New Frontiers in the Cultivation of Edible Fungi: The Application of Biostimulants Enhances the Nutritional Characteristics of Pleurotus eryngii (DC.) Quél
Abstract
1. Introduction
2. Materials and Methods
2.1. Experimental Design
2.2. Wood Distillate
2.3. Yield Parameters and Samples Preparation
2.4. Total Soluble Protein Content
2.5. Glycogen Content
2.6. Total Phenol and Total Flavonoid Content
2.7. Vitamin C Content
2.8. Statistical Analysis
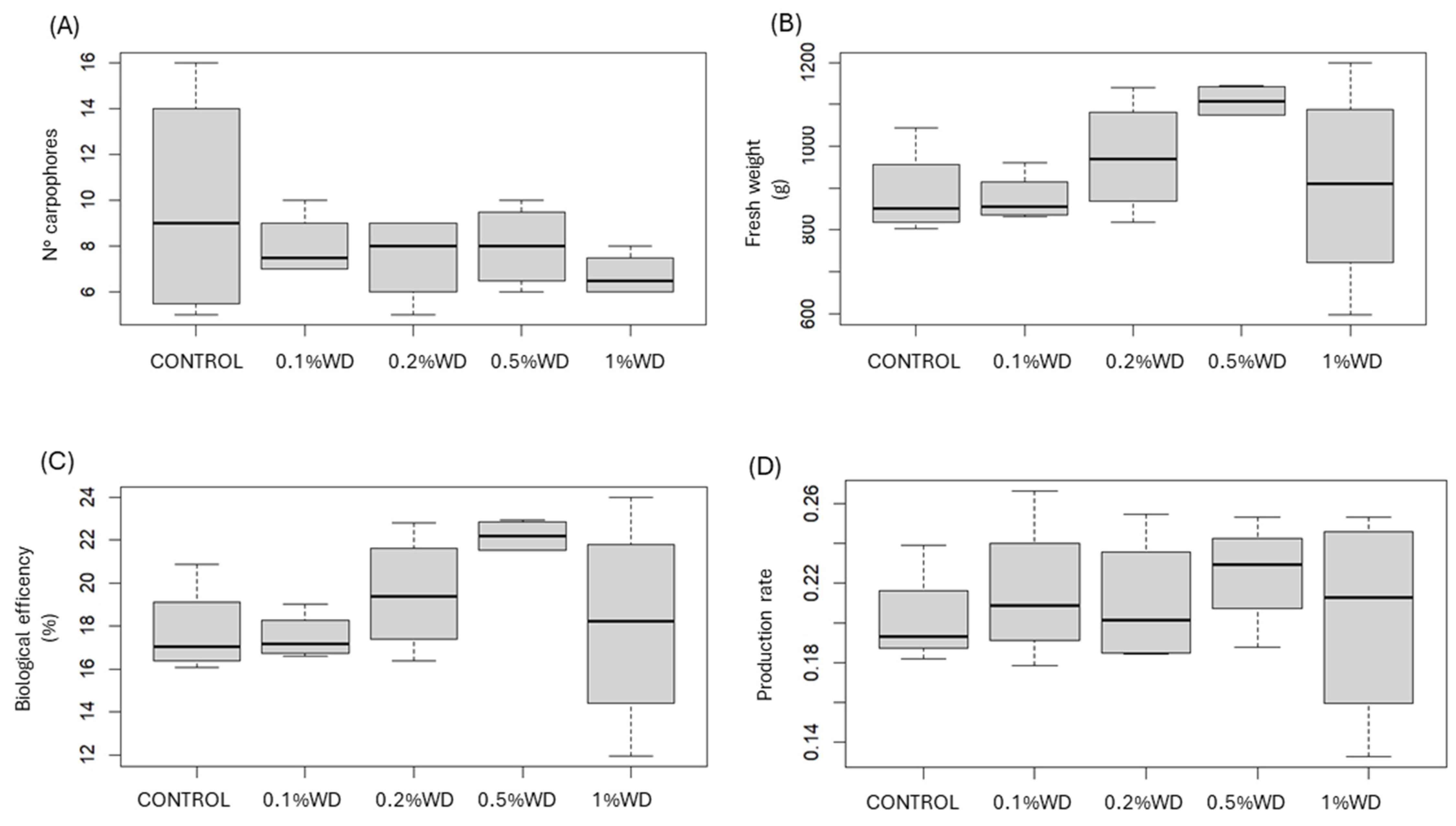
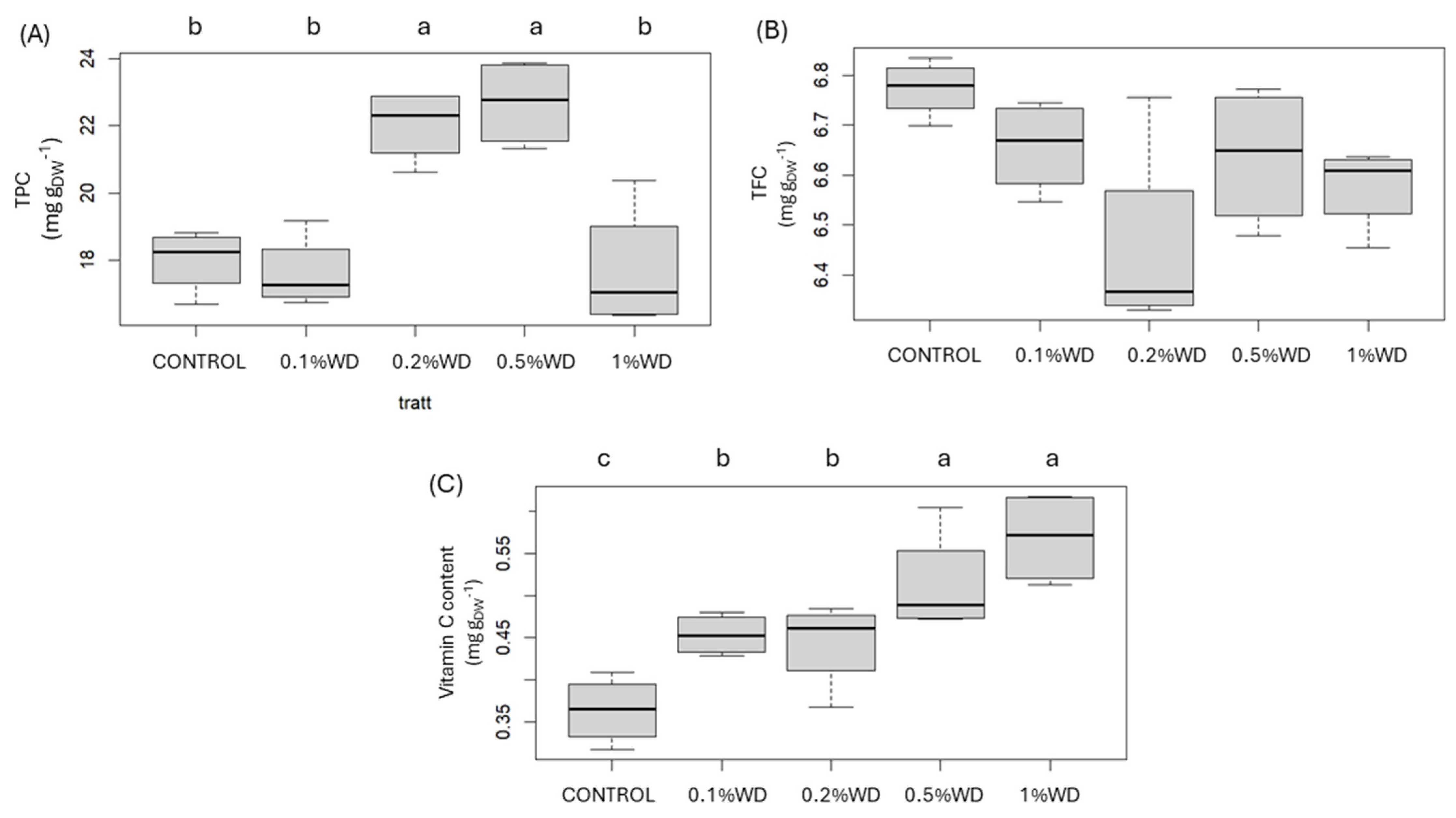
3. Results
4. Discussion
5. Conclusions
Author Contributions
Funding
Institutional Review Board Statement
Data Availability Statement
Acknowledgments
Conflicts of Interest
References
- United Nations. 2022. Available online: https://news.un.org/en/story/2022/07/1122272#:~:text=The%20latest%20UN%20projections%20suggest%20that%20the%20world%E2%80%99s,expected%20to%20remain%20at%20that%20level%20until%202100 (accessed on 7 March 2024).
- Godfray, H.C.J.; Garnett, T. Food security and sustainable intensification. Philos. Trans. R. Soc. B Biol. 2014, 369, 20120273. [Google Scholar] [CrossRef]
- Wu, G. Dietary protein intake and human health. Food Funct. 2016, 7, 1251–1265. [Google Scholar] [CrossRef] [PubMed]
- European Commission. 2023. Available online: https://food.ec.europa.eu/horizontal-topics/farm-fork-strategy_en (accessed on 7 March 2024).
- Thavamani, A.; Sferra, T.J.; Sankararaman, S. Meet the meat alternatives: The value of alternative protein sources. Curr. Nutr. Rep. 2020, 9, 346–355. [Google Scholar] [CrossRef] [PubMed]
- Gerber, P.J.; Henderson, B.; Makkar, H.P. Mitigation of Greenhouse Gas Emissions in Livestock Production: A Review of Technical Options for Non-CO2 Emissions (No. 177); Food and Agriculture Organization of the United Nations (FAO): Quebec City, AC, Canada, 2013. [Google Scholar]
- Aleksandrowicz, L.; Green, R.; Joy, E.J.M.; Smith, P.; Haines, A. The impacts of dietary change on greenhouse gas emissions, land use, water use, and health: A systematic review. PLoS ONE 2016, 11, e0165797. [Google Scholar] [CrossRef] [PubMed]
- Grimm, D.; Wösten, H.A. Mushroom cultivation in the circular economy. Appl. Microbiol. Biotechnol. 2018, 102, 7795–7803. [Google Scholar] [CrossRef] [PubMed]
- Szczebyło, A.; Rejman, K.; Halicka, E.; Laskowski, W. Towards more sustainable diets—Attitudes, opportunities and barriers to fostering pulse consumption in Polish cities. Nutrients 2020, 12, 1589. [Google Scholar] [CrossRef] [PubMed]
- Chang, S.T.; Wasser, S.P. The cultivation and environmental impact of mushrooms. In Oxford Research Encyclopedia of Environmental Science; Oxford University Press: Oxford, UK, 2017. [Google Scholar] [CrossRef]
- Aschemann-Witzel, J.; Gantriis, R.F.; Fraga, P.; Perez-Cueto, F.J. Plant-based food and protein trend from a business perspective: Markets, consumers, and the challenges and opportunities in the future. Crit. Rev. Food Sci. Nutr. 2021, 61, 3119–3128. [Google Scholar] [CrossRef] [PubMed]
- De Boer, J.; Aiking, H. On the merits of plant-based proteins for global food security: Marrying macro and micro perspectives. Ecol. Econ. 2011, 70, 1259–1265. [Google Scholar] [CrossRef]
- Pecoraro, L.; Altieri, R.; Esposito, A.; Perini, C.; Salerni, E.; De Dominicis, V. Impiego di substrati sperimentali a base di reflui oleari per la coltivazione di funghi eduli. Mic. Ital. 2008, 37, 34–39. [Google Scholar]
- Moore, D.; Chiu, S.W. Fungal products as food. In Bio-Exploitation of Filamentous Fungi; Fungal Diversity Press: Hong Kong, China, 2021; pp. 223–251. [Google Scholar]
- Akyuz, M.; Kirbag, S. Nutritive value of Pleurotus eryngii (DC. ex Fr.) quel. var. eryngii grown on various agrowastes. Philipp. Agric. Sci. 2009, 92, 327–331. [Google Scholar]
- Çağlarırmak, N. The nutrients of exotic mushrooms (Lentinula edodes and Pleurotus species) and an estimated approach to the volatile compounds. Food Chem. 2007, 105, 1188–1194. [Google Scholar] [CrossRef]
- Garcha, H.S.; Khanna, P.K.; Son, G.L. Nutritional importance of milk. In Mushroom Biology and Mushroom Products; Chang, S.T., Buswell, J.A., Chiu, S.W., Eds.; Chinese University Press: Hong Kong, China, 1993; pp. 227–235. [Google Scholar]
- Bach, F.; Helm, C.V.; Bellettini, M.B.; Maciel, G.M.; Haminiuk, C.W.I. Edible mushrooms: A potential source of essential amino acids, glucans and minerals. Int. Food Sci. Tech. 2017, 52, 2382–2392. [Google Scholar] [CrossRef]
- Wang, D.; Sakoda, A.; Suzuki, M. Biological efficiency and nutritional value of Pleurotus ostreatus cultivated on spent beer grain. Bioresour. Technol. 2001, 78, 293–300. [Google Scholar] [CrossRef] [PubMed]
- Rathore, H.; Prasad, S.; Sharma, S. Mushroom nutraceuticals for improved nutrition and better human health: A review. PharmaNutrition 2017, 5, 35–46. [Google Scholar] [CrossRef]
- Lo, S.H. Antioxidant properties of several culinary medicinal mushrooms during postharvest storage. Int. J. Med. Mushrooms 2008, 10, 245–253. [Google Scholar] [CrossRef]
- Oke, F.; Aslim, B. Protective effect of two edible mushrooms against oxidative cell damage and their phenolic composition. Food Chem. 2011, 128, 613–619. [Google Scholar] [CrossRef]
- DPR 1995. Available online: https://www.normattiva.it/uri-res/N2Ls?urn:nir:presidente.repubblica:decreto:1995;376 (accessed on 8 March 2024).
- Bruno, G.L.; Lafortezza, M.A.; Tommasi, F. Il Cardoncello, Pleurotus eryngii (DC.) Quél. una risorsa del territorio: Caratterizzazione di ceppi pugliesi tra fisiologia e nutraceutica. Not. Della Soc. Bot. Ital. 2020, 4, 1–4. [Google Scholar]
- Calabretti, A.; Mang, S.M.; Becce, A.; Castronuovo, D.; Cardone, L.; Candido, V.; Camele, I. Comparison of bioactive substances content between commercial and wild-type isolates of Pleurotus eryngii. Sustainability 2021, 13, 3777. [Google Scholar] [CrossRef]
- Deepalakshmi, K.; Sankaran, M. Pleurotus ostreatus: An oyster mushroom with nutritional and medicinal properties. J. Biochem. Technol. 2014, 5, 718–726. [Google Scholar]
- Melanouri, E.M.; Dedousi, M.; Diamantopoulou, P. Cultivating Pleurotus ostreatus and Pleurotus eryngii mushroom strains on agro-industrial residues in solid-state fermentation. Part I: Screening for growth, endoglucanase, laccase and biomass production in the colonization phase. Carbon Resour. Convers. 2022, 5, 61–70. [Google Scholar] [CrossRef]
- Xie, C.; Yan, L.; Gong, W.; Zhu, Z.; Tan, S.; Chen, D.; Peng, Y. Effects of different substrates on lignocellulosic enzyme expression, enzyme activity, substrate utilization and biological efficiency of Pleurotus eryngii. Cell Physiol. Biochem. 2016, 39, 1479–1494. [Google Scholar] [CrossRef] [PubMed]
- Zeng, X.L.; Lin, J.F.; Guo, L.Q.; Cao, R.W.; Zeng, W.Q. Evaluation of Burma reed as substrate for production of Pleurotus eryngii. Indian. J. Microbiol. 2013, 53, 181–186. [Google Scholar] [CrossRef] [PubMed][Green Version]
- European Food Safety Authority. Scientific opinion on establishing food-based dietary guidelines. EFSA J. 2010, 8, 1460. [Google Scholar] [CrossRef]
- Italian Ministerial Decree 6793. 18 July 2018. Available online: https://www.gazzettaufficiale.it/eli/id/2018/09/05/18A05693/sg (accessed on 13 March 2024).
- Fedeli, R.; Vannini, A.; Djatouf, N.; Celletti, S.; Loppi, S. Can lettuce plants grow in saline soils supplemented with biochar? Heliyon 2024, 10, e26526. [Google Scholar] [CrossRef] [PubMed]
- Grewal, A.; Abbey, L.; Gunupuru, L.R. Production, prospects and potential application of pyroligneous acid in agriculture. J. Anal. Appl. Pyrolysis 2018, 135, 152–159. [Google Scholar] [CrossRef]
- Wei, Q.; Ma, X.; Dong, J. Preparation, chemical constituents and antimicrobial activity of pyroligneous acids from walnut tree branches. JAAP 2010, 87, 24–28. [Google Scholar] [CrossRef]
- Mungkunkamchao, T.; Kesmala, T.; Pimratch, S.; Toomsan, B.; Jothityangkoon, D. Wood vinegar and fermented bioextracts: Natural products to enhance growth and yield of tomato (Solanum lycopersicum L.). Sci. Hortic. 2013, 154, 66–72. [Google Scholar] [CrossRef]
- Ofoe, R.; Gunupuru, L.R.; Wang-Pruski, G.; Fofana, B.; Thomas, R.H.; Abbey, L. Seed priming with pyroligneous acid mitigates aluminum stress, and promotes tomato seed germination and seedling growth. Plant Stress 2022, 4, 100083. [Google Scholar] [CrossRef]
- Zhu, K.; Gu, S.; Liu, J.; Luo, T.; Khan, Z.; Zhang, K.; Hu, L. Wood vinegar as a complex growth regulator promotes the growth, yield, and quality of rapeseed. Agronomy 2021, 11, 510. [Google Scholar] [CrossRef]
- Fanfarillo, E.; Fedeli, R.; Fiaschi, T.; de Simone, L.; Vannini, A.; Angiolini, C.; Maccherini, S. Effects of wood distillate on seedling emergence and first-stage growth in five threatened arable plants. Diversity 2022, 14, 669. [Google Scholar] [CrossRef]
- Fedeli, R.; Fiaschi, T.; Angiolini, C.; Maccherini, S.; Loppi, S.; Fanfarillo, E. Dose-Dependent and Species-Specific Effects of Wood Distillate Addition on the Germination Performance of Threatened Arable Plants. Plants 2023, 12, 3028. [Google Scholar] [CrossRef]
- Filippelli, A.; Ciccone, V.; Loppi, S.; Morbidelli, L. Characterization of the safety profile of sweet chestnut wood distillate employed in agriculture. Safety 2021, 7, 79. [Google Scholar] [CrossRef]
- Yoshimura, H.; Washio, H.; Yoshida, S.; Seino, T.; Otaka, M.; Matsubara, K.; Matsubara, M. Promoting effect of wood vinegar compounds on fruit-body formation of Pleurotus ostreatus. Mycoscience 1995, 36, 173–177. [Google Scholar] [CrossRef]
- Chang, H.Y.; Kang, A.S.; Cha, D.Y.; Sung, J.M.; Morinaga, T. Effects of wood vinegar on the mycelial growth promotion of some edible mushrooms and Trichoderma pathogen inhibition. RDA J. Agric. Sience Farm Manag. Agric. Eng. Seric. Mycol. Farm Prod. Util. 1995, 37, 766–771. [Google Scholar]
- Ohta, A.; Zhang, L.J. Acceleration of mycelial growth and fruiting body production of edible mushrooms by wood vinegar fractions. J. Jpn. Wood Res. Soc. 1994, 40, 429–433. [Google Scholar]
- Yoshimura, H.; Hayakawa, T. Acceleration effect of wood vinegar from Quercus crispula on the mycelial growth of some basidiomycetes. Trans. Mycol. Soc. Jpn. 1991, 32, 55–64. [Google Scholar]
- De Biasi, 2024. Available online: https://www.fungocardoncello.it/ (accessed on 7 March 2024).
- BioDea. Available online: https://biodea.bio/bio-wood-distillate/?lang=en (accessed on 1 March 2024).
- Celletti, S.; Fedeli, R.; Ghorbani, M.; Aseka, J.M.; Loppi, S. Exploring sustainable alternatives: Wood distillate alleviates the impact of bioplastic in basil plants. Sci. Total Environ. 2023, 900, 166484. [Google Scholar] [CrossRef]
- Khumlianlal, J.; Sharma, K.C.; Singh, L.M.; Mukherjee, P.K.; Indira, S. Nutritional profiling and antioxidant property of three wild edible mushrooms from north east India. Molecules 2022, 27, 5423. [Google Scholar] [CrossRef] [PubMed]
- Gaur, T.; Rao, P.B.; Kushwaha, K.P.S. Nutritional and anti-nutritional components of some selected edible mushroom species. Indian J. Nat. Prod. Resour. 2016, 7, 155–161. [Google Scholar] [CrossRef]
- Lamaro, G.P.; Tsehaye, Y.; Girma, A.; Vannini, A.; Fedeli, R.; Loppi, S. Evaluation of Yield and Nutraceutical Traits of Orange-Fleshed Sweet Potato Storage Roots in Two Agro-Climatic Zones of Northern Ethiopia. Plants 2023, 12, 1319. [Google Scholar] [CrossRef]
- Fedeli, R.; Vannini, A.; Grattacaso, M.; Loppi, S. Wood distillate (pyroligneous acid) boosts nutritional traits of potato tubers. Ann. Appl. Biol. 2023, 183, 135–140. [Google Scholar] [CrossRef]
- Azarnejad, N.; Celletti, S.; Ghorbani, M.; Fedeli, R.; Loppi, S. Dose-Dependent Effects of a Corn Starch-Based Bioplastic on Basil (Ocimum basilicum L.): Implications for Growth, Biochemical Parameters, and Nutrient Content. Toxics 2024, 12, 80. [Google Scholar] [CrossRef] [PubMed]
- Fedeli, R.; Celletti, S.; Loppi, S.; Vannini, A. Comparison of the Effect of Solid and Liquid Digestate on the Growth of Lettuce (Lactuca sativa L.) Plants. Agronomy 2023, 13, 782. [Google Scholar] [CrossRef]
- R Core Team. R: A Language and Environment for Statistical Computing; R Foundation for Statistical Computing: Vienna, Austria, 2024. [Google Scholar]
- Fedeli, R.; Marotta, L.; Frattaruolo, L.; Panti, A.; Carullo, G.; Fusi, F.; Loppi, S. Nutritionally enriched tomatoes (Solanum lycopersicum L.) grown with wood distillate: Chemical and biological characterization for quality assessment. J. Food Sci. 2023, 88, 5324–5338. [Google Scholar] [CrossRef] [PubMed]
- Chu, L.; Liu, H.; Zhang, Z.; Zhan, Y.; Wang, K.; Yang, D.; Yu, J. Evaluation of wood vinegar as an herbicide for weed control. Agronomy 2022, 12, 3120. [Google Scholar] [CrossRef]
- Liu, X.; Zhan, Y.; Li, X.; Li, Y.; Feng, X.; Bagavathiannan, M.; Yu, J. The use of wood vinegar as a non-synthetic herbicide for control of broadleaf weeds. Ind. Crops Prod. 2021, 173, 114105. [Google Scholar] [CrossRef]
- Brown, H.E.; Esher, S.K.; Alspaugh, J.A. Chitin: A “hidden figure” in the fungal cell wall. In The Fungal Cell Wall: An Armour and a Weapon for Human Fungal Pathogens; Springer: Cham, Switzerland, 2020; pp. 83–111. [Google Scholar] [CrossRef]
- Gow, N.A.; Latge, J.P.; Munro, C.A. The fungal cell wall: Structure, biosynthesis, and function. Microbiol. Spectr. 2017, 5, 10–1128. [Google Scholar] [CrossRef] [PubMed]
- Steinfeld, L.; Vafaei, A.; Rösner, J.; Merzendorfer, H. Chitin prevalence and function in bacteria, fungi and protists. In Targeting Chitin-Containing Organisms; Springer: Singapore, 2019; pp. 19–59. [Google Scholar] [CrossRef]
- Elieh Ali Komi, D.; Sharma, L.; Dela Cruz, C.S. Chitin and its effects on inflammatory and immune responses. Clin. Rev. Allergy Immunol. 2018, 54, 213–223. [Google Scholar] [CrossRef] [PubMed]
- Langner, T.; Göhre, V. Fungal chitinases: Function, regulation, and potential roles in plant/pathogen interactions. Curr. Genet. 2016, 62, 243–254. [Google Scholar] [CrossRef]
- Thakur, D.; Bairwa, A.; Dipta, B.; Jhilta, P.; Chauhan, A. An overview of fungal chitinases and their potential applications. Protoplasma 2023, 260, 1031–1046. [Google Scholar] [CrossRef]
- Ayimbila, F.; Keawsompong, S. Nutritional quality and biological application of mushroom protein as a novel protein alternative. Curr. Nutr. Rep. 2023, 12, 290–307. [Google Scholar] [CrossRef] [PubMed]
- Ache, N.T.; Manju, E.B.; Lawrence, M.N.; Tonjock, R.K. Nutrient and mineral components of wild edible mushrooms from the KilumIjim forest, Cameroon. Afr. J. Food Sci. 2021, 15, 152–161. [Google Scholar] [CrossRef]
- Krishnamoorthi, R.; Srinivash, M.; Mahalingam, P.U.; Malaikozhundan, B. Dietary nutrients in edible mushroom, Agaricus bisporus and their radical scavenging, antibacterial, and antifungal effects. Process Biochem. 2022, 121, 10–17. [Google Scholar] [CrossRef]
- Yu, Q.; Guo, M.; Zhang, B.; Wu, H.; Zhang, Y.; Zhang, L. Analysis of nutritional composition in 23 kinds of edible fungi. J. Food Qual. 2020, 8821315. [Google Scholar] [CrossRef]
- Fedeli, R.; Vannini, A.; Celletti, S.; Maresca, V.; Munzi, S.; Cruz, C.; Loppi, S. Foliar application of wood distillate boosts plant yield and nutritional parameters of chickpea. Ann. Appl. Biol. 2023, 182, 57–64. [Google Scholar] [CrossRef]
- Wang, B.T.; Hu, S.; Yu, X.Y.; Jin, L.; Zhu, Y.J.; Jin, F.J. Studies of cellulose and starch utilization and the regulatory mechanisms of related enzymes in fungi. Polymers 2020, 12, 530. [Google Scholar] [CrossRef] [PubMed]
- Walker, G.M.; White, N.A. Introduction to fungal physiology. In Fungi: Biology and Applications; Wiley: Hoboken, NJ, USA, 2017; pp. 1–35. [Google Scholar] [CrossRef]
- Xiong, Y.; Wu, V.W.; Lubbe, A.; Qin, L.; Deng, S.; Kennedy, M.; Glass, N.L. A fungal transcription factor essential for starch degradation affects integration of carbon and nitrogen metabolism. PLoS Genet. 2017, 13, e1006737. [Google Scholar] [CrossRef] [PubMed]
- Kalac, P. A review of chemical composition and nutritional value of wild-growing and cultivated mushrooms. J. Sci. Food Agric. 2013, 93, 209–218. [Google Scholar] [CrossRef]
- Khoshnoudi-Nia, S.; Sharif, N.; Jafari, S.M. Loading of phen-olic compounds into electrospun nanofibers and electrosprayed nanoparticles. Trends Food Sci. 2020, 95, 59–74. [Google Scholar] [CrossRef]
- Muszynska, B.; Sułkowska-Ziaja, K.M.; Ekiert, H. Phenolic acidsin selected edible Basidiomycota species: Armillaria mellea, Boletus badius, Boletus edulis, Cantharellus cibarius, Lactarius deliciosus and Pleurotus ostreatus. Acta Sci. Pol.-Hortorum Cultus 2013, 12, 107–116. [Google Scholar]
- Ferreira, I.C.; Barros, L.; Abreu, R.M. Antioxidants in wildmushrooms. Curr. Med. Chem. 2009, 16, 1543–1560. [Google Scholar] [CrossRef] [PubMed]
- G̨asecka, M.; Siwulski, M.; Mleczek, M. Evaluation of bio-active compounds content and antioxidant properties of soil-grow-ing and wood-growing edible mushrooms. J. Food Process. Preserv. 2018, 42, e13386. [Google Scholar] [CrossRef]
- Islam, T.; Yu, X.; Xu, B. Phenolic profiles, antioxidant capaci-ties and metal chelating ability of edible mushrooms commonly con-sumed in China. LWT 2016, 72, 423–431. [Google Scholar] [CrossRef]
- Smirnoff, N. Ascorbic acid metabolism and functions: A comparison of plants and mammals. Free. Radic. Biol. Med. 2018, 122, 116–129. [Google Scholar] [CrossRef] [PubMed]



| Explained | Residual | df Num | df Denom | F | p Value | |
|---|---|---|---|---|---|---|
| N° carpophores | 19.5 | 110.5 | 4 | 15 | 0.66 | 0.64 |
| Fresh weight | 149,772 | 296,742 | 4 | 15 | 1.89 | 0.15 |
| Total soluble protein | 129.63 | 49.69 | 4 | 15 | 9.78 | 0.001 |
| Biological efficiency | 23.4 | 105.3 | 4 | 15 | 2.36 | 0.85 |
| Production rate | 12.6 | 85.9 | 4 | 15 | 2.14 | 0.79 |
| Glycogen | 154.8 | 59.06 | 4 | 15 | 9.83 | 0.005 |
| Total phenols | 101.74 | 25.39 | 4 | 15 | 15.02 | 0.002 |
| Total flavonoids | 0.22 | 0.24 | 4 | 15 | 3.41 | 0.035 |
| Vitamin C | 0.095 | 0.035 | 4 | 15 | 10.06 | 0.001 |
Disclaimer/Publisher’s Note: The statements, opinions and data contained in all publications are solely those of the individual author(s) and contributor(s) and not of MDPI and/or the editor(s). MDPI and/or the editor(s) disclaim responsibility for any injury to people or property resulting from any ideas, methods, instructions or products referred to in the content. |
© 2024 by the authors. Licensee MDPI, Basel, Switzerland. This article is an open access article distributed under the terms and conditions of the Creative Commons Attribution (CC BY) license (https://creativecommons.org/licenses/by/4.0/).
Share and Cite
Fedeli, R.; Mazza, I.; Perini, C.; Salerni, E.; Loppi, S. New Frontiers in the Cultivation of Edible Fungi: The Application of Biostimulants Enhances the Nutritional Characteristics of Pleurotus eryngii (DC.) Quél. Agriculture 2024, 14, 1012. https://doi.org/10.3390/agriculture14071012
Fedeli R, Mazza I, Perini C, Salerni E, Loppi S. New Frontiers in the Cultivation of Edible Fungi: The Application of Biostimulants Enhances the Nutritional Characteristics of Pleurotus eryngii (DC.) Quél. Agriculture. 2024; 14(7):1012. https://doi.org/10.3390/agriculture14071012
Chicago/Turabian StyleFedeli, Riccardo, Irene Mazza, Claudia Perini, Elena Salerni, and Stefano Loppi. 2024. "New Frontiers in the Cultivation of Edible Fungi: The Application of Biostimulants Enhances the Nutritional Characteristics of Pleurotus eryngii (DC.) Quél" Agriculture 14, no. 7: 1012. https://doi.org/10.3390/agriculture14071012
APA StyleFedeli, R., Mazza, I., Perini, C., Salerni, E., & Loppi, S. (2024). New Frontiers in the Cultivation of Edible Fungi: The Application of Biostimulants Enhances the Nutritional Characteristics of Pleurotus eryngii (DC.) Quél. Agriculture, 14(7), 1012. https://doi.org/10.3390/agriculture14071012

