Next Article in Journal
Design and Test of Discrete Element-Based Separation Roller Potato–Soil Separation Device
Previous Article in Journal
The Integration of Mechanical Energy Absorbers into Rollover Protective Structures to Improve the Safety of Agricultural Tractors in the Event of Rollover
 
 
Font Type:
Arial Georgia Verdana
Font Size:
Aa Aa Aa
Line Spacing:
Column Width:
Background:
Article

Role of Policy-Supported Hog Insurance in Promoting Green Total Factor Productivity: The Case of China during 2005–2021

College of Economics and Management, Shenyang Agricultural University, Shenyang 110866, China
*
Author to whom correspondence should be addressed.
Agriculture 2024, 14(7), 1051; https://doi.org/10.3390/agriculture14071051
Submission received: 27 May 2024 / Revised: 25 June 2024 / Accepted: 27 June 2024 / Published: 29 June 2024
(This article belongs to the Section Agricultural Economics, Policies and Rural Management)

Abstract

Hog insurance and rural environmental protection are complementary to each other. Studying the environmental effects of hog insurance is imperative for safeguarding food safety and promoting the long-term development of the agricultural insurance industry. Informed by the risk management theory and sustainable development theory, this paper constructs a theoretical framework for the impact of policy-supported hog insurance on the green total factor productivity (GTFP) of hog farming. Utilizing panel data from China’s hog-dominant production areas spanning from 2005 to 2021, the slacks-based measures of directional distance functions (SBM-DDF) model and multiple-time-point difference-in-differences (DID) approach were used to measure GTFP and explore the effects of hog insurance on GTFP and the underlying mechanisms. The findings indicate a substantial enhancement in GTFP due to hog insurance. The conclusion drawn was robust to various tests. The mechanism is that hog insurance fosters GTFP by expanding the breeding scale, adjusting the planting–breeding structure, and promoting technological progress. Furthermore, the environmental effects of hog insurance policy are more pronounced in economically developed regions, with significant effects observed on the GTFP of free-range, small-scale, and medium-scale hog-farming households. This study contributes new evidence to the field of assessing the environmental impact of agricultural insurance policies and provides valuable insights for furthering green transformation and development in the hog insurance-supported breeding industry.

1. Introduction

Agriculture, a fundamental sector of the global economy, is subject to a myriad of uncertainties from natural, economic, and societal factors, as well as individual risks, which can compromise the income security of producers [1,2]. Hog production is no exception to these challenges. The major challenges in global livestock farming encompass insufficient pasture and high-quality feed, a scarcity of water resources, the impact of climate change, immature breeding management, and severe pollution, among others [3,4,5,6]. What is worse, the global hog-farming industry is currently facing an unprecedented threat from African swine fever, characterized by its highly virulent nature and swift spread, which poses significant challenges for control [7]. Hog insurance, serving as a vital tool for mitigating agricultural production risks [8,9], facilitates operators in enhancing risk resilience through its fundamental functions of pre-disaster prevention and post-disaster compensation [10], thereby stabilizing expected income [11]. Agricultural insurance and rural environmental protection are mutually reinforcing [12]. Hog insurance can bolster the production enthusiasm of farmers, ensuring both the output and the sufficient quantity of agricultural products [13,14]. Concurrently, rural environmental protection, with a focus on long-term sustainability, aims to improve farming conditions and construct a green and healthy agroecosystem, thereby ensuring the quality and safety of agricultural products [15]. Therefore, investigating the environmental impacts of hog insurance holds profound implications for enhancing agricultural product safety and broadening the scope of agricultural insurance attributes.
China’s agricultural insurance and hog industry occupy significant positions in the global market, and their development status and trends have a substantial influence worldwide. In 2023, China’s agricultural insurance premium income was CNY 142.966 billion, making it, once again, the country with the largest agricultural insurance premium scale in the world. With a global hog outflow of 1.284 billion heads in 2023, China accounted for approximately 54.89% of the world’s total (data from USDA), establishing it as the world’s largest pork-producing country. Therefore, a case study of the policy effects of hog insurance in China possesses high representativeness and reference value.
The green transformation of China’s livestock farming has become imperative for the advancement of modern agriculture [16]. China, as the world’s largest hog producer and consumer of pork, recorded a pork production of 55,414,300 tons and a per capita pork consumption of 26.9 kg in 2022, marking a 6.75% increase year on year. However, China’s livestock and hog-farming industry has long relied on the intensive inputs of capital and labor, as well as crude production methods, leading to the inefficient utilization of waste resources and severe ecological degradation [17]. According to the Second National Pollution Source Census Bulletin, China’s animal husbandry industry generates 10,053,000 tons of chemical oxygen demand (COD) and 110,900 tons of ammonia nitrogen, constituting 93.76% and 51.3% of emissions from agricultural sources, respectively. If livestock waste is improperly discharged into the environment without proper treatment, it causes serious pollution of the water, soil, and air, besides posing a substantial risk to livestock and human health [18]. The government has issued policies such as the “Opinions on Stabilizing Hog Production for Transformation and Upgrading” in response to the environmental challenges posed by the livestock farming industry, emphasizing the principles of quality enhancement, efficiency enhancement, industrial integration, and green development. This is to accelerate the green transformation of the farming industry, rendering it an inevitable choice for modern agricultural development [19]. Green total factor productivity (GTFP) contributes to economic growth and addresses energy and environmental concerns, aligning well with the requirements of contemporary green development [20]. Therefore, facing the dual pressures of environmental protection and the downturn in the hog cycle, enhancing GTFP in hog farming is positioned as a crucial pathway for achieving green agricultural development.
Policy-supported hog insurance positively contributes to the diversification of risks associated with green farming and the ecological environment. However, green production models may face challenges, such as reduced economic benefits and increased breeding costs, posing the risk of reduced production and income [21]. However, hog insurance alleviates the financial pressures on farmers when they adopt new environmentally friendly breeding methods through risk transfer and economic compensation, enhancing their confidence in investing in green farming technologies and facilities and prompting them to increase their focus on risk management and preventive measures. This approach can effectively reduce the breeding risks in the green production process [22]. At the same time, hog insurance can also stabilize the expected income of farmers, affect their production decisions, reduce non-point source pollution [23,24,25], and promote the simultaneous enhancement of ecological and economic benefits. Following the State Council of China’s issuance of the “Opinions on Promoting the Development and Stable Market Supply of Animal Husbandry” in 2007, government departments at all levels have collaborated to promote policy-supported hog insurance, initiating pilot programs in multiple provinces and cities (districts and cities) nationwide. In recent times, the government has continually enhanced the subsidy system for policy-supported hog insurance and has expanded insurance coverage. This has significantly encouraged farmers’ participation in insurance, leading to rapid development in hog insurance.
In summary, this study utilized the pilot implementation of hog insurance as a research vantage point to examine the impact of policy-supported hog insurance on GTFP in the breeding industry. This study utilized panel data from 18 hog-dominant production areas (“The National Plan for the Layout of Advantageous Areas for Farming” proposes to list Jiangsu, Zhejiang, Guangdong, Fujian, Liaoning, Jilin, Heilongjiang, Hebei, Shandong, Anhui, Jiangxi, Henan, Hubei, Hunan, Guangxi, Sichuan, Chongqing, Yunnan, and Guizhou, a total of 19 provinces, as advantageous areas for farming. Fujian is excluded due to missing data in the National Compendium of Cost and Benefit Information on Agricultural Products) spanning from 2005 to 2021 and employed the multiple-time-point difference-in-differences approach, attempting to answer the following questions: whether hog insurance policies contribute to GTFP and what their impact mechanism is. Furthermore, this study examined whether the impact may vary in outcome due to the heterogeneity in regional economic levels and farming scale. The significance of this study lies not only in exploring the environmental protection attributes of hog insurance but also in aiming to leverage its potential to support the green transformation and development of the hog-farming industry. This study contributes to the academic field by (1) providing new evidence and supplements for the environmental impact assessment of agricultural insurance. Currently, research on the impact of agricultural insurance on the ecological environment is predominantly concentrated on the planting industry; in contrast, the pig farming industry, as an important pillar of agriculture and the rural economy, encounters a disproportionately severe environmental pollution problem compared with the planting industry. Nevertheless, the relevant research literature is relatively insufficient. Building on the existing research, this study assessed the impact of hog insurance on GTFP, further dissected the mechanisms through which hog insurance affects GTFP via scale, structural, and technological effects, and simultaneously investigated economic and scale heterogeneities. Such detailed analysis facilitated the formulation of more targeted and effective policy measures and holds profound significance for enhancing the GTFP in pig farming and advancing sustainable agricultural development. (2) This study expands the literature on the determinants of GTFP, which are influenced by a combination of various factors, including institutional aspects, input variables, market conditions, and geographical climates. Such an expansion not only broadens our comprehension of GTFP but also injects new momentum into future environmental conservation efforts.

2. Literature Review

2.1. Research on Agricultural Insurance

As the frequency of natural disasters increases due to global climate change, agricultural insurance policies have been promoted and applied in many countries [26]. According to World Bank statistics, crop insurance constitutes a significant portion of the global agricultural insurance market. Agricultural insurance, serving as a risk management tool, mitigates economic losses resulting from natural disasters and market fluctuations for individual farmers and plays a vital role in addressing production risks and stabilizing income. Gordon et al. (1991) [27] examined the impact mechanisms affecting farmers’ income through risk prevention, risk transfer, and loss compensation. Their findings indicate that crop insurance can mitigate the risk of income reduction for farmers due to natural disasters, compensate for losses due to yield and price decreases, and, furthermore, play a crucial role in stabilizing the agricultural economy. According to Birthal et al. (2022) [28], crop insurance can effectively increase farm income and reduce the risks faced by farmers, demonstrating spatial heterogeneity across varying rainfall levels. In contrast, Zhao et al. (2016) [29] showed no significant increase in the income of farmers in Inner Mongolia, China due to crop insurance. This contrasting finding suggests that the insurance payouts were insufficient, only covering variable production costs and not offering adequate risk mitigation for farmers, resulting in no income effect. Agricultural insurance has undergone significant development since the 1990s, and index-based insurance constitutes a potentially transformative development, which may assist in expanding agricultural insurance coverage to the necessary extent. Furthermore, it may facilitate coverage for numerous public relief programs [30].
With the advancement of agricultural modernization and the increasing demand for agricultural risk management, the promotion of animal husbandry insurance is gaining momentum worldwide and is recognized globally as an essential instrument to improve farmer welfare and agricultural production stability. Biglari et al. (2019) [31] discovered in their survey of 250 pastoralist households in Kerman Shah County, Iran, that the number of livestock covered by insurance and the awareness of pastoralists about insurance services are important factors affecting their adaptability. Rao and Zhang (2020) [32] observed an increase in pig mortality rates among participants in insurance programs, indicating the possibility of moral hazard. Furthermore, insurance participation enhances the probability of farmers reporting animal diseases to the government, thereby assisting the government in preventing and monitoring animal disease outbreaks. In contrast, Zhang et al. (2018) [33] utilized data from Deqing County, China, to examine the impact of hog insurance on death losses, production, and vaccine use, and their findings suggest that the impact of insurance on mortality and vaccine use is not significant, indicating that moral hazard issues are not the primary impediment to the development of animal husbandry insurance. Recently, as an innovative risk management tool, the application and effectiveness of index-based livestock insurance (IBLI) have garnered widespread attention. Matsuda et al. (2019) [34] observed, utilizing panel data from four years in southern Ethiopia, that although the adoption rate of IBLI varies across different sales periods, insurance payouts can increase household income and milk production during droughts. Despite some affirmative instances of IBLI, the proportion of pastoralists who continue to adopt it remains limited, and approaches to bolster IBLI adoption must consider key factors influencing familial decision-making processes [35].

2.2. Research on GTFP

GTFP is an important indicator for measuring the comprehensive output efficiency of agricultural production, taking into account environmental costs and the efficiency of resource utilization. There are various methods for calculating GTFP, including the SBM-GML model [36], the super-efficiency SBM model, [37] the DDF-ML model [38], the SBM-MML model [39], and the SBM-DDF method [40]. The literature on factors influencing GTFP of agriculture encompasses aspects such as relevant institutions, elemental inputs, market environment, and geographic climate. Li et al. (2020) [41] demonstrated that green finance can notably boost GTFP in agriculture, exhibiting an inverted U-shaped relationship. Liu et al. (2019) [19] classified the influencing factors of GTFP into two primary dimensions: resource factors and regional characteristics. Within these dimensions, the level of agricultural economic development, agricultural technology, the structure of agricultural production, and the degree of openness to the outside world significantly influence GTFP. Xu et al. (2020) [42] found that financial capacity, economic growth, and energy intensity exert nonlinear effects on environmental outcomes. Song et al. (2022) [43] indicated that rainfall, temperature, and humidity have a substantial impact on GTFP.

2.3. Research on the Impact of Agricultural Insurance on GTFP

Currently, agricultural insurance has conducted less research regarding GTFP and concentrates predominantly on plantation insurance. Scholars have found that agricultural insurance improves agricultural GTFP by diversifying risks and stabilizing income [36,41,44]. Extensive research has examined the impact of agricultural insurance on chemical inputs and analyzed its environmental effects as a secondary consideration. Research suggests that agricultural insurance policies can effectively encourage farmers to optimize factor allocation in agricultural production through mechanisms such as cost squeezing, moral hazard, and resource allocation adjustment [41,45], potentially reducing chemical inputs and alleviating non-point source pollution. However, contrasting views exist, with some scholars positing that agricultural insurance may increase chemical inputs [25,46,47,48], exacerbating environmental pollution problems. Capitanio et al. (2014) [49] found that agricultural insurance promotes an increase in fertilizer use, suggesting that the impact on production may be crop-specific. These differing conclusions may be attributed to differences in agricultural production conditions, insurance terms among various regions and crops, and varying levels of agricultural insurance coverage.
Livestock insurance, particularly in the context of climate change and extreme weather events, is a critical strategy for enhancing the adaptability and resilience of herders [50]. The study by John et al. (2019) [51], which employs an agent-based model, delves into the intricate dynamics of livestock drought insurance and its potential ramifications on rangeland conditions and livestock herd dynamics. This research scrutinizes the possible disruptions that an expanded scale of insurance interventions might cause to the natural recovery dynamics of ranches, as well as the potential long-term degradation of the vegetation’s carrying capacity.
In summary, the current body of research on the environmental impacts of agricultural insurance is predominantly concentrated on the planting industry, with a particular emphasis on examining the nexus between crop insurance, GTFP, and chemical inputs. There is also a subset of the literature that discusses the various factors influencing GTFP. However, the pig farming industry, which stands as a fundamental pillar of agriculture and the rural economy, warrants equal, if not greater, attention. Despite pig farming’s significantly higher level of environmental pollution compared with planting, the corresponding research in this area is notably lacking. Building upon existing research findings, the present study takes hog insurance as a focal point to investigate its mechanisms of impact on GTFP. This exploration is instrumental in deepening our comprehension of the role that agricultural insurance can play, thereby offering valuable insights and guidance for decision making and policy implementation by relevant authorities in the agricultural sector.

3. Policy Background and Theoretical Analysis

3.1. Policy Background on China’s Policy-Supported Hog Insurance

China’s agricultural production faces the dual challenges of environmental protection and economic benefits. As the most populous country in the world, China exhibits significant typicality and representativeness in terms of the scale and complexity of agricultural production. The Chinese government has undertaken long-term policy practices and explorations in the field of hog insurance, which provides a solid policy environment and practical foundation for research. Given that this study takes China as the research subject, its research methods and conclusions, offering theoretical and practical guidance, are universally applicable to the design and implementation of agricultural insurance policies in other regions around the world.
Following the revival of the agricultural insurance business in 1982, China has been actively refining its agricultural insurance in terms of systems, structures, and implementation pathways, culminating in the current policy-supported agricultural insurance model. Hog insurance, as a major type of insurance under this model, has emerged as an important trend in promoting the development of modern farming. Upon examination of the main policy-supported hog insurance government documents since 2007 (Table 1), there is evidence to suggest that the government is continuously optimizing the hog insurance system, to achieve the objectives of enhancing farmers’ ability to resist market and natural risks and ensuring the stability and sustainable development of agricultural production.
This study focused on 18 major pig-producing provinces in China for research. The selection was justified by the relatively small scale of pig farming in non-major producing provinces, as well as the insufficient level of development of hog insurance. Furthermore, the specific timing of policy implementation remains unclear, which may have collectively influenced the research findings. Conversely, areas with concentrated pig production not only account for the majority of pig farming but also more effectively reflect the general state of the industry’s insurance policies. A timeline depicting the implementation of policy-supported fattening hog insurance pilot projects in each major producing province is presented in the following Figure 1.

3.2. Theoretical Analyses and Research Hypotheses

3.2.1. Impact Analysis of Hog Insurance on GTFP in Farming

Farmers in the green livestock sector face a myriad of risks such as natural disasters, diseases, and market fluctuations. China’s agricultural landscape is primarily dominated by smallholder economies, wherein farmers often lack sufficient resources to mitigate risks. Consequently, they resort to negative approaches to risk avoidance, hampering the improvement of GTFP.
Hog insurance plays a pivotal role in risk management, by facilitating increased desirable output and the augmentation of GTFP in farming. Drawing upon agricultural risk management theory, hog insurance efficiently distributes the risk of losses among farming households through the ex ante prevention and ex post compensation measures, reducing its impact on production due to market fluctuations and diseases [10,11], thereby enhancing the hog industry’s production stability. This stability is conducive to improving GTFP. On the one hand, in a stable environment, farmers find it easier to implement scientific management measures, reducing losses in production. Moreover, professionals from insurance companies and village-level coinsurance officers leverage their professional knowledge to assist farming households in minimizing the risks associated with hog farming. This collaborative effort aims to reduce losses, boost output, and directly contribute to the enhancement of farming GTFP [52]. On the other hand, in cases where hog deaths occur due to natural disasters or diseases, the ex post compensation function of hog insurance significantly mitigates economic losses. This not only encourages farmers to swiftly resume reproduction activities but also shifts their mindset from avoiding farming risks. Compared with the natural state, the assurance of farming output through hog insurance helps to improve the farming GTFP.
The implementation of hog insurance reduces surface pollution from diseased and dead pigs and diminishes negative externalities, thereby enhancing GTFP in farming. The terms and conditions of hog insurance stipulate that “no compensation will be made for the death of insured hogs that are not harmlessly treated in accordance with national regulations.” In practice, the implementation of hog insurance is closely linked with the harmless treatment of deceased hogs, requiring proof of harmless treatment as a prerequisite for insurance compensation for diseased or deceased hogs, thereby reducing the environmental impact of dead livestock carcasses. In addition, hog insurance compensation partially alleviates economic pressure on farmers, allowing them to invest more in environmental protection and reduce the discharge of waste from breeding operations. This policy approach demonstrates a commitment to diversifying farming risks, stabilizing farmers’ returns, and prioritizing the green and sustainable development of the farming industry [53]. By aligning economic incentives with ecological benefits, hog insurance policy positively influences GTFP.
Based on this, Hypothesis 1 is formulated as follows:
H1: 
Hog insurance policy can promote the improvement of GTFP.

3.2.2. Mechanism Analysis of Hog Insurance for GTFP in Farming

The policy-supported hog insurance scheme primarily motivates farming households to modify their production and operational behaviors by providing risk diversification and post-disaster compensation mechanisms. These actions generate externalities that impact the ecological environment, subsequently affecting GTFP.
Scale effect: The hog insurance policy impacts GTFP by influencing the scale of farming operations. Based on the theories of farmers’ behavior and behavioral economics, government-subsidized hog insurance can effectively transfer risks in the farming process owing to its fundamental functions of risk diversification and post-disaster compensation, enabling farmers to have enhanced resilience to market price fluctuations and epidemic risks and to secure a stable income, thus enabling them to be more confident in expanding their production scale and to change the allocation of the factors in the production process [54]. Moreover, the payout from hog insurance can serve as a financial resource to assist farmers in rapidly recovering production post-losses or in investing in the expansion of their farming scale. As producers aiming to maximize profitability, those who participate in hog insurance achieve a comparative advantage in production. Farmers with insurance are more likely to expand the scale of hog farming [55]. Previous studies have shown that hog insurance contributes to the development of moderate-scale and large-scale management within the farming industry [56].
The expansion of farming scale may lead to the realization of economies of scale and have environmental implications. First, according to the theory of scale economy, operating at an optimal scale of operation can intensify the utilization of input factors [31], thereby reducing the cost of production inputs and overall farming costs, ultimately enhancing GTFP from the perspective of input factors. Next, scale efficiency leads to significant cost-effectiveness benefits in resource utilization. As farms become more standardized, they can optimize the use of waste resources [57]. Third, economies of scale facilitate access to advanced and accurate information sources and provide efficient dissemination channels, leading to knowledge spillovers. This enables them to acquire necessary knowledge more comprehensively, more affordably, and more quickly, thereby enhancing their knowledge accumulation. This accumulated knowledge makes it easier to address environmental pressures, reduce unreasonable pollutant emissions, and improve GTFP from the perspective of undesirable output. Last, larger farming scales are subject to increased regulatory oversight by environmental protection departments, prompting farms to adhere more rigorously to waste emission treatment systems [58]. This leads to a reduction in surface source pollution and promotes the improvement of farming GTFP.
Based on this, Hypothesis 2 is formulated as follows:
H2: 
Hog insurance policy affects the enhancement of GTFP by influencing the expansion of the farming scale.
Structural effect: Hog insurance policy affects GTFP by adjusting the planting and breeding structure. Hog insurance offers financial stability to farmers, encouraging them to scale up their operations [56]. The expansion of farming operations leads to an increase in manure production, which, in turn, prompts farmers to cultivate more arable land and plant additional crops to assimilate the manure effectively. This approach not only enhances the matching ratio of arable land but also optimizes the structure of crop cultivation and pig farming. It merits emphasis that during the investigation process, the authors found a substantial cost advantage in cultivating corn on leased land over buying feed, significantly lowering feeding expenses. Advances in agricultural mechanization have streamlined the cultivation process, decreasing the time and labor demands on farmers. This transformation lays a solid foundation for the integration of crop cultivation and pig farming. Furthermore, hog insurance can mitigate the economic pressures and uncertainties encountered by farmers in the face of breeding risks [11]. Insured farmers, with the insurance company sharing part of the losses, can invest more confidently in breeding activities, bolstering their capacity for long-term investments in land development. Additionally, hog insurance bolsters the credibility and reliability of farmers, facilitating their access to financial institutions’ favor and, consequently, to bank loans and other financial support [59]. This financial infusion not only addresses the immediate funding shortfalls of breeding farms but also provides robust support for adjusting the cultivation and breeding structure and achieving optimal resource allocation.
In contemporary agricultural practices, optimizing and adjusting the crop cultivation and livestock breeding structure is crucial for sustainable environmental conservation [36]. Farming provides manure as organic fertilizer for planting, while crops yield feed for breeding. On the one hand, farmers adopt this model to reduce the cost of manure treatment and fertilizer and to decrease the reliance on commercial feed, thereby lowering feeding costs and enhancing GTFP from the input factor perspective. On the other hand, a higher degree of combination between planting and breeding implies a greater ratio of supporting arable land, leading to an increased rate of return of manure to the field, enhanced resource utilization, reduced pollution risks [60], and improved GTFP from the perspective of undesirable output.
Based on this, Hypothesis 3 is formulated as follows:
H3: 
Hog insurance policy contributes to GTFP by promoting the planting–breeding structure.
Technological effect: Hog insurance policy impacts GTFP by promoting technological progress.
Given the prevalent capital shortages and low-risk resistance among farmers, they often opt for traditional agricultural technologies with lower costs and risks, albeit offering lower returns. Encouraging farmers to adopt new production technologies hinges on providing reasonable safeguards. Hog insurance plays a crucial role in dispersing agricultural risks and providing economic compensation post-disaster. It helps mitigate financial constraints among farmers, breaks the poverty cycle stemming from uncertainties in future returns, mitigates risks associated with new technologies, and facilitates the adoption of green technologies or the acquisition of supporting facilities by farmers [36]. In addition, hog insurance is often complemented by technical training and support services. Governmental and insurance entities offer technical training to empower farmers with knowledge of innovative technologies and management techniques, thereby fostering industry-wide technological advancement [49]. Overall, hog insurance fosters the evolution of agricultural technologies, tackles the constraints on production factors encountered by farming families, and aids in the shift toward environmentally sustainable practices.
Technological progress acts as a catalyst for economic growth and a critical tool for mitigating pollution issues, thereby enhancing environmental governance capabilities. A wealth of empirical evidence has indicated that, informed by the sustainable development theory, conventional technologies offer more pronounced ecological benefits compared with conventional agricultural practices [43]. Support for related technologies such as sick and dead pig treatment and manure management effectively curbs pollutant emissions and hazardous substance residues, enhances waste resource utilization rates, diminishes negative externalities associated with farming production, and boosts GTFP from the perspective of undesirable outputs. Additionally, the adoption of new farming technologies improves agricultural productivity and environmental conditions. For instance, advancements in seed selection and breeding technologies have improved meat quality and farming efficiency. Environmental control technology fosters a comfortable living environment and enhances the reproductive efficiency of sows. Timely vaccination and medication to prevent and treat diseases bolster porcine immune systems and resistance to diseases, thereby reducing the number of deaths. Furthermore, nutrient balancing in feed ensures the provision of high-quality feeds, averting malnutrition or poor digestion and absorption resulting from single feeds. Such technologies increase animal husbandry output with the same input factors by alleviating constraints on hog growth, thereby enhancing GTFP.
Based on this, Hypothesis 4 can be formulated as follows:
H4: 
Hog insurance policy contributes to GTFP by promoting technological advances in farming.
Figure 2 presents the mechanism of policy-supported hog insurance on GTFP in farming.

4. Materials and Methods

4.1. Model Settings

4.1.1. SBM-DDF Model with Undesirable Outputs

The traditional directional distance function has limitations such as radiality and input–output orientation, leading to efficiency measurements deviating from actual values. Fukuyama and Weber (2009) proposed a solution by integrating the slacks-based measures model with the directional distance function, forming a non-radial, non-oriented slacks-based measures of directional distance functions (SBM-DDF) model, which is able to simultaneously consider the environmental impacts and the production outputs, reflecting the real efficiency of the production process and improving the accuracy of the estimation results. Given that the SBM-DDF model is widely used in environmental efficiency research [61], this model was selected in this study to calculate the GTFP.
The model is represented as follows:
S C t x k t ,   y k t ,   b k t = M i n 1 1 m m = 1 m s m x m k 1 + 1 r + n ( r = 1 r s r + y r k + r = 1 r s r b b n k )
S C t x k t ,   y k t ,   b k t = M i n 1 1 m m = 1 m s m x m k 1 + 1 r + n ( r = 1 r s r + y r k + r = 1 r s r b b n k )
s . t .   X λ + s = y k
Y λ + s = y k
B λ + s b = b k
λ ,   s ,   s + 0
G T F P t t + 1 = 1 2 S C t x k t ,   y k t ,   b k t ,   S C t x k t + 1 ,   y k t + 1 ,   b k t + 1 + S C t + 1 x k t ,   y k t ,   b k t ,   S C t + 1 x k t + 1 ,   y k t + 1 ,   b k t + 1
In Equations (1) and (2), S C t denotes the production efficiency, where a value less than 1 indicates the presence of efficiency loss, while a value equal to 1 signifies effective production; x , y , b denote the inputs, desirable outputs, and undesirable outputs, respectively; and S m , S r , S b denote the inputs, desirable outputs, and undesirable outputs of relaxation, with higher values indicating lower efficiency.

4.1.2. Multiple-Time-Point Difference-in-Differences Model

As a common research method for assessing policy effects, the difference-in-differences method has been widely used at home and abroad [62]. The standard difference-in-differences (DID) model generally targets the same period of time for the policy implementation point, because, in reality, the policy pilot areas and time are not the same and are also prone to constant changes in whether individuals accept the policy intervention. Therefore, this paper adopted a multiple-time-point difference-in-differences model, inspired by Beck et al. (2010), evaluating the impact of hog insurance policy on GTFP. The regression model design is outlined as follows:
G T F P i t = α 0 + α 1 D I D i t + α 2 X i t + μ i + γ i + ε i t
In Equation (3), G T F P denotes the explained variable, indicating the GTFP of farming in province i in year t. D I D i t denotes the core explanatory variable, indicating whether province i implemented the hog insurance policy in year t. If implemented, it is assigned to the treatment group, D I D i t = 1 ; otherwise, it is considered as the control group, D I D i t = 0 . X i t denotes a series of control variables affecting province i in year t. μ i and γ i denote province and time-fixed effects, respectively. ε i t denotes a random perturbation term. Furthermore, α 0 is a constant term, α 1 is the policy effect, which is the main coefficient of interest in this analysis, and α 2 represents the parameter to be estimated for other control variables.
A dynamic effect estimation model was constructed to estimate the dynamic impact of hog insurance policy on GTFP:
G T F P i t = β 0 + β t t = 8 7 D i t + β 1 X i t + μ i + γ i + ε i t   #
In Equation (4), D i t represents a set of dummy variables that take a value of 1 if province i has implemented a hog insurance policy in year t and 0 otherwise. β t represents the dynamic effect of the policy.

4.2. Data, Variables, and Descriptive Statistics

This paper examined the impact of a hog insurance policy on GTFP and its underlying mechanism in the hog-dominant production areas from 2005 to 2021. To ensure the authenticity and reliability of this research, the GTFP-related indicators measured in this paper were sourced from the “Compilation of National Agricultural Products Cost and Benefit Information,” “Booklet of Livestock and Poultry Farming Source Production and Discharge Coefficients of the First National Pollutant Source Census,” and “Yearbook of China’s Environmental Statistics.” The initiation dates of the pilot of the policy-supported hog insurance were verified through the websites of the State Financial Supervision and Administration Bureau and the Agriculture and Rural Department of each province as well as the related policy documents. Other data were collected from “The Statistical Yearbook of China’s Animal Husbandry and Veterinary Medicine,” “The Statistical Yearbook of China’s Rural Areas,” and “The Statistical Yearbook of Provinces,” as well as from relevant departments and websites.
Explained variable: The GTFP of farming. The SBM-DDF model was used to measure the GTFP of farming. The input indicators included capital, labor, feed, and medical and epidemic prevention. The desirable output was the net weight of hogs. The undesirable outputs were COD, TP, and TN. The specific indexes are indicated in Table 2.
Explanatory variable: A variable representing whether the hog insurance policy had been implemented. A dummy variable DID was constructed according to the province and year of policy implementation. It took a value of 1 if province i had implemented the hog insurance policy in year t and 0 otherwise.
Control variables: The chosen variables included GDP per capita, agricultural financial expenditure, the strength of government intervention, research and development expenditures, environmental regulation, the level of agricultural financial development, agricultural openness to the outside world, transport accessibility, average years of education of residents in rural areas, the livestock production price index, the carrying capacity of arable land, and feed resources [36,39,43].
Mechanism variables: Based on theoretical analyses, the hog insurance policy was considered to promote GTFP by impacting the scale of farming, the planting–breeding structure, and technological progress. Accordingly, the scale of farming was measured using the total annual stock of hogs, the planting–breeding structure was measured using the ratio of supporting arable land, and technological progress was measured using the mechanical power of livestock breeding. Specific related variables and data descriptions are presented in Table 3.

5. Results

5.1. Parallel Trend Test

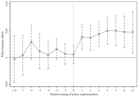
The primary assumption of the multiple-time-point difference-in-differences model is that the treatment and control groups exhibit parallel trends, implying that the differences between them before the implementation of the hog insurance policy are not significant. Due to limited data availability, the 8 years preceding the policy implementation were aggregated into the -eighth period, while the 7 years following the policy implementation were aggregated into the seventh period. The parallel trend test conducted in this study, as illustrated in Figure 3, indicated that the coefficient estimates for each period before the implementation of the hog insurance policy were not statistically significant. This indicates no significant differences between the treatment and control groups before policy implementation, thereby satisfying the parallel trend assumption.

5.2. Baseline Regression: Impact of Hog Insurance Policy on GTFP

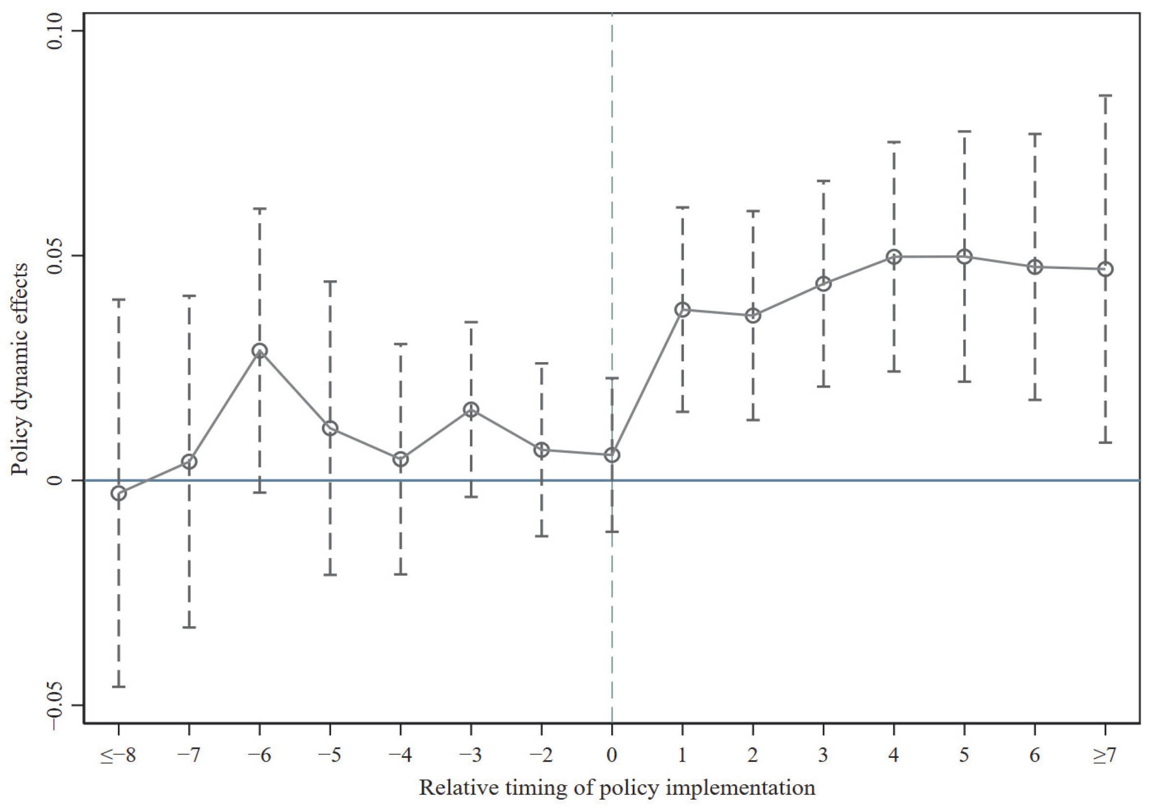
This section evaluates the impact of the hog insurance policy on GTFP by using a multiple-time-point difference-in-differences model based on Equation (3). The results are presented in Table 4. Column (1) employs a model with time- and province-fixed effects but does not include the estimation results of the control variables. The coefficient value was 0.019, which was significant at a 1% level. We introduced control variables for further analysis to more accurately estimate the effect of the hog insurance policy on GTFP. The results in Column (2) indicate a regression coefficient value of 0.017, which was slightly lower than that in Column (1) and was significant at a 5% level. This finding suggests that factors in the control variables impacted GTFP. The policy-supported hog insurance significantly enhanced GTFP. Regions implementing the policy experienced an average increase of approximately 1.7% in GTFP compared with regions not implementing the policy, under full consideration of other factors. Given that the policy impact of hog insurance is a dynamic process, we examined the dynamic effects of hog insurance on GTFP by using Equation (4). The estimation results are indicated in Column (3) of Table 4. As indicated, “pre2–8” denotes the 2–8 years before the implementation of the hog insurance policy, “current” denotes the implementation year, and “post1–7” denotes the 1–7 years after policy implementation. Over time, since the implementation of the hog insurance policy, the policy effect significantly enhanced. All coefficients passed the 5% significance level, indicating a significant promotion of GTFP in pilot provinces. Regarding the coefficients, the dynamic effect of the hog insurance policy in the first year of implementation on GTFP was 0.038, which was significant at a 1% level. The dynamic effect in the fourth and fifth years of implementation reached a maximum of 0.050, which was significant at a 1% level. In the sixth and seventh years of implementation, the dynamic effect was 0.047, which was significant at 1% and 5% levels, respectively. During the sample period, the hog insurance policy significantly promoted GTFP, supporting H1.

5.3. Robustness Checks

5.3.1. Placebo Test

The placebo test was conducted using random assignment to mitigate potential biases in the above results due to omitted variables and other factors. Accordingly, 100 sets of samples were randomly selected as placebo-treated groups, whereas the remaining samples served as placebos. Virtual policy treatment variables were constructed for the placebo test. Figure 4 presents the distribution of regression coefficients and p-values after 500 random allocations. The results reveal that the coefficients of the placebo estimations were predominantly concentrated around 0, with the majority of p-values exceeding 0.1. Furthermore, the difference between the placebo estimation coefficient and the true estimation coefficient of 0.017 indicates that the baseline regression results were not affected by omitted important variables or random factors. Accordingly, it can be inferred that the policy effect was unrelated to random sampling, validating the conclusions drawn in this study.

5.3.2. Preceding and Lagging Policy by Three Years

This study conducted counterfactual tests by advancing the implementation time of the hog insurance policy by three years and delaying it by three years to ensure the reliability and robustness of the baseline regression results. The results in Column (1) of Table 5 indicate that the regression coefficient was not significant when the hog insurance policy was advanced by three years, implying the absence of anticipated effects. As shown in Column (2), the coefficient estimate was 0.020 when the policy was delayed by three years, passing significance tests at a 1% level. This implies a sustained effect of the hog insurance policy, aligning with the baseline estimation results. Thus, advancing and delaying the policy by three years validated the stability of the conclusions drawn in this study.

5.3.3. Lagging of Control Variables by One Period

This study regressed all control variables by one period to mitigate potential endogeneity issues. The empirical results in Column (3) of Table 5 indicate that the coefficient estimates and significance levels were consistent with those in Table 5, confirming the stability of the conclusions drawn in this study.

6. Mechanism Analysis

As demonstrated, the hog insurance policy significantly positively affected the GTFP. Accordingly, the question posed concerned the underlying mechanism through which policy-supported hog insurance affects GTFP. Based on the theoretical analysis in Section 3, the policy of hog insurance may affect the GTFP through scale, structural, and technological effects. Following the mechanism-testing method proposed by Jiang Ting (2022), we verified whether the hog insurance policy impacts livestock scale, the planting–breeding structure, and technological progress.

6.1. Scale Effects Test

The annual sales and inventory volume of hogs were selected as a proxy for the livestock scale to verify the impact of the hog insurance policy on GTFP through scale effects. The results in Column (1) of Table 6 indicate that the coefficient estimate of DID was 0.061, which was significant at a 1% level. This finding implies that the hog insurance policy promoted the expansion of the livestock scale. Furthermore, the expansion of the livestock scale, facilitated by the hog insurance policy, led to scale effects, thereby resulting in input factor intensification and a significant cost–benefit of resource utilization. Moreover, the spillover of knowledge within economies of scale promoted knowledge accumulation among livestock farmers, leading to a reduction in the irrational emission of pollutants. In addition, as the scale of livestock operations increased, environmental protection departments imposed stricter oversight on waste emissions, collectively enhancing GTFP. Thus, the hog insurance policy promoted the expansion of the livestock scale, thereby enhancing GTFP and validating H2.

6.2. Structural Effects Test

The ratio of supporting arable land was selected as an explanatory variable to verify the impact of hog insurance on GTFP through structural effects, and the results in Column (2) of Table 6 show that the coefficient estimation of DID was 0.023, which was significant at 1% level. This suggests that the hog insurance policy promoted the degree of planting–breeding integration compared with non-pilot areas. Farmers adopting the planting and raising combination mode reduced feed costs, manure treatment, and fertilizer costs. Also, the higher the degree of the planting and raising combination, the higher the rate of manure returned to the field, and the lower the risk of surface source pollution. Therefore, the hog insurance policy promoted the combination of breeding and raising, thereby enhancing GTFP, and validating H3.

6.3. Technological Effects Test

The mechanical power of animal husbandry was selected as the dependent variable to verify the impact of the hog insurance policy on GTFP through technological effects. The results in Column (3) of Table 6 indicate that the coefficient estimate of DID was 0.176, which was significant at a 1% level. This finding implies the hog insurance policy promoted regional technological progress. Existing studies have demonstrated that new agricultural technologies are more economical and environmentally friendly than traditional production technologies. Technological progress in livestock farming can increase waste resource utilization rates. Innovations, advancements, and the dissemination and application of modern livestock farming technologies can alleviate constraints on hog growth and boost the output of livestock products with the same input factors, thereby improving GTFP. Overall, the hog insurance policy promoted technological progress in livestock farming, thereby enhancing GTFP, and validating H4.

7. Heterogeneity Analysis

7.1. Economic Heterogeneity

The level of economic development directly influences the degrees of resource acquisition and environmental protection in a region. However, significant variations exist in the economic development patterns between regions, potentially leading to considerable disparities in the effectiveness of hog insurance policies across different areas. The entire sample was categorized into low-GDP and high-GDP groups based on the GDP means, and separate empirical analyses were conducted to examine differences in the impact of hog insurance policies on GTFP between regions with low and high levels of economic development. The regression results in Column (1) of Table 7 indicate that the estimated coefficient was 0.023 in regions with lower levels of economic development, which was significant at a 5% level. Column (2) indicates that the estimated coefficient was 0.029 in regions with higher levels of economic development, which was significant at a 5% level. This finding suggests a significant promotional effect of the hog insurance policy in regions with relatively high economic development levels.

7.2. Scale Heterogeneity

Currently, large-scale farming is emerging as the predominant trend in the hog-farming industry. From the perspective of different farming scales, it is more productive to delve into the impact of hog insurance policies on GTFP. This study considered the classification standards of the hog-farming scale compiled by the Price Department of the National Development and Reform Commission: hog farms with an average annual stock of 30 heads or less are considered free-range farms, whereas those with more than 30 heads are classified as large-scale farms. Among large-scale farms, those with 30–100, 100–1000, and more than 1000 heads are categorized as small-scale, medium-scale, and large-scale farms, respectively. The results in Column (3) of Table 7 reveal that the regression coefficient of the hog insurance policy on the GTFP of free-range farmers was 0.016, which was significant at a 1% level. As indicated in Column (4), the estimated coefficient for small-scale farming was 0.024, which was significant at a 1% level. Column (5) illustrates that the estimated coefficient for medium-scale farming was 0.011, which was significant at a 5% level. Column (6) indicates that the hog insurance policy did not impact the GTFP of large-scale farming. In summary, the environmental effect of hog insurance was most significant for small-scale farms, followed by retail and medium-scale farms, and was not significant for large-scale farms.

8. Discussion

As agriculture is transitioning to green and sustainable development, it becomes particularly crucial to explore the environmental impact of policy hog insurance. The results from the baseline regression analysis show that hog insurance enhances the GTFP of the hog industry to a certain extent and plays a positive role in promoting ecological protection and agricultural sustainability. It is worth noting, however, that this positive impact is not constant, but rather changes over time. Specifically, the fifth year of the policy’s implementation marked a turning point, where its positive impact on GTFP peaked and then began to gradually decline. This phenomenon can be attributed to the knock-on effect of the fast diffusion of the hog insurance policy. Due to the popularity of the policy, the potential incentive effect was diluted when its coverage was expanded. The policy dividend, although significant at first, had diminishing marginal benefits as more breeding farms participated in it, leading to a weakening of the overall effect and, consequently, affecting the environmental performance. Therefore, when designing and implementing these kinds of policies, a balance between long-term effects and short-term gains needs to be taken into account to ensure that the risks to farmers can be effectively reduced, without over-promoting to the detriment of environmental interests, to attain the goals of green agriculture.
Prior research has not specifically investigated the relationship between pig insurance and green total factor productivity (GTFP). John et al. (2019) [51] investigated the potential impact of livestock drought insurance on ranch conditions and livestock dynamics, concluding that insurance intervention may interfere with the natural restoration process of ranches and may lead to the long-term degradation of the vegetation-carrying capacity. However, these findings conflict with the research conclusions presented in this article. The observed discrepancy is likely due to the extended growth cycle of cattle, necessitating increased feed and water resources, and resulting in higher greenhouse gas emissions, such as methane, as well as increased fecal and pollutant output over their lifespan. Furthermore, supporting cattle growth requires substantial grassland, potentially leading to excessive land use, degradation, or deforestation, thereby exacerbating environmental issues. Despite the absence of literature directly studying the relationship between pig insurance and GTFP, research on crop insurance has been conducted. Fang et al. (2021) [36] demonstrated that crop insurance can enhance green total factor productivity, with an amplified effect as a result of the widespread application of agricultural green technology and the expansion of business scale. Li et al. (2022) [41] posited that agricultural insurance not only facilitates the adoption of green production technologies and improves production efficiency, but also reduces chemical usage and protects the environment. Ahmed et al. (2022) [44] suggested that increasing agricultural insurance coverage or reducing air pollution could potentially augment the green total factor productivity of agriculture. These research outcomes partially corroborate the findings of this article. Building on this foundation, this article deliberated on the relationship between pig insurance and GTFP. Broadening the scope of inquiry to the pig farming industry, which faces more severe environmental pollution, not only aids in exploring the environmental attributes of pig insurance, and offers new avenues for its high-quality development, but also serves to unleash its potential and support the industry’s green transformation and advancement.
The results of the heterogeneity analysis indicated that through the in-depth insight into the environmental effects of hog insurance in regions with different economic levels, one finds that hog insurance in economically developed regions exerts a more significant positive effect on environmental protection. This diversity is not only reflected in the significance of the statistical data but also the deeper reasons behind it. Probably, relatively economically developed regions, especially those provinces with powerful technological research and innovative drive, can utilize modern technology more effectively to manage and control the environmental impacts of the farming process. These provinces frequently are able to adopt advanced technologies, such as intelligent breeding systems and waste-recycling technologies, to achieve the dual goals of protecting the ecological environment and enhancing economic benefits. In addition, these regions typically provide a better system of laws and regulations to support the development of hog insurance, providing farmers with the necessary protection while promoting the sustainable development of the entire industrial chain.
In analyzing farms of different scales, it was found that the environmental effect of hog insurance has the greatest impact on small-scale farmers, followed by retail and medium-scale ones, probably because of the smaller production scale, typically facing higher costs of manure treatment and relatively slow updating of technical equipment, resulting in a lack of sufficient resources and capacity in environmental protection. Under such circumstances, the implementation of swine insurance can provide financial protection and enable them to minimize losses in the face of unforeseen conditions, thereby enhancing the psychological security of farmers and making them more inclined to invest the money saved in environmental improvements [63]. Mindsponge economics emphasizes the role of psychological security in decision making and may account for why insured farmers are more confident in making green investments. An issue not to be overlooked, however, is that the environmental effects of hog insurance do not affect large-scale farms. This may be due to the large-scale farmers’ greater advantages in terms of resources and capital, and their ability to invest in advanced environmental protection technologies and equipment to better cope with the various environmental risks that may occur in the production process. As a result, large-scale farmers have more powerful coping abilities, which enable them to maintain a certain degree of resistance even in the face of the challenge of environmental effects, making the environmental effects of hog insurance not significant. In general, the disparity between different scales in facing the environmental effects of hog insurance reflects the imbalance of China’s animal husbandry industry in environmental protection. In the future, the government and related organizations should formulate more precise and effective environmental policies for different farming scales in order to promote the sustainable development of animal husbandry.
It is worth noting that hog insurance can provide economic security and help farmers reduce their losses in the event of natural disasters or market price fluctuations; thus, farmers have been more receptive to hog insurance, especially in risk-prone areas and during periods of economic instability following the outbreak of African swine fever. However, not all farmers choose to take out insurance, which is influenced by several factors, including farmers’ risk awareness, economic conditions, knowledge of insurance, the government’s promotion and support, and so on [13,30,35].
Although this study elucidated the impact and mechanisms of hog insurance on the GTFP of farming from both theoretical and empirical perspectives, there are still certain limitations and further research opportunities. Firstly, this study utilized panel data from the hog-dominant production areas spanning from 2005 to 2021, focusing solely on the provincial level. Owing to the limitation of data acquisition, the environmental effects of hog insurance at the municipal and sub-municipal levels were not included, and future studies should be further validated and supplemented with new data as they become available. Secondly, both hog insurance policies and GTFP exhibit certain spatial spillover characteristics. In the future, we can keep digging into the spatial spillover effects between them to make the conclusions more scientific and complete.

9. Concluding Remarks and Policy Implications

Hog insurance serves as a crucial mechanism for dispersing risks in agricultural production, playing a pivotal role in advancing modern agriculture, revitalizing rural industries, and enhancing rural governance. This study employed the implementation of the hog insurance policy as a “quasi-natural experiment,” utilizing the SBM-DDF model to measure the GTFP of hog farming. Through the multiple-time-point difference-in-differences method, it empirically investigated the impact and mechanisms of the hog insurance policy on GTFP using panel data from 18 main hog-producing regions from 2005 to 2021. The specific research conclusions are as follows.
First, accounting for other influencing factors, regions adopting policy-supported hog insurance had an increase in GTFP compared with those without policy implementation. This conclusion was supported by the parallel trend, placebo, and robustness tests. Additionally, the impact of the hog insurance policy on GTFP reached its peak in the fourth and fifth years after implementation before gradually declining. This decline could be attributed to diminishing policy dividends stemming from the widespread adoption of the hog insurance policy. However, it remains a notable feature relative to the control group.
Second, the mechanism analysis demonstrated that hog insurance augmented the GTFP of pilot provinces through scale, structural, and technological effects. By dispersing risks and offering post-disaster compensation, the hog insurance policy stabilized farmers’ expected incomes, prompting adjustments in factor allocation and encouraging farmers to expand hog-farming scales, optimize planting–breeding structures, and propel technological progress. Large-scale operations facilitated input factor intensification and cost-effective resource utilization. The integration of breeding and raising aided in reducing feeding costs and enhancing manure utilization rates. Technological advancements further boosted resource utilization efficiency and agricultural output, thereby bolstering GTFP.
Third, an analysis of economic heterogeneity suggested that the promotional effect of the hog insurance policy on GTFP was more pronounced in regions with superior economic development. This may be attributed to the stronger technological innovation capabilities of economically developed provinces, facilitating a win–win situation for ecology and the economy. Additionally, an analysis of scale heterogeneity revealed that the impact of the hog insurance policy on GTFP was most significant for small-scale farming, followed by household farming and medium-scale farming, with no discernible effect on large-scale farming. This discrepancy could be attributed to the superior environmental development and higher GTFP of large-scale farms, limiting the effectiveness of the hog insurance policy.
From the perspective of hog insurance, the research into the environmental effects of agricultural insurance can provide a basis for policymakers, promoting the government to improve agricultural insurance policies, and enhancing the economic and environmental benefits for farmers, all of which carry significant policy implications.
First, hog insurance promotes GTFP and has a positive impact on the ecosystem. To promote sustainable agricultural development, the Chinese government attaches great importance to green agricultural operations. As of 2023, the comprehensive utilization rate of livestock and poultry waste exceeds 78%, yet it lags behind Western developed countries due to uneven technology and management levels and imperfect policy support and incentive mechanisms. Hog insurance has the dual compatible goals of risk protection and environmental preservation. Therefore, to enhance GTFP, it is essential to focus on and strengthen the policy support of hog insurance. Enhancing support for hog insurance policies by adjusting insurance amounts, increasing premium subsidies, raising coverage levels, expanding the scope of insurance, and improving compensation standards can reduce the economic burden on farms amid market fluctuations and disease risks. This will enhance their risk resistance and encourage environmental investments, achieving both economic and environmental benefits. The government should establish special funds to support hog insurance projects, integrating insurance with environmental protection policies and implementing ecological compensation mechanisms to promote sustainable development in livestock farming. Additionally, a dynamic adjustment and evaluation mechanism should be set up to regularly assess the effectiveness of hog insurance policies and adjust measures in a timely manner, ensuring the scientific and effective implementation of these policies.
Second, although large-scale farming has become a trend, the small-scale model cannot be completely eliminated in the short term. In 2021, there were 137,000 large-scale pig farming households in China, accounting for only 0.06% of the total number of rural households nationwide. Small- and medium-scale farmers have significant potential in environmental protection and sustainable development. Therefore, emphasis should be placed on supporting small- and medium-sized farmers by providing financial subsidies, technical training, and market support to guide them in building environmental facilities and undertaking technological upgrades. Offering low-interest loans and financial subsidies can help address their funding shortages. Strengthening technical training and guidance will improve their environmental technology levels, fostering the upgrade and sustainable development of the hog farming industry.
Third, the development of an integrated crop–livestock model should be encouraged. Financial subsidies, tax incentives, and financial support should be provided to reduce the economic pressures of transitioning for farmers. Research and innovation in circular agriculture and ecological agricultural technologies should be strengthened, promoting advanced integrated crop–livestock farming techniques. Collaboration among farmers, cooperatives, and enterprises should be encouraged to develop diversified paths for integrated crop–livestock models. By adhering to the principles of raising livestock to support crops and determining livestock based on land, organic fertilizers produced from livestock farming can nourish crops, reducing dependence on chemical fertilizers. This not only improves crop quality and yield but also lowers agricultural production costs. This will ensure a harmonious coexistence between livestock farming and land resources to meet production needs without over-exploiting environmental resources.
Last, technological innovation and promotion should be strengthened. Support should be given to the research and promotion of hog-farming technologies to enhance the contribution of technological progress to GTFP. Investment in technological innovation should be increased. By introducing and promoting advanced farming technologies and management models, technological progress and green development in hog farming can be advanced. Enhanced technical support and services are crucial. Relevant institutions should regularly conduct training and awareness activities, promoting advanced farming techniques and environmental concepts. This will improve the understanding and skills of farmers regarding waste resource utilization, enhance regional environmental quality, and bring long-term benefits to society.
Through the aforementioned policy recommendations, the dual role of hog insurance in safeguarding agricultural production security and promoting green development can be further leveraged, aiding the sustainable development of the breeding industry and the improvement of the rural environment. Given that many countries have agricultural insurance systems and that environmental protection and sustainable development are universal needs, these policy recommendations are, in principle, applicable to a wide range of regions. However, when implementing these policies in practice, regions must consider local conditions, such as economic development levels, natural conditions, and the scale of farming operations, to ensure effective policy execution and long-term benefits.

Author Contributions

D.W. contributed to providing financial support, framing this study, and revising this manuscript; S.H. analyzed, proved, and interpreted the statistical data and was a major contributor in writing this manuscript; L.Q. served as a corresponding author and revised this manuscript; J.F. and Y.G. were jointly responsible for collecting and organizing the relevant data. All authors have read and agreed to the published version of the manuscript.

Funding

This paper was funded by the National Social Science Foundation (23BJY171): Research on Path Selection and Policy Optimization for High-Quality Development of Agricultural Insurance; The Ministry of Education of Humanities and Social Sciences project (20YJC790149): Research on the Influence Mechanism and Effect of Full-Cost Insurance on Grain Farmers’ Production Behavior—A Quasi-Natural Experiment Based on the Main Grain-Producing Areas in Northeast China.

Data Availability Statement

The datasets analyzed during the current study are available in the “Compilation of National Agricultural Products Cost and Benefit Information”, the “Booklet of Livestock and Poultry Farming Source Production and Discharge Coefficients of the First National Pollutant Source Census”, the “Yearbook of China’s Environmental Statistics”, the “Yearbook of China’s Animal Husbandry and Veterinary Medicine”, the “Yearbook of China’s Rural Areas”, “The Statistical Yearbook of Provinces”, and the websites of the State Financial Supervision and Administration Bureau (https://www.cbirc.gov.cn/cn/view/pages/index/index.html (accessed on 23 June 2024)) and the Agriculture and Rural Department of each province.

Acknowledgments

The authors are grateful to the institutions that provided funding.

Conflicts of Interest

The authors declare no conflicts of interest.

References

  1. Mapp, H.P.; Hardin, M.L.; Walker, O.L.; Persaud, T. Analysis of Risk Management Strategies for Agricultural Producers. Am. J. Agric. Econ. 1979, 61, 1071–1077. [Google Scholar] [CrossRef]
  2. Komarek, A.M.; De Pinto, A.; Smith, V.H. A review of types of risks in agriculture: What we know and what we need to know. Agric. Syst. 2020, 178, 102738. [Google Scholar] [CrossRef]
  3. Van Huis, A.; Oonincx, D.G.A.B. The environmental sustainability of insects as food and feed. A review. Agron. Sustain. Dev. 2017, 37, 43. [Google Scholar] [CrossRef]
  4. Uwizeye, A.; de Boer, I.J.M.; Opio, C.I.; Schulte, R.P.O.; Falcucci, A.; Tempio, G.; Teillard, F.; Casu, F.; Rulli, M.; Galloway, J.N.; et al. Nitrogen emissions along global livestock supply chains. Nat. Food 2020, 1, 437–446. [Google Scholar] [CrossRef]
  5. Godde, C.; Mason-D’croz, D.; Mayberry, D.; Thornton, P.; Herrero, M. Impacts of climate change on the livestock food supply chain; a review of the evidence. Glob. Food Secur. 2021, 28, 100488. [Google Scholar] [CrossRef] [PubMed]
  6. Tzanidakis, C.; Tzamaloukas, O.; Simitzis, P.; Panagakis, P. Precision Livestock Farming Applications (PLF) for Grazing Animals. Agriculture 2023, 13, 288. [Google Scholar] [CrossRef]
  7. Ito, S.; Kawaguchi, N.; Bosch, J.; Aguilar-Vega, C.; Sánchez-Vizcaíno, J.M. What can we learn from the five-year African swine fever epidemic in Asia? Front. Vet. Sci. 2023, 10, 1273417. [Google Scholar] [CrossRef] [PubMed]
  8. Benami, E.; Jin, Z.; Carter, M.R.; Ghosh, A.; Hijmans, R.J.; Hobbs, A.; Kenduiywo, B.; Lobell, D.B. Uniting remote sensing, crop modelling and economics for agricultural risk management. Nat. Rev. Earth Environ. 2021, 2, 140–159. [Google Scholar] [CrossRef]
  9. Du, X.; Ifft, J.; Lu, L.; Zilberman, D. Marketing Contracts and Crop Insurance. Am. J. Agric. Econ. 2015, 97, 1360–1370. [Google Scholar] [CrossRef]
  10. Hill, R.V.; Kumar, N.; Magnan, N.; Makhija, S.; de Nicola, F.; Spielman, D.J.; Ward, P.S. Ex ante and ex post effects of hybrid index insurance in Bangladesh. J. Dev. Econ. 2019, 136, 1–17. [Google Scholar] [CrossRef]
  11. Boyd, M.; Pai, J.; Porth, L. Livestock mortality insurance: Development and challenges. Agric. Financ. Rev. 2013, 73, 233–244. [Google Scholar] [CrossRef]
  12. Kurdyś-Kujawska, A.; Sompolska-Rzechuła, A.; Pawłowska-Tyszko, J.; Soliwoda, M. Crop Insurance, Land Productivity and the Environment: A Way forward to a Better Understanding. Agriculture 2021, 11, 1108. [Google Scholar] [CrossRef]
  13. Cole, S.A.; Xiong, W. Agricultural Insurance and Economic Development. Annu. Rev. Econ. 2017, 9, 235–262. [Google Scholar] [CrossRef]
  14. Ding, Y.; Sun, C. Does agricultural insurance promote primary industry production? Evidence from a quasi-experiment in China. Geneva Pap. Risk Insur.-Issues Pract. 2022, 47, 434–459. [Google Scholar] [CrossRef]
  15. Aravani, V.P.; Sun, H.; Yang, Z.; Liu, G.; Wang, W.; Anagnostopoulos, G.; Syriopoulos, G.; Charisiou, N.D.; Goula, M.A.; Kornaros, M.; et al. Agricultural and livestock sector’s residues in Greece & China: Comparative qualitative and quantitative characterization for assessing their potential for biogas production. Renew. Sustain. Energy Rev. 2022, 154, 111821. [Google Scholar] [CrossRef]
  16. Dumont, B.; Groot, J.C.J.; Tichit, M. Review: Make ruminants green again—How can sustainable intensification and agroecology converge for a better future? Animal 2018, 12, s210–s219. [Google Scholar] [CrossRef]
  17. Li, G. The green productivity revolution of agriculture in China from 1978 to 2008. China Econ. Q. 2014, 13, 537–558. [Google Scholar] [CrossRef]
  18. Holm-Nielsen, J.; Al Seadi, T.; Oleskowicz-Popiel, P. The future of anaerobic digestion and biogas utilization. Bioresour. Technol. 2009, 100, 5478–5484. [Google Scholar] [CrossRef]
  19. Liu, Y.; Feng, C. What drives the fluctuations of “green” productivity in China’s agricultural sector? A weighted Russell directional distance approach. Resour. Conserv. Recycl. 2019, 147, 201–213. [Google Scholar] [CrossRef]
  20. Fu, J.; Hu, J.; Cao, X. Different sources of FDI, environmental regulation and green total factor productivity. J. Int. Trade 2018, 7, 134–148. [Google Scholar] [CrossRef]
  21. Yan, L.; Meng, H.; Liu, J.; Deng, Y. Discussion on green agro-ecological capitalisation operations. World Surv. Res. 2009, 8, 11–14. [Google Scholar] [CrossRef]
  22. King, M.; Singh, A.P. Understanding farmers’ valuation of agricultural insurance: Evidence from Vietnam. Food Policy 2020, 94, 101861. [Google Scholar] [CrossRef]
  23. Claassen, R.; Langpap, C.; Wu, J. Impacts of Federal Crop Insurance on Land Use and Environmental Quality. Am. J. Agric. Econ. 2017, 99, 592–613. [Google Scholar] [CrossRef]
  24. Müller, B.; Johnson, L.; Kreuer, D. Maladaptive outcomes of climate insurance in agriculture. Glob. Environ. Change 2017, 46, 23–33. [Google Scholar] [CrossRef]
  25. Niu, Z.; Yi, F.; Chen, C. Agricultural Insurance and Agricultural Fertilizer Non-Point Source Pollution: Evidence from China’s Policy-Based Agricultural Insurance Pilot. Sustainability 2022, 14, 2800. [Google Scholar] [CrossRef]
  26. Ali, W.; Abdulai, A.; Mishra, A.K. Recent Advances in the Analyses of Demand for Agricultural Insurance in Developing and Emerging Countries. Annu. Rev. Resour. Econ. 2020, 12, 411–430. [Google Scholar] [CrossRef]
  27. Carriker, G.L.; Williams, J.R.; Barnaby, G.A.; Black, J.R. Yield and Income Risk Reduction under Alternative Crop Insurance and Disaster Assistance Designs. West. J. Agric. Econ. 1991, 16, 238–250. [Google Scholar]
  28. Birthal, P.S.; Hazrana, J.; Negi, D.S.; Mishra, A.K. Assessing benefits of crop insurance vis-a-vis irrigation in Indian agriculture. Food Policy 2022, 112, 102348. [Google Scholar] [CrossRef]
  29. Zhao, Y.F.; Chai, Z.; Delgado, M.S.; Preckel, P.V. An empirical analysis of the effect of crop insurance on farmers’ income: Results from Inner Mongolia in China. China Agric. Econ. Rev. 2016, 8, 299313. Available online: https://www.emerald.com/insight/content/doi/10.1108/CAER-05-2014-0045/full/html (accessed on 23 June 2024). [CrossRef]
  30. Budhathoki, N.K.; Lassa, J.A.; Pun, S.; Zander, K.K. Farmers’ interest and willingness-to-pay for index-based crop insurance in the lowlands of Nepal. Land Use Policy 2019, 85, 1–10. [Google Scholar] [CrossRef]
  31. Biglari, T.; Maleksaeidi, H.; Eskandari, F.; Jalali, M. Livestock insurance as a mechanism for household resilience of livestock herders to climate change: Evidence from Iran. Land Use Policy 2019, 87, 104043. [Google Scholar] [CrossRef]
  32. Rao, X.; Zhang, Y. Livestock insurance, moral hazard, and farmers’ decisions: A field experiment among hog farms in China. Geneva Pap. Risk Insur.-Issues Pract. 2020, 45, 134–156. [Google Scholar] [CrossRef]
  33. Zhang, Y.; Cao, Y.; Wang, H.H. Cheating? The Case of Producers’ Under-Reporting Behavior in Hog Insurance in China. Can. J. Agric. Econ./Rev. Can. D’agroeconomie 2018, 66, 489–510. [Google Scholar] [CrossRef]
  34. Matsuda, A.; Takahashi, K.; Ikegami, M. Direct and indirect impact of index-based livestock insurance in Southern Ethiopia. Geneva Pap. Risk Insur.-Issues Pract. 2019, 44, 481–502. [Google Scholar] [CrossRef]
  35. Amare, A.; Simane, B.; Nyangaga, J.; Defisa, A.; Hamza, D.; Gurmessa, B. Index-based livestock insurance to manage climate risks in Borena zone of southern Oromia, Ethiopia. Clim. Risk Manag. 2019, 25, 100191. [Google Scholar] [CrossRef]
  36. Fang, L.; Hu, R.; Mao, H.; Chen, S. How crop insurance influences agricultural green total factor productivity: Evidence from Chinese farmers. J. Clean. Prod. 2021, 321, 128977. [Google Scholar] [CrossRef]
  37. Wang, L.; Chang, Q.; Kong, R. Regional differences and convergence of green total factor productivity in pig breeding: Evidence from China. Front. Environ. Sci. 2023, 11, 1162502. [Google Scholar] [CrossRef]
  38. Geng, N.; Liu, Z.; Wang, X.; Meng, L.; Pan, J. Measurement of Green Total Factor Productivity and Its Spatial Convergence Test on the Pig-Breeding Industry in China. Sustainability 2022, 14, 13902. [Google Scholar] [CrossRef]
  39. Zhong, S.; Li, J.; Guo, X. Analysis on the green total factor productivity of pig breeding in China: Evidence from a meta-frontier approach. PLoS ONE 2022, 17, e0270549. [Google Scholar] [CrossRef]
  40. Long, Y.; Liu, L.; Yang, B. Different types of environmental concerns and heterogeneous influence on green total factor productivity: Evidence from Chinese provincial data. J. Clean. Prod. 2023, 428, 139295. [Google Scholar] [CrossRef]
  41. Li, G.; Jia, X.; Khan, A.A.; Khan, S.U.; Ali, M.A.S.; Luo, J. Does green finance promote agricultural green total factor productivity? Considering green credit, green investment, green securities, and carbon finance in China. Environ. Sci. Pollut. Res. 2022, 30, 36663–36679. [Google Scholar] [CrossRef] [PubMed]
  42. Xu, B.; Chen, W.; Zhang, G.; Wang, J.; Ping, W.; Luo, L.; Chen, J. How to achieve green growth in China’s agricultural sector. J. Clean. Prod. 2020, 271, 122770. [Google Scholar] [CrossRef]
  43. Song, Y.; Zhang, B.; Wang, J.; Kwek, K. The impact of climate change on China’s agricultural green total factor productivity. Technol. Forecast. Soc. Change 2022, 185, 122054. [Google Scholar] [CrossRef]
  44. Ahmed, N.; Hamid, Z.; Mahboob, F.; Rehman, K.U.; e Ali, M.S.; Senkus, P.; Wysokińska-Senkus, A.; Siemiński, P.; Skrzypek, A. Causal Linkage among Agricultural Insurance, Air Pollution, and Agricultural Green Total Factor Productivity in United States: Pairwise Granger Causality Approach. Agriculture 2022, 12, 1320. [Google Scholar] [CrossRef]
  45. Zhang, Z.; Mu, Y.; Hou, L. Does participation in agricultural insurance optimize factor allocation? An analysis of endogenous farmers’ insurance decision-making and its effect on production. Chin. Rural. Econ. 2018, 10, 53–70. [Google Scholar]
  46. Chang, H.-H.; Mishra, A.K. Chemical usage in production agriculture: Do crop insurance and off-farm work play a part? J. Environ. Manag. 2012, 105, 76–82. [Google Scholar] [CrossRef] [PubMed]
  47. He, J.; Zheng, X.; Rejesus, R.M.; Yorobe, J.M. Moral hazard and adverse selection effects of cost-of-production crop insurance: Evidence from the Philippines. Australian, J. Agric. Resour. Econ. 2019, 63, 166–197. [Google Scholar] [CrossRef]
  48. Sibiko, K.W.; Qaim, M. Weather index insurance, agricultural input use, and crop productivity in Kenya. Food Secur. 2020, 12, 151–167. [Google Scholar] [CrossRef]
  49. Capitanio, F.; Adinolfi, F.; Santeramo, F.G. Crop Insurance Subsidies and Environmental Externalities: Evidence from Southern Italy. Outlook Agric. 2014, 43, 253–258. [Google Scholar] [CrossRef]
  50. Bertram-Huemmer, V.; Kraehnert, K. Does Index Insurance Help Households Recover from Disaster? Evidence from IBLI Mongolia. Am. J. Agric. Econ. 2018, 100, 145–171. [Google Scholar] [CrossRef]
  51. John, F.; Toth, R.; Frank, K.; Groeneveld, J.; Müller, B. Ecological Vulnerability Through Insurance? Potential Unintended Consequences of Livestock Drought Insurance. Ecol. Econ. 2019, 157, 357–368. [Google Scholar] [CrossRef]
  52. Meng, X.; Zhou, H.; Du, L.; Shen, G. The change of agricultural environmental technology efficiency and green total factor productivity growth in China: Re-examination based on the perspective of combination of planting and breeding. Issues Agric. Econ. 2019, 6, 9–22. [Google Scholar] [CrossRef]
  53. Zhong, F.; Ning, M.; Xing, L.; Miao, Q. Does participation in agricultural insurance optimize factor allocation? An analysis of endogenous farmers’ insurance decision-making and its effect on production. China Econ. Q. 2007, 10, 291–308. [Google Scholar]
  54. Vigani, M.; Kathage, J. To Risk or Not to Risk? Risk Management and Farm Productivity. Am. J. Agric. Econ. 2019, 101, 1432–1454. [Google Scholar] [CrossRef]
  55. Wu, J.; Adams, R.M. Production Risk, Acreage Decisions and Implications for Revenue Insurance Programs. Can. J. Agric. Econ./Rev. Can. D’agroeconomie 2001, 49, 19–35. [Google Scholar] [CrossRef]
  56. Zhang, X.; Zhao, Y. A theoretical and empirical study on the impact of dairy cattle insurance program on the scale of dairy farming. Insur. Stud. 2017, 2, 40–49. [Google Scholar] [CrossRef]
  57. Kafle, B. Diffusion of Uncertified Organic Vegetable Farming among Small Farmers in Chitwan District, Nepal: A Case of Phoolbari Village. Int. J. Agric. Res. Rev. 2011, 1, 157–163. [Google Scholar]
  58. Tan, Y.; Lu, Q.; Zhang, S. Can contract farming promote farmers’ green production transition. J. Agrotech. Econ. 2022, 7, 16–33. [Google Scholar] [CrossRef]
  59. Ifft, J.; Kuethe, T.H.; Lyons, G.; Schultz, A.; Zhu, J.Y. Crop insurance’s impact on commercial bank loan volumes: Theory and evidence. Appl. Econ. Perspect. Policy 2024, 46, 318–337. [Google Scholar] [CrossRef]
  60. Rao, J.; Zhang, Y. An analysis of pollution control and utilization of manure of pig raising farms of different scales and types in China: Take LP county of Hebei Province as an example. Issues Agric. Econ. 2018, 4, 121–130. [Google Scholar] [CrossRef]
  61. Sueyoshi, T.; Zhang, R.; Qu, J.; Li, A. New concepts for environment-health measurement by data envelopment analysis and an application in China. J. Clean. Prod. 2021, 312, 127468. [Google Scholar] [CrossRef]
  62. Ma, J.; Cu, H.; Wu, B. Analysis of the Effect and Mechanism of Policy-oriented Agricultural Insurance’s Promotion on Farmers’ Income—A Quasi-natural Experimental Research on Progressive Pilots, E. Insur. Stud. 2020, 2, 3–18. [Google Scholar] [CrossRef]
  63. Tran, P.M.; Nguyen, T.; Nguyen, H.-D.; Thinh, N.A.; Lam, N.D.; Huyen, N.T.; Khuc, V.Q. Improving Green Literacy and Environmental Culture Associated with Youth Participation in the Circular Economy: A Case Study of Vietnam. Urban Sci. 2024, 8, 63. [Google Scholar] [CrossRef]
Figure 1. Timeline for the implementation of the insurance pilot program in hog-dominant production areas.
Figure 1. Timeline for the implementation of the insurance pilot program in hog-dominant production areas.
Agriculture 14 01051 g001
Figure 2. Mechanism of policy-supported hog insurance on GTFP in farming.
Figure 2. Mechanism of policy-supported hog insurance on GTFP in farming.
Agriculture 14 01051 g002
Figure 3. Parallel trend test.
Figure 3. Parallel trend test.
Agriculture 14 01051 g003
Figure 4. Placebo test results.
Figure 4. Placebo test results.
Agriculture 14 01051 g004
Table 1. Government documents relating to policy-supported hog insurance.
Table 1. Government documents relating to policy-supported hog insurance.
TimeCentre
Policy Establishment Phase
(2007–2010)
(2007) “Opinions on Promoting the Work of Policy-supported Agricultural Insurance”: Initially proposed the establishment of agricultural insurance and introduced a pioneering initiative for hog insurance, with a focus on bolstering the development of agricultural insurance.
(2007) “Urgent Notice on Establishing the Hog Insurance System to Promote the Development of farming Production”: Explicitly defined the coverage responsibilities, insurance amounts, rates, and subsidy ratios for insuring breeding sows by governmental entities at various levels.
(2008) “Notice on Matters Related to the Pilot Work of Subsidizing the Premium of Fattened Hog Insurance”: Selected Hunan, Sichuan, and Jilin provinces as pilot provinces to carry out the subsidy work for fattened hog insurance premiums.
Policy Promotion Phase
(2011–2015)
(2012) “Guiding Opinions on Accelerating the Development of Agricultural Insurance”: Explicitly defined the responsibilities of governments at all levels and promoted the expansion of the coverage of hog insurance.
(2013) “Administrative Measures for Subsidies on Agricultural Insurance Premiums”: Clearly defined the operational procedures and subsidy standards for hog insurance, standardized operational procedures, and ensured the interests of insurance companies and farmers.
(2013) “Notice on Matters Related to the Central Financial Subsidies for Agricultural Insurance Premiums in 2013”: Expanded the pilot area for premium subsidies of fattened hog insurance and increased the government’s premium subsidy ratio.
Policy Adjustment Phase
(2016–2020)
(2016) “Opinions on Deepening the Reform of Agricultural Insurance”: Proposed deepening the reform of hog insurance, optimizing the design of insurance products, and improving the level of protection.
(2019) “Notice on Supporting the Stability of Hog Production and Ensuring Market Supply”: Increased the insurance amount, raising the insurance amount for breeding sows from CNY 1000–1200 to 1500, and for fattened pigs, from CNY 500–600 to CNY 800.
Policy Enhancement Phase
(2021–present)
(2021) “Opinions on Promoting the Continuous and Healthy Development of the Farming Industry”: Further advanced the livestock insurance, stabilized the insurance amount, dynamically adjusted the amount according to changes in production costs, enhanced the attractiveness of insurance products, and achieved the goal that all farms willing to be insured are insured.
(2023) “Guiding Opinions on Financial Support for Comprehensively Promoting Rural Revitalization and Accelerating the Construction of a Strong Agricultural Country”: Improved the level of insurance protection and explored the development of income insurance products for livestock such as pigs and dairy cows.
Table 2. Input–output indicators for farming.
Table 2. Input–output indicators for farming.
IndicatorCalculation Formula
Input elementsCapital inputs (CNY)Total cost of piglets, water, fuel and power, death loss, technical services, tools and materials, repair and maintenance, taxes, depreciation, premiums, management, finances, sales, and other expenses
Feed inputs (CNY)Total cost of concentrate feed, coarse fodder, and feed processing
Labor inputs (CNY)Sum of discount for domestic labor and cost of hired labor
Medical and epidemic prevention inputs (CNY)Total cost of medical care and vaccination
Desirable outputsNet weight of hogs (kg)Difference between slaughter weight and piglet weight
Undesirable outputsTP (t)Elemental emission coefficient × finisher weight/reference weight × days of feeding
TN (t)
COD (t)
Table 3. Definitions of variables and their descriptive statistics.
Table 3. Definitions of variables and their descriptive statistics.
Variable DefinitionObs.MeanStd. Dev.Min.Max.
Green total factor productivity (GTFP)Measured by SBM-DDF3060.8798 0.0860 0.6181 1.0000
Hog insurance policy implementation (DID)Implemented = 1; unimplemented = 03060.61440.48750.00001.0000
GDP per capita (RGDP)GDP/total population3064.00602.32320.520113.8028
Agricultural fiscal expenditure (AFE)Government fiscal expenditure on agriculture/total fiscal expenditure3060.1042 0.0283 0.0218 0.1897
Government intervention intensity (GI)Government fiscal expenditure on agriculture/GDP of primary industry3060.1208 0.0544 0.0088 0.2687
Research and development expenditure (RD)Fiscal expenditure on science and technology/GDP3060.0035 0.0020 0.0003 0.0108
Environmental regulation (ER)Investment in environmental pollution control/GDP3060.0059 0.0031 0.0008 0.0162
Level of agricultural financial development (AFD)Agricultural loans/GDP of agriculture, forestry, animal husbandry and fisheries3062.0132 1.9803 0.2148 13.4106
Level of agricultural openness to the outside world (Aopen)Export of agricultural products by region/GDP of agriculture, forestry, animal husbandry, and fisheries3060.0401 0.0394 0.0014 0.1557
Transport accessibility (Trans)Mileage of railways, inland waterways and roads3061.0360 0.4530 0.1647 2.3167
Average years of schooling of people living in rural areas (Edu)(number of people not attending school × 0 + number of people in primary school × 6 + number of people in junior high school × 9 + number of people in senior high school × 12 + number of people in tertiary education and above × 16)/population over 6 years old3068.6810 0.7507 6.3778 10.1894
Livestock production price index (PPI)Livestock production price index306106.7288 16.5354 71.4000 157.4000
Farmland carrying capacity (FCC)Cultivated land area in each province/national total cultivated land area3060.0419 0.0222 0.0101 0.1345
Feed resources (FR)Corn production by province/national corn production3060.0427 0.0439 0.0003 0.1615
Scale of farming (Scale)Total annual stock of hogs3065451.5800 2630.0880 1183.350012849.7900
Planting–breeding structure (PL)Number of farming/area of arable land for food crops3060.4611 0.2295 0.0600 1.1700
Mechanical power of farming (MP)Power of farming machinery30682.0207 45.9551 12.7900 277.8300
Table 4. Impact of hog insurance policy on GTFP.
Table 4. Impact of hog insurance policy on GTFP.
Explained Variable: GTFP
(1)(2)(3)
DID0.019 ***0.017 **
(0.007)(0.007)
pre8 −0.003
(0.022)
pre7 0.004
(0.019)
pre6 0.029 *
(0.016)
pre5 0.012
(0.017)
pre4 0.005
(0.013)
pre3 0.016
(0.010)
pre2 0.007
(0.010)
current 0.006
(0.009)
post1 0.038 ***
(0.012)
post2 0.037 ***
(0.012)
post3 0.044 ***
(0.012)
post4 0.050 ***
(0.013)
post5 0.050 ***
(0.014)
post6 0.047 ***
(0.015)
post7 0.047 **
(0.020)
_cons0.618 ***0.701 **0.759 ***
(0.004)(0.303)(0.289)
Control variableNOYESYES
Time-fixed effectsYESYESYES
Province-fixed effectsYESYESYES
N306306306
R20.6900.7060.744
Note: * p < 0.1, ** p < 0.05, and *** p < 0.01. Robust standard errors are given in parentheses.
Table 5. Robustness test results.
Table 5. Robustness test results.
Explained Variable: GTFP
(1)(2)(3)
DID_ahead−0.001
(0.007)
DID_delay 0.020 ***
(0.007)
DID 0.019 ***
(0.007)
_cons0.712 **0.781 ***0.783 **
(0.308)(0.300)(0.319)
Control variableYESYESYES
Time-fixed effectsYESYESYES
Province-fixed effectsYESYESYES
N306306288
R20.6990.7080.704
Note: ** p < 0.05, and *** p < 0.01. Robust standard errors are given in parentheses.
Table 6. Mechanism test of hog insurance on GTFP.
Table 6. Mechanism test of hog insurance on GTFP.
(1)
Scale
(2)
PL
(3)
MP
DID0.061 ***0.023 ***0.176 ***
(0.022)(0.008)(0.043)
_cons4.501 ***−0.3544.505 **
(1.091)(0.364)(2.001)
Control variableYESYESYES
Time-fixed effectsYESYESYES
Province-fixed effectsYESYESYES
N306306306
R20.9670.9650.913
Note: ** p < 0.05, and *** p < 0.01. Robust standard errors are given in parentheses.
Table 7. Heterogeneity test of hog insurance on GTFP.
Table 7. Heterogeneity test of hog insurance on GTFP.
Explained Variable: GTFP
Low-GDPHigh-GDPFree-RangeSmall-ScaleMedium-ScaleLarge-Scale
(1)(2)(3)(4)(5)(6)
DID0.023 **0.029 **0.016 ***0.024 ***0.011 **0.007
(0.009)(0.014)(0.006)(0.006)(0.005)(0.006)
_cons0.931 **0.4310.400 *0.675 ***0.865 ***0.848 ***
(0.394)(0.818)(0.209)(0.247)(0.245)(0.266)
Control variableYESYESYESYESYESYES
Time-fixed effectsYESYESYESYESYESYES
Province-fixed effectsYESYESYESYESYESYES
N199102306306306306
R20.7010.7940.8420.8420.8480.843
Note: * p < 0.1, ** p < 0.05, and *** p < 0.01. Robust standard errors are given in parentheses.
Disclaimer/Publisher’s Note: The statements, opinions and data contained in all publications are solely those of the individual author(s) and contributor(s) and not of MDPI and/or the editor(s). MDPI and/or the editor(s) disclaim responsibility for any injury to people or property resulting from any ideas, methods, instructions or products referred to in the content.

Share and Cite

MDPI and ACS Style

Wu, D.; He, S.; Qin, L.; Feng, J.; Gao, Y. Role of Policy-Supported Hog Insurance in Promoting Green Total Factor Productivity: The Case of China during 2005–2021. Agriculture 2024, 14, 1051. https://doi.org/10.3390/agriculture14071051

AMA Style

Wu D, He S, Qin L, Feng J, Gao Y. Role of Policy-Supported Hog Insurance in Promoting Green Total Factor Productivity: The Case of China during 2005–2021. Agriculture. 2024; 14(7):1051. https://doi.org/10.3390/agriculture14071051

Chicago/Turabian Style

Wu, Dongli, Shan He, Lingui Qin, Jingyue Feng, and Yu Gao. 2024. "Role of Policy-Supported Hog Insurance in Promoting Green Total Factor Productivity: The Case of China during 2005–2021" Agriculture 14, no. 7: 1051. https://doi.org/10.3390/agriculture14071051

APA Style

Wu, D., He, S., Qin, L., Feng, J., & Gao, Y. (2024). Role of Policy-Supported Hog Insurance in Promoting Green Total Factor Productivity: The Case of China during 2005–2021. Agriculture, 14(7), 1051. https://doi.org/10.3390/agriculture14071051

Note that from the first issue of 2016, this journal uses article numbers instead of page numbers. See further details here.

Article Metrics

Back to TopTop