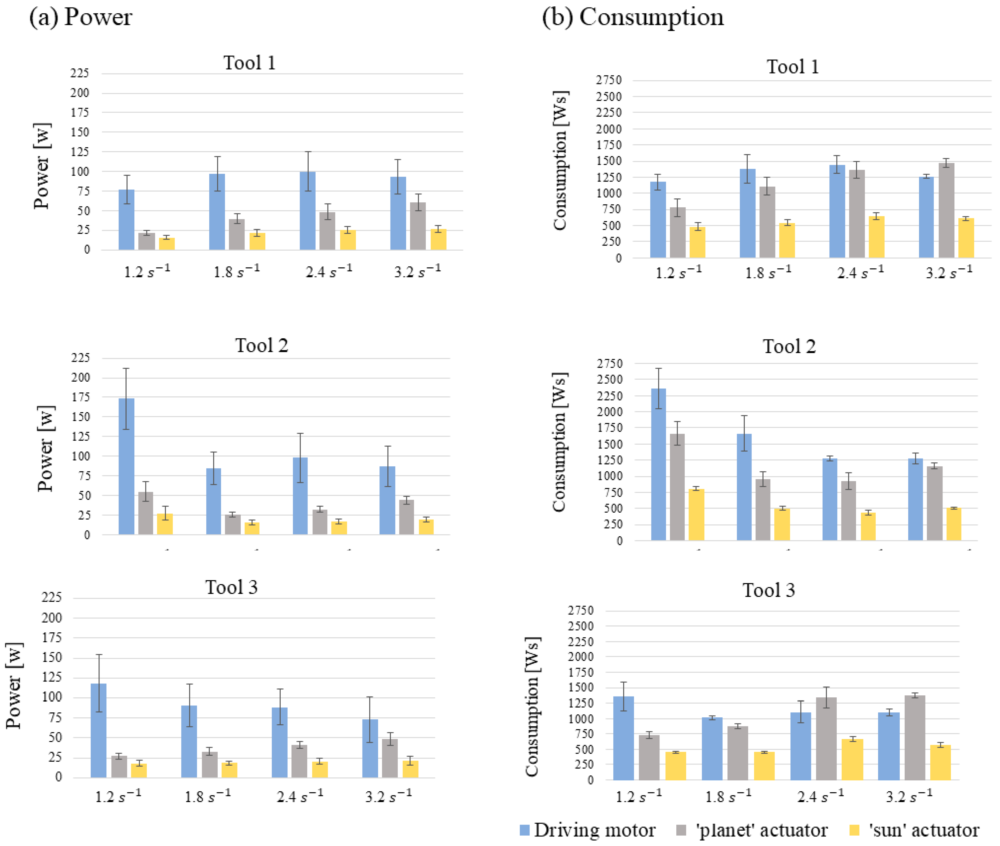
The average powers for each movement (inter + intra-row weeding for a single crop) are shown in Figure 10a. When time for each operation was considered, power consumption was calculated for each actuator, tool rotational speed, and tool type (Figure 10b).
Based on the average power calculated for tool 1 (Figure 10a)—although there was an increase of up to 25.3% in the needed power at a higher tool rotational speed (increase from 1.2 s−1 to 1.8 s−1)—there was no significant rotational speed effect on the average driving motor power needed (at a significance level p < 0.005), which was 91.8 W on average. Similarly, there was no significant effect of the tool rotation speed on the ‘sun’ actuator power needed for tool 1, and it was 22.1 W on average. The tool rotational speed significantly affected the increase in the power needed for the tool 1 ‘planet’ actuators, from 21.8 W (at 1.2 s−1) up to 60.8 W (at 3 s−1).
When analysing the results for tool 2 (Figure 10a), the rotational speed significantly affected the decrease in the driving motor power when changing the tool rotational speed from 1.2 s−1 to 1.8 s−1 (from 173.1 W to 84.6 W); further, the rotation speed increase did not significantly affect the driving wheel power (on average 90 W). Similarly, for both planet and sun actuators, when using tool 2, the power needed decreased at 1.8 s−1 (from 55.1 W to 26 W for planet actuators, from 27.4 W to 16.2 W for sun actuators), but did not significantly change at higher rotation speeds (planet average 34 W, sun average 17.4 W).
When analysing the results for tool 3 (Figure 10a), if the tool rotational speed increased from 1.2 s−1 to 1.8 s−1, then the driving motor power decreased (from 118.4 W to 90.7 W); further, the rotation speed increase did not significantly affect the driving wheel power, although the decreased trend was observed (from 90.7 to 73 W). For both the planet and sun actuators, when using tool 3, the power needed did not significantly change at higher rotation speeds: for planet actuators, 37.7 W was needed, and for sun actuators, 19.8 W was needed on average.
Overall, when analysing all the tools used, there is an evidence of an effect of higher tool rotational speed only between 1.2 s−1 and 1.8 s−1; further rotational speed increases did not significantly affect the power needed. The smallest power needed was observed when using tool 3, especially if the rotational tool speed was 1.8 s−1 or higher.
When considering power consumption, the highest effect of higher rotational speed was the decrease in the power consumption that was observed for tool 2. Nevertheless, the average power consumption for all actuators was smaller and comparable for both tool 1 and tool 3, regardless the rotational speed, compared to tool 2. The smallest and most constant values were observed for tool 3.
For a complete weeding process of five plants in a row, the machine consumed an average of 2500 Ws. The weeding process for these five lettuces took approximately 22 s. Based on the available battery capacity of a 423 Wh, the machine can operate for approximately 3.7 h, allowing it to weed approximately 3050 plants. Based on plant (working) area coverage and battery power, approximately 300 m2 could be cultivated with one full battery, which is the average area of a small-scale farm.

3.3. Outlook and Discussion

Based on the experimental evaluation of weeder designed in this study, we can conclude that a relatively high weed removal efficiency (higher than 70%) can be reached; this is accompanied by a low level of plant damage probability (less than 7%), regardless the tools used. However, tool rotational speed can improve the tool efficiency by up to 95%, with lower power needed for weeding. The highest efficiency with lower power needed for the driving motor and the tools actuators was accomplished with tool 3, which was designed as two pairs of rotation flexible spring tines, compared to tool 1 and tool 2, which represent traditional rotating hoes. However, it should be noted that the proposed weeder was evaluated in small greenhouse, under controlled conditions, with 3D-printed models used for both the plants and the weeds; this enabled repeatable measurements and statistical evaluation of results [21,33]. Thus, the direct correlation of the e-hoe’s efficiency in the performed experiments with how it would perform in real vegetable fields is challenging. However, measured efficiency is comparable to the performance of smart system on a maize field (90.03% [30]), tine weeding conducted in soil bins (80–93% [33]), or for transplanted cabbages, with similar 240 mm working zones (67% to 87% efficiency [15]). Furthermore, with its compact in-wheel motors and battery configuration, the proposed system achieves significant power savings, enhancing its potential as a highly autonomous and sustainable agricultural tool.
The proposed weeder has some disadvantages and technical limitations that need further improvement. First of all, both the inter-row and intra-row widths are currently limited to 30 mm by the construction of the e-hoe. This was aligned with typical inter-row widths observed in vegetable farming, which range between 20 and 75 mm for various weeders [9]. If a weeder is to be used for different working widths, or for other types of vegetables, then a modular mechanism should be used to reposition the tools; for example, a crank arm similar to one used in [21] could be employed. Another limitation of the current e-hoe module is that, for intra-row weeding, there is a need for an operator to have a visual on the plant, and stop the e-hoe translator movement above the plant; there is also an additional knob which activates the intra-row weeding (2nd DOF). It is a drawback compared to machines that have a cycloidal path, like Garford or tools developed in [14,15,26], where tools move around the plant (same movement for inter- and intra-row); it is also different from the system that automatically activates intra-row weeding after plant recognition has been performed [21,22,23,24,25]. Thus, another possibility for improvement is the addition of an artificial intelligence learning system to recognize plants and automatically stop the machine, activating the intra-row weeding cycle. However, program refinement can also be challenging and can potentially lead to higher plant damage (up to 25% for chili and tomato) [21]. Many research groups have been working on the development of autonomous intelligent vehicles and robotic technologies to optimize precise weed control [22,30,34,35,36,37]. These solutions, mostly prepared for large-scale vegetable and crop fields, with technology that can be successfully used to upgrade the proposed e-hoe with smart object detection method, using, for example, the You Only Look Once (YOLO)-based network method [25,30,37] coupled with low-cost vision sensors.
Most of existing abovementioned advantageous and effective machines are high-tech tools that are inaccessible for small-scale family farmers. They are in need of effective and simple mechanical weed control approaches to enable them to follow EU regulations on sustainable vegetable production. The e-hoe proposed in this study is lightweight and modular, and allows for the tool type, tool height, and rotational speed to be easily adjusted to respond to varying field conditions (such as tillage type, temperature, humidity, and weed type).
Another advantage is that they are battery driven; thus, the proposed design reduces CO2 emissions and fuel consumption. With the currently integrated battery, the e-hoe can work for approximately 3.7 h (i.e., about half a working day), weeding about 3050 plants with an average power consumption of 0.14 Wh per plant (coverage area 0.09 m2 per plant). In a next step, the use of renewable energy, such as solar panels (integrated on e-hoe or set up in the yard) would allow the machine to be completely energy-independent.

4. Conclusions

A lightweight, modular, effective e-hoe was developed for simultaneous inter-row and intra-row mechanical weeding of small crops; it was specially designed for small-scale vegetable producers. The results of this study contribute to more competitive organic vegetable weeding, promoting sustainable use of agricultural land by reducing reliance on chemicals. Since many herbicides have been withdrawn from the EU market, minor crops and farmers have to adopt innovative non-chemical strategies; furthermore, expensive high-tech effective and advanced machines are often not available. Additionally, the developed e-hoe led to a significant reduction in the required labour for weeding, since a human operator is frequently needed to guide and supervise the machine. Although further improvements of the proposed machine are possible—to enable a flexible working width, autonomous plant recognition, and inter-row weeding activation, as well as renewable energy source integration—the current design has been verified in a small greenhouse, and was proven to have high efficiency (up to 95% when the right tool design and rotation speed are combined). Based on the used battery capacity, the machine can be operated for approximately 3.7 h, enabling weeding of about 300 m2, which is the average area of a small-scale farm.

Author Contributions

Conceptualization, M.H., T.G., J.B. and F.M.; methodology, M.H.; software, M.S., J.B. and T.G.; validation, M.S., J.B., T.L. and A.T.; formal analysis, J.B. and A.T.; investigation, J.B. and A.T.; resources, M.H. and F.M.; writing—original draft preparation, A.T.; writing—review and editing A.T., M.H., J.B., F.M. and T.L.; visualization, J.B. and A.T.; supervision, M.H. and F.M.; project administration, M.H., J.B. and M.S.; funding acquisition, M.H. and F.M.; All authors have read and agreed to the published version of the manuscript.

Funding

This research was funded by the project called Advanced Vegetable Hoeing, EIP-hoe, grant number 33133-2/2021/5. This research has been financially supported by Slovenian Research and Innovation Agency (ARIS) as part of the research and infrastructure programmes no. P2-0231 and P2-0401.

Institutional Review Board Statement

Not applicable.

Data Availability Statement

The data presented in this study are available on request from the corresponding author.

Acknowledgments

We are grateful to company TIPS MTC that supported and produced the e-hoe prototype; the authors would like to thank to Biotechnical Centre Naklo, for their help for enabling the in-the-field experiments.

Conflicts of Interest

The authors declare no conflicts of interest.

References

  1. Tataridas, A.; Kanatas, P.; Chatzigeorgiou, A.; Zannopoulos, S.; Travlos, I. Sustainable Crop and Weed Management in the Era of the EU Green Deal: A Survival Guide. Agronomy 2022, 12, 589. [Google Scholar] [CrossRef]
  2. Korres, N.E.; Burgos, N.R.; Travlos, I.; Vurro, M.; Gitsopoulos, T.K.; Varanasi, V.K.; Duke, S.O.; Kudsk, P.; Brabham, C.; Rouse, C.E.; et al. New directions for integrated weed management: Modern technologies, tools and knowledge discovery. Adv. Agron. 2019, 155, 243–319. [Google Scholar] [CrossRef]
  3. Akhter, M.J.; Sønderskov, M.; Loddo, D.; Ulber, L.; Hull, R.; Kudsk, P. Opportunities and challenges for harvest weed seed control in European cropping systems. Eur. J. Agron. 2023, 142, 126639. [Google Scholar] [CrossRef]
  4. Esposito, M.; Crimaldi, M.; Cirillo, V.; Sarghini, F.; Maggio, A. Drone and sensor technology for sustainable weed management: A review. Chem. Biol. Technol. Agric. 2021, 8, 18. [Google Scholar] [CrossRef]
  5. Melander, B.; Lattanzi, B.; Pannacci, E. Intelligent versus non-intelligent mechanical intra-row weed control in transplanted onion and cabbage. Crop Prot. 2015, 72, 1–8. [Google Scholar] [CrossRef]
  6. Chandel, N.S.; Chandel, A.K.; Roul, A.K.; Solanki, K.R.; Mehta, C.R. An integrated inter- and intra-row weeding system for row crops. Crop Prot. 2021, 145, 105642. [Google Scholar] [CrossRef]
  7. Slaughter, D.C.; Giles, D.K.; Downey, D. Autonomous robotic weed control systems: A review. Comput. Electron. Agric. 2008, 61, 63–78. [Google Scholar] [CrossRef]
  8. Visentin, F.; Cremasco, S.; Sozzi, M.; Signorini, L.; Signorini, M.; Marinello, F.; Muradore, R. A mixed-autonomous robotic platform for intra-row and inter-row weed removal for precision agriculture. Comput. Electron. Agric. 2023, 214, 108270. [Google Scholar] [CrossRef]
  9. Pannacci, E.; Lattanzi, B.; Tei, F. Non-chemical weed management strategies in minor crops: A review. Crop Prot. 2017, 96, 44–58. [Google Scholar] [CrossRef]
  10. Cirujeda, A.; Marí, A.I.; Aibar, J.; Fenández-Cavada, S.; Pardo, G.; Zaragoza, C. Experiments on mechanical weed control in saffron crops in Spain. J. Plant Dis. Prot. 2014, 121, 223–228. [Google Scholar] [CrossRef]
  11. Chandel, N.S.; Tripathi, H.; Tewari, V.K. Evaluat ion and Adopt ion Scope of Rotary Power Weeder for Weed Management in Vegetable Crops. Int. J. Bio-Resour. Stress Manag. 2015, 6, 513–516. [Google Scholar]
  12. Turner, R.J.; Davies, G.; Moore, H.; Grundy, A.C.; Mead, A. Organic weed management: A review of the current UK farmer perspective. Crop Prot. 2007, 26, 377–382. [Google Scholar] [CrossRef]
  13. Pannacci, E.; Tei, F. Effects of mechanical and chemical methods on weed control, weed seed rain and crop yield in maize, sunflower and soyabean. Crop Prot. 2014, 64, 51–59. [Google Scholar] [CrossRef]
  14. Dedousis, P.A. An Investigation into the Design of Precision Weeding Mechanisms for Inter or Intra-Row Weed Control. Ph.D. Thesis, Cranfield University, Bedford, UK, 2007. [Google Scholar]
  15. Tillett, N.D.; Hague, T.; Grundy, A.C.; Dedousis, A.P. Mechanical within-row weed control for transplanted crops using computer vision. Biosyst. Eng. 2008, 99, 171–178. [Google Scholar] [CrossRef]
  16. Alba, O.S.; Syrovy, L.D.; Duddu, H.S.N.; Shirtliffe, S.J. Increased seeding rate and multiple methods of mechanical weed control reduce weed biomass in a poorly competitive organic crop. Field Crops Res. 2020, 245, 107648. [Google Scholar] [CrossRef]
  17. Rao, A.N.; Singh, R.G.; Mahajan, G.; Wani, S.P. Weed research issues, challenges, and opportunities in India. Crop Prot. 2020, 134, 104451. [Google Scholar] [CrossRef]
  18. Van Der Weide, R.Y.; Bleeker, P.O.; Achten, M.; Lotz, L.A.P.; Fogelbergà, F.; Melander, B. Innovation in mechanical weed control in crop rows. Weed Res. 2008, 48, 215–224. [Google Scholar] [CrossRef]
  19. Pannacci, E.; Tei, F.; Guiducci, M. Mechanical weed control in organic winter wheat. Ital. J. Agron. 2017, 12, 900. [Google Scholar] [CrossRef]
  20. Gobor, Z.; Schulze Lammers, P.; Martinov, M. Development of a mechatronic intra-row weeding system with rotational hoeing tools: Theoretical approach and simulation. Comput. Electron. Agric. 2013, 98, 166–174. [Google Scholar] [CrossRef]
  21. Kumar, S.P.; Tewari, V.K.; Chandel, A.K.; Mehta, C.R.; Nare, B.; Chethan, C.R.; Mundhada, K.; Shrivastava, P.; Gupta, C.; Hota, S. A fuzzy logic algorithm derived mechatronic concept prototype for crop damage avoidance during eco-friendly eradication of intra-row weeds. Artif. Intell. Agric. 2020, 4, 116–126. [Google Scholar] [CrossRef]
  22. Pérez-Ruíz, M.; Slaughter, D.C.; Fathallah, F.A.; Gliever, C.J.; Miller, B.J. Co-robotic intra-row weed control system. Biosyst. Eng. 2014, 126, 45–55. [Google Scholar] [CrossRef]
  23. Raja, R.; Nguyen, T.T.; Slaughter, D.C.; Fennimore, S.A. Real-time robotic weed knife control system for tomato and lettuce based on geometric appearance of plant labels. Biosyst. Eng. 2020, 194, 152–164. [Google Scholar] [CrossRef]
  24. Quan, L.; Jiang, W.; Li, H.; Li, H.; Wang, Q.; Chen, L. Intelligent intra-row robotic weeding system combining deep learning technology with a targeted weeding mode. Biosyst. Eng. 2022, 216, 13–31. [Google Scholar] [CrossRef]
  25. Chang, C.-L.; Xie, B.-X.; Chung, S.-C. Mechanical Control with a Deep Learning Method for Precise Weeding on a Farm. Agriculture 2021, 11, 1049. [Google Scholar] [CrossRef]
  26. Bin Ahmad, M.T. Development of an Automated Mechanical Intra-Row Weeder for Vegetable Crops. Master’s Thesis, Iowa State University, Digital Repository, Ames, IA, USA, 2012. [Google Scholar] [CrossRef][Green Version]
  27. Peruzzi, A.; Martelloni, L.; Frasconi, C.; Fontanelli, M.; Pirchio, M.; Raffaelli, M. Machines for non-chemical intra-row weed control in narrow and wide-row crops: A review. J. Agric. Eng. 2017, 48, 57–70. [Google Scholar] [CrossRef]
  28. Zhang, X.; Chen, Y. Soil disturbance and cutting forces of four different sweeps for mechanical weeding. Soil Tillage Res. 2017, 168, 167–175. [Google Scholar] [CrossRef]
  29. Machleb, J.; Kollenda, B.; Peteinatos, G.; Gerhards, R. Adjustment of Weed Hoeing to Narrowly Spaced Cereals. Agriculture 2018, 8, 54. [Google Scholar] [CrossRef]
  30. Jiang, W.; Quan, L.; Wei, G.; Chang, C.; Geng, T. A conceptual evaluation of a weed control method with post-damage application of herbicides: A composite intelligent intra-row weeding robot. Soil Tillage Res. 2023, 234, 105837. [Google Scholar] [CrossRef]
  31. Duerinckx, K.; Mouazen, A.M.; Anthonis, J.; Ramon, H. Effects of Spring-tine Settings and Operational Conditions on the Mechanical Performance of a Weed Harrow Tine. Biosyst. Eng. 2005, 91, 21–34. [Google Scholar] [CrossRef]
  32. Kumar, N.; Upadhyay, G.; Choudhary, S.; Patel, B.; Naresh; Chhokar, R.S.; Gill, S.C. Resource Conserving Mechanization Technologies for Dryland Agriculture. In Enhancing Resilience of Dryland Agriculture Under Changing Climate; Springer Nature: Singapore, 2023; pp. 657–688. [Google Scholar] [CrossRef]
  33. Parks, J.W.; Gallandt, E.R. Testing a tine weeder with artificial weeds in the controlled conditions of a soil bin. Weed Res. 2023, 63, 328–337. [Google Scholar] [CrossRef]
  34. Pérez-Ruiz, M.; Gonzalez-de-Santos, P.; Ribeiro, A.; Fernandez-Quintanilla, C.; Peruzzi, A.; Vieri, M.; Tomic, S.; Agüera, J. Highlights and preliminary results for autonomous crop protection. Comput. Electron. Agric. 2015, 110, 150–161. [Google Scholar] [CrossRef]
  35. Reiser, D.; Sehsah, E.-S.; Bumann, O.; Morhard, J.; Griepentrog, H.W. Development of an Autonomous Electric Robot Implement for Intra-Row Weeding in Vineyards. Agriculture 2019, 9, 18. [Google Scholar] [CrossRef]
  36. Kunz, C.; Weber, J.F.; Peteinatos, G.G.; Sökefeld, M.; Gerhards, R. Camera steered mechanical weed control in sugar beet, maize and soybean. Precis. Agric. 2018, 19, 708–720. [Google Scholar] [CrossRef]
  37. Xie, B.-X.; Chung, S.-C.; Chang, C.-L. Design and Implementation of a Modular AI-enabled Shovel Weeder. In Proceedings of the 2020 International Symposium on Computer, Consumer and Control (IS3C), Taichung City, Taiwan, 13–16 November 2020. [Google Scholar] [CrossRef]
Figure 1. E-hoe construction (a) mechanism; (b) 3D model; (c) e-hoe in field.
Figure 1. E-hoe construction (a) mechanism; (b) 3D model; (c) e-hoe in field.
Agriculture 14 01483 g001
Figure 2. Scheme of machine working principle: (a) inter-row weeding; (b) intra-row weeding.
Figure 2. Scheme of machine working principle: (a) inter-row weeding; (b) intra-row weeding.
Agriculture 14 01483 g002
Figure 3. Designed tools with main dimensions: (a) tool 1; (b) tool 2; (c) tool 3.
Figure 3. Designed tools with main dimensions: (a) tool 1; (b) tool 2; (c) tool 3.
Agriculture 14 01483 g003
Figure 4. Model crop and model weed schematics.
Figure 4. Model crop and model weed schematics.
Agriculture 14 01483 g004
Figure 5. (a) Single crop and (b) 3D-printed crop model with weed organized in a mould.
Figure 5. (a) Single crop and (b) 3D-printed crop model with weed organized in a mould.
Agriculture 14 01483 g005
Figure 6. Greenhouse experimental setup.
Figure 6. Greenhouse experimental setup.
Agriculture 14 01483 g006
Figure 7. Classification procedure of weed removal after each experiment: the three groups represent completely removed, partially removed, and intact weeds categories.
Figure 7. Classification procedure of weed removal after each experiment: the three groups represent completely removed, partially removed, and intact weeds categories.
Agriculture 14 01483 g007
Figure 8. E-hoe efficiency for different tools at a different rotation speed (1st DOF).
Figure 8. E-hoe efficiency for different tools at a different rotation speed (1st DOF).
Agriculture 14 01483 g008
Figure 9. Driving and actuator motors power profile for a complete weeding process of 5 plants in a row (tool 2 case).
Figure 9. Driving and actuator motors power profile for a complete weeding process of 5 plants in a row (tool 2 case).
Agriculture 14 01483 g009
Figure 10. Average (a) power and (b) consumption of driving and actuator motors for different tool rotation speeds and tool designs.
Figure 10. Average (a) power and (b) consumption of driving and actuator motors for different tool rotation speeds and tool designs.
Agriculture 14 01483 g010
Table 1. Summary of main technical parameters of e-hoe.
Table 1. Summary of main technical parameters of e-hoe.
MechanicalElectrical
DimensionsL 1.3 × W 0.52 × H 1.2 mDriving motor power (3rd DOF)2 × 350 W
Weight92 kgSun gearbox motor (2nd DOF)220 W
Driving wheel width280 mmPlanet carrier gearbox motor (1st DOF)220 W
Wheelbase distance350 mmBattery capacity423 Wh
Forward driving speed1–6 km/h
Tool operating depth10–30 mm
Max tool rotating speed (1st DOF)3.2 s−1
Max tool revolution speed (2nd DOF)0.5 s−1
Disclaimer/Publisher’s Note: The statements, opinions and data contained in all publications are solely those of the individual author(s) and contributor(s) and not of MDPI and/or the editor(s). MDPI and/or the editor(s) disclaim responsibility for any injury to people or property resulting from any ideas, methods, instructions or products referred to in the content.

Share and Cite

MDPI and ACS Style

Trajkovski, A.; Bartolj, J.; Levstek, T.; Godeša, T.; Sečnik, M.; Hočevar, M.; Majdič, F. Mechanical Inter- and Intra-Row Weed Control for Small-Scale Vegetable Producers. Agriculture 2024, 14, 1483. https://doi.org/10.3390/agriculture14091483

AMA Style

Trajkovski A, Bartolj J, Levstek T, Godeša T, Sečnik M, Hočevar M, Majdič F. Mechanical Inter- and Intra-Row Weed Control for Small-Scale Vegetable Producers. Agriculture. 2024; 14(9):1483. https://doi.org/10.3390/agriculture14091483

Chicago/Turabian Style

Trajkovski, Ana, Jan Bartolj, Tomaž Levstek, Tone Godeša, Matej Sečnik, Marko Hočevar, and Franc Majdič. 2024. "Mechanical Inter- and Intra-Row Weed Control for Small-Scale Vegetable Producers" Agriculture 14, no. 9: 1483. https://doi.org/10.3390/agriculture14091483

APA Style

Trajkovski, A., Bartolj, J., Levstek, T., Godeša, T., Sečnik, M., Hočevar, M., & Majdič, F. (2024). Mechanical Inter- and Intra-Row Weed Control for Small-Scale Vegetable Producers. Agriculture, 14(9), 1483. https://doi.org/10.3390/agriculture14091483

Note that from the first issue of 2016, this journal uses article numbers instead of page numbers. See further details here.

Article Metrics

Back to TopTop