Dynamics of Microbial Community Structure and Metabolites during Mulberry Ripening
Abstract
1. Introduction
2. Materials and Methods
2.1. Fruit Materials
2.2. Raw Materials and Reagents
2.3. Measurement of Basic Physiological Indicators
2.3.1. Fruit Weight, Total Soluble Solids, Juice Yield, and pH Value
2.3.2. Total Acid
2.3.3. Total Sugars
2.3.4. Determining the Content of Phenolic Compounds
2.4. Determination of Antioxidant Capacity
2.4.1. Determination of ABTS Radical Scavenging Activity (Hereinafter Referred to as ABTS RSA)
2.4.2. Determination of DPPH Radical Scavenging Activity (Hereinafter Referred to as DPPH RSA)
2.5. Determination of Organic Acids
2.6. Determination of Amino Acids
2.7. Determination of Mineral Content
2.8. Analysis of Volatile Compounds
2.9. Metagenomic DNA Extraction, Amplification, and Sequencing
2.10. Statistical Analyses
3. Results and Discussion
3.1. Dynamic Changes in Basic Physiological Indicators of WHDS during Ripening
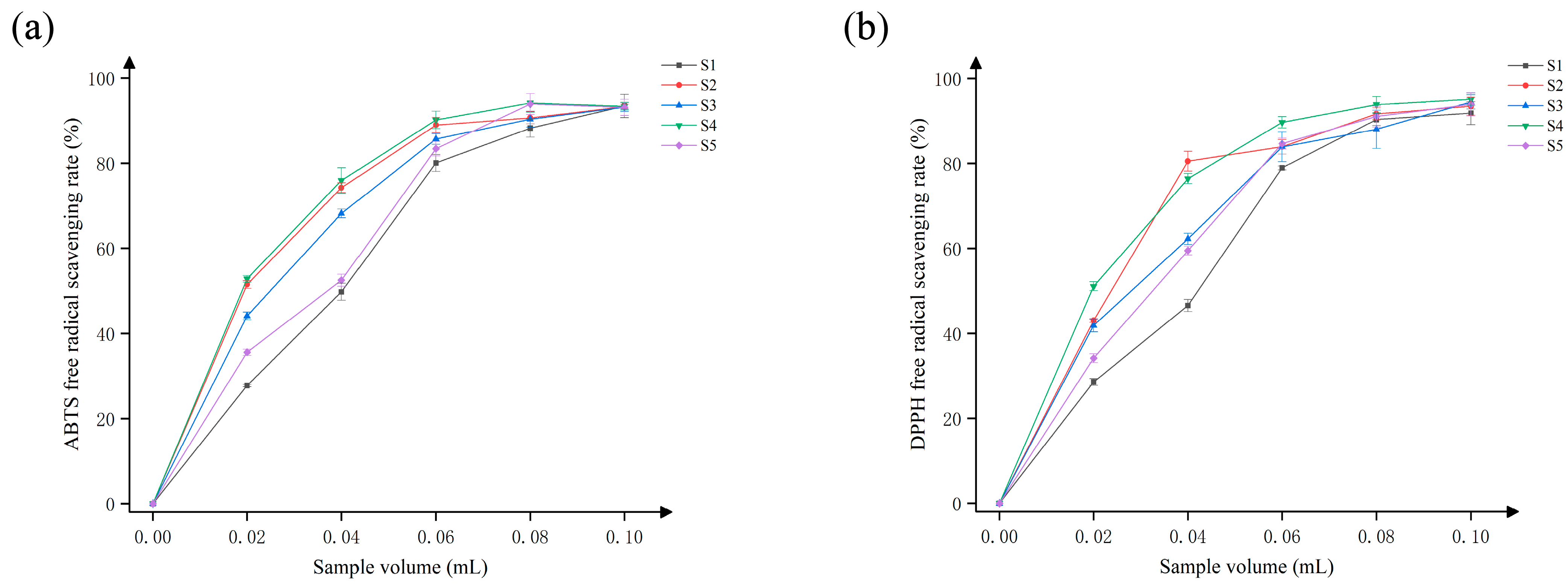
3.2. Dynamic Changes in Antioxidant Capacity of WHDS during Ripening
3.3. Dynamic Changes in Organic Acids in WHDS during Ripening
3.4. Dynamic Changes in Amino Acids in WHDS during Ripening
3.5. Dynamic Changes in Mineral Content in WHDS during Ripening
3.6. Dynamic Changes in Volatile Flavour Compounds in WHDS during Ripening
3.7. Dynamic Changes in Community Structures in WHDS during Ripening
3.8. Correlation Analysis
4. Conclusions
Supplementary Materials
Author Contributions
Funding
Data Availability Statement
Conflicts of Interest
References
- Ma, D.; Lin, T.; Zhao, H.; Li, Y.; Wang, X.; Di, S.; Liu, Z.; Liu, M.; Qi, P.; Zhang, S.; et al. Development and comprehensive SBSE-GC/Q-TOF-MS analysis optimization, comparison, and evaluation of different mulberry varieties volatile flavor. Food Chem. 2024, 443, 138578. [Google Scholar] [CrossRef]
- Li, R.; Wang, J.; Liu, J.; Li, M.; Lu, J.; Zhou, J.; Zhang, M.; Ferri, N.; Chen, H. Mulberry leaf and its effects against obesity: A systematic review of phytochemistry, molecular mechanisms and applications. Phytomedicine 2024, 128, 155528. [Google Scholar] [CrossRef]
- Ali Redha, A.; Freije, A.; Kodikara, C.; Rondanelli, M.; Aqeel, E.; Zafar, W.; Albunni, H.; Merza, H.; Khonji, A.; Aljar, M.; et al. Comparison of fatty acid profile and mineral content of black mulberry (Morus nigra), white mulberry (Morus alba) and red mulberry (Morus rubra) grown in Bahrain. Appl. Food Res. 2023, 3, 100358. [Google Scholar] [CrossRef]
- Kattil, A.; Hamid; Dash, K.K.; Shams, R.; Sharma, S. Nutritional composition, phytochemical extraction, and pharmacological potential of mulberry: A comprehensive review. Future Foods 2024, 9, 100295. [Google Scholar] [CrossRef]
- Wang, P.-Y.; Shuang, F.-F.; Yang, J.-X.; Jv, Y.-X.; Hu, R.-Z.; Chen, T.; Yao, X.-H.; Zhao, W.-G.; Liu, L.; Zhang, D.-Y. A rapid and efficient method of microwave-assisted extraction and hydrolysis and automatic amino acid analyzer determination of 17 amino acids from mulberry leaves. Ind. Crops Prod. 2022, 186, 115271. [Google Scholar] [CrossRef]
- Venkatesh Kumar, R.; Vyry, W.N.A.; Chauhan, S.; Singh, V.; Srivastava, D.; Kumar, U.; Raj, R.; Verma, A. Mulberry: From nutraceuticals to bioactive phytochemicals. Food Humanit. 2024, 2, 100272. [Google Scholar] [CrossRef]
- Zhong, S.; Yang, Y.; Huo, J.; Sun, Y.; Ren, N.; Lu, Q.; Li, D.; Zhan, P.; Wu, W.; Chen, H.; et al. Dissection of gut microbiota and metabolites reveals the hypolipidemic effect of green mulberry leaf tea / black mulberry leaf tea in mice. J. Funct. Foods 2023, 111, 105906. [Google Scholar] [CrossRef]
- Choosung, P.; Utto, W.; Boonyaritthongchai, P.; Wasusri, T.; Wongs-Aree, C. Ethanol vapor releasing sachet reduces decay and improves aroma attributes in mulberry fruit. Food Packag. Shelf Life 2019, 22, 100398. [Google Scholar] [CrossRef]
- Wang, K.; Qi, J.; Jin, Y.; Li, F.; Wang, J.; Xu, H. Influence of fruit maturity and lactic fermentation on physicochemical properties, phenolics, volatiles, and sensory of mulberry juice. Food Biosci. 2022, 48, 101782. [Google Scholar] [CrossRef]
- de Sousa Fontes, V.M.; Colombo Pimentel, T.; Martins da Silva, A.B.; Suely Madruga, M.; Magnani, M.; dos Santos Lima, M. An improved method for determining free amino acids by RP-HPLC/DAD with o-phthalaldehyde derivatization: Method evaluation in beers and wines. Food Chem. 2024, 435, 137591. [Google Scholar] [CrossRef]
- Lan, L.; Wang, J.; Wang, S.; He, Q.; Wei, R.; Sun, Z.; Duan, S.; Li, Y. Correlation between microbial community succession and flavor substances during fermentation of Yongchuan Douchi. Food Biosci. 2023, 56, 103192. [Google Scholar] [CrossRef]
- Zhu, J.; Wang, L.; Xiao, Z.; Niu, Y. Characterization of the key aroma compounds in mulberry fruits by application of gas chromatography–olfactometry (GC-O), odor activity value (OAV), gas chromatography-mass spectrometry (GC–MS) and flame photometric detection (FPD). Food Chem. 2018, 245, 775–785. [Google Scholar] [CrossRef] [PubMed]
- Ma, D.; Zhao, H.; Liu, Z.; Liu, M.; Qi, P.; Di, S.; Zhang, S.; Wang, X. Recent advances on mulberry volatile flavor: A review. J. Food Compos. Anal. 2023, 124, 105665. [Google Scholar] [CrossRef]
- Lin, M.; Li, Y.; Gao, Q.; Shi, L.; He, W.; Li, W.; Liang, Y.; Zhang, Z. Dynamic changes in physicochemical and transcriptional expression profiles of mulberry (Morus alba L.) fruit during ripening. Food Biosci. 2024, 57, 103606. [Google Scholar] [CrossRef]
- Hu, L.; Wang, C.; Guo, X.; Chen, D.; Zhou, W.; Chen, X.; Zhang, Q. Flavonoid Levels and Antioxidant Capacity of Mulberry Leaves: Effects of Growth Period and Drying Methods. Front. Plant Sci. 2021, 12, 684974. [Google Scholar] [CrossRef] [PubMed]
- GB/T 15038-2006; State Administration for Market Supervision and Administration China National Standardization Administration, General Methods of Analysis for Wines and Fruit Wines. China Standard Press: Beijing, China, 2006.
- Liu, J.; Wan, Y.; Chen, Y.; Li, M.; Liu, N.; Luo, H.; Huang, D.; Peng, H.; Fu, G. Effects of Torulaspora delbrueckii on physicochemical properties and volatile flavor compounds of navel orange wine. J. Food Compos. Anal. 2023, 121, 105328. [Google Scholar] [CrossRef]
- Xia, H.; Zhang, X.; Shen, Y.; Guo, Y.; Wang, T.; Wang, J.; Lin, L.; Deng, H.; Deng, Q.; Xu, K.; et al. Comparative analysis of flavonoids in white and red table grape cultivars during ripening by widely targeted metabolome and transcript levels. J. Food Sci. 2022, 87, 1650–1661. [Google Scholar] [CrossRef] [PubMed]
- Wang, C.; Lu, Y.; Li, Z.; An, X.; Gao, Z.; Tian, S. Preparation and Performance Characterization of a Composite Film Based on Corn Starch, κ-Carrageenan, and Ethanol Extract of Onion Skin. Polymers 2022, 14, 2986. [Google Scholar] [CrossRef] [PubMed]
- Zhou, H.; Wang, S.; Liu, W.; Chang, L.; Zhu, X.; Mu, G.; Qian, F. Probiotic properties of Lactobacillus paraplantarum LS-5 and its effect on antioxidant activity of fermented sauerkraut. Food Biosci. 2023, 52, 102489. [Google Scholar] [CrossRef]
- Scutarașu, E.C.; Teliban, I.V.; Zamfir, C.I.; Luchian, C.E.; Colibaba, L.C.; Niculaua, M.; Cotea, V.V. Effect of Different Winemaking Conditions on Organic Acids Compounds of White Wines. Foods 2021, 10, 2569. [Google Scholar] [CrossRef]
- Xu, W.; Zhong, C.; Zou, C.; Wang, B.; Zhang, N. Analytical methods for amino acid determination in organisms. Amino Acids 2020, 52, 1071–1088. [Google Scholar] [CrossRef]
- Shimizu, H.; Akamatsu, F.; Kamada, A.; Koyama, K.; Iwashita, K.; Goto-Yamamoto, N. Effects of variety and vintage on the minerals of grape juice from a single vineyard. J. Food Compos. Anal. 2022, 107, 104377. [Google Scholar] [CrossRef]
- Ji, X. Comparative investigation of volatile components and bioactive compounds in beers by multivariate analysis. Flavour Fragr. J. 2021, 36, 374–383. [Google Scholar] [CrossRef]
- Yilmaz, T.; Ates, F.; Turan, M.; Hatterman-Valenti, H.; Kaya, O. Dynamics of Sugars, Organic Acids, Hormones, and Antioxidants in Grape Varieties ‘Italia’ and ‘Bronx Seedless’ during Berry Development and Ripening. Horticulturae 2024, 10, 229. [Google Scholar] [CrossRef]
- Xu, K.; Fan, G.; Wu, C.; Suo, A.; Wu, Z. Preparation of anthocyanin-rich mulberry juice by microwave-ultrasonic combined pretreatment. Food Sci. Biotechnol. 2022, 31, 1571–1581. [Google Scholar] [CrossRef]
- Šarac, D.P.; Tremmel, M.; Vujetić, J.; Torović, L.; Orčić, D.; Popović, L.; Mimica-Dukić, N. Lesjak How do in vitro digestion and cell metabolism affect the biological activity and phenolic profile of grape juice and wine. Food Chem. 2024, 449, 139228. [Google Scholar] [CrossRef]
- Ahmed, M.; Bose, I.; Goksen, G.; Roy, S. Himalayan Sources of Anthocyanins and Its Multifunctional Applications: A Review. Foods 2023, 12, 2203. [Google Scholar] [CrossRef]
- Shipp, J.; Abdel-Aal, E.S.M. Food Applications andPhysiological Effects of Anthocyanins as Functional Food Ingredients. Open Food Sci. J. 2010, 4, 7–22. [Google Scholar] [CrossRef]
- Tang, R.; He, Y.; Fan, K. Recent advances in stability improvement of anthocyanins by efficient methods and its application in food intelligent packaging: A review. Food Biosci. 2023, 56, 103164. [Google Scholar] [CrossRef]
- Wu, L.; Wang, F.; Sha, R.; Li, X.; Yu, K.; Feng, J. The Effect of N and KH2PO4 on Skin Color, Sugars, and Organic Acids of “Flame Seedless” Grape. Agronomy 2023, 13, 902. [Google Scholar] [CrossRef]
- Chaudhary, N.; Roy, Z.; Bansal, R.; Siddiqui, L. Understanding the Role of Free Radicals and Antioxidant Enzymes in Human Diseases. Curr. Pharm. Biotechnol. 2023, 24, 1265–1276. [Google Scholar] [CrossRef]
- Becker, M.; Nunes, G.; Ribeiro, D.; Silva, F.; Catanante, G.; Marty, J.L. Determination of the Antioxidant Capacity of Red Fruits by Miniaturized Spectrophotometry Assays. J. Braz. Chem. Soc. 2019, 30, 1108–1114. [Google Scholar] [CrossRef]
- Hosen, M.Z.; Biswas, A.; Islam, M.R.; Bhuiyan, M.N.I.; Hossain, S.J. Comparison of physicochemical and antioxidant properties of edible fruits in the Sundarbans’ mangrove forest, Bangladesh. Bangladesh J. Bot. 2020, 49, 671–678. [Google Scholar] [CrossRef]
- Prakash, O.; Supriya, A.; Kudachikar, V.B. Physicochemical Changes, Phenolic Profile and Antioxidant Capacities of Colored and White Grape (Vitis vinifera L.) Varieties during Berry Development and Maturity. Int. J. Fruit Sci. 2020, 20, S1773–S1783. [Google Scholar] [CrossRef]
- Cetin, B.E.; Saraçoğlu, O. Effects of Different Maturity Stages and Fruit Parts on Quality Traits of Plum (Prunus domestica) Fruits. Erwerbs-Obstbau 2022, 65, 1069–1077. [Google Scholar] [CrossRef]
- Li, M.; Su, J.; Yang, H.; Feng, L.; Wang, M.; Xu, G.; Shao, J.; Ma, C. Grape Tartaric Acid: Chemistry, Function, Metabolism, and Regulation. Horticulturae 2023, 9, 1173. [Google Scholar] [CrossRef]
- Amiri, S.; Nicknam, Z.; Radi, M.; Sayadi, M.; Bagheri, F.; Karimi Khorrami, N.; Abedi, E. Postharvest quality of orange fruit as influenced by salicylic acid, acetic acid, and carboxymethyl cellulose coating. J. Food Meas. Charact. 2021, 15, 3912–3930. [Google Scholar] [CrossRef]
- Güler, E. Polyphenols, organic acids, and their relationships in red grapes of Vitis vinifera and Isabella (Vitis labrusca) under arid conditions. Eur. Food Res. Technol. 2022, 249, 913–921. [Google Scholar] [CrossRef]
- Yu, Y.; Yang, G.; Sun, L.; Song, X.; Bao, Y.; Luo, T.; Wang, J. Comprehensive Evaluation of 24 Red Raspberry Varieties in Northeast China Based on Nutrition and Taste. Foods 2022, 11, 3232. [Google Scholar] [CrossRef]
- Jiang, C.C.; Fang, Z.Z.; Zhou, D.R.; Pan, S.L.; Ye, X.F. Changes in secondary metabolites, organic acids and soluble sugars during the development of plum fruit cv. ‘Furongli’ (Prunus salicina Lindl). J. Sci. Food Agric. 2018, 99, 1010–1019. [Google Scholar] [CrossRef]
- Kudełka, W.; Kowalska, M.; Popis, M. Quality of Soybean Products in Terms of Essential Amino Acids Composition. Molecules 2021, 26, 5071. [Google Scholar] [CrossRef]
- Qian, M.; Ruan, F.; Zhao, W.; Dong, H.; Bai, W.; Li, X.; Liu, X.; Li, Y. Comparison Study of the Physicochemical Properties, Amino Acids, and Volatile Metabolites of Guangdong Hakka Huangjiu. Foods 2023, 12, 2915. [Google Scholar] [CrossRef]
- Xu, L.; Zang, E.; Sun, S.; Li, M. Main flavor compounds and molecular regulation mechanisms in fruits and vegetables. Crit. Rev. Food Sci. Nutr. 2022, 63, 11859–11879. [Google Scholar] [CrossRef]
- Palčić, I.; Korenika, A.M.J.; Jakobović, S.; Pasković, I.; Major, N.; Ban, D.; Ban, S.G.; Karoglan, M.; Petek, M.; Herak Ćustić, M.; et al. Soil type affects grape juice free amino acids profile during ripening of cv. Malvasia Istriana (Vitis vinifera L.). N. Z. J. Crop Hortic. Sci. 2020, 48, 22–33. [Google Scholar] [CrossRef]
- Arias-Pérez, I.; Ontañón, I.; Ferreira, V.; Escudero, A. Maturation of Moristel in Different Vineyards: Amino Acid and Aroma Composition of Mistelles and Wines with Particular Emphasis in Strecker Aldehydes. Foods 2022, 11, 958. [Google Scholar] [CrossRef]
- Maoz, I.; Lewinsohn, E.; Gonda, I. Amino acids metabolism as a source for aroma volatiles biosynthesis. Curr. Opin. Plant Biol. 2022, 67, 102221. [Google Scholar] [CrossRef]
- Sun, Z.; Zhou, Y.; Zhu, W.; Yin, Y. Assessment of the Fruit Chemical Characteristics and Antioxidant Activity of Different Mulberry Cultivars (Morus spp.) in Semi-Arid, Sandy Regions of China. Foods 2023, 12, 3495. [Google Scholar] [CrossRef]
- McCormick, J.A.; Topf, J.; Tomacruz, I.D.; Grimm, P.R. A New Understanding of Potassium’s Influence Upon Human Health and Renal Physiology. Adv. Kidney Dis. Health 2023, 30, 137–147. [Google Scholar] [CrossRef]
- Gaffney-Stomberg, E. The Impact of Trace Minerals on Bone Metabolism. Biol. Trace Elem. Res. 2018, 188, 26–34. [Google Scholar] [CrossRef]
- Mostafa, S.; Wang, Y.; Zeng, W.; Jin, B. Floral Scents and Fruit Aromas: Functions, Compositions, Biosynthesis, and Regulation. Front. Plant Sci. 2022, 13, 860157. [Google Scholar] [CrossRef]
- Chen, L.; Peng, Q.; Liu, B.; Zhang, Y.; Feng, S. Study on the dynamic changes of nutrient components and flavor compounds during the fermentation process of high-quality highland barley wine. Int. J. Gastron. Food Sci. 2024, 35, 100860. [Google Scholar] [CrossRef]
- Qian, Y.L.; An, Y.; Chen, S.; Qian, M.C. Characterization of Qingke liquor aroma from Tibet. J. Agric. Food Chem. 2019, 67, 13870–13881. [Google Scholar] [CrossRef]
- Zhao, Y.; Zhan, P.; Tian, H.-L.; Wang, P.; Lu, C.; Tian, P.; Zhang, Y.-Y. Insights into the Aroma Profile in Three Kiwifruit Varieties by HS-SPME-GC-MS and GC-IMS Coupled with DSA. Food Anal. Methods 2021, 14, 1033–1042. [Google Scholar] [CrossRef]
- Ma, Y.; Li, M.; Zhang, S. Simultaneous Determination of Organic Acids in Chinese Liquor by GC-MS Method. Asian J. Chem. 2014, 26, 4707–4710. [Google Scholar] [CrossRef]
- Chen, L.; Liu, B.; Feng, S.; Ma, X.; Wang, S.; Zhang, Y. Correlation between microbe, physicochemical properties of Jiuqu in different plateau areas and volatile flavor compounds of highland barley alcoholic drink. Food Biosci. 2023, 51, 102276. [Google Scholar] [CrossRef]
- Filipowska, W.; Jaskula-Goiris, B.; Ditrych, M.; Bustillo Trueba, P.; De Rouck, G.; Aerts, G.; Powell, C.; Cook, D.; De Cooman, L. On the contribution of malt quality and the malting process to the formation of beer staling aldehydes: A review. J. Inst. Brew. 2021, 127, 107–126. [Google Scholar] [CrossRef]
- Li, H.; Jiang, D.; Dai, Z.; Zhang, Y.; Zhao, Y. Aromatic property of cherry wine produced by malolactic fermentation of controlled and spontaneous on the bacterial evolution. Int. J. Food Prop. 2019, 22, 1270–1282. [Google Scholar] [CrossRef]
- Zhang, S.; Chen, X.; Zhong, Q.; Zhuang, X.; Bai, Z. Microbial Community Analyses Associated with Nine Varieties of Wine Grape Carposphere Based on High-Throughput Sequencing. Microorganisms 2019, 7, 668. [Google Scholar] [CrossRef]
- Wassermann, B.; Müller, H.; Berg, G. An Apple a Day: Which Bacteria Do We Eat With Organic and Conventional Apples? Front. Microbiol. 2019, 10, 1629. [Google Scholar] [CrossRef]
- Zhang, J.; Wang, E.T.; Singh, R.P.; Guo, C.; Shang, Y.; Chen, J.; Liu, C. Grape berry surface bacterial microbiome: Impact from the varieties and clones in the same vineyard from central China. J. Appl. Microbiol. 2019, 126, 204–214. [Google Scholar] [CrossRef]
- Xu, X.; Miao, Y.; Wang, H.; Du, J.; Wang, C.; Shi, X.; Wang, B. Analysis of Microbial Community Diversity on the Epidermis of Wine Grapes in Manasi’s Vineyard, Xinjiang. Foods 2022, 11, 3174. [Google Scholar] [CrossRef] [PubMed]
- Li, Y.; Héloir, M.C.; Zhang, X.; Geissler, M.; Trouvelot, S.; Jacquens, L.; Henkel, M.; Su, X.; Fang, X.; Wang, Q.; et al. Surfactin and fengycin contribute to the protection of a Bacillus subtilis strain against grape downy mildew by both direct effect and defence stimulation. Mol. Plant Pathol. 2019, 20, 1037–1050. [Google Scholar] [CrossRef]
- Malićanin, M.; Danilović, B.; Cvetković, D.; Stamenković-Stojanović, S.; Nikolić, N.; Lazić, M.; Karabegović, I. Modulation of Aroma and Sensory Properties of Prokupac Wines by a Bacillus-based Preparation Applied to Grapes Prior to Harvest. South Afr. J. Enol. Vitic. 2020, 41, 158–167. [Google Scholar] [CrossRef]
- Blumer, C.; Heeb, S.; Pessi, G.; Haas, D. Global GacA-steered control of cyanide and exoprotease production in Pseudomonas fluorescens involves specific ribosome binding sites. Proc. Natl. Acad. Sci. USA 1999, 96, 14073–14078. [Google Scholar] [CrossRef]
- The Global Posttranscriptional Regulator RsmA Modulates Production of Virulence Determinants and N-Acylhomoserine Lactones in Pseudomonas aeruginosa. J. Bacteriol. 2002, 184, 335. [CrossRef]
- Luo, Z.W.; Cho, J.S.; Lee, S.Y. Microbial production of methyl anthranilate, a grape flavor compound. Proc. Natl. Acad. Sci. 2019, 116, 10749–10756. [Google Scholar] [CrossRef] [PubMed]
- Miura, T.; Sánchez, R.; Castañeda, L.E.; Godoy, K.; Barbosa, O. Shared and unique features of bacterial communities in native forest and vineyard phyllosphere. Ecol. Evol. 2019, 9, 3295–3305. [Google Scholar] [CrossRef] [PubMed]
- Martins, V.; López, R.; Teixeira, A.; Gerós, H. Combined omics expose microbial niches of fungi and bacteria correlating with wine volatile profiles in Douro wine region. Lwt 2024, 193, 115769. [Google Scholar] [CrossRef]







| Phase | S1 | S2 | S3 | S4 | S5 | 
|---|---|---|---|---|---|
| pH | 3.55 ± 0.02c | 3.46 ± 0.03d | 3.78 ± 0.04a | 3.66 ± 0.04b | 3.68 ± 0.03b | 
| Weight of single fruit (g) | 1.47 ± 0.01d | 1.60 ± 0.01c | 1.98 ± 0.02b | 2.08 ± 0.02a | 2.07 ± 0.03a | 
| Soluble solids (B.rix) | 8.85 ± 0.41e | 10.08 ± 0.25d | 11.25 ± 0.33c | 18.94 ± 0.22b | 21.64 ± 0.58a | 
| Juice yield (%) | 23.05 ± 0.29e | 32.10 ± 0.09d | 43.71 ± 0.70c | 52.76 ± 0.38a | 51.67 ± 0.36b | 
| Total acid (g/L) | 5.39 ± 0.02a | 3.75 ± 0.03b | 2.64 ± 0.02c | 1.55 ± 0.03d | 0.39 ± 0.03e | 
| Total sugar (g/L) | 0.22 ± 0.02e | 0.31 ± 0.06d | 0.58 ± 0.04c | 0.71 ± 0.14b | 0.92 ± 0.66a | 
| Total phenolics (g/L) | 7.13 ± 0.03e | 10.06 ± 0.20d | 11.47 ± 0.11c | 26.15 ± 0.43a | 17.35 ± 0.18b | 
| Total flavonoids (g/L) | 0.89 ± 0.01c | 1.65 ± 0.02b | 1.38 ± 0.01b | 2.46 ± 0.03a | 1.78 ± 0.04b | 
| Total anthocyanins (mg/L) | 74.73 ± 0.62e | 110.74 ± 1.54d | 185.97 ± 2.72c | 587.60 ± 7.38a | 341.09 ± 4.81b | 
| Phase | S1 | S2 | S3 | S4 | S5 | 
|---|---|---|---|---|---|
| Tartaric acid (mg/g) | 12.55 ± 0.23b | 16.45 ± 0.24a | 11.24 ± 0.07c | 9.64 ± 0.08d | 9.24 ± 0.14e | 
| Lactic acid (mg/g) | 8.95 ± 0.05b | 10.34 ± 0.13a | 7.73 ± 0.06c | 6.53 ± 0.18d | 6.15 ± 0.22e | 
| Acetic acid (mg/g) | 7.84 ± 0.24b | 9.94 ± 0.16a | 6.64 ± 0.14c | 5.83 ± 0.19d | 5.62 ± 0.12d | 
| Malic acid (mg/g) | 2.14 ± 0.17b | 2.73 ± 0.04a | 1.96 ± 0.21b | 1.63 ± 0.11c | 1.72 ± 0.10c | 
| Fumaric acid (mg/g) | 1.27 ± 0.18a | 1.34 ± 0.12a | 1.30 ± 0.01a | 0.89 ± 0.03b | 0.94 ± 0.11b | 
| Oxalic acid (mg/g) | 0.74 ± 0.22ab | 0.95 ± 0.02a | 0.60 ± 0.07b | 0.55 ± 0.19b | 0.50 ± 0.10b | 
| α-Ketoglutaric acids (mg/g) | 0.35 ± 0.17a | 0.47 ± 0.01a | 0.35 ± 0.18a | 0.23 ± 0.11a | 0.23 ± 0.07a | 
| Citric acid (mg/g) | 0.47 ± 0.01a | 0.45 ± 0.01a | 0.34 ± 0.11b | 0.29 ± 0.01b | 0.33 ± 0.04b | 
| Pyruvate (mg/g) | 0.33 ± 0.05ab | 0.43 ± 0.02a | 0.35 ± 0.11ab | 0.23 ± 0.07b | 0.23 ± 0.05b | 
| Succinic acid (mg/g) | 0.11 ± 0.01 | ND | ND | ND | ND | 
| No. | Compounds | S1 | S2 | S3 | S4 | S5 | 
|---|---|---|---|---|---|---|
| Alcohols | ||||||
| 1 | 3-Methyl-1-butanol | 15.63 ± 0.37e | 55.27 ± 2.00d | 72.27 ± 2.14c | 164.53 ± 7.03b | 176.34 ± 7.89a | 
| 2 | 2-Octanol | 32.02 ± 0.84d | 32.03 ± 0.43d | 91.03 ± 3.00b | 61.20 ± 0.80c | 114.10 ± 5.90a | 
| 3 | 2,3-Butanediol | 40.45 ± 1.60e | 117.20 ± 3.61d | 149.98 ± 3.89c | 343.12 ± 8.89b | 371.44 ± 13.43a | 
| 4 | Terpineol | ND | ND | ND | 12.08 ± 0.20 | ND | 
| 5 | Propanediol | ND | ND | ND | ND | 9.21 ± 0.18 | 
| 6 | 1,2,3-Propanetriol | 40.16 ± 0.68e | 95.96 ± 2.24d | 119.05 ± 2.81c | 156.10 ± 7.18b | 144.73 ± 1.94a | 
| 7 | Phenethyl alcohol | 2.76 ± 0.07e | 13.20 ± 0.32d | 15.39 ± 0.36c | 33.37 ± 0.77a | 16.92 ± 0.67b | 
| Acids | ||||||
| 8 | Acetic acid | 33.65 ± 0.54d | 68.79 ± 2.07c | 98.03 ± 2.58b | 124.53 ± 0.42a | 124.56 ± 1.25a | 
| 9 | Butyric acid | 5.93 ± 0.10d | ND | 8.58 ± 0.14c | 32.36 ± 0.79a | 10.98 ± 0.18b | 
| 10 | Lactic acid | ND | ND | ND | 65.79 ± 1.48a | 8.06 ± 0.14b | 
| 11 | Caproic acid | ND | ND | 11.76 ± 0.20c | 24.26 ± 0.58a | 17.88 ± 0.53b | 
| Aldehydes | ||||||
| 12 | Isovaleric aldehyde | 3.74 ± 0.09e | 11.97 ± 0.24d | 19.77 ± 0.27c | 36.02 ± 0.85b | 37.15 ± 0.63a | 
| 13 | Furfural | 1.88 ± 0.03d | 2.27 ± 0.07c | 2.55 ± 0.02c | 7.81 ± 0.38a | 3.63 ± 0.08b | 
| 14 | Phenylacetaldehyde | 1.72 ± 0.02d | 1.99 ± 0.10d | 5.10 ± 0.11c | 8.29 ± 0.11b | 9.14 ± 0.39a | 
| Ketones | ||||||
| 15 | 3-Hydroxydibutanone | 4.06 ± 0.04e | 11.73 ± 0.39d | 17.26 ± 0.06c | 37.51 ± 0.79a | 32.71 ± 1.12b | 
| 16 | Hydroxyacetone | ND | ND | ND | 15.40 ± 0.41 | ND | 
| Esters | ||||||
| 17 | Ethyl formate | ND | 3.37 ± 0.06 | ND | ND | ND | 
| 18 | Ethyl butyrate | 1.56 ± 0.03e | 4.83 ± 0.09c | 4.06 ± 0.14d | 8.13 ± 0.19b | 11.97 ± 0.16a | 
| 19 | Ethyl acetate | ND | 19.03 ± 0.44c | 26.91 ± 0.79b | 53.23 ± 0.92a | 53.61 ± 0.71a | 
| 20 | Ethyl benzoate | 1.40 ± 0.04e | 3.00 ± 0.02d | 6.26 ± 0.13c | 8.89 ± 0.09a | 7.80 ± 0.15b | 
| 21 | Methyl hexanoate | 3.00 ± 0.06e | 10.89 ± 0.49d | 21.82 ± 0.64c | 27.68 ± 0.58a | 23.66 ± 0.66b | 
| 22 | Ethyl caproate | 2.51 ± 0.04b | ND | ND | 13.71 ± 0.42a | ND | 
| 23 | Ethyl propionate | 6.55 ± 0.11b | ND | ND | ND | 41.90 ± 0.96a | 
| 24 | Ethyl valerate | 1.80 ± 0.03a | 3.66 ± 0.06b | ND | ND | ND | 
| Others | ||||||
| 25 | Phenol | 1.21 ± 0.02b | ND | 6.02 ± 0.22a | ND | ND | 
| 26 | Terpenediene | 9.06 ± 0.21b | ND | 44.34 ± 0.75a | 45.08 ± 0.62a | 44.24 ± 1.35a | 
| Disclaimer/Publisher’s Note: The statements, opinions and data contained in all publications are solely those of the individual author(s) and contributor(s) and not of MDPI and/or the editor(s). MDPI and/or the editor(s) disclaim responsibility for any injury to people or property resulting from any ideas, methods, instructions or products referred to in the content. | 
© 2024 by the authors. Licensee MDPI, Basel, Switzerland. This article is an open access article distributed under the terms and conditions of the Creative Commons Attribution (CC BY) license (https://creativecommons.org/licenses/by/4.0/).
Share and Cite
Bian, M.; Fang, Y.; Yuan, T.; Xu, Q.; Xia, Y.; Tang, H.; Feng, Y.; Han, B. Dynamics of Microbial Community Structure and Metabolites during Mulberry Ripening. Agriculture 2024, 14, 1129. https://doi.org/10.3390/agriculture14071129
Bian M, Fang Y, Yuan T, Xu Q, Xia Y, Tang H, Feng Y, Han B. Dynamics of Microbial Community Structure and Metabolites during Mulberry Ripening. Agriculture. 2024; 14(7):1129. https://doi.org/10.3390/agriculture14071129
Chicago/Turabian StyleBian, Minghong, Yuli Fang, Tianmeng Yuan, Qiang Xu, Yubin Xia, Hongyi Tang, Yiling Feng, and Baolin Han. 2024. "Dynamics of Microbial Community Structure and Metabolites during Mulberry Ripening" Agriculture 14, no. 7: 1129. https://doi.org/10.3390/agriculture14071129
APA StyleBian, M., Fang, Y., Yuan, T., Xu, Q., Xia, Y., Tang, H., Feng, Y., & Han, B. (2024). Dynamics of Microbial Community Structure and Metabolites during Mulberry Ripening. Agriculture, 14(7), 1129. https://doi.org/10.3390/agriculture14071129
 
        

 
                         
       