Parametric Analysis and Numerical Optimization of Root-Cutting Shovel of Cotton Stalk Harvester Using Discrete Element Method
Abstract
1. Introduction
2. Materials and Methods
2.1. Soil-Loosening and Root-Cutting Cotton Stalk Pulling and Gathering Machine
2.1.1. The Structure and Working Principle of the Whole Machine
2.1.2. Technical Parameter
2.2. Calculation of Key Parameters of the V-Shaped Root-Cutting Knife
2.2.1. Design of Slide Cutting Angle of the V-Shaped Root-Cutting Knife
2.2.2. Design of Cutting-Edge Angle of the V-Shaped Root-Cutting Knife
2.2.3. Design of the Soil Entry Angle of the V-Shaped Root-Cutting Knife
2.3. Discrete Element Simulation of the V-Shaped Root-Cutting Knife
2.3.1. Establishment of Discrete Element Interaction Model between the V-Shaped Root-Cutting Knife and Root–Soil Complex
2.3.2. Simulated Tests
3. Simulation Results Analysis
3.1. Analysis of Influencing Factors of the Root-Cutting Force and the Mean Value of Cutting Resistance of the V-Shaped Root-Cutting Knife
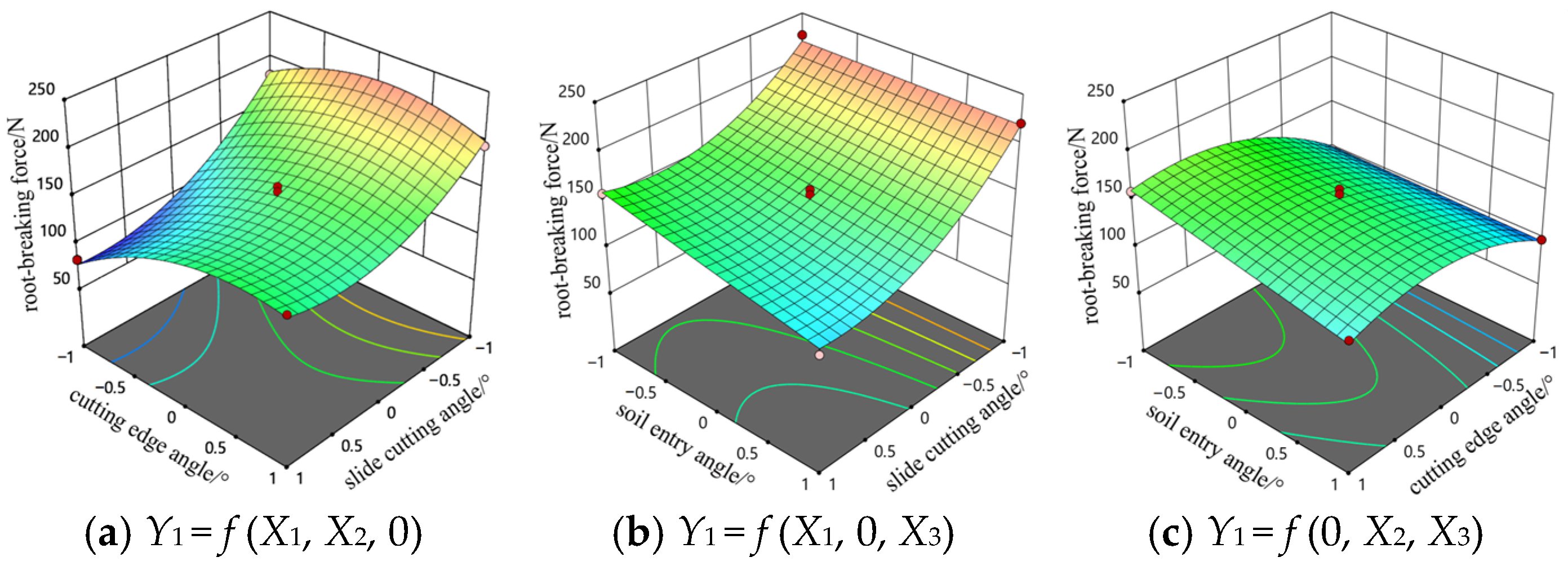
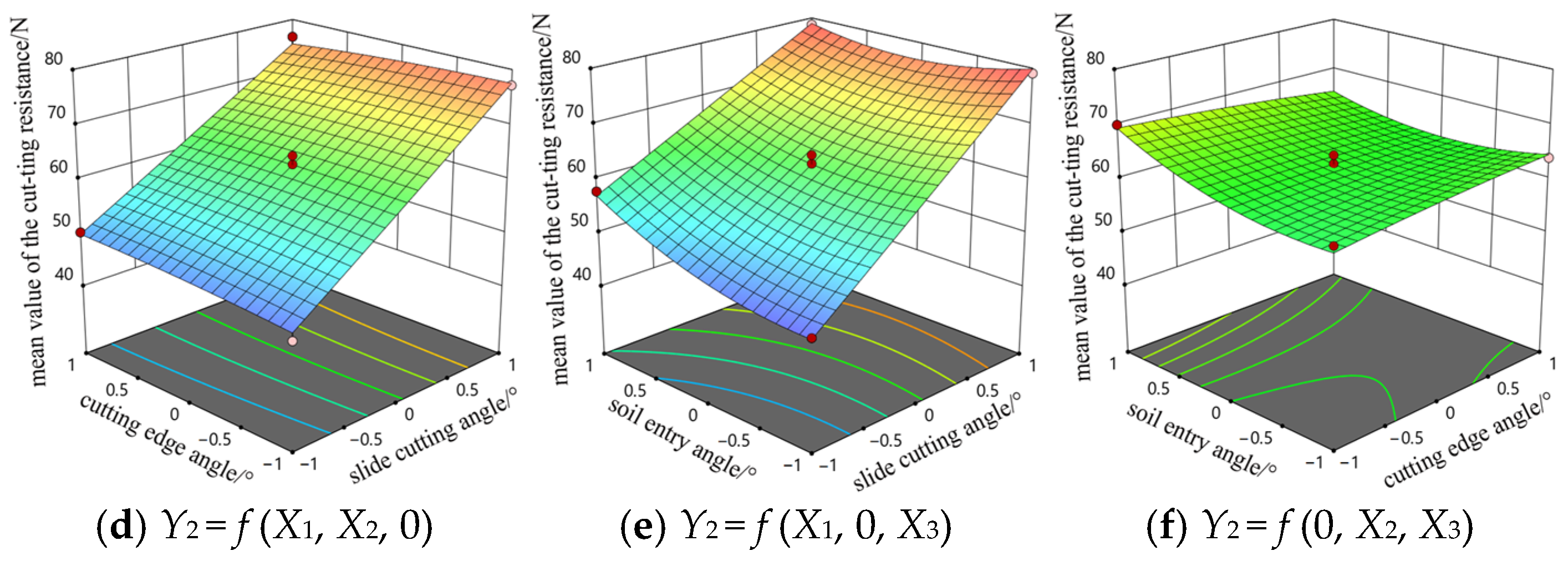
3.2. Analysis of Response Surface Results
3.3. Design of Optimized Parameters
3.4. Field Test
3.5. The Calculation and Finite Element Analysis of the Minimum Specific Energy Consumption
4. Conclusions
Author Contributions
Funding
Institutional Review Board Statement
Data Availability Statement
Acknowledgments
Conflicts of Interest
References
- Cheng, Y. Study on Fluctuation and Influencing Factors of Cotton Production in Xinjiang. Ph.D. Thesis, Shihezi University, Shihezi, China, 2022. (In Chinese). [Google Scholar]
- Sun, Z.Y. Research on the Adoption and Effectiveness Evaluation of Agricultural Socialized Services in Xinjiang Cotton Region. Ph.D. Thesis, Shihezi University, Shihezi, China, 2023. (In Chinese). [Google Scholar]
- Prakash, S.; Radha; Sharma, K.; Dhumal, S.; Senapathy, M.; Deshmukh, V.P.; Kumar, S.; Madhu; Anitha, T.; Balamurugan, V.; et al. Unlocking the potential of cottonstalk as a renewable source ofcellulose: A review on advancementsand emerging applications. Int. J. Biol. Macromol 2024, 261, 129456. [Google Scholar] [CrossRef] [PubMed]
- Ding, X.H.; Yan, L.H.; Guo, C.; Jia, D.Z.; Guo, N.N.; Wang, L.X. Synergistic Effects between Lignin, Cellulose and Coal in the Co-Pyrolysis Process of coal and Cotton Stalk. Molecules 2023, 28, 5708. [Google Scholar] [CrossRef] [PubMed]
- Narendra, R.; Yang, Y.Q. Properties and potential applications of natural cellulose fibers from the bark of cotton stalks. Bioresour. Technol. 2009, 100, 3563–3569. [Google Scholar]
- Cai, C.G.; Wang, Z.B.; Ma, L.; Xu, Z.X.; Yu, J.M.; Li, F.G. Cotton stalk valorization towards bio-based materials, chemicals, and biofuels: A review. Renew. Sustain. Energy Rev. 2024, 202, 114651. [Google Scholar] [CrossRef]
- Dong, Z.; Hou, X.L.; Ian, H.; Yang, Y.Q. Preparation and properties of cotton stalk bark fibers and their cotton blended yarns and fabrics. J. Clean. Prod. 2016, 139, 267–276. [Google Scholar] [CrossRef]
- Li, H.; Zhao, C.S.; Han, W.J.; Jiang, Y.F.; Wang, S. Preparation and Research of Environment-friendly Degradable Paper Mulching Film of Cotton Stalk Fiber. IOP Conf. Ser. Earth Environ. Sci. 2018, 199, 042052. [Google Scholar] [CrossRef]
- Shen, C.J.; Guo, H.J.; Dai, Y.M.; Li, F.; Cao, S.L.; Jin, X.W.; Shen, L.; Deng, Y. Situation and strategies of mechanization in recycling of cotton stalk in Xinjiang. J. Huazhong Agric. Univ. 2023, 42, 53–63. (In Chinese) [Google Scholar]
- Zhang, J.X.; Wang, T.Y.; Chen, M.J.; Zhao, W.S.; Wang, Z.W.; Yeerbolatl, T.M.E.; Wang, Y.C.; Liu, X.; Liu, A.P. Design of toothed disc cotton stalk harvester. Trans. Chin. Soc. Agric. Eng. 2019, 35, 1–8. (In Chinese) [Google Scholar]
- Chen, M.J.; Zhao, W.S.; Wang, Z.W.; Liu, K.K.; Chen, Y.S.; Hu, Z.C. Operation Process Analysis and Parameter Optimization of Dentate Disc Cotton-stalk Uprooting Mechanism. Trans. Chin. Soc. Agric. Mach. 2019, 50, 109–120. (In Chinese) [Google Scholar]
- Zhang, J.X.; Rui, Z.Y.; Cai, J.L.; Wang, Y.C.; Yeerbolatl, T.M.E.; Gao, Z.M. Design and Test of Front Mounted Belt Clamping and Conveying Cotton-stalk Pulling Device. Trans. Chin. Soc. Agric. Mach. 2021, 52, 77–84. (In Chinese) [Google Scholar]
- Xie, J.H.; Wu, S.H.; Cao, S.L.; Zhang, Y.; Zhao, W.S.; Zhou, J.B. Design and Experiment of Clamping Roller Cotton Stalk Extraction Device. Trans. Chin. Soc. Agric. Mach. 2023, 54, 101–111. (In Chinese) [Google Scholar]
- Chen, M.J. Research on the Key Technology of Dentate Disc Cotton-stalk Uprooting Machine. Ph.D. Thesis, Chinese Academy of Agricultural Sciences, Beijing, China, 2022. (In Chinese). [Google Scholar]
- Zhang, J.X.; Yang, R.; Wang, Z.W.; Hou, C.F.; Wang, Y.C.; Cai, J.L.; Yasenjiang, B.K.L.; Guo, G. Design and test of the cottonstalk pulling equipment with toothed plate. Trans. Chin. Soc. Agric. Eng. 2024, 40, 41–50. (In Chinese) [Google Scholar]
- Tang, Z.F.; Han, Z.D.; Gan, B.X.; Bao, C.L.; Hao, F.P. Design and Experient on Cotton Stalk Pullng Head with Regardless of Row. Trans. Chin. Soc. Agric. Eng. 2010, 41, 80–85. (In Chinese) [Google Scholar]
- Chen, W.X.; Ren, J.B.; Huang, W.L.; Chen, L.B.; Weng, W.X.; Chen, C.C.; Zheng, S.H. Design and Parameter Optimization of a Dual-Disc Trenching Device for Ecological Tea Plantations. Agriculture 2024, 14, 704. [Google Scholar] [CrossRef]
- Zhang, B.; Chen, J.; Zhu, Y.Y. Improved Design and Simulation of an Integrated Ridge-Breaking Earth Cultivator for Ratoon Sugarcane Fields. Agriculture 2024, 14, 1013. [Google Scholar] [CrossRef]
- Awuah, E.; Zhou, J.; Liang, Z.; Aikins, K.A.; Gbenontin, B.V.; Mecha, P.; Makange, N.R. Parametric analysis and numerical optimisation of Jerusalem artichoke vibrating digging shovel using discrete element method. Soil Tillage Res. 2022, 219, 105344. [Google Scholar] [CrossRef]
- Zhou, W.Q.; Ni, X.; Song, K.; Wen, N.; Wang, J.W.; Fu, Q.; Na, M.J.; Tang, H.; Wang, Q. Bionic Optimization Design and Discrete Element Experimental Design of Carrot Combine Harvester Ripping Shovel. Processes 2023, 11, 1526. [Google Scholar] [CrossRef]
- Huang, W.T.; Zhao, D.; Liu, C.; Meng, X.J.; Kong, L.H.; Du, W.H. Optimization of garlic digging shovel parameters based on EDEM and quadratic regression orthogonal rotation combination design. In Proceedings of the 2020 3rd World Conference on Mechanical Engineering and Intelligent Manufacturing (WCMEIM), Shanghai, China, 4–6 December 2020; pp. 707–711. [Google Scholar]
- Zou, L.L.; Yan, D.W.; Niu, Z.R.; Yuan, J.; Cheng, H.; Zheng, H. Parametric analysis and numericaloptimisation ofspinach root vibration shovel cutting using discreteelement method. Comput. Electron. Agric. 2023, 212, 108138. [Google Scholar] [CrossRef]
- Liu, S.H.; Weng, S.J.; Liao, Y.L.; Zhu, D.Y. Structural Bionic Design for Digging Shovel of cassava Harvester Considering Soil Mechanics. Appl. Bionics Biomech. 2014, 11, 1–2. [Google Scholar] [CrossRef]
- Gao, J.M.; Jin, Z.P.; Ai, A.J. The Optimized Design of Soil-Touching Parts of a Greenhouse Humanoid Weeding Shovel Based on Strain Sensing and DEM-ADAMS Coupling simulation. Sensors 2024, 24, 868. [Google Scholar] [CrossRef]
- Zhu, L.Y. Study on Cotton Root and Shoot Morphological and Physiological Characteristies and Root Transcriptome under Low Nitrogen Conditions. Ph.D. Thesis, Hebei Agricultural University, Baoding, China, 2022. (In Chinese). [Google Scholar]
- Coetzee, C.J.; Lombard C J Coetzee, S.G.; Lombard, S.G. The destemming of grapes: Experiments and discrete element modelling. Biosyst. Eng 2013, 114, 232–248. [Google Scholar] [CrossRef]
- Luo, Q.; Huang, X.P.; Wu, J.F.; Mou, X.B.; Li, S.Y.; Ma, G.J.; Wan, F.X.; Peng, L.Z. Simulation Analysis and Parameter Optimization of Seed-Flesh Separation Process of Seed Melon Crushing and Seed Extraction Separator Based on DEM. Agriculture 2024, 14, 1008. [Google Scholar] [CrossRef]
- Li, J.L.; Lu, Y.T.; Peng, X.B.; Jiang, P.; Zhang, B.C.; Zhang, L.Y.; Meng, H.W.; Kan, Z.; Wang, X.Z. Discrete element method for simulation and calibration of cotton stalk contact parameters. BioResources 2022, 18, 400–416. [Google Scholar] [CrossRef]
- Zhang, J.X.; Zang, P.; Zhang, H.; Tan, C.L.; Wan, W.Y.; Wang, Y.C. Calibration of Simulation Parameters of Xinjiang Cotton Straw Based on Discrete Element Method. Trans. Chin. Soc. Agric. Mach. 2023, 55, 11–16. (In Chinese) [Google Scholar]
- Jiang, D.L.; Chen, X.G.; Yan, L.M.; Gou, H.X.; Yang, J.C.; Li, Y. Parameter Calibration of Discrete Element Model for Cotton Rootstalk–Soil Mixture at Harvest Stage in Xinjiang Cotton Field. Agriculture 2023, 13, 1344. [Google Scholar] [CrossRef]















| Parameter | Values |
|---|---|
| Overall dimensions (length × width × height)/mm × mm × mm | 2570 × 2230 × 1400 |
| Working width/mm | 2000 |
| Width of V-shaped root-cutting knife/mm | 6 |
| Thickness of V-shaped root-cutting knife/mm | 6 |
| Operating width of single V-shaped root-cutting knife/mm | 150 |
| Width of gathering device/mm | 150 |
| Operating speed/m s−1 | 1.5 |
| Reel wheel speed/r min−1 | 80 |
| Helicoid strips speed/r min−1 | 140 |
| Parameter | Values | Parameter | Values |
|---|---|---|---|
| Density of soil/kg·m−3 | 2300 | Coefficient of restitution of soil-soil | 0.6 |
| Poisson’s ratio of soil | 0.35 | Coefficient of static friction of soil-soil | 0.45 |
| Shear modulus of soil/MPa | 1.07 | Coefficient of rolling friction of soil-soil | 0.21 |
| Density of root/kg·m−3 | 825.8 | Coefficient of restitution of root-root | 0.384 |
| Poisson’s ratio of root | 0.35 | Coefficient of static friction of root-root | 0.597 |
| Shear modulus of root/MPa | 692 | Coefficient of rolling friction of root-root | 0.06 |
| Density of shovel/kg·m−3 | 7865 | Coefficient of restitution of root–soil | 0.453 |
| Poisson’s ratio of shovel | 0.3 | Coefficient of static friction of root–soil | 0.625 |
| Shear modulus of shovel/MPa | 7.9 × 104 | Coefficient of rolling friction of root–soil | 0.7 |
| Coefficient of restitution of soil-shovel | 0.6 | Coefficient of restitution of root-shovel | 0.429 |
| Coefficient of static friction of soil-shovel | 0.6 | Coefficient of static friction of root-shovel | 0.561 |
| Coefficient of rolling friction of soil-shovel | 0.05 | Coefficient of rolling friction of root-shovel | 0.08 |
| Normal Stiffness per it area of soil/N·m−3 | 5.302 × 108 | Normal Stiffness per area of root/N·m−3 | 4.15 × 1010 |
| Shear Stiffness per uite area of soil/N·m−3 | 4.486 × 108 | Shear Stiffness per unit area of root/N·m−3 | 5.6 × 1010 |
| Normal Strength of soil/Pa | 5.5 × 105 | Normal Strength of root/Pa | 4 × 107 |
| Shear Strength of soil/Pa | 5.303 × 105 | Shear Strength of root/Pa | 5 × 107 |
| Bonded Disk Scale of soil | 2.4 | Bonded Disk Scale of root | 0.84 |
| Level | Slide Cutting Angle X1 (°) | Cutting-Edge Angle X2 (°) | Soil Entry Angle X3 (°) |
|---|---|---|---|
| −1 | 36 | 43.2 | 13 |
| 0 | 45.5 | 53.35 | 29 |
| 1 | 55 | 63.5 | 45 |
| Test Number | X1 | X2 | X3 | Root-Breaking Force | Mean Value of the Cutting Resistance |
|---|---|---|---|---|---|
| 1 | −1 | 0 | −1 | 226.6 | 46.8 |
| 2 | 0 | 1 | 1 | 122.9 | 64.4 |
| 3 | 1 | 1 | 0 | 144.1 | 76.6 |
| 4 | 0 | 0 | 0 | 140.7 | 64.5 |
| 5 | 0 | −1 | 1 | 98.6 | 70 |
| 6 | 1 | 0 | 1 | 108.2 | 78.7 |
| 7 | 0 | 1 | −1 | 159.1 | 64 |
| 8 | 0 | 0 | 0 | 157.4 | 62.1 |
| 9 | −1 | 1 | 0 | 195.1 | 50.2 |
| 10 | 0 | 0 | 0 | 140.2 | 62.1 |
| 11 | 1 | 0 | −1 | 157.4 | 79.1 |
| 12 | −1 | −1 | 0 | 180.9 | 46.2 |
| 13 | 0 | 0 | 0 | 151.9 | 62.5 |
| 14 | 1 | −1 | 0 | 82.5 | 77.2 |
| 15 | −1 | 0 | 1 | 220.9 | 57.8 |
| 16 | 0 | −1 | −1 | 97.6 | 62 |
| 17 | 0 | 0 | 0 | 145.3 | 62.9 |
| Source | Sum of Squares | df | Mean Square | F Value | p Value | Significant Degree |
|---|---|---|---|---|---|---|
| Model | 26,305.24 | 9 | 2922.8 | 49.42 | <0.0001 | ** |
| A | 13,719.96 | 1 | 13,719.96 | 231.99 | <0.0001 | ** |
| B | 3264.32 | 1 | 3264.32 | 55.2 | 0.0001 | ** |
| C | 1014.75 | 1 | 1014.75 | 17.16 | 0.0043 | ** |
| AB | 561.69 | 1 | 561.69 | 9.5 | 0.0178 | * |
| AC | 473.06 | 1 | 473.06 | 8 | 0.0255 | * |
| BC | 345.96 | 1 | 345.96 | 5.85 | 0.0462 | * |
| A2 | 4082.29 | 1 | 4082.29 | 69.03 | <0.0001 | ** |
| B2 | 3204.51 | 1 | 3204.51 | 54.18 | 0.0002 | ** |
| C2 | 0.0059 | 1 | 0.0059 | 0.0001 | 0.9923 | / |
| Residual | 413.98 | 7 | 59.14 | |||
| Lack of Fit | 193.04 | 3 | 64.35 | 1.16 | 0.4267 | / |
| Pure Error | 220.94 | 4 | 55.24 | |||
| Cor Total | 26,719.22 | 16 |
| Source | Sum of Squares | df | Mean Square | F Value | p Value | Significant Degree |
|---|---|---|---|---|---|---|
| Model | 1656.8 | 9 | 184.09 | 99.87 | <0.0001 | ** |
| A | 1529.05 | 1 | 1529.05 | 829.52 | <0.0001 | ** |
| B | 0.005 | 1 | 0.005 | 0.0027 | 0.9599 | / |
| C | 45.13 | 1 | 45.13 | 24.48 | 0.0017 | ** |
| AB | 5.29 | 1 | 5.29 | 2.87 | 0.1341 | / |
| AC | 32.49 | 1 | 32.49 | 17.63 | 0.0040 | ** |
| BC | 14.44 | 1 | 14.44 | 7.83 | 0.0266 | * |
| A2 | 0.0557 | 1 | 0.0557 | 0.0302 | 0.8669 | / |
| B2 | 0.6241 | 1 | 0.6241 | 0.3386 | 0.5789 | / |
| C2 | 29.9 | 1 | 29.9 | 16.22 | 0.0050 | ** |
| Residual | 12.9 | 7 | 1.84 | |||
| Lack of Fit | 8.94 | 3 | 2.98 | 3 | 0.1579 | / |
| Pure Error | 3.97 | 4 | 0.992 | |||
| Cor Total | 1669.7 | 16 |
Disclaimer/Publisher’s Note: The statements, opinions and data contained in all publications are solely those of the individual author(s) and contributor(s) and not of MDPI and/or the editor(s). MDPI and/or the editor(s) disclaim responsibility for any injury to people or property resulting from any ideas, methods, instructions or products referred to in the content. |
© 2024 by the authors. Licensee MDPI, Basel, Switzerland. This article is an open access article distributed under the terms and conditions of the Creative Commons Attribution (CC BY) license (https://creativecommons.org/licenses/by/4.0/).
Share and Cite
Liu, H.; Cao, S.; Han, D.; He, L.; Li, Y.; Cai, J.; Meng, H.; Wang, S. Parametric Analysis and Numerical Optimization of Root-Cutting Shovel of Cotton Stalk Harvester Using Discrete Element Method. Agriculture 2024, 14, 1451. https://doi.org/10.3390/agriculture14091451
Liu H, Cao S, Han D, He L, Li Y, Cai J, Meng H, Wang S. Parametric Analysis and Numerical Optimization of Root-Cutting Shovel of Cotton Stalk Harvester Using Discrete Element Method. Agriculture. 2024; 14(9):1451. https://doi.org/10.3390/agriculture14091451
Chicago/Turabian StyleLiu, Hua, Silin Cao, Dalong Han, Lei He, Yuanze Li, Jialin Cai, Hewei Meng, and Shilong Wang. 2024. "Parametric Analysis and Numerical Optimization of Root-Cutting Shovel of Cotton Stalk Harvester Using Discrete Element Method" Agriculture 14, no. 9: 1451. https://doi.org/10.3390/agriculture14091451
APA StyleLiu, H., Cao, S., Han, D., He, L., Li, Y., Cai, J., Meng, H., & Wang, S. (2024). Parametric Analysis and Numerical Optimization of Root-Cutting Shovel of Cotton Stalk Harvester Using Discrete Element Method. Agriculture, 14(9), 1451. https://doi.org/10.3390/agriculture14091451

