The Significance of Agricultural Modernization Development for Agricultural Carbon Emission Efficiency in China
Abstract
1. Introduction
2. Literature Review
3. Materials and Methods
3.1. Calculation of AM
3.2. Calculation of ACEE
3.3. Spatial Correlation
3.3.1. Global Spatial Correlation
3.3.2. Local Spatial Correlation
3.3.3. Setting of the Spatial Weighting Matrix
3.4. Kernel Density Estimation
3.5. Empirical Model
3.6. Panel Threshold Model (PTM)
4. Results
4.1. General Characteristics of AM
4.1.1. Overall Trend of AM
4.1.2. Spatiotemporal Evolution Characteristics of AM
4.1.3. Spatial Agglomeration Characteristics of AM
4.2. General Characteristics of ACEE
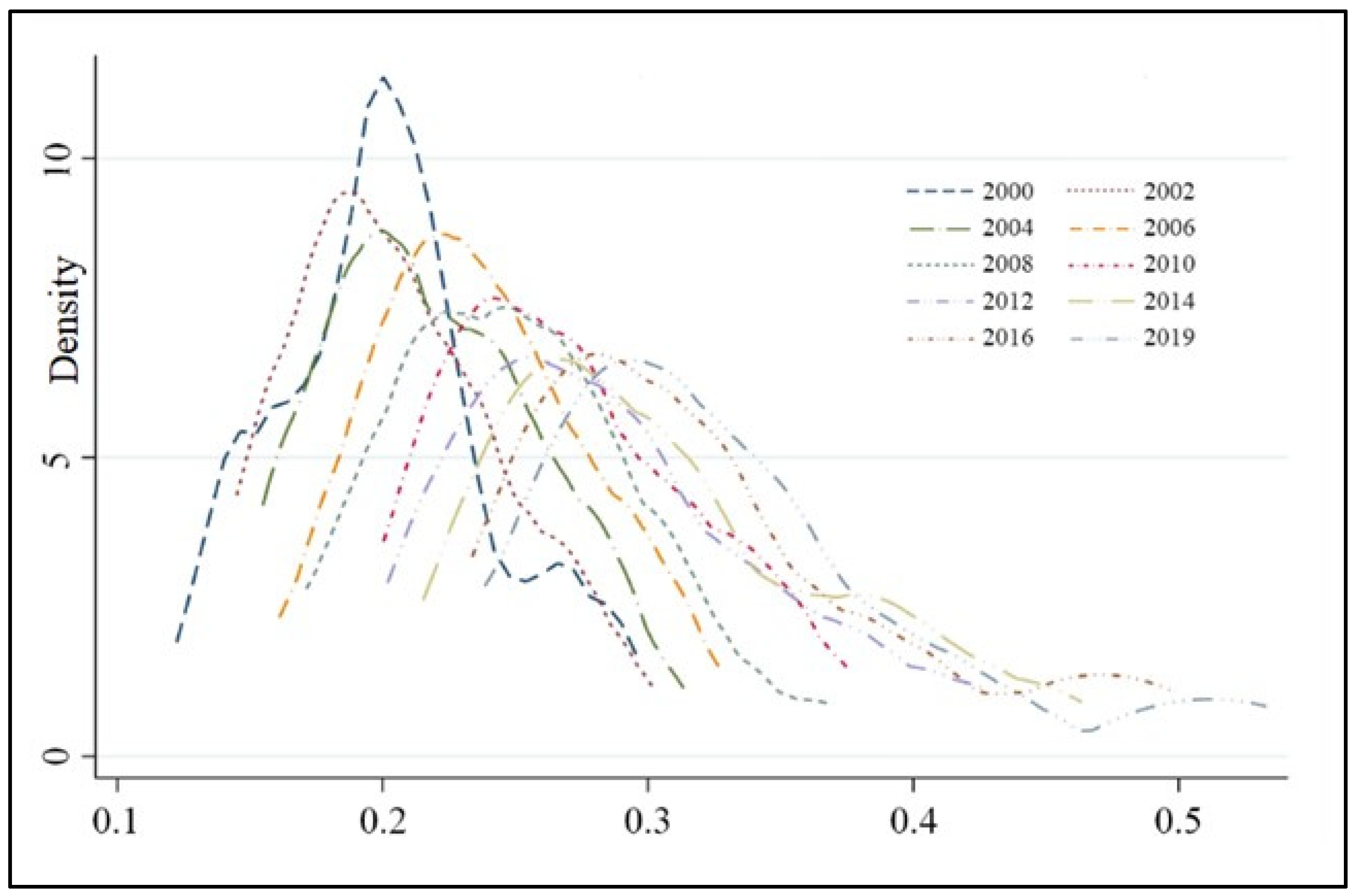
4.2.1. Overall Trend of ACEE
4.2.2. Spatiotemporal Evolution Characteristics of ACEE
4.2.3. Spatial Agglomeration Characteristics of ACEE
4.3. Spatial Econometric Analysis of the Impact of AM on the ACEE
4.3.1. Estimation Results of SDM
4.3.2. Decomposition of Spatial Spillovers
4.3.3. Threshold Regression Results
4.3.4. Endogenous Analysis
5. Discussion
5.1. Strategies to Enhance Agricultural Modernization
5.2. Limitations
6. Conclusions
Author Contributions
Funding
Institutional Review Board Statement
Data Availability Statement
Conflicts of Interest
References
- Ye, S.; Song, C.; Shen, S.; Gao, P.; Cheng, C.; Cheng, F.; Wan, C.; Zhu, D. Spatial pattern of arable land-use intensity in China. Land Use Policy 2020, 99, 104845. [Google Scholar] [CrossRef]
- Yang, H.; Wang, X.; Bin, P. Agriculture carbon-emission reduction and changing factors behind agricultural eco-efficiency growth in China. J. Clean. Prod. 2022, 334, 130193. [Google Scholar] [CrossRef]
- Ito, J.; Li, X. Interplay between China’s grain self-sufficiency policy shifts and interregional, intertemporal productivity differences. Food Policy 2023, 117, 102446. [Google Scholar] [CrossRef]
- Huang, J.-k.; Wei, W.; Cui, Q.; Xie, W. The prospects for China’s food security and imports: Will China starve the world via imports? J. Integr. Agric. 2017, 16, 2933–2944. [Google Scholar] [CrossRef]
- Wei, H. Structural contradiction and policy transformation of agricultural development in China. Chin. Rural Econ. 2017, 5, 2. (In Chinese) [Google Scholar]
- Tian, Y.; Zhang, J.; Li, B. Research on spatial-temporal characteristics and factor decomposition of agricultural carbon emission based on input angle-taking Hubei Province for example. Res. Agric. Mod. 2011, 32, 752–755. (In Chinese) [Google Scholar]
- Bai, Y.; Deng, X.; Jiang, S.; Zhao, Z.; Miao, Y. Relationship between climate change and low-carbon agricultural production: A case study in Hebei Province, China. Ecol. Indic. 2019, 105, 438–447. [Google Scholar] [CrossRef]
- Gao, P.; Yue, S.; Chen, H. Carbon emission efficiency of China’s industry sectors: From the perspective of embodied carbon emissions. J. Clean. Prod. 2021, 283, 124655. [Google Scholar] [CrossRef]
- Liu, Y.; Gan, H.; Wang, D. Analysis of the agricultural modernization level and comparative advantage in Northeast China. Syst. Sci. Compr. Stud. Agric. 2005, 21, 149–153. (In Chinese) [Google Scholar]
- Yang, F. Impact of agricultural modernization on agricultural carbon emissions in China: A study based on the spatial spillover effect. Environ. Sci. Pollut. Res. 2023, 30, 91300–91314. [Google Scholar] [CrossRef]
- Li, J.; Li, S.; Liu, Q.; Ding, J. Agricultural carbon emission efficiency evaluation and influencing factors in Zhejiang province, China. Front. Environ. Sci. 2022, 10, 1005251. [Google Scholar] [CrossRef]
- Han, H.; Zhong, Z.; Guo, Y.; Xi, F.; Liu, S. Coupling and decoupling effects of agricultural carbon emissions in China and their driving factors. Environ. Sci. Pollut. Res. 2018, 25, 25280–25293. [Google Scholar] [CrossRef]
- Du, J.; Liang, L.; Zhu, J. A slacks-based measure of super-efficiency in data envelopment analysis: A comment. Eur. J. Oper. Res. 2010, 204, 694–697. [Google Scholar] [CrossRef]
- Tan, G. Studying Agricultural Modernization Experience of Developed Countries, Managing Six Pairs of Relations in Agricultural Modernization of China. Res. Agric. Mod. 2005, 26, 62–65. (In Chinese) [Google Scholar]
- Diederen, P.; Van Meijl, H.; Wolters, A. Modernisation in agriculture: What makes a farmer adopt an innovation? Int. J. Agric. Resour. Gov. Ecol. 2003, 2, 328–342. [Google Scholar] [CrossRef]
- Liu, D.; Zhu, X.; Wang, Y. China’s agricultural green total factor productivity based on carbon emission: An analysis of evolution trend and influencing factors. J. Clean. Prod. 2021, 278, 123692. [Google Scholar] [CrossRef]
- Huang, T.; Xiong, B. Space Comparison of Agricultural Green Growth in Agricultural Modernization: Scale and Quality. Agriculture 2022, 12, 1067. [Google Scholar] [CrossRef]
- Yu, D.; Liu, L.; Gao, S.; Yuan, S.; Shen, Q.; Chen, H. Impact of carbon trading on agricultural green total factor productivity in China. J. Clean. Prod. 2022, 367, 132789. [Google Scholar] [CrossRef]
- Zhang, P.; Yuan, H.; Tian, X. Sustainable development in China: Trends, patterns, and determinants of the “Five Modernizations” in Chinese cities. J. Clean. Prod. 2019, 214, 685–695. [Google Scholar] [CrossRef]
- Liu, Z.; Jia, S.; Wang, Z.; Guo, C.; Niu, Y. A Measurement Model and Empirical Analysis of the Coordinated Development of Rural E-Commerce Logistics and Agricultural Modernization. Sustainability 2022, 14, 13758. [Google Scholar] [CrossRef]
- Peng, C.; Ma, B.; Zhang, C. Poverty alleviation through e-commerce: Village involvement and demonstration policies in rural China. J. Integr. Agric. 2021, 20, 998–1011. [Google Scholar] [CrossRef]
- Carof, M.; Colomb, B.; Aveline, A. A guide for choosing the most appropriate method for multi-criteria assessment of agricultural systems according to decision-makers’ expectations. Agric. Syst. 2013, 115, 51–62. [Google Scholar] [CrossRef]
- Zhang, Z.; Li, Y.; Elahi, E.; Wang, Y. Comprehensive Evaluation of Agricultural Modernization Levels. Sustainability 2022, 14, 5069. [Google Scholar] [CrossRef]
- Lobão, M.S.P.; Staduto, J.A.R. Modernização agrícola na Amazônia brasileira. Rev. De Econ. E Sociol. Rural 2020, 58, e188276. [Google Scholar] [CrossRef]
- Kansanga, M.; Andersen, P.; Kpienbaareh, D.; Mason-Renton, S.; Atuoye, K.; Sano, Y.; Antabe, R.; Luginaah, I. Traditional agriculture in transition: Examining the impacts of agricultural modernization on smallholder farming in Ghana under the new Green Revolution. Int. J. Sustain. Dev. World Ecol. 2019, 26, 11–24. [Google Scholar] [CrossRef]
- Xia, M.; Zeng, D.; Huang, Q.; Chen, X. Coupling Coordination and Spatiotemporal Dynamic Evolution between Agricultural Carbon Emissions and Agricultural Modernization in China 2010–2020. Agriculture 2022, 12, 1809. [Google Scholar] [CrossRef]
- Liu, Y.; Li, H.; Ma, H. Evaluation of Agricultural Modernization of State Farms: Based on Entropy Weight Method and TOPSIS Method. Issues Agric. Econ. 2021, 2, 107–116. (In Chinese) [Google Scholar]
- Yan, Z.; Peng, L.; Wu, X. Evaluation System for Agricultural and Rural Modernization in China. Agriculture 2023, 13, 1930. [Google Scholar] [CrossRef]
- Tian, Y.; Huang, J.; An, M. Evaluation on the Efficiency of Agricultural Modernization under the ural evitalization Strategy: Based on the Combined Analysis of Super-fficiency DEA and Comprehensive Entropy Method. Issues Agric. Econ. 2021, 100–113. (In Chinese) [Google Scholar]
- Dong, F.; Li, Y.; Gao, Y.; Zhu, J.; Qin, C.; Zhang, X. Energy transition and carbon neutrality: Exploring the non-linear impact of renewable energy development on carbon emission efficiency in developed countries. Resour. Conserv. Recycl. 2022, 177, 106002. [Google Scholar] [CrossRef]
- Mielnik, O.; Goldemberg, J. Communication The evolution of the “carbonization index” in developing countries. Energy Policy 1999, 27, 307–308. [Google Scholar] [CrossRef]
- Wang, R.; Feng, Y. Research on China’s agricultural carbon emission efficiency evaluation and regional differentiation based on DEA and Theil models. Int. J. Environ. Sci. Technol. 2021, 18, 1453–1464. [Google Scholar] [CrossRef]
- Syp, A.; Faber, A.; Borzecka-Walker, M.; Osuch, D. Assessment of Greenhouse Gas Emissions in Winter Wheat Farms Using Data Envelopment Analysis Approach. Pol. J. Environ. Stud. 2015, 24, 2197–2203. [Google Scholar] [CrossRef] [PubMed]
- Tengyu, S.; Xia, Y.; Hu, C.; Zhang, S.; Zhang, J.; Xiao, Y.; Fangfang, D. Analysis of regional agricultural carbon emission efficiency and influencing factors: Case study of Hubei Province in China. PLoS ONE 2022, 17, e0266172. [Google Scholar]
- Shu, Q.; Su, Y.; Li, H.; Li, F.; Zhao, Y.; Du, C. Study on the Spatial Structure and Drivers of Agricultural Carbon Emission Efficiency in Belt and Road Initiative Countries. Sustainability 2023, 15, 10720. [Google Scholar] [CrossRef]
- Su, Y.; Ma, H.; Li, F. Xinjiang agriculture and animal husbandry carbon emissions and its decoupling relationship with agricultural economic growth. Arid Land Geogr. 2014, 37, 1047–1054. (In Chinese) [Google Scholar]
- Johnson, J.M.F.; Franzluebbers, A.J.; Weyers, S.L.; Reicosky, D.C. Agricultural opportunities to mitigate greenhouse gas emissions. Environ. Pollut. 2007, 150, 107–124. [Google Scholar] [CrossRef] [PubMed]
- Tian, Y.; Zhang, J.-B.; He, Y.-Y. Research on Spatial-Temporal Characteristics and Driving Factor of Agricultural Carbon Emissions in China. J. Integr. Agric. 2014, 13, 1393–1403. [Google Scholar] [CrossRef]
- MacLeod, M.; Moran, D.; Eory, V.; Rees, R.M.; Barnes, A.; Topp, C.F.E.; Ball, B.; Hoad, S.; Wall, E.; McVittie, A.; et al. Developing greenhouse gas marginal abatement cost curves for agricultural emissions from crops and soils in the UK. Agric. Syst. 2010, 103, 198–209. [Google Scholar] [CrossRef]
- Ye, R.; Qi, Y.; Zhu, W. Impact of Agricultural Industrial Agglomeration on Agricultural Environmental Efficiency in China: A Spatial Econometric Analysis. Sustainability 2023, 15, 10799. [Google Scholar] [CrossRef]
- Xie, H.; Wu, X. Impact and its mechanism of urban- rural integration on the efficiency of agricultural carbon emissions in China. Resour. Sci. 2023, 45, 48–61. (In Chinese) [Google Scholar] [CrossRef]
- Wu, H.; Huang, H.; Chen, W.; Meng, Y. Estimation and spatiotemporal analysis of the carbon-emission efficiency of crop production in China. J. Clean. Prod. 2022, 371, 133516. [Google Scholar] [CrossRef]
- Gong, R.; Xie, L.; Wang, Y. Interactive mechanism and empirical test of agricultural high-quality development and new urbanization. Reform 2020, 7, 145–159. (In Chinese) [Google Scholar]
- Liu, C.; Wang, X.; Bai, Z.; Wang, H.; Li, C. Does Digital Technology Application Promote Carbon Emission Efficiency in Dairy Farms? Evidence from China. Agriculture 2023, 13, 904. [Google Scholar] [CrossRef]
- Bai, L.; Qiao, Q.; Yao, Y.; Guo, J.; Xie, M. Insights on the development progress of National Demonstration eco-industrial parks in China. J. Clean. Prod. 2014, 70, 4–14. [Google Scholar] [CrossRef]
- Tone, K. A slacks-based measure of efficiency in data envelopment analysis. Eur. J. Oper. Res. 2001, 130, 498–509. [Google Scholar] [CrossRef]
- Zhang, J.; Zeng, W.; Wang, J.; Yang, F.; Jiang, H. Regional low-carbon economy efficiency in China: Analysis based on the Super-SBM model with CO2 emissions. J. Clean. Prod. 2017, 163, 202–211. [Google Scholar] [CrossRef]
- Zhao, Y.; Wang, S.; Zhang, Z.; Liu, Y.; Ahmad, A. Driving factors of carbon emissions embodied in China–US trade: A structural decomposition analysis. J. Clean. Prod. 2016, 131, 678–689. [Google Scholar] [CrossRef]
- Zhang, L.; Pang, J.; Chen, X.; Lu, Z. Carbon emissions, energy consumption and economic growth: Evidence from the agricultural sector of China’s main grain-producing areas. Sci. Total Environ. 2019, 665, 1017–1025. [Google Scholar] [CrossRef] [PubMed]
- Li, B.; Zhang, J.; Li, H. Research on Spatial-temporal Characteristics and Affecting Factors Decomposition of Agricultural Carbon Emission in China. China Popul. Resour. Environ. 2011, 21, 80–86. (In Chinese) [Google Scholar]
- Intergovernmental Panel on Climate Change. Climate Change 2007—Mitigation of Climate Change: Working Group III Contribution to the Fourth Assessment Report of the IPCC; Cambridge University Press: Cambridge, UK, 2007. [Google Scholar]
- Tian, C.; Chen, Y. China’s provincial agricultural carbon emissions measurement and low carbonization level evaluation: Based on the application of derivative indicators and TOPSIS. J. Nat. Resour. 2021, 36, 395. (In Chinese) [Google Scholar] [CrossRef]
- Wan, Z.; Liang, J.; Kang, Y.; Fang, W.; Lin, W. Monitoring and Empirical Analysis on Level of Guangdong Province Agricultural Modernization. Res. Agric. Mod. 2011, 32, 641–645. (In Chinese) [Google Scholar]
- Tian, Y.; Lin, Z. Coupling coordination between agricultural carbon emission efficiency and economic growth at provincial level in China. China Popul. Resour. Environ. 2022, 32, 13–22. (In Chinese) [Google Scholar]
- Fu, J.; Li, H. Study on the Spatio-temporal Heterogeneity of Agricultural Water use efficiency and influencing factors in the Yellow River Basin. Chin. J. Agric. Resour. Reg. Plan. 2022, 43, 77–89. (In Chinese) [Google Scholar]
- Tobler, W.R. A Computer Movie Simulating Urban Growth in the Detroit Region. Econ. Geogr. 1970, 46, 234–240. [Google Scholar] [CrossRef]
- Moran, P.A. Notes on continuous stochastic phenomena. Biometrika 1950, 37, 17–23. [Google Scholar] [CrossRef] [PubMed]
- Anselin, L. Local Indicators of Spatial Association—LISA. Geogr. Anal. 1995, 27, 93–115. [Google Scholar] [CrossRef]
- Chang, Y.; Zhang, H.; Shi, B.; Zhang, X. The Dynamic Evolution and Trend Prediction of China’s Agricultural Modernization Development Level. Econ. Probl. 2022, 5, 82–89. (In Chinese) [Google Scholar]
- Hansen, B.E. Threshold effects in non-dynamic panels: Estimation, testing, and inference. J. Econom. 1999, 93, 345–368. [Google Scholar] [CrossRef]
- Wang, F.Y.G. Key Issues and Path Selections of Agricultural Green Development in Main Grain Producing Areas. Chongqing Soc. Sci. 2022, 7, 6–18. (In Chinese) [Google Scholar]
- Pace, K.; Lesage, J. Spatial Econometric Modeling of Origin-Destination Flows. J. Reg. Sci. 2008, 48, 941–967. [Google Scholar]
- Yang Liu, S.C. Study on Chinese agaricultural EKC: Evidence from Fertilizer. Chin. Agric. Sci. Bull. 2009, 25, 263–267. (In Chinese) [Google Scholar]
- Yang, L.; Li, Z. Technology advance and the carbon dioxide emission in China—Empirical research based on the rebound effect. Energy Policy 2017, 101, 150–161. [Google Scholar] [CrossRef]
- Hao, H.; Liu, C.; Xin, L. Measurement and Dynamic Trend Research on the Development Level of Rural Industry Integration in China. Agriculture 2023, 13, 2245. [Google Scholar] [CrossRef]
- Han, H.; Lin, H. Patterns of Agricultural Diversification in China and Its Policy Implications for Agricultural Modernization. Int. J. Environ. Res. Public Health 2021, 18, 4978. [Google Scholar] [CrossRef] [PubMed]
- Zhu, X.; Wang, G. Impact of Agricultural Cooperatives on Farmers’ Collective Action: A Study Based on the Socio-Ecological System Framework. Agriculture 2024, 14, 96. [Google Scholar] [CrossRef]
- Wang, H.; Qiu, T. The effects of farmer cooperatives on agricultural carbon emissions reduction: Evidence from rural China. J. Clean. Prod. 2024, 450, 141881. [Google Scholar] [CrossRef]
- Zhong, Z.; Jiang, W.; Li, Y. Bridging the gap between smallholders and modern agriculture: Full insight into China’s agricultural cooperatives. J. Rural Stud. 2023, 101, 103037. [Google Scholar] [CrossRef]









| First-Class Index | Second-Class Index | Description | Attribution | Weights (%) |
|---|---|---|---|---|
| Agricultural production and management system | Stability in rice and wheat production (%) | Rice and wheat production in the current year/Average production over the last five years | + | 2.20 |
| Proportion of livestock production value in total agricultural output value (%) | (Animal husbandry output value + fishing industry output value)/Total output value of agriculture, animal husbandry, forestry and fishing industry | + | 8.43 | |
| The proportion of added value of agriculture, animal husbandry, forestry, and fishing industry services to the added value of agriculture, animal husbandry, forestry, and fishing industry sectors (%) | Added value of agriculture, animal husbandry, forestry, and fishing industry services/Added value of agriculture, animal husbandry, forestry, and fishing industry | + | 4.64 | |
| Added value of primary production as % of GDP (%) | Added value of primary sector/GDP | + | 8.30 | |
| Agricultural mechanization (kw/hm2) | Total power of agricultural machinery/cultivated land area | + | 11.56 | |
| Effective irrigation rate (%) | Effective irrigated area/cultivated land area | + | 6.20 | |
| Quality benefits | Agricultural labor productivity (10,000 CNY/person) | Added value of agriculture, animal husbandry, forestry, and fishing industry/number of primary industry workers | + | 8.83 |
| Agricultural land output rate(10,000 CNY/hm2) | Added value of agriculture, animal husbandry, forestry, and fishing/sown area | + | 5.62 | |
| Rural residents’ disposable income per capita (CNY 10,000) | Obtained directly | + | 9.11 | |
| Rural Internet penetration rate (%) | Rural telephone subscribers at year-end/Total rural households | + | 7.56 | |
| Green development | Water consumption of CNY 10,000 of the added value of agriculture, forestry, animal husbandry, and fishing industry (m3) | Agricultural water use/Value added in agriculture, forestry, animal husbandry, fishing | − | 2.05 |
| Energy consumption of CNY 10,000 of the added value of agriculture, forestry, animal husbandry, and fishing industry (ton of standard coal) | Total energy consumption/Value added in agriculture, forestry, animal husbandry, and fishing industry | − | 1.94 | |
| Proportion of pesticide reduction (%) | (Current year’s pesticide use—previous year’s pesticide use)/previous year’s pesticide use | − | 1.86 | |
| Proportion of fertilizer reduction (%) | (Current year’s fertilizers use—previous year’s fertilizers use)/previous year’s pesticide use | − | 1.47 | |
| Support and protection | The proportion of expenditure on agriculture, forestry, and water conservancy of the added value of agriculture, forestry, animal husbandry, and fishing (%) | Spending on agriculture, forestry, and water conservancy/Added value of agriculture, forestry, animal husbandry, and fishing | + | 3.97 |
| Agricultural loan inputs for fishing, forestry, animal husbandry, and agriculture per unit (%) | Balance of agriculture-related loans/Added value of agriculture, forestry, animal husbandry, and fishing industry | + | 10.48 | |
| Depth of insurance in agriculture (%) | Agricultural premium income/Added value of agriculture, forestry, animal husbandry, and fishing industry | + | 5.78 |
| Index | Variables | Description |
|---|---|---|
| Resource input | Land input | Crop sown area/1000 hm2 |
| Pesticides inputs | Pesticides use/10,000 t | |
| Labor input | Employment in the primary sector/10,000 people | |
| Mechanical input | Gross power of agricultural machinery/10,000 kw | |
| Water input | Effective irrigated area/1000 hm2 | |
| Fertilizer input | Agricultural fertilizer applications/10,000 t | |
| Agricultural film input | Agricultural film use/10,000 t | |
| Energy input | Agricultural diesel use/10,000 t | |
| Expected output | Agricultural output | Added value of agriculture, forestry, animal husbandry, and fishing industry/CNY 100 million |
| Undesirable output | Carbon emission | Agricultural carbon emission/10,000 t |
| Year | 0–1 Neighborhood Weight Matrix | Year | 0–1 Neighborhood Weight Matrix | Year | Geographic Distance Weighting Matrix | Year | Geographic Distance Weighting Matrix |
|---|---|---|---|---|---|---|---|
| 2000 | 0.517 *** | 2010 | 0.619 *** | 2000 | 0.110 *** | 2010 | 0.163 *** |
| 2001 | 0.592 *** | 2011 | 0.603 *** | 2001 | 0.124 *** | 2011 | 0.167 *** |
| 2002 | 0.612 *** | 2012 | 0.612 *** | 2002 | 0.130 *** | 2012 | 0.165 *** |
| 2003 | 0.568 *** | 2013 | 0.598 *** | 2003 | 0.115 *** | 2013 | 0.171 *** |
| 2004 | 0.548 *** | 2014 | 0.586 *** | 2004 | 0.123 *** | 2014 | 0.166 *** |
| 2005 | 0.567 *** | 2015 | 0.584 *** | 2005 | 0.137 *** | 2015 | 0.168 *** |
| 2006 | 0.515 *** | 2016 | 0.542 *** | 2006 | 0.114 *** | 2016 | 0.152 *** |
| 2007 | 0.509 *** | 2017 | 0.521 *** | 2007 | 0.125 *** | 2017 | 0.140 *** |
| 2008 | 0.550 *** | 2018 | 0.469 *** | 2008 | 0.143 *** | 2018 | 0.113 *** |
| 2009 | 0.595 *** | 2019 | 0.439 *** | 2009 | 0.155 *** | 2019 | 0.099 *** |
| Year | 0–1 Neighborhood Weight Matrix | Year | 0–1 Neighborhood Weight Matrix | Year | Geographic Distance Weighting Matrix | Year | Geographic Distance Weighting Matrix |
|---|---|---|---|---|---|---|---|
| 2000 | 0.153 *** | 2010 | 0.310 *** | 2000 | 0.019 *** | 2010 | 0.054 *** |
| 2001 | 0.138 *** | 2011 | 0.289 *** | 2001 | 0.013 *** | 2011 | 0.066 *** |
| 2002 | 0.410 *** | 2012 | 0.253 *** | 2002 | 0.065 *** | 2012 | 0.046 ** |
| 2003 | 0.434 *** | 2013 | 0.217 ** | 2003 | 0.071 *** | 2013 | 0.020 * |
| 2004 | 0.376 *** | 2014 | 0.226 *** | 2004 | 0.061 *** | 2014 | 0.025 * |
| 2005 | 0.432 *** | 2015 | 0.272 *** | 2005 | 0.071 *** | 2015 | 0.057 *** |
| 2006 | 0.462 *** | 2016 | 0.257 *** | 2006 | 0.086 *** | 2016 | 0.073 *** |
| 2007 | 0.360 *** | 2017 | 0.245 ** | 2007 | 0.048 ** | 2017 | 0.072 *** |
| 2008 | 0.286 *** | 2018 | 0.249 ** | 2008 | 0.030 ** | 2018 | 0.062 *** |
| 2009 | 0.359 *** | 2019 | 0.211 ** | 2009 | 0.060 *** | 2019 | 0.025 ** |
| Variables | VIF | 1/VIF |
|---|---|---|
| am | 3.09 | 0.324 |
| gdp | 2.62 | 0.381 |
| urb | 3.15 | 0.318 |
| indus | 1.26 | 0.797 |
| rdjf | 2.54 | 0.394 |
| open | 2.84 | 0.353 |
| dis | 1.22 | 0.816 |
| Mean VIF | 2.39 |
| Test | 0–1 Neighborhood Weight Matrix | Geographic Distance Weighting matrix |
|---|---|---|
| LM (lag) test | 171.180 *** | 234.706 *** |
| Robust LM (lag) test | 92.053 *** | 116.239 *** |
| LM (error) test | 84.115 *** | 132.421 *** |
| Robust LM (error) test | 4.989 ** | 13.954 *** |
| LR test (SDM or SAR) | 26.53 *** | 34.06 *** |
| LR test (SDM or SEM) | 71.49 *** | 87.55 *** |
| Wald test | 63.77 *** | 55.45 *** |
| Variables | 0–1 Neighborhood Weight Matrix | Geographic Distance Weighting Matrix |
|---|---|---|
| am | 0.397 * (0.205) | 0.506 *** (0.191) |
| gdp | 0.000 *** (0.000) | 0.000 *** (0.000) |
| urb | −0.001 (0.001) | −0.002 (0.001) |
| indus | −0.002 ** (0.001) | −0.002 *** (0.001) |
| rdjf | −10.669 *** (1.619) | −8.562 *** (1.537) |
| open | −0.000 ** (0.000) | −0.000 (0.000) |
| dis | −0.000 (0.000) | −0.000 (0.000) |
| w×am | 0.848 ** (0.363) | 0.487 *** (0.714) |
| w×gdp | 0.000 ** (0.000) | 0.000 (0.000) |
| w×urb | 0.002 (0.002) | 0.006 ** (0.003) |
| w×indus | −0.004 *** (0.001) | −0.015 *** (0.003) |
| w×rdjf | 2.098 (3.228) | 4.179 (5.999) |
| w×open | −0.000 ** (0.0000540) | −0.000 (0.000119) |
| w×dis | −0.001 ** (0.000466) | −0.000 (0.000836) |
| R2 | 0.484 | 0.496 |
| ρ | 0.378 *** (0.0513) | 0.425 *** (0.0826) |
| Effects | Variables | 0–1 Neighborhood Weight Matrix | Geographic Distance Weighting Matrix |
|---|---|---|---|
| Direct effect | am | 0.507 ** (2.509) | 0.535 *** (2.676) |
| gdp | 0.000 *** (7.663) | 0.000 *** (5.681) | |
| urb | −0.001 (−0.503) | −0.001 (−1.374) | |
| indus | −0.002 *** (−3.126) | −0.003 ** (−4.088) | |
| rdjf | −10.834 *** (−6.452) | −8.536 *** (−5.706) | |
| open | −0.000 ** (−2.393) | −0.000 (−1.126) | |
| dis | −0.000 (−0.542) | −0.000 (−0.629) | |
| Indirect effect | am | 1.472 *** (2.866) | 1.146 *** (0.923) |
| gdp | 0.000 *** (4.082) | 0.000 ** (2.064) | |
| urb | 0.002 (1.026) | 0.00835 * (1.894) | |
| indus | −0.006 *** (−3.496) | −0.027 *** (−4.512) | |
| rdjf | −2.677 (−0.528) | 1.245 (0.117) | |
| open | −0.000 *** (−2.771) | −0.000 * (−1.666) | |
| dis | −0.002 ** (−2.2290) | −0.001 (−0.3843) | |
| Total effect | am | 1.979 *** (3.7705) | 1.682 *** (1.2921) |
| gdp | 0.000 *** (5.9812) | 0.000 *** (2.9303) | |
| urb | 0.002 (0.7855) | 0.007 (1.5343) | |
| indus | −0.008 *** (−4.3348) | −0.029 *** (−4.7445) | |
| rdjf | −13.512 ** (−2.2208) | −7.291 (−0.6521) | |
| open | −0.000 *** (−3.0754) | −0.000 * (−1.7424) | |
| dis | −0.002 ** (−2.1632) | −0.001 (−0.4764) |
| Single Threshold | Double Threshold | Triple Threshold | |
|---|---|---|---|
| Threshold value | 0.3987 *** | 0.4192 *** | 0.2028 |
| Variable | Regression Coefficient | T Value |
|---|---|---|
| am (am ≤ 0.3987) | 1.574 *** | 8.20 |
| am (0.3987 < am ≤ 0.4192) | 2.120 *** | 11.11 |
| am (am > 0.4192) | 1.456 *** | 9.30 |
| gdp | 0.001 *** | 11.54 |
| urb | 0.005 *** | 5.16 |
| indus | −0.004 *** | −5.97 |
| rdjf | −9.098 *** | −5.55 |
| open | −0.174 *** | −3.58 |
| dis | −0.001 ** | −2.23 |
| R2 | 0.4946 |
| Variables | (1) | (2) |
|---|---|---|
| L_am | 0.984 *** (0.011) | |
| am | 1.484 *** (0.139) | |
| gdp | −0.005 (0.005) | 0.799 *** (0.060) |
| urb | 0.000 ** (0.000) | 0.001 * (0.001) |
| indus | 0.005 (0.006) | −0.728 *** (0.072) |
| rdjf | 0.054 (0.066) | −6.959 *** (0.813) |
| open | 0.003 (0.005) | −0.378 *** (0.056) |
| dis | −0.000 (0.000) | −0.002 *** (0.000) |
| _con | 0.004 (0.003) | 0.232 *** (0.037) |
| R2 | 0.979 | 0.564 |
| Phase I F value | 3674.24 |
Disclaimer/Publisher’s Note: The statements, opinions and data contained in all publications are solely those of the individual author(s) and contributor(s) and not of MDPI and/or the editor(s). MDPI and/or the editor(s) disclaim responsibility for any injury to people or property resulting from any ideas, methods, instructions or products referred to in the content. |
© 2024 by the authors. Licensee MDPI, Basel, Switzerland. This article is an open access article distributed under the terms and conditions of the Creative Commons Attribution (CC BY) license (https://creativecommons.org/licenses/by/4.0/).
Share and Cite
Zhang, S.; Li, X.; Nie, Z.; Wang, Y.; Li, D.; Chen, X.; Liu, Y.; Pang, J. The Significance of Agricultural Modernization Development for Agricultural Carbon Emission Efficiency in China. Agriculture 2024, 14, 939. https://doi.org/10.3390/agriculture14060939
Zhang S, Li X, Nie Z, Wang Y, Li D, Chen X, Liu Y, Pang J. The Significance of Agricultural Modernization Development for Agricultural Carbon Emission Efficiency in China. Agriculture. 2024; 14(6):939. https://doi.org/10.3390/agriculture14060939
Chicago/Turabian StyleZhang, Suhan, Xue Li, Zhen Nie, Yan Wang, Danni Li, Xingpeng Chen, Yiping Liu, and Jiaxing Pang. 2024. "The Significance of Agricultural Modernization Development for Agricultural Carbon Emission Efficiency in China" Agriculture 14, no. 6: 939. https://doi.org/10.3390/agriculture14060939
APA StyleZhang, S., Li, X., Nie, Z., Wang, Y., Li, D., Chen, X., Liu, Y., & Pang, J. (2024). The Significance of Agricultural Modernization Development for Agricultural Carbon Emission Efficiency in China. Agriculture, 14(6), 939. https://doi.org/10.3390/agriculture14060939

