Contributions of Soil Moisture and Vegetation on Surface-Air Temperature Difference during the Rapid Warming Period
Abstract
1. Introduction
2. Materials and Methods
2.1. Materials
2.1.1. In Situ Data
2.1.2. Elevation Data
2.1.3. Vegetation Index data
2.1.4. Land Cover Type Data
2.1.5. Climate Type Data
2.2. Methods
2.2.1. Calculation of Surface–Air Temperature Difference (DIF)
2.2.2. Theil-Sen Trend Analysis
2.2.3. Correlation Analysis
2.2.4. Casual Analysis
2.2.5. Contribution Analysis
3. Results
3.1. Spatial and Temporal Change Characteristics of Land Surface Temperature (Ts), Air Temperature (Ta), Surface-Air Temperature Difference (DIF), Soil Moisture (SM) and NDVI
3.2. Correlation Analysis between Soil Moisture (SM), NDVI and Surface-Air Temperature Difference (DIF)
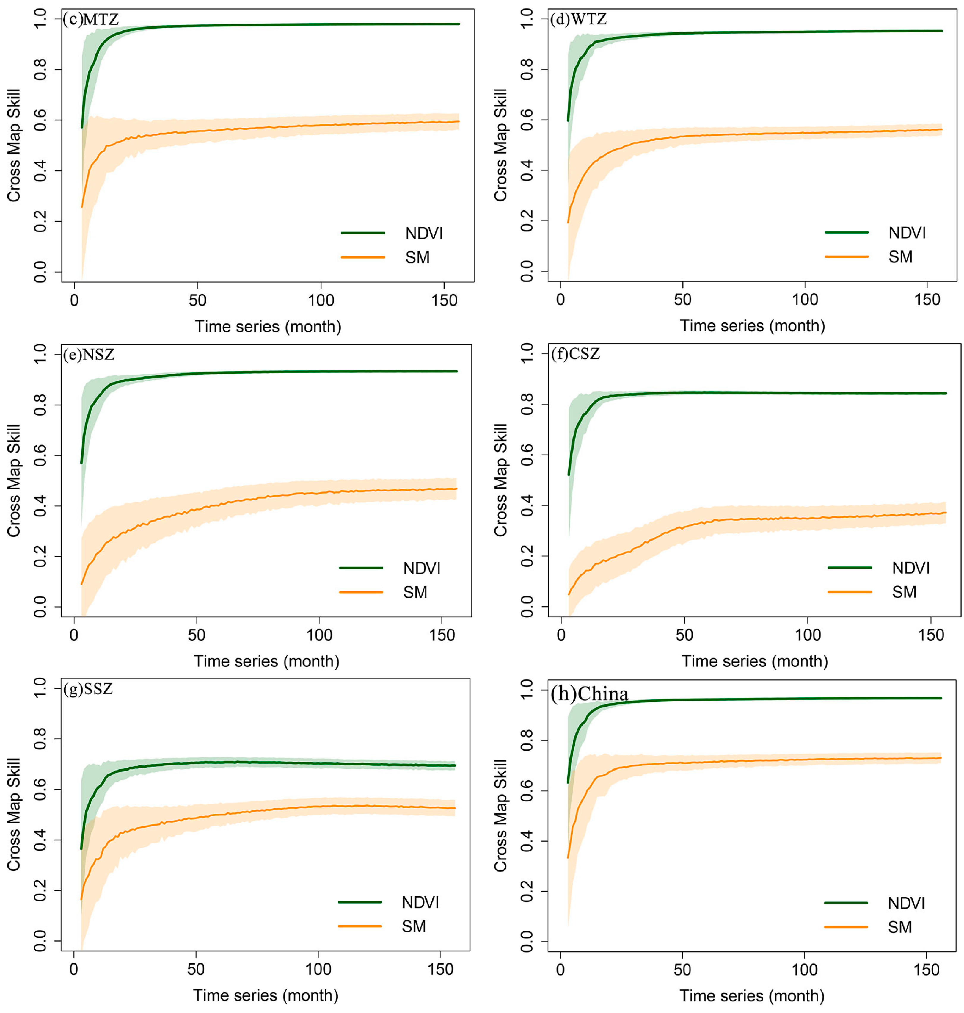
3.3. Detecting the Effects of Soil Moisture (SM) and NDVI on Surface-Air Temperature Difference (DIF) under Different Land Cover Types and Climate Zones
3.4. Contributions of Soil Moisture (SM) and NDVI on Surface-Air Temperature Difference (DIF)
3.5. Changes Characteristics of the Difference between Surface–Air Temperature Difference (DIF), Soil Moisture (SM) and NDVI under Different Elevation (DEM) and Precipitation (PRE) Gradients
4. Discussion
4.1. The Background Values of Soil Moisture (SM) and Air Temperature (Ta) Had a Significant Effect on Surface–Air Temperature Difference (DIF)
4.2. Limitations
5. Conclusions
- (1)
- Both land surface temperature (Ts) and air temperature (Ta) showed warming trends from 2011 to 2023, while Ts increased faster than Ta, which resulted DIF increased significantly by 0.02 °C/a. It was found that the annual mean surface–air temperature difference (DIF) exhibited a gradually increasing trend from coastal to inland areas, with the highest values of DIF observed in high altitude, and the multi-year mean DIF is 2.78 °C, indicating that Ts is greater than Ta at the national scale.
- (2)
- The variations of soil moisture (SM) and NDVI have a different effect on DIF. In areas where SM is not restricted, SM is negatively correlated with DIF, while in SM-restricted areas, they are positively correlated. NDVI shows a positive correlation with DIF in most regions. The correlation between SM and DIF is more significant than the correlation between NDVI and DIF. However, the contribution of NDVI to DIF (0.11) is higher than the contribution of SM to DIF (0.08).
- (3)
- The impact patterns of SM and NDVI on DIF are influenced by different climatic backgrounds. DIF is positively driven by SM in low SM or low-temperature regions. Vegetation can have the greatest effect on DIF at the optimal temperature.
Author Contributions
Funding
Data Availability Statement
Acknowledgments
Conflicts of Interest
References
- Hooker, J.; Duveiller, G.; Cescatti, A. A Global Dataset of Air Temperature Derived from Satellite Remote Sensing and Weather Stations. Sci. Data 2018, 5, 180246. [Google Scholar] [CrossRef] [PubMed]
- Li, Z.L.; Tang, B.H.; Wu, H.; Ren, H.; Yan, G.; Wan, Z.; Trigo, I.F.; José, A. Sobrino Satellite-Derived Land Surface Temperature: Current Status and Perspectives; Elsevier: Amsterdam, The Netherlands, 2013. [Google Scholar] [CrossRef]
- Li, Z.-L.; Wu, H.; Duan, S.-B.; Zhao, W.; Ren, H.; Liu, X.; Leng, P.; Tang, R.; Ye, X.; Zhu, J.; et al. Satellite Remote Sensing of Global Land Surface Temperature: Definition, Methods, Products, and Applications. Rev. Geophys. 2023, 61, e2022RG000777. [Google Scholar] [CrossRef]
- Yu, Y.; Fang, S.; Zhuo, W.; Han, J. A Fast and Easy Way to Produce a 1-Km All-Weather Land Surface Temperature Dataset for China Utilizing More Ground-Based Data. IEEE Trans. Geosci. Remote Sens. 2024, 62, 1–16. [Google Scholar] [CrossRef]
- Kloog, I.; Nordio, F.; Coull, B.A.; Schwartz, J. Predicting Spatiotemporal Mean Air Temperature Using MODIS Satellite Surface Temperature Measurements across the Northeastern USA. Remote Sens. Environ. 2014, 150, 132–139. [Google Scholar] [CrossRef]
- Vancutsem, C.; Ceccato, P.; Dinku, T.; Connor, S.J. Evaluation of MODIS Land Surface Temperature Data to Estimate Air Temperature in Different Ecosystems over Africa. Remote Sens. Environ. 2010, 114, 449–465. [Google Scholar] [CrossRef]
- Brown, P.T.; Caldeira, K. Greater Future Global Warming Inferred from Earth’s Recent Energy Budget. Nature 2017, 552, 45–50. [Google Scholar] [CrossRef]
- de Jong, R.; Verbesselt, J.; Schaepman, M.E.; de Bruin, S. Trend Changes in Global Greening and Browning: Contribution of Short-Term Trends to Longer-Term Change. Glob. Change Biol. 2012, 18, 642–655. [Google Scholar] [CrossRef]
- Feng, H.; Zou, B. A Greening World Enhances the Surface-Air Temperature Difference. Sci. Total Environ. 2019, 658, 385–394. [Google Scholar] [CrossRef] [PubMed]
- García-García, A.; Cuesta-Valero, F.J.; Beltrami, H.; Smerdon, J.E. Characterization of Air and Ground Temperature Relationships within the CMIP5 Historical and Future Climate Simulations. J. Geophys. Res. Atmos. 2019, 124, 3903–3929. [Google Scholar] [CrossRef]
- Zhou, L.-T.; Huang, R. An Assessment of the Quality of Surface Sensible Heat Flux Derived from Reanalysis Data through Comparison with Station Observations in Northwest China. Adv. Atmos. Sci. 2010, 27, 500–512. [Google Scholar] [CrossRef]
- Calvin, K.; Dasgupta, D.; Krinner, G.; Mukherji, A.; Thorne, P.W.; Trisos, C.; Romero, J.; Aldunce, P.; Barrett, K.; Blanco, G.; et al. IPCC, 2023: Climate Change 2023: Synthesis Report. Contribution of Working Groups I, II and III to the Sixth Assessment Report of the Intergovernmental Panel on Climate Change; Core Writing Team, Lee, H., Romero, J., Eds.; IPCC: Geneva, Switzerland, 2023. [Google Scholar]
- Teuling, A.J. A Hot Future for European Droughts. Nat. Clim. Change 2018, 8, 364–365. [Google Scholar] [CrossRef]
- Zhou, S.; Williams, A.P.; Berg, A.M.; Cook, B.I.; Zhang, Y.; Hagemann, S.; Lorenz, R.; Seneviratne, S.I.; Gentine, P. Land–Atmosphere Feedbacks Exacerbate Concurrent Soil Drought and Atmospheric Aridity. Proc. Natl. Acad. Sci. USA 2019, 116, 18848–18853. [Google Scholar] [CrossRef] [PubMed]
- Liao, Y.-M.; Chen, D.; Liu, Q.-F. The Spatiotemporal Characteristics and Long-Term Trends of Surface-Air Temperatures Difference in China. Adv. Clim. Change Res. 2019, 15, 374. [Google Scholar]
- Li, N.; Cuo, L.; Zhang, Y.; Ding, J. The Synthesis of Potential Factors Contributing to the Asynchronous Warming between Air and Shallow Ground since the 2000s on the Tibetan Plateau. Geoderma 2024, 441, 116753. [Google Scholar] [CrossRef]
- Bartlett, M.G.; Chapman, D.S.; Harris, R.N. A Decade of Ground–Air Temperature Tracking at Emigrant Pass Observatory, Utah. J. Clim. 2006, 19, 3722–3731. [Google Scholar] [CrossRef]
- Ying, L. Distribution of Differences between Ground and Air Temperature in Spring and Its Impact on Precipitation in Mid-Lower Reaches of Yangtze River. Meteorol. Sci. Technol. 2009, 37, 301–305. [Google Scholar]
- Jiang, K.; Pan, Z.; Pan, F.; Wang, J.; Han, G.; Song, Y.; Zhang, Z.; Huang, N.; Ma, S.; Chen, X. Influence Patterns of Soil Moisture Change on Surface-Air Temperature Difference under Different Climatic Background. Sci. Total Environ. 2022, 822, 153607. [Google Scholar] [CrossRef]
- Jiang, K.; Pan, Z.; Pan, F.; Wang, J.; Han, G.; Song, Y.; Zhang, Z.; Huang, N.; Ma, S.; Chen, X.; et al. The Global Spatiotemporal Heterogeneity of Land Surface-Air Temperature Difference and Its Influencing Factors. Sci. Total Environ. 2022, 838, 156214. [Google Scholar] [CrossRef] [PubMed]
- Stephen, H.; Ahmad, S.; Piechota, T.C. Land Surface Brightness Temperature Modeling Using Solar Insolation. IEEE Trans. Geosci. Remote Sens. 2010, 48, 491–498. [Google Scholar] [CrossRef]
- Deng, Y.; Wang, S.; Bai, X.; Luo, G.; Wu, L.; Cao, Y.; Li, H.; Li, C.; Yang, Y.; Hu, Z.; et al. Variation Trend of Global Soil Moisture and Its Cause Analysis. Ecol. Indic. 2020, 110, 105939. [Google Scholar] [CrossRef]
- Han, G.; Wang, J.; Pan, Y.; Huang, N.; Zhang, Z.; Peng, R.; Wang, Z.; Sun, G.; Liu, C.; Ma, S.; et al. Temporal and Spatial Variation of Soil Moisture and Its Possible Impact on Regional Air Temperature in China. Water 2020, 12, 1807. [Google Scholar] [CrossRef]
- Feng, H.; Zhang, M. Global Land Moisture Trends: Drier in Dry and Wetter in Wet over Land. Sci. Rep. 2015, 5, 18018. [Google Scholar] [CrossRef] [PubMed]
- Seneviratne, S.I.; Corti, T.; Davin, E.L.; Hirschi, M.; Jaeger, E.B.; Lehner, I.; Orlowsky, B.; Teuling, A.J. Investigating Soil Moisture–Climate Interactions in a Changing Climate: A Review. Earth-Sci. Rev. 2010, 99, 125–161. [Google Scholar] [CrossRef]
- Gevaert, A.I.; Miralles, D.G.; de Jeu, R.A.; Schellekens, J.; Dolman, A.J. Soil Moisture-Temperature Coupling in a Set of Land Surface Models. J. Geophys. Res. Atmos. 2018, 123, 1481–1498. [Google Scholar] [CrossRef] [PubMed]
- Way, R.G.; Lapalme, C.M. Does Tall Vegetation Warm or Cool the Ground Surface? Constraining the Ground Thermal Impacts of Upright Vegetation in Northern Environments. Environ. Res. Lett. 2021, 16, 054077. [Google Scholar] [CrossRef]
- Sekertekin, A.; Marangoz, A.M.; Abdikan, S. ALOS-2 and Sentinel-1 SAR Data Sensitivity Analysis to Surface Soil Moisture over Bare and Vegetated Agricultural Fields. Comput. Electron. Agric. 2020, 171, 105303. [Google Scholar] [CrossRef]
- Wang, L.; Fang, S.; Pei, Z.; Zhu, Y.; Khoi, D.N.; Han, W. Using FengYun-3C VSM Data and Multivariate Models to Estimate Land Surface Soil Moisture. Remote Sens. 2020, 12, 1038. [Google Scholar] [CrossRef]
- Wang, Y.; Zhao, H.; Fan, J.; Wang, C.; Ji, X.; Jin, D.; Chen, J. A Review of Earth’s Surface Soil Moisture Retrieval Models via Remote Sensing. Water 2023, 15, 3757. [Google Scholar] [CrossRef]
- Feng, H. Individual Contributions of Climate and Vegetation Change to Soil Moisture Trends across Multiple Spatial Scales. Sci. Rep. 2016, 6, 32782. [Google Scholar] [CrossRef]
- Lean, J.; Rind, D. Climate Forcing by Changing Solar Radiation. J. Clim. 1998, 11, 3069–3094. [Google Scholar] [CrossRef]
- Li, Y.; Li, Z.-L.; Wu, H.; Zhou, C.; Liu, X.; Leng, P.; Yang, P.; Wu, W.; Tang, R.; Shang, G.-F.; et al. Biophysical Impacts of Earth Greening Can Substantially Mitigate Regional Land Surface Temperature Warming. Nat. Commun. 2023, 14, 121. [Google Scholar] [CrossRef] [PubMed]
- Ellison, D.; Morris, C.E.; Locatelli, B.; Sheil, D.; Cohen, J.; Murdiyarso, D.; Gutierrez, V.; van Noordwijk, M.; Creed, I.F.; Pokorny, J.; et al. Trees, Forests and Water: Cool Insights for a Hot World. Glob. Environ. Change 2017, 43, 51–61. [Google Scholar] [CrossRef]
- Feng, H.; Zou, B.; Luo, J. Coverage-Dependent Amplifiers of Vegetation Change on Global Water Cycle Dynamics. J. Hydrol. 2017, 550, 220–229. [Google Scholar] [CrossRef]
- Houghton, R.A.; House, J.I.; Pongratz, J.; Van Der Werf, G.R.; DeFries, R.S.; Hansen, M.C.; Le Quéré, C.; Ramankutty, N. Carbon Emissions from Land Use and Land-Cover Change. Biogeosciences 2012, 9, 5125–5142. [Google Scholar] [CrossRef]
- Yu, Y.; Fang, S.; Zhuo, W. Revealing the Driving Mechanisms of Land Surface Temperature Spatial Heterogeneity and Its Sensitive Regions in China Based on GeoDetector. Remote Sens. 2023, 15, 2814. [Google Scholar] [CrossRef]
- Jiang, S.; Zhan, W.; Dong, P.; Wang, C.; Li, J.; Miao, S.; Jiang, L.; Du, H.; Wang, C. Surface Air Temperature Differences of Intra- and Inter-Local Climate Zones across Diverse Timescales and Climates. Build. Environ. 2022, 222, 109396. [Google Scholar] [CrossRef]
- Huang, B. Preliminary Draft of Comprehensive Natural Regionalization in China. Acta Geogr. Sin. 1958, 24, 348–365. [Google Scholar] [CrossRef]
- Sen, P.K. Estimates of the Regression Coefficient Based on Kendall’s Tau. J. Am. Stat. Assoc. 1968, 63, 1379–1389. [Google Scholar] [CrossRef]
- Mao, D.; Wang, Z.; Li, L.; Ma, W. Spatiotemporal Dynamics of Grassland Aboveground Net Primary Productivity and Its Association with Climatic Pattern and Changes in Northern China. Ecol. Indic. 2014, 41, 40–48. [Google Scholar] [CrossRef]
- Clark, A.T.; Ye, H.; Isbell, F.; Deyle, E.R.; Cowles, J.; Tilman, G.D.; Sugihara, G. Spatial Convergent Cross Mapping to Detect Causal Relationships from Short Time Series. Ecology 2015, 96, 1174–1181. [Google Scholar] [CrossRef]
- Deyle, E.R.; Maher, M.C.; Hernandez, R.D.; Basu, S.; Sugihara, G. Global Environmental Drivers of Influenza. Proc. Natl. Acad. Sci. USA 2016, 113, 13081–13086. [Google Scholar] [CrossRef]
- Sugihara, G.; May, R.; Ye, H.; Hsieh, C.; Deyle, E.; Fogarty, M.; Munch, S. Detecting Causality in Complex Ecosystems. Science 2012, 338, 496–500. [Google Scholar] [CrossRef] [PubMed]
- Wang, Y.; Yang, J.; Chen, Y.; De Maeyer, P.; Li, Z.; Duan, W. Detecting the Causal Effect of Soil Moisture on Precipitation Using Convergent Cross Mapping. Sci. Rep. 2018, 8, 12171. [Google Scholar] [CrossRef] [PubMed]
- Yu, Y.; Shang, G.; Duan, S.; Yu, W.; Labed, J.; Li, Z. Quantifying the Influences of Driving Factors on Land Surface Temperature during 2003–2018 in China Using Convergent cross Mapping Method. Remote Sens. 2022, 14, 3280. [Google Scholar] [CrossRef]
- Lai, J.; Zou, Y.; Zhang, J.; Peres-Neto, P. Rdacca.Hp: An R Package for Generalizing Hierarchical and Variation Partitioning in Multiple Regression and Canonical Analysis. bioRxiv 2021. [Google Scholar] [CrossRef]
- Chen, X.; Liu, L.; Su, Y.; Yuan, W.; Liu, X.; Liu, Z.; Zhou, G. Quantitative Association between the Water Yield Impacts of Forest Cover Changes and the Biophysical Effects of Forest Cover on Temperatures. J. Hydrol. 2021, 600, 126529. [Google Scholar] [CrossRef]












Disclaimer/Publisher’s Note: The statements, opinions and data contained in all publications are solely those of the individual author(s) and contributor(s) and not of MDPI and/or the editor(s). MDPI and/or the editor(s) disclaim responsibility for any injury to people or property resulting from any ideas, methods, instructions or products referred to in the content. |
© 2024 by the authors. Licensee MDPI, Basel, Switzerland. This article is an open access article distributed under the terms and conditions of the Creative Commons Attribution (CC BY) license (https://creativecommons.org/licenses/by/4.0/).
Share and Cite
Yu, Y.; Fang, S.; Zhuo, W.; Han, J. Contributions of Soil Moisture and Vegetation on Surface-Air Temperature Difference during the Rapid Warming Period. Agriculture 2024, 14, 1090. https://doi.org/10.3390/agriculture14071090
Yu Y, Fang S, Zhuo W, Han J. Contributions of Soil Moisture and Vegetation on Surface-Air Temperature Difference during the Rapid Warming Period. Agriculture. 2024; 14(7):1090. https://doi.org/10.3390/agriculture14071090
Chicago/Turabian StyleYu, Yanru, Shibo Fang, Wen Zhuo, and Jiahao Han. 2024. "Contributions of Soil Moisture and Vegetation on Surface-Air Temperature Difference during the Rapid Warming Period" Agriculture 14, no. 7: 1090. https://doi.org/10.3390/agriculture14071090
APA StyleYu, Y., Fang, S., Zhuo, W., & Han, J. (2024). Contributions of Soil Moisture and Vegetation on Surface-Air Temperature Difference during the Rapid Warming Period. Agriculture, 14(7), 1090. https://doi.org/10.3390/agriculture14071090

