Abstract
Plasma seed pretreatment is an important means to rapidly improve seed quality. The studies on plasma-generating devices suitable for continuous seed pretreatment at atmospheric pressure have been relatively limited. Gliding arc discharge can generate atmospheric pressure plasma at room temperature, which provides a new way to use plasma to treat seeds at ambient temperature and pressure. By analyzing the influence of structural characteristics, such as gliding arc electrode shape, discharge distance, and electrode opening angle on plasma distribution, a plasma seed treatment method based on negative pressure guidance was proposed, and the electrode structure was optimized. The results show that the reasonable matching of electrode structure parameters can improve the gliding arc guiding ability of the discharge electrode. Comparing the three electrode shapes, it was found that the triangular electrode had the best gliding arc guiding ability, and it had the potential to further increase the plasma size with the increase in the electrode size. The discharge distance and electrode opening angle had a significant impact on the gliding arc guiding ability of the discharge electrode. When the discharge distance was 15 mm and the electrode opening angle was 76°, the structure parameters of the plasma seed treatment electrode were matched with each other, and the best processing capacity was achieved. After 10 s of gliding arc plasma treatment with the optimized triangular electrode structure, the seed germination rate and germination index of Leymus chinensis ((Trin.) Tzvel) increased by 33.3% and 13.8%. This study provides a theoretical basis for the design and optimization of gliding arc electrode structures and serves as a reference for the research and development of plasma generators for continuous seed treatment at atmospheric pressure.
1. Introduction
Seed pretreatment technology is an important means to enhance seed quality, and it has important practical significance to improve crop yield and quality [1,2]. At present, the main methods to enhance the seed quality of Leymus chinensis ((Trin.) Tzvel) before sowing include chemical, physical, and biological treatments [3,4]. Chemical treatments can easily cause pesticide damage, harm soil, water, and the atmospheric environment; endanger the health of humans and animals; and fail to improve the overall disease resistance, cold resistance, and drought resistance of seeds [5]. Biological agents, hormones, plant extracts, etc., are important sources of biochemicals that biodegrade easily and provide an alternative to pre-sowing seed treatment. Biological treatments are costly and susceptible to temperature, humidity, soil conditions, and other microorganisms in the environment, and have many limitations in terms of their use in different environments [6]. Therefore, there is an urgent need to find a green and safe physical technology to improve seed vitality and promote crop growth [7,8].
In recent years, the plasma treatment of seeds has been widely studied and applied [9,10,11,12,13,14], which can stimulate the endogenous substances of seeds [15,16,17], thereby improving the germination potential, germination rate, and resistance ability of seeds [18], and, at the same time, offer the function of disinfection and sterilization [19,20]. There are relatively many studies on the application of plasma seed treatment to promote seed germination and seedling growth [21,22], but research on plasma-generating devices suitable for continuous seed pretreatment at atmospheric pressure is relatively limited. Feng, J.K., et al. [23] developed a low-pressure plasma seed treatment machine with a batch capacity of 25 kg, and its RF capacitive-coupled plasma generator was installed in a sealed processing chamber. Wang, M., et al. [24] transferred a single-layer tiled seed between the upper and lower electrodes of a plasma generator. Using parallel liquid electrodes to generate plasma in a dielectric barrier discharge gap of 10 mm, this was an earlier attempt to carry out plasma seed treatment under atmospheric pressure. Vlasta, S., et al. [25] achieved plasma seed treatment by using a moving brush to transmit seeds continuously through coplanar discharge units. Brust, H., et al. [26] used a spiral conveyor to move seeds continuously through the coaxial cylinder discharge gap, achieving a processing capacity of several kilograms per hour. Despite the inert discharge gas, the plasma region remained uneven with filamentous discharge.
Plasma is mainly generated by dielectric barrier discharge, glow discharge, gliding arc discharge, and corona discharge [27,28,29]. In comparison, corona discharge easily produces tip discharge when treating seeds, which can burn seeds [30,31]. Low discharge produces plasma in low pressure environments [32,33]. Dielectric barrier discharge has a small, uniform discharge gap [34,35], which strictly limits the size of the seeds [36]. Gliding arc discharge can generate wide plasma in open space, with high discharge uniformity while increasing the working area [37]. Meanwhile, gliding arc plasma has a high energy density, which can achieve a treatment effect in a shorter time. These advantages have promoted the large-scale application of gliding arc plasma in material surface treatment [38], seed pretreatment [39], textile wastewater treatment [40], etc. Sera, B., et al. [41] reported the earliest application of plasma seed pretreatment. In order to avoid plasma heating the seeds, the distance between electrodes and seeds (250 mm) was larger than the plasma discharge area. Since the seeds were not located in the discharge area, a longer pretreatment time was required. In other words, the pretreatment efficiency was low. Roy, N.C., et al. [42] rotated the seed treatment chamber to ensure uniform treatment. To our best knowledge, there have been few reports on gliding arc seed treatment devices.
In this study, a gliding arc plasma seed treatment device based on negative pressure guidance was established. The experiment was carried out to investigate the effects of the electrode shape, discharge distance, electrode opening angle, and other electrode structure characteristics on the plasma distribution characteristics. The electrode structure was then optimized based on this analysis of influencing factors. In order to verify the effect of seed pretreatment, a seed germination test with Leymus chinensis ((Trin.) Tzvel) was carried out. This study provides a reference for the design and optimization of the gliding arc electrode structure and is conducive to the research and development of plasma seed treatment at atmospheric pressure.
2. Materials and Methods
2.1. Source of Plasma Production
This paper details the design of a plasma seed pretreatment device, which is mainly composed of a plasma treatment chamber, plasma power supply, gliding arc electrodes, airflow guiding system, and other parts, as shown in Figure 1. The gliding arc electrodes were installed in the center of the rectangular air duct of the plasma treatment chamber (160 × 60 mm). The gliding arc discharge was generated by the plasma power supply, which was powered by AC (CTP-2000K, Suman Plasma Technology Co., Ltd., Nanjing, China), with a voltage amplitude of 40 kV and a working frequency of 6 kHz. The airflow-guiding system was installed under the plasma treatment chamber, which provided negative pressure airflow to guide the arc movement. The wide plasma was generated by the high-frequency gliding of the arc between the gliding arc electrodes. When the test system was working, the airflow guiding system was set to produce a negative pressure airflow with a flow rate of 48,000 cm3/s (determined by pre-experiment) and the working exhaust gas generated by the gliding arc discharge was guided and collected by the negative pressure flow. Table 1 provides additional details about the specifications of plasma generators, and a more detailed description can be found in our preliminary work [39].
Figure 1.
Plasma pretreatment device. The plasma device used gliding arc discharge to generate plasma. Single-layer seeds were transported by a mesh belt into the plasma working area. The plasma generated at the electrode side was guided by the airflow through the mesh belt to achieve uniform plasma discharge around the seeds. The seeds were adsorbed on the mesh belt by the negative pressure airflow, so as to avoid the seeds being blown away by the airflow. (a) Structure diagram. (b) Trial-manufacture model: 1. image processing computer; 2. camera; 3. plasma power supply; 4. adjustable electrode system; 5. gliding arc electrode; 6. mesh belt; 7. airflow guiding system.
Table 1.
Review of the electrical characteristics of plasma generators.
2.2. Design of Electrode Structure
Under the guidance of consistent airflow, the plasma distribution characteristics were mainly affected by the electrode structure. Referring to the common gliding arc discharge electrode structure, three stainless steel metal electrodes with a thickness of 1 mm were designed. Figure 2 shows the three structure electrodes: a circular electrode (Figure 2a), an elliptical electrode (Figure 2b), and a triangular electrode (Figure 2c).
Figure 2.
Structure of gliding arc discharge electrode. The circular electrode is a quarter circle of radius R, the elliptical electrode is a quarter ellipse with a short diameter R and a long diameter of 2R, and the triangular electrode is an isosceles triangle with side length R. The letter d is the discharge distance of discharge electrode. The letter θ is the electrode opening angle. (a) Circular electrode. (b) Elliptic electrode. (c) Triangular electrode.
In order to compare the three electrode structures, the size of the three electrodes was controlled by the R value centered on the electrode mounting point. The discharge distance (d) of the gliding arc electrodes was changed by adjusting the installation position of the electrode. And the electrode opening angle (θ) can be changed by adjusting the installation angle of the electrode.
2.3. Experiment Design of Plasma Distribution Characteristics
2.3.1. Experimental Design of Electrode Shape
The discharge electrodes with R values of 20 mm, 30 mm, 40 mm, 50 mm, and 60 mm were obtained, respectively, and a total of 15 pairs of three electrode structures, namely circular, elliptical, and triangular. The discharge distance d of each pair of electrodes were installed and adjusted to 15 mm. After each pair of electrodes was energized, the camera was used to collect image data after 5 s. The test was repeated after the power supply was turned off and the electrode cooled. Each test was repeated 3 times, and the plasma size was measured using the image processing method.
2.3.2. Experimental Design of Discharge Distance and Electrode Opening Angle
The electrode shape was determined according to the experimental results shown in Section 2.3.1. The effects of discharge distance and electrode opening angle on plasma distribution characteristics were investigated by a comprehensive random experiment. The electrode shape and electrode size were kept unchanged; the discharge distance d was set to 3 levels at 5 mm, 10 mm, and 15 mm; and the electrode opening angle was set to 5 levels at 20°, 40°, 60°, 80°, and 100°. The test process was consistent with the above steps. Data were statistically analyzed using the SPSS 20 data analysis software, and the significance level was p < 0.05.
2.4. Dimensional Characterization of Plasma Distribution
The gliding arc discharge images were acquired using a digital camera, and the plasma dimensions were measured using an image processing method. Based on relevant studies, plasma length, plasma width, and plasma area were used to characterize plasma distribution. The dimensional characterization of plasma distribution is shown in Figure 3.
Figure 3.
The plasma dimensions of gliding arc discharge. The plasma length (L) was the longest distance in open space after the arc gliding away from the electrode in the airflow direction. The plasma width (W1) was the maximum width of the plasma discharge region between the gliding arc electrodes. The plasma width (W2) was the width of the plasma discharge region at L/2. The plasma area (Area) was the total area of the plasma discharge region where the images were acquired. (a) Elliptic electrode. (b) Triangular electrode. (c) Circular electrode.
2.5. Seed Germination Method
In order to verify the application effect of plasma seed treatment, seed germination test was carried out to study the effect of gliding arc discharge plasma on seed germination such as germination rate, germination speed, and germination index. Experimental seeds were collected from Baicheng City, Jilin Province, China, in 2022. Stones, stalks, broken leaves, and shriveled seeds were removed before plasma seed treatment. To maintain consistent seed quality across all treatment groups, seeds were randomly selected from fully mixed wild seeds for the germination test.
The paper germination method was used in the seed germination test. Firstly, two layers of moistened germinating paper were placed in the Petri dish to prepare the germinating bed. Next, seed samples were randomly taken from the treated seeds. Finally, the seed samples were evenly distributed in the germinating bed with 100 seeds in a treatment group, and this was repeated 4 times. The light and temperature conditions required for seed germination were provided by an artificial climate chamber (BD-PRX, Nanjing Beidi Experimental Instrument Co., Ltd. Nanjing, China), and the germination test conditions were 2 °C/16 h darkness and 30 °C/8 h light.
The seed germination of the treatment groups was counted daily. The criterion for germination was that the bud broke through the seed coat. The seed germination rate was the percentage of the number of germinated seeds to the number of tested seeds. The final germination rate was the seed germination rate corresponding to the last day of germination statistics. T50 was the number of germination days corresponding to 50% of the final germination rate. The seed germination index was calculated using the following formula:
where G was the seed germination rate, n was the number of germinated seeds, and N was the total number of tested seeds.
where GI was the germination index, Gt was the number of germinated seeds, and Dt was the number of germination days corresponding to Gt.
3. Results and Analysis
3.1. Effect of the Electrode Shape on the Plasma Distribution
The plasma dimensions generated by the different electrode shapes are shown in Table 2. The plasma distribution of the three electrode shapes showed that the plasma width (W1) and (W2), plasma length (L), and plasma area (Aera) increased with the increase in R value (electrode size). For the circular electrode, the electrode size had a significant effect on W1 and Aera. For the elliptical electrode, the electrode size has no significant effect on L. For the triangular electrode, the electrode size had a significant effect on W1 and Aera. In summary, the electrode size had a significant impact on W1 and Aera, but had no significant influence on L.
Table 2.
The plasma dimensions generated by the different electrode shapes.
Five groups of different R values were set up in the experiment, the three electrode shapes generated different plasma dimensions. When R was 30 mm and 40 mm, W2 and L generated by the three electrodes did not change significantly. When R was 60 mm, the average values of W1, W2, and Aera generated by the triangular electrode were 101 mm, 80 mm, and 131 cm2, which were significantly larger than those of the elliptical electrode (W1 = 91, W2 = 60, Aera = 101) and the circular electrode (W1 = 82, W2 = 63, Aera = 86). In summary, the electrode shape had a significant impact on W1 and Aera, but had no significant impact on L.
Compare the plasma shape generated by the different electrodes, as shown in Figure 4. When R was 20 mm, the gliding arc reached the end of the three electrodes driven by the air flow, but when R was greater than 30 mm, the arc could not glide to the end along the circular electrode. When R was greater than 40 mm, the arc could not slide to the end along the elliptical electrode. When R increased to 60 mm, an obvious floating arc phenomenon was observed. And the discharge of elliptical electrode decreased with the increase in electrode size (R). However, the gliding arc reached the end of the triangular electrode in all electrode sizes (R).
Figure 4.
The plasma distribution generated by the different electrode shapes. The three electrode shapes were circular electrode, elliptical electrode, and triangular electrode. Five groups of different R values (20 mm, 30 mm, 40 mm, 50 mm, and 60 mm) were set up in this experiment.
Further analysis revealed that although the increase in electrode size increased the plasma width, the plasma width growth rate generated by the three electrodes was different. Figure 5 shows the change curve of W1 with R, and the slope of the curve characterized the plasma width growth rate. The circular electrode structure maintained a low plasma width growth rate, and further increasing R cannot significantly increase W1. The plasma width growth rate of the elliptical electrode structure gradually decreased with the increase in the electrode size (R). And W1 did not increase when the electrode size increased to 60 mm. In contrast, the triangular electrode had the highest plasma width growth rate.
Figure 5.
Effect of electrode shape on plasma width (W1).
In conclusion, the gliding arc guiding ability of discharge electrode was mainly reflected in the ability to guide the arc slide along the horizontal direction. Compared with the other two electrode shapes, the arc generated by the triangular electrode was able to reach the end of the electrode (Figure 4). And the triangular electrode showed better gliding arc guiding ability. Therefore, it had the potential to further increase the plasma size as the electrode size increased.
3.2. Effect of Discharge Distance and Electrode Opening Angle on the Plasma Distribution
As mentioned above, the triangular electrode showed better gliding arc guiding ability. In order to explore the effect of the discharge distance and the electrode open angle on the plasma distribution, the triangular electrode was selected to carry out the test as described in Section 2.3.2. The effect of different discharge distances and electrode opening angles on the plasma dimensions is shown in Figure 6, and the gliding arc plasma distribution is shown in Figure 7.
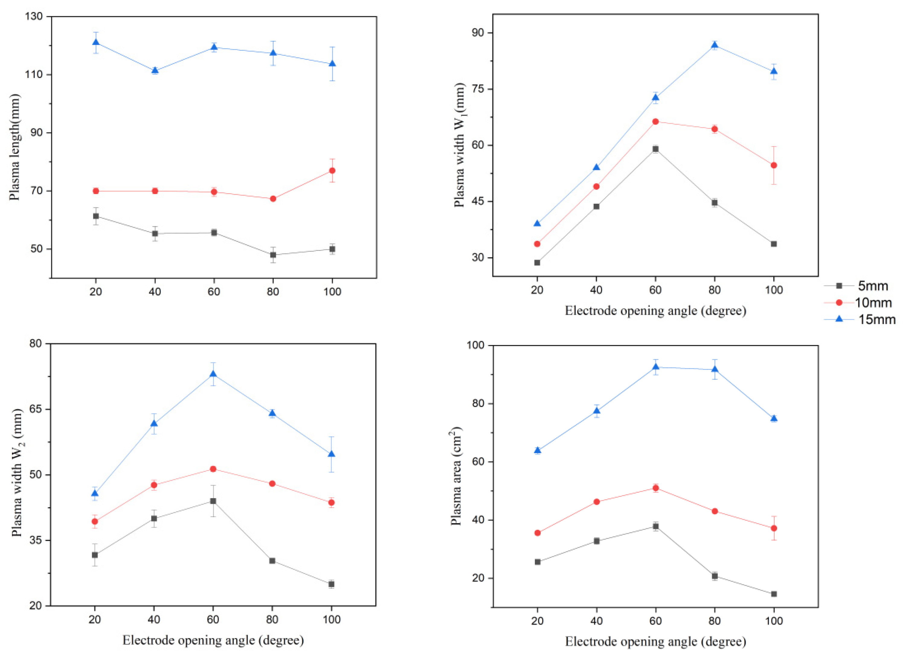
Figure 6.
Effect of discharge distance (d) and electrode opening angle (θ) on plasma dimensions. The numbers in the legend represent the discharge distance.
Figure 7.
The plasma distribution generated by the different discharge distance (d) and electrode opening angle (θ). The electrode shape was triangular electrode. Five groups of different θ values (20°, 40°, 60°, 80° and 100°) were set up in this experiment, and the discharge distance (d) was set up as three levels of 5 mm, 10 mm and 15 mm.
The discharge distance had significant effects on L, W1, W2, and Aera. The plasma dimensions of the five electrode opening angles showed that the plasma widths W1 and W2 and the L and Aera increased with the increase in discharge distance (d). The reason for this phenomenon was that increasing the discharge distance can increase the gas gap between the gliding arc electrodes, which was conducive to increasing the arc length and the gliding distance, so as to enhance gliding arc discharge. Therefore, increasing the discharge distance can improve the gliding arc guiding ability of the discharge electrode.
Comparing plasma dimensions at different electrode opening angles, it was found that W1, W2, and Aera increased first and then decreased with the increase in electrode opening angle at all three discharge distances. However, L did not show significant changes with the increase in electrode opening angle. The electrode opening angle had a significant effect on W1, W2, and Aera, and no significant effect on L.
Compare the plasma shape generated by the different electrode opening angles, as shown in Figure 6. When the electrode opening angle (θ) was in the range of 20~60°, the arc glides to the end of the discharge electrode. In other words, gliding arc discharge was fully developed. At this point, W1 and W2 increased with the increasing of the electrode opening angle. Specifically, there was an approximately linear positive correlation between W1 and θ (Figure 6). This indicates that when the gliding arc discharge is fully developed, the transverse dimension of the discharge electrode can increase with the increase in the opening angle and the plasma width W1 and W2 can increase. The reason for this phenomenon was that increasing the electrode opening angle can increase the electrode size along the horizontal direction. When gliding arc discharge was fully developed, increasing the electrode opening angle can improve the gliding arc guiding ability of the discharge electrode.
When θ was greater than 80°, the arc cannot glide to the end along the discharge electrode. With the further increase in θ, the gliding distance became smaller. When θ increased to a certain value, the gliding distance decreased significantly. As a result, with the increasing of θ, W1 increased slowly and W2 decreased significantly.
Further analysis revealed that the gliding arc discharge had different optimal electrode opening angles at different discharge distances. Comparing the five electrode opening angles, it was found that when the discharge distance was 5 mm and 10 mm, W1, W2, and Aera reached the maximum at the electrode opening angle of 60°. When the discharge distance was 15 mm, both W1 and Aera reached the maximum at the electrode opening angle of 80°. The gliding arc plasma had different optimal electrode opening angles at different discharge distances, probably because of the interaction between the electrode open angle and the discharge distance.
3.3. Effect of Interaction between Discharge Distance and Electrode Opening Angle on Plasma Distribution
The regression fitting of the test data shown in Section 2.3.2 was carried out by using Design-Expert 12 software. As shown in Equations (3)–(6), a regression model between discharge distance, electrode opening angle, and plasma dimensions (L, W1, W2, Aera) was established. The results of the ANOVA analysis are shown in Table 2.
where d is the discharge distance, mm. θ is the electrode opening angle, degree.
As shown in Table 3, the interaction between discharge distance and electrode opening angle had a significant influence on W1 and Area. Figure 8 shows the influence of the discharge distance, electrode opening angle, and their interaction on the plasma distribution. Comparing plasma dimensions at different electrode opening angles, it was found that W1 increased first and then decreased with the increase in electrode opening angle at all three discharge distances. There was an optimal electrode opening angle to maximize W1. And the optimal electrode opening angle increased with the increase in discharge distance.
Table 3.
Variance analysis of the regression models.

Figure 8.
The influence model of electrode structural parameters (discharge distance and electrode opening angle) on plasma dimensions.
The effect of discharge distance and electrode opening angle on W2 and Aera was similar to the change trend of W1. Therefore, while increasing the discharge distance, determining the optimal electrode opening angle can improve the gliding arc guiding ability of discharge electrode, which had the potential to further increase plasma dimensions.
This study took the maximum values of L, W1, W2, and Aera as the optimization targets, and the target weight was set at 5:1:1:3. Using regression Equations (3)–(6) to optimize the electrode structure, the optimal parameter combination of triangular electrode was obtained as follows: the electrode opening angle was 76° and the discharge distance was 15 mm.
3.4. Results and Analysis of the Plasma Seed Treatment Test
In this study, a gliding arc plasma seed treatment device based on negative pressure guidance was established. Leymus chinensis ((Trin.) Tzvel)) seeds were selected as the treatment object, and the seeds were transported by a mesh belt into the plasma processing chamber. When the distance between the seeds and the discharge electrode was less than 10 mm, the arc could burn the seeds. The plasma distribution image showed that the plasma size decreases after leaving the discharge electrode. In other words, the plasma width decreases with the increase in the distance. Therefore, the plasma treatment distance should not be too large, otherwise the seed treatment width will decrease. All things considered, we set the distance at 15 mm.
As seen in the experimental results given in Section 2.3, the triangular electrode was used to generate gliding arc plasma. The electrode open angle was set to 76° and the discharge distance was set to 15 mm, and plasma seed treatment was carried out to verify the application effect.
The seed germination results of Leymus chinensis ((Trin.) Tzvel)) are shown in Table 4. Gliding arc plasma treatment can significantly enhance the seed germination of Leymus chinensis ((Trin.) Tzvel)) such as germination rate, T50, and germination index. The plasma treatment time significantly affected the seed germination of Leymus chinensis ((Trin.) Tzvel)). When the gliding arc plasma treatment time was 10 s, the optimal germination indexes of Leymus chinensis ((Trin.) Tzvel)) were obtained as follows: the seed germination rate was 20%, the T50 was 10 days, and the germination index was 10.7. These germination indexes decreased with the further increase in treatment time.
Table 4.
Effect of plasma treatment time on seed germination index.
Compared with the control group, the germination rate and germination index increased by 33.3% and 13.8% after 10 s of gliding arc plasma seed treatment. The results showed that the gliding arc plasma treatment technology could promote seed germination.
4. Discussion
Plasma seed pretreatment is an important means to rapidly improve seed quality, which plays an important role in enhancing water absorption, increasing germination rate, inactivating pathogenic microorganisms, and enhancing the stress resistance of seeds [48]. In terms of seed surface characteristics, Gomez-Ramierez, A., et al. [49] found that plasma can enhance the water absorption capacity of seeds. The structural damage of seed surface is an important factor in the permeability changes in the seed coat. Plasma pretreatment can not only change the physical properties of seeds, such as wettability and permeability, but can also affect the germination process through chemical changes. Wang, X.Q., et al. [50] studied the effect of plasma on the main chemical groups on the seed surface and concluded that nitrogen oxides such as NO, N2O, and NO2 play an important role in seed germination and microbial elimination on the seed surface. The mechanism of plasma seed pretreatment is the result of the interaction of various mechanisms, including plasma etching, surface functionalization, seed disinfection, hormone regulation, and gene expression enhancement.
According to a review [6], plasma seed pretreatment technology is still in its early stages of research [11]. Although plasma seed pretreatment has been widely studied and applied, the specific mechanism of plasma’s positive biological effects on seeds remains unclear. Treatment time, discharge parameters, working gas, and other process parameters can affect the type and yield of plasma active components [28,51]. Due to the diversity of plasma active components and their mechanisms of action, it is difficult to find a uniform standard quantified plasma dose for different types of plasma pretreatment devices [29]. However, for different types of crop seeds, most optimization studies can find an optimal parameter range for the plasma seed pretreatment.
In terms of treatment time, Los, A., et al. [52] found that short treatment time could promote seed germination. This is consistent with our experimental results. After 10 s of gliding arc plasma treatment, the seed germination of wild Leymus chinensis ((Trin.) Tzvel)) significantly improved. When the treatment time was too long, the T50 increased significantly and the germination index decreased significantly, which was caused by excessive treatment. Ehsan, F., et al. [53] applied plasma seed pretreatment to degrade mycotoxins and found that with the increase in treatment time, the production of ozone, hydrogen peroxide, and other microbial killing active substances increased. It can be inferred that when the treatment time reached 30 s, the gliding arc plasma had produced a large number of active substances. The excessive plasma dose was not conducive to seed germination [54]. For Leymus chinensis ((Trin.) Tzvel)), excessive active substances may damage the seeds and affect the germination speed.
Table 5 reviews the agricultural practices of atmospheric pressure plasma for seed treatment. For the moment, most results on the effects of plasma seed pretreatment are obtained in the laboratory or in small-scale field experiments. In order to promote the development and application of plasma technology in actual farming practices, plasma pretreatment device for seed continuous treatment should be designed.
Table 5.
Review of the plasma pretreatment device.
Dielectric barrier discharge is usually used for plasma seed pretreatment in atmospheric pressure [56], and the DBD plasma generator mainly has problems such as discontinuous plasma seed treatment. In terms of the continuity of seed treatment, the narrow DBD uniform discharge gap would increase the difficulty of continuous seed treatment. Ingenious structural design is required to transport the seeds continuously through the DBD discharge gap, and the seeds are easily adsorbed to the discharge electrode. Wang, X.X., et al. [57] tried to enhance the DBD uniform discharge with noble gases. But noble gases can increase the economic cost of plasma treatment. Even though the working gas is air, plasma seed pretreatment based on negative pressure guidance is able to achieve uniform discharge around the seed. Gliding arc discharge can adapt to seeds of various shapes and sizes, so it had higher equipment versatility.
5. Conclusions
- Electrode structure optimization is an important method for improving the treatment space of gliding arc plasma. Based on the dimensional characterization of plasma distribution, the influence of electrode structure such as electrode size, electrode shape, discharge distance, and electrode opening angle on the gliding arc plasma was studied. Comparing the three electrode shapes, it was found that the triangular electrode had the best gliding arc guiding ability.
- According to the dimensional characteristic test of plasma distribution, the discharge distance is an important factor affecting the plasma length, and the electrode opening angle is an important parameter regulating the plasma width. When the input parameters of plasma power supply are determined, the reasonable matching of the discharge distance and electrode opening angle is an effective way to improve the gliding arc guiding ability of the discharge electrode.
- This study has established a regression model between discharge distance, electrode opening angle, and plasma dimensions (L, W1, W2, Aera). The triangular electrode structure is optimized as follows: the discharge distance is 15mm and the electrode open angle is 76°. At this point, the electrode structure parameters of the plasma seed treatment are matched to achieve the best processing capacity.
Author Contributions
Conceptualization, L.H. and Y.Y.; methodology, D.W. and C.S.; software, L.H.; validation, Y.Y., D.W. and C.S.; formal analysis, L.H.; investigation, Y.H.; resources, Y.Y., D.W. and C.S.; data curation, L.H. and Y.Y.; writing—original draft preparation, L.H.; writing—review and editing, Y.Y., D.W. and L.H.; visualization, L.H. and Y.Y.; supervision, Y.Y., C.S. and Y.H.; project administration, Y.Y. and Y.H.; funding acquisition, Y.Y. and Y.H. All authors have read and agreed to the published version of the manuscript.
Funding
This work was supported by the National Key R&D Program of China (2022YFD2001902) and the China Agriculture Research System (CARS-34).
Institutional Review Board Statement
Not applicable.
Data Availability Statement
The original contributions presented in the study are included in the article. Further inquiries can be directed to the corresponding author.
Acknowledgments
The authors would like to acknowledge the support from the China Agricultural University.
Conflicts of Interest
Author Changyong Shao is employed by the Shandong Province Seeds Group Co., Ltd. The remaining authors declare that the research was conducted in the absence of any commercial or financial relationships that could be construed as a potential conflict of interest.
References
- Shelar, A.; Nile, S.H.; Singh, A.V.; Dirk, R.; Bill, J.; Xiao, J.B.; Chaskar, M.; Kai, G.Y.; Patil, R. Recent Advances in Nano-Enabled Seed Treatment Strategies for Sustainable Agriculture: Challenges, Risk Assessment, and Future Perspectives. Nano-Micro Lett. 2023, 15, 54. [Google Scholar] [CrossRef]
- Rongsangchaicharean, T.; Srisonphan, S.; Onwimol, D. Responses of Rice Seed Quality to Large-Scale Atmospheric Nonthermal Plasmas. Plasma Chem. Plasma Process. 2022, 42, 1127–1141. [Google Scholar] [CrossRef]
- Yang, W.G.; Liu, P.P.; Yuan, G.X.; Mao, P.S.; Qi, D.M.; Dong, X.B.; Liu, H.; Li, X.X.; Liu, G.S. Effects of germplasm and changing temperature on seed germination of Leymus chinensis. Acta Pratacult. Sin. 2018, 27, 103–111. [Google Scholar]
- Nile, S.H.; Thiruvengadam, M.; Wang, Y.; Samynathan, R.; Shariati, M.A.; Rebezov, M.; Nile, A.; Sun, M.; Venkidasamy, B.; Xiao, J.B.; et al. Nano-priming as emerging seed priming technology for sustainable agriculture—Recent developments and future perspectives. J. Nanobiotechnol. 2022, 20, 254. [Google Scholar] [CrossRef] [PubMed]
- Ussenov, Y.A.; Akildinova, A.; Kuanbaevich, B.A.; Serikovna, K.A.; Gabdullin, M.; Dosbolayev, M.; Daniyarov, T.; Ramazanov, T. The Effect of Non-Thermal Atmospheric Pressure Plasma Treatment of Wheat Seeds on Germination Parameters and α-Amylase Enzyme Activity. IEEE Trans. Plasma Sci. 2022, 50, 330–340. [Google Scholar] [CrossRef]
- Barjasteh, A.; Lamichhane, P.; Dehghani, Z.; Kaushik, N.; Gupta, R.; Choi, E.H.; Kaushik, N.K. Recent Progress of Non-thermal Atmospheric Pressure Plasma for Seed Germination and Plant Development: Current Scenario and Future Landscape. J. Plant Growth Regul. 2023, 42, 5417–5432. [Google Scholar] [CrossRef]
- Hendeniya, N.; Sandanuwan, T.; Amarasinghe, D.A.S.; Attygalle, D.; Weragoda, S.C.; Ranaweera, B.; Rathnayake, K.; Lalanka, M. Atmospheric Pressure Plasma Treatment as a Cost-Effective and Eco-Friendly pretreatment Method to Enhance Seed Perfomance in Germination and Early Seedling Growth. In Proceedings of the 2021 Moratuwa Engineering Research Conference (MERCon), Moratuwa, Sri Lanka, 27–29 July 2021; IEEE: Piscataway, NJ, USA, 2021; pp. 643–648. [Google Scholar]
- Krishnasamy, R.; Natesh, R.; Obbineni, J.M. Efficient ROS Scavenging Improves the Growth and Yield in Black Gram (Vigna mungo (L.) Hepper) after Seed Priming and Treatment using Biosynthesized Silver Nanoparticles with Pongamia pinnata (L.) Pierre Leaf Extract. J. Plant Growth Regul. 2024, 43, 2422–2438. [Google Scholar] [CrossRef]
- Velichko, I.; Gordeev, I.; Shelemin, A.; Nikitin, D.; Brinar, J.; Pleskunov, P.; Choukourov, A.; Pazderu, K.; Pulkrábek, J. Plasma Jet and Dielectric Barrier Discharge Treatment of Wheat Seeds. Plasma Chem. Plasma Process. 2019, 39, 913–928. [Google Scholar] [CrossRef]
- Terebun, P.; Kwiatkowski, M.; Starek, A.; Reuter, S.; Mok, Y.S.; Pawlat, J. Impact of Short Time Atmospheric Plasma Treatment on Onion Seeds. Plasma Chem. Plasma Process. 2021, 41, 559–571. [Google Scholar] [CrossRef]
- Mildaziene, V.; Ivankov, A.; Sera, B.; Baniulis, D. Biochemical and Physiological Plant Processes Affected by Seed Treatment with Non-Thermal Plasma. Plants 2022, 11, 856. [Google Scholar] [CrossRef]
- Bafoil, M.; Yousfi, M.; Dunand, C.; Merbahi, N. Effects of Dielectric Barrier Ambient Air Plasma on Two Brassicaceae Seeds: Arabidopsis thaliana and Camelina sativa. Int. J. Mol. Sci. 2021, 22, 9923. [Google Scholar] [CrossRef]
- Ahmed, N.; Masood, A.; Mumtaz, R.; Wee, M.F.M.R.; Chan, K.M.; Patra, A.; Siow, K.S. Quad-atmospheric Pressure Plasma Jet (q-APPJ) Treatment of Chilli Seeds to Stimulate Germination. Plasma Chem. Plasma Process. 2024, 44, 509–522. [Google Scholar] [CrossRef]
- Sery, M.; Zahoranová, A.; Kerdík, A.; Será, B. Seed Germination of Black Pine (Pinus nigra Arnold) After Diffuse Coplanar Surface Barrier Discharge Plasma Treatment. IEEE Trans. Plasma Sci. 2020, 48, 939–945. [Google Scholar] [CrossRef]
- Waskow, A.; Howling, A.; Furno, I. Mechanisms of Plasma-Seed Treatments as a Potential Seed Processing Technology. Front. Phys. 2021, 9, 617345. [Google Scholar] [CrossRef]
- Le, T.Q.X.; Nguyen, L.N.; Nguyen, T.T.; Choi, E.H.; Nguyen, Q.L.; Kaushik, N.K.; Dao, N.T. Effects of Cold Plasma Treatment on Physical Modification and Endogenous Hormone Regulation in Enhancing Seed Germination and Radicle Growth of Mung Bean. Appl. Sci. 2022, 12, 10308. [Google Scholar] [CrossRef]
- Svubová, R.; Kyzek, S.; Medvecká, V.; Slováková, L.; Gálová, E.; Zahoranová, A. Novel insight at the Effect of Cold Atmospheric Pressure Plasma on the Activity of Enzymes Essential for the Germination of Pea (Pisum sativum L. cv. Prophet) Seeds. Plasma Chem. Plasma Process. 2020, 40, 1121–1240. [Google Scholar] [CrossRef]
- Attri, P.; Koga, K.; Okumura, T.; Shiratani, M. Impact of atmospheric pressure plasma treated seeds on germination, morphology, gene expression and biochemical responses. Jpn. J. Appl. Phys. 2021, 60, 040502. [Google Scholar] [CrossRef]
- Supakitthanakorn, S.; Ruangwong, O.U.; Sawangrat, C.; Srisuwan, W.; Boonyawan, D. Potential of Nonthermal Atmospheric-Pressure Dielectric Barrier Discharge Plasma for Inhibition of Athelia rolfsii Causing Southern Blight Disease in Lettuce. Agriculture 2023, 13, 167. [Google Scholar] [CrossRef]
- Pizá, M.C.P.; Prevosto, L.; Zilli, C.; Cejas, E.; Kelly, H.; Balestrasse, K. Effects of non-thermal plasmas on seed-borne Diaporthe/Phomopsis complex and germination parameters of soybean seeds. Innov. Food Sci. Emerg. Technol. 2018, 49, 82–91. [Google Scholar] [CrossRef]
- Roshan, C.; Prabin, B.; Sangat, S.; Suresh, B.; Deepak, P.S.; Raju, K. Enhancement of wheat yield by atmospheric pressure plasma treatment. AIP Adv. 2023, 13, 065104. [Google Scholar] [CrossRef]
- Mekarun, J.; Watthanaphanit, A. In-situ plasma treatment of tomato and rice seeds in-liquid to promote seed germination and seedling growth. Plasma Process. Polym. 2022, 19, e2100238. [Google Scholar] [CrossRef]
- Feng, J.K.; Wang, D.C.; Shao, C.Y.; Zhang, L.L.; Tang, X. Effects of cold plasma treatment on alfalfa seed growth under simulated drought stress. Plasma Sci. Technol. 2018, 20, 133–139. [Google Scholar] [CrossRef]
- Wang, M.; Yang, S.Z.; Chen, Q.Y.; Gao, L.H.; Chen, G.L.; Liu, X.J. Effects of atmospheric pressure plasma on seed germination and seedling growth of cucumber. Trans. CSAE 2007, 23, 195–200, (In Chinese with English Abstract). [Google Scholar]
- Vlasta, S.; Pavel, S.; Jakub, K.; Jan, P.; Milan, S.; Monika, S.; Jana, J.; Mirko, C. Atmospheric pressure plasma treatment of agricultural seeds of cucumber (Cucumis sativus L.) and pepper (Capsicum annuum L.) with effect on reduction of diseases and germination improvement. Plasma Process. Polym. 2018, 15, e1700076. [Google Scholar] [CrossRef]
- Brust, H.; Nishime TM, C.; Wannicke, N.; Mui TS, M.; Horn, S.; Quade, A.; Weltmann, K.D. A medium-scale volume dielectric barrier discharge system for short-term treatment of cereal seeds indicates improved germination performance with long-term effects. J. Appl. Phys. 2021, 129, 044904. [Google Scholar] [CrossRef]
- Singh, R.; Kishor, R.; Singh, V.; Singh, V.; Prasad, P.; Aulakh, N.S.; Tiwari, U.K.; Kumar, B. Radio-frequency (RF) room temperature plasma treatment of sweet basil seeds (Ocimum basilicum L.) for germination potential enhancement by immaculation. J. Appl. Res. Med. Aromat. Plants 2022, 26, 100350. [Google Scholar] [CrossRef] [PubMed]
- Priatama, R.A.; Pervitasari, A.N.; Park, S.; Park, S.J.; Lee, Y.K. Current Advancements in the Molecular Mechanism of Plasma Treatment for Seed Germination and Plant Growth. Int. J. Mol. Sci. 2022, 23, 4609. [Google Scholar] [CrossRef]
- Waskow, A.; Avino, F.; Howling, A.; Furno, I. Entering the plasma agriculture field: An attempt to standardize protocols for plasma treatment of seeds. Plasma Process. Polym. 2022, 19, e2100152. [Google Scholar] [CrossRef]
- Teerakawanich, N.; Kasemsuwan, V.; Jitkajornwanich, K.; Kanokbannakorn, W.; Srisonphan, S. Microcorona Discharge-Mediated Nonthermal Atmospheric Plasma for Seed Surface Modification. Plasma Chem. Plasma Process. 2018, 38, 817–830. [Google Scholar] [CrossRef]
- Yan, Y.F.; Han, S.Q.; Song, Z.H.; Li, F.D.; Zhang, C.Q.; Zhang, X.H.; Song, H.L. Effects of frequency and voltage of high voltage pulsed electric field on improving vigor of aged cotton seed. Trans. Chin. Soc. Agric. Eng. 2017, 33, 310–314, (In Chinese with English Abstract). [Google Scholar]
- Starič, P.; Grobelnik Mlakar, S.; Junkar, I. Response of Two Different Wheat Varieties to Glow and Afterglow Oxygen Plasma. Plants 2021, 10, 1728. [Google Scholar] [CrossRef]
- Holc, M.; Gselman, P.; Primc, G.; Vesel, A.; Mozetič, M.; Recek, N. Wettability and Water Uptake Improvement in Plasma-Treated Alfalfa Seeds. Agriculture 2022, 12, 96. [Google Scholar] [CrossRef]
- Brandenburg, R. Dielectric Barrier Discharges: Progress on Plasma Sources and on the Understanding of Regimes and Single Filaments. Plasma Sources Sci. Technol. 2017, 26, 053001. [Google Scholar] [CrossRef]
- Ďurčányová, S.; Slováková, Ľ.; Klas, M.; Tomeková, J.; Ďurina, P.; Stupavská, M.; Kováčik, D.; Zahoranová, A. Efficacy comparison of three atmospheric pressure plasma sources for soybean Seed treatment: Plasma characteristics, seed properties, germination. Plasma Chem. Plasma Process. 2023, 43, 1863–1885. [Google Scholar] [CrossRef]
- Mazandarani, A.; Goudarzi, S.; Ghafoorifard, H.; Eskandari, A. Evaluation of DBD Plasma Effects on Barley Seed Germination and Seedling Growth. IEEE Trans. Plasma Sci. 2020, 48, 3115–3121. [Google Scholar] [CrossRef]
- Rabinovich, A.; Nirenberg, G.; Kocagoz, S.; Surace, M.; Sales, C.; Fridman, A. Scaling Up of Non-Thermal Gliding Arc Plasma Systems for Industrial Applications. Plasma Chem. Plasma Process. 2017, 27, 35–50. [Google Scholar] [CrossRef]
- Píchal, J.; Cerman, J.; Šourková, H.; Špatenka, P. Plasma pretreatment of polypropylene surface for industrial purposes. Mater. Manuf. Process. 2022, 37, 1483–1489. [Google Scholar] [CrossRef]
- Liu, C.C.; Cui, J.F.; Zhang, D.; Tang, H.W.; Gong, B.; Zu, S.X.; Zhong, C.S. Decontamination of infected plant seeds utilizing atmospheric gliding arc discharge plasma treatment. Plasma Sci. Technol. 2021, 23, 105501. [Google Scholar] [CrossRef]
- Lewis, A.J.; Joyce, T.; Hadaya, M.; Ebrahimi, F.; Dragiev, I.; Giardetti, N.; Yang, J.C.; Fridman, G.; Rabinovich, A.; Fridman, A.A.; et al. Rapid degradation of PFAS in aqueous solutions by reverse vortex flow gliding arc plasma. Environ. Sci. Water Res. Technol. 2020, 6, 1044–1057. [Google Scholar] [CrossRef]
- Será, B.; Vanková, R.; Rohácek, K.; Sery, M. Gliding Arc Plasma Treatment of Maize (Zea mays L.) Grains Promotes Seed Germination and Early Growth, Affecting Hormone Pools, but Not Significantly Photosynthetic Parameters. Agronomy 2021, 11, 2066. [Google Scholar] [CrossRef]
- Roy, N.C.; Hasan, M.M.; Kabir, A.H.; Reza, M.A.; Talukder, M.R.; Chowdhury, A.N. Atmospheric pressure gliding arc discharge plasma treatments for improving germination, growth and yield of wheat. Plasma Sci. Technol. 2018, 20, 115501. [Google Scholar] [CrossRef]
- Gharagozalian, M.; Dorranian, D.; Ghoranneviss, M. Water treatment by the AC gliding arc air plasma. J. Theor. Appl. Phys. 2017, 11, 171–180. [Google Scholar] [CrossRef]
- Zhang, R.B.; Luo, G.; Huang, H.C.; Li, S.; Fu, Y.Q.; Jiang, Y.Z. Influence of Electrode Structure on the Dimension Parameters of Gliding Arc Discharge Plasma. High Volt. Eng. 2019, 45, 3357–3364, (In Chinese with English Abstract). [Google Scholar]
- Li, L.; Zhang, H.; Li, X.D.; Huang, J.Y.; Kong, X.Z.; Xu, R.Y.; Tu, X. Magnetically enhanced gliding arc discharge for CO2 activation. J. CO2 Util. 2020, 35, 28–37. [Google Scholar] [CrossRef]
- Zheng, Q.Y.; Li, L.Y.; Xue, Z.H.; Liu, Y.B.; Zang, D.H.; Wang, Z.F.; Qu, H.W.; Yin, J.X.; Wang, L.D. Plasma Agricultural Nitrogen Fixation Using Clean Energies: New Attempt of Promoting PV Absorption in Rural Areas. Processes 2023, 11, 2030. [Google Scholar] [CrossRef]
- Sharma, S.; Chalise, R.; Basnet, S.; Lamichhane, H.P.; Khanal, R. Development of a low-cost plasma source using fly-back transformer for atmospheric pressure gliding arc discharge. Phys. Plasmas 2024, 31, 043509. [Google Scholar] [CrossRef]
- Suriyasak, C.; Hatanaka, K.; Tanaka, H.; Okumura, T.; Yamashita, D.; Attri, P.; Koga, K.; Shiratani, M.; Hamaoka, N.; Ishibashi, Y. Alterations of DNA Methylation Caused by Cold Plasma Treatment Restore Delayed Germination of Heat-Stressed Rice (Oryza sativa L.) Seeds. Am. Chem. Soc. Agric. Sci. Technol. 2021, 1, 5–10. [Google Scholar] [CrossRef]
- Gómez-Ramírez, A.; López-Santos, C.; Cantos, M.; Garcia, J.L.; Molina, R.; Cotrino, J.; Espinos, J.P.; Gonzalez-Elipe, A.R. Surface chemistry and germination improvement of Quinoa seeds subjected to plasma activation. Sci. Rep. 2017, 7, 5924. [Google Scholar] [CrossRef]
- Wang, X.Q.; Zhou, R.W.; Groot Gd Bazaka, K.; Murphy, A.B.; Ostrikov, K. Spectral characteristics of cotton seeds treated by a dielectric barrier discharge plasma. Sci. Rep. 2017, 7, 5601. [Google Scholar] [CrossRef]
- Misnal, M.F.I.; Redzuan, N.; Zainal, M.N.F.; Ibrahim, R.K.R.; Ahmad, N.; Agun, L. Emerging cold plasma treatment on rice grains: A mini review. Chemosphere 2021, 274, 129972. [Google Scholar] [CrossRef]
- Los, A.; Ziuzina, D.; Boehm, D.; Cullen, P.J.; Bourke, P. Investigation of mechanisms involved in germination enhancement of wheat (Triticum aestivum) by cold plasma: Effects on seed surface chemistry and characteristics. Plasma Process. Polym. 2019, 16, e1800148. [Google Scholar] [CrossRef]
- Feizollahi, E.; Iqdiam, B.; Vasanthan, T.; Thilakarathna, M.S.; Roopesh, M.S. Effects of Atmospheric-Pressure Cold Plasma Treatment on Deoxynivalenol Degradation, Quality Parameters, and Germination of Barley Grains. Appl. Sci. 2020, 10, 3530. [Google Scholar] [CrossRef]
- Ji, S.H.; Kim, T.; Panngom, K.; Hong, Y.J.; Pengkit, A.; Park, D.H.; Kang, M.H.; Lee, S.H.; Im, J.S.; Kim, J.S.; et al. Assessment of the Effects of Nitrogen Plasma and Plasma-Generated Nitric Oxide on Early Development of Coriandum sativum. Plasma Process Polym. 2015, 12, 1164–1173. [Google Scholar] [CrossRef]
- Guo, Q.; Meng, Y.R.; Qu, G.Z.; Wang, T.C.; Yang, F.N.; Liang, D.L.; Hu, S.B. Improvement of wheat seed vitality by dielectric barrier discharge plasma treatment. Bioelectromagnetics 2018, 39, 120–131. [Google Scholar] [CrossRef] [PubMed]
- Kanazawa, S.; Kogoma, M.; Moriwaki, T.; Okazaki, S. Stable glow plasma at atmospheric pressure. J. Phys. D Appl. Phys. 1988, 21, 838–840. [Google Scholar] [CrossRef]
- Wang, X.X.; Li, C.R. Review of homogenous dielectric barrier discharge in nitrogen at atmospheric pressure. High Volt. Eng. 2011, 37, 1405–1415, (In Chinese with English Abstract). [Google Scholar]
Disclaimer/Publisher’s Note: The statements, opinions and data contained in all publications are solely those of the individual author(s) and contributor(s) and not of MDPI and/or the editor(s). MDPI and/or the editor(s) disclaim responsibility for any injury to people or property resulting from any ideas, methods, instructions or products referred to in the content. |
© 2024 by the authors. Licensee MDPI, Basel, Switzerland. This article is an open access article distributed under the terms and conditions of the Creative Commons Attribution (CC BY) license (https://creativecommons.org/licenses/by/4.0/).