The Effect of Combined Application of Biocontrol Microorganisms and Arbuscular Mycorrhizal Fungi on Plant Growth and Yield of Tomato (Solanum lycopersicum L.)
Abstract
1. Introduction
2. Materials and Methods
2.1. Microbial Inoculant and Measurements during Plant Growth
2.2. Measurement of Glutathione-S-Transferase (GST) Activity
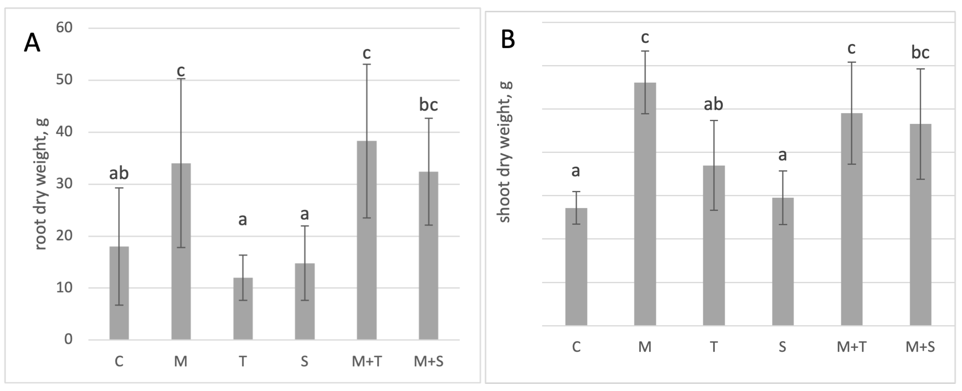
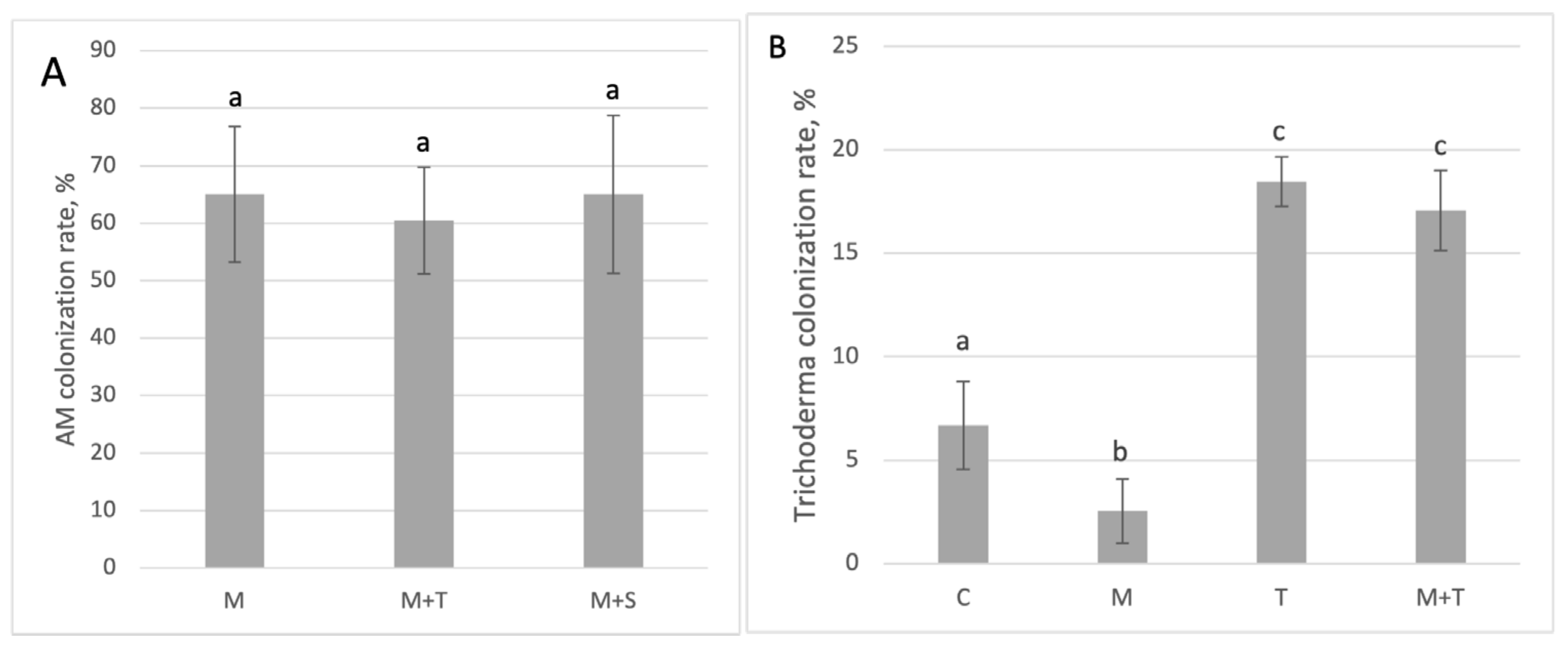
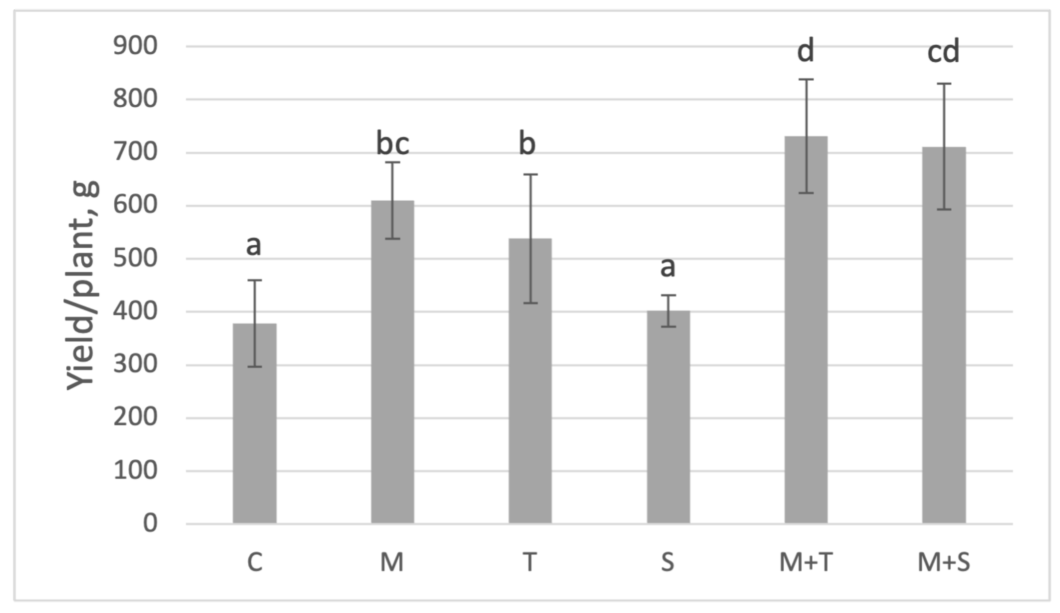
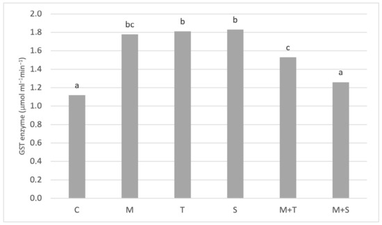
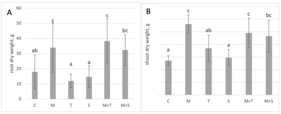
3. Results
4. Discussion
5. Conclusions
Author Contributions
Funding
Institutional Review Board Statement
Data Availability Statement
Conflicts of Interest
References
- FAO—Food and Agriculture Organization. FAOSTAT—Crops and Livestock Products. Available online: https://www.fao.org/faostat/en/#data/QCL (accessed on 30 March 2024).
- KSH—Központi Statisztikai Hivatal. Most Important Vegetables’ Crop Area. Available online: https://www.ksh.hu/stadat_files/mez/hu/mez0013.html (accessed on 30 March 2024).
- Mattoo, A.; Handa, A. Achieving Sustainable Cultivation of Tomatoes; Burleigh Dodds Science Publishing: Cambridge, UK, 2017; pp. xxii + 542. ISBN 978-1-78676-040-1. [Google Scholar]
- Kiss, J.; Delos, M. Implementing biopesticides as part of an integrated pest management (ipm) programme. In Biopesticides for Sustainable Agriculture; Birch, N., Travis, G., Eds.; Burleigh Dodds Science Publishing: London, UK, 2020; pp. 21–44. [Google Scholar] [CrossRef]
- Jalal, A.; Oliveira, C.E.D.S.; Rosa, P.A.L.; Galindo, F.S.; Teixeira Filho, M.C.M. Beneficial Microorganisms Improve Agricultural Sustainability under Climatic Extremes. Life 2023, 13, 1102. [Google Scholar] [CrossRef] [PubMed]
- Fasusi, O.A.; Babalola, O.O.; Adejumo, T.O. Harnessing of plant growth-promoting rhizobacteria and arbuscular mycorrhizal fungi in agroecosystem sustainability. CABI Agric. Biosci. 2023, 4, 26. [Google Scholar] [CrossRef]
- Hazra, S.; Dey, J.; Mukherjee, S.; Kalam, A.; Mal, C. Identification of Novel Microbial Strains for Reduced Pesticide Use in Millets. In Millet Rhizosphere; Springer: Singapore, 2023; pp. 97–120. [Google Scholar]
- Sweeney, C.J.; Bottoms, M.; Ellis, S.; Ernst, G.; Kimmel, S.; Loutseti, S.; Schimera, A.; Carniel, L.S.C.C.; Sharples, A.; Staab, F.; et al. Arbuscular Mycorrhizal Fungi and the Need for a Meaningful Regulatory Plant Protection Product Testing Strategy. Environ. Toxicol. Chem. 2022, 41, 1808–1823. [Google Scholar] [CrossRef] [PubMed]
- Wang, R.; Liu, C.; Jiang, X.; Tan, Z.; Li, H.; Xu, S.; Zhang, S.; Shang, Q.; Deising, H.; Behrest, S.-V.; et al. The Newly Identified Trichoderma harzianum Partitivirus (ThPV2) Does Not Diminish Spore Production and Biocontrol Activity of Its Host. Viruses 2022, 14, 1532. [Google Scholar] [CrossRef]
- van der Heijden, M.G.A.; Martin, F.M.; Selosse, M.-A.; Sanders, I.R. Mycorrhizal ecology and evolution: The past, the present, and the future. New Phytol. 2015, 205, 1406–1423. [Google Scholar] [CrossRef]
- Duc, N.H.; Csintalan, Z.; Posta, K. Arbuscular mycorrhizal fungi mitigate negative effects of combined drought and heat stress on tomato plants. Plant Physiol. Biochem. 2018, 32, 297–307. [Google Scholar] [CrossRef]
- Szentpéteri, V.; Mayer, Z.; Posta, K. Mycorrhizal symbiosis-induced abiotic stress mitigation through phosphate transporters in Solanum lycopersicum L. Plant Growth Regul. 2023, 99, 265–281. [Google Scholar] [CrossRef]
- Barea, J.M. Rhizosphere and Mycorrhiza of Field Crops. In Biological Resource Management Connecting Science and Policy; Springer: Berlin/Heidelberg, Germany, 2000; pp. 81–92. [Google Scholar]
- Srivastava, R.; Khalid, A.; Singh, U.S.; Sharma, A.K. Evaluation of arbuscular mycorrhizal fungus, fluorescent Pseudomonas and Trichoderma harzianum formulation against Fusarium oxysporum f. sp. lycopersici for the management of tomato wilt. Biol. Control 2010, 53, 24–31. [Google Scholar] [CrossRef]
- Dias, M.P.; Bastos, M.S.; Xavier, V.B.; Cassel, E.; Astarita, L.V.; Santarém, E.R. Plant growth and resistance promoted by Streptomyces spp. in tomato. Plant Physiol. Biochem. 2017, 118, 479–493. [Google Scholar] [CrossRef]
- Sood, M.; Kapoor, D.; Kumar, V.; Sheteiwy, M.S.; Ramakrishnan, M.; Landi, M.; Araniti, F.; Sharma, A. Trichoderma: The “Secrets” of a Multitalented Biocontrol Agent. Plants 2020, 9, 762. [Google Scholar] [CrossRef]
- Olamrewaju, O.A.; Babalola, O.O. Streptomyces: Implications and interactions in plant growth promotion. Appl. Microbiol. Biotechnol. 2019, 103, 1179–1188. [Google Scholar] [CrossRef] [PubMed]
- Suryaminarsih, P.; Harijani, W.S.; Mindari, W.; Wurjani, W. Study of Humic Acid and Multiantagonis of Streptomyces Sp, Trichoderma Sp Application Techniques for Horticulture Plant on Marginal Soil. In Proceedings of the International Conference on Science and Technology (ICST 2018), Bali, Indonesia, 18–19 October 2018. [Google Scholar] [CrossRef]
- Harman, G.E. Trichoderma—Not just for biocontrol anymore. Phytoparasitica 2011, 39, 103–108. [Google Scholar] [CrossRef]
- Tarigan, S.I.; Toth, S.; Szalai, M.; Kiss, J.; Turoczi, G.; Toepfer, S. Biological control properties of microbial plant biostimulants. A review. Biocontrol Sci. Technol. 2022, 32, 1351–1371. [Google Scholar] [CrossRef]
- Contreras-Cornejo, H.A.; Marcías-Rodrígeuez, L.; del-Val, E.; Larsen, J. Ecological functions of Trichoderma spp. and their secondary metabolites in the rhizosphere: Interactions with plants. FEMS Microbiol. Ecol. 2016, 92, fiw036. [Google Scholar] [CrossRef]
- Available online: https://ec.europa.eu/food/plant/pesticides/eu-pesticides-database/start/screen/active-substancesions (accessed on 23 February 2024).
- Felmann, F.; Idczak, E. Inoculum production of vesicular-arbuscular mycorrhizal fungi for use in tropical nurseries. In Methods in Microbiology; Harwood, C., Ed.; Elsevier: Amsterdam, The Netherlands, 1992; pp. 339–357. [Google Scholar]
- Vierheilig, H.; Coughlan, A.P.; Wyss, U.; Piché, Y. Ink and vinegar, a simple staining technique for arbuscular-mycorrhizal fungi. Appl. Environ. Microbiol. 1998, 64, 5004–5007. [Google Scholar] [CrossRef] [PubMed]
- Giovannetti, M.; Mosse, B. An evaluation of techniques for measuring vesicular-arbuscular mycorrhizal infection in roots. New Phytol. 1980, 84, 489–500. [Google Scholar] [CrossRef]
- Elad, Y.; Chet, I. Improved selective media for isolation of Trichoderma spp. or Fusarium spp. Phytoparasitica 1983, 11, 55–58. [Google Scholar] [CrossRef]
- Habig, W.H.; Pabst, M.J.; Jakoby, W.B. Glutathione S-transferases. The first enzymatix step in mercapturic acid formation. J. Biol. Chem. 1974, 249, 7130–7139. [Google Scholar] [CrossRef]
- Meddad-Hamza, A.; Benzina, F.; Meddad, C.; Hamza, N.; Reghmit, A.; Ziane, H.; Ksentini, H. Biological control of arbuscular mycorrhizal fungi and Trichoderma harzianum against Fusarium oxysporum and Verticillium dahliae induced wilt in tomato plants. Egypt. J. Biol. Pest Control 2023, 33, 91. [Google Scholar] [CrossRef]
- Mwangi, M.W.; Monda, E.O.; Okoth, S.A.; Jefwa, J.M. Inoculation of tomato seedlings with Trichoderma harzianum and Arbuscular Mycorrhizal Fungi and their effect on growth and control of wilt in tomato seedlings. Braz. J. Microbiol. 2011, 42, 508–513. [Google Scholar] [CrossRef]
- Martinez, A.; Obertello, M.; Pardo, A.; Godea, A. Interactions between Trichoderma pseudokoningii strains and the arbuscular mycorrhizal fungi Glomus mosseae and Gigaspora rosea. Mycorrhiza 2004, 14, 79–84. [Google Scholar] [CrossRef]
- Metwally, R.A.; Al-Amri, S.M. Individual and interactive role of Trichoderma viride and arbuscular mycorrhizal fungi on growth and pigment content of onion plants. Lett. Appl. Microbiol. 2020, 70, 79–86. [Google Scholar] [CrossRef] [PubMed]
- Metwally, R.A.; Soliman, S.A.; Lafet, A.A.H.A.; Abdelhameed, R.E. The individual and interactive role of arbuscular mycorrhizal fungi and Trichoderma viridae on growth, protein content, amino acids fractionation, and phosphatases enzyme activities of onion plants amended with fish waste. Ecotoxicol. Environ. Saf. 2021, 214, 112072. [Google Scholar] [CrossRef]
- Iula, G.; Miras-Moreno, B.; Lucini, L.; Trevisan, M. The Mycorrhiza-and Trichoderma-Mediated Elicitation of Secondary Metabolism and Modulation of Phytohormone Profile in Tomato Plants. Horticulturae 2021, 7, 394. [Google Scholar] [CrossRef]
- Wang, Y.; Liu, Y.; He, B.; Li, M.; Lin, X.; Wu, F.; Hu, J. Screening of Streptomyces strains helping arbuscular mycorrhizal symbiosis against pepper (Capsicum annuum L.) Phytophthora blight. Pedosphere 2024, 34, 438–446. [Google Scholar] [CrossRef]
- Ousley, M.A.; Lynch, J.M.; Whipps, J.M. Potential of Trichoderma spp. as consistent plant growth stimulators. Biol. Fertil. Soils 1994, 17, 85–90. [Google Scholar] [CrossRef]
- Stewart, A.; Hill, R. Applications of Trichoderma in Plant Growth Promotion. In Biotechnology and Biology of Trichoderma; Gupta, V.K., Schmoll, M., Herrera-Estrella, A., Upadhyay, R.S., Druzhinina, I., Tuohy, M.G., Eds.; Elsevier: Amsterdam, The Netherlands, 2014; pp. 415–418. [Google Scholar] [CrossRef]
- Pozo, M.J.; Zabalgogeazcoa, I.; Vazquez de Aldana, B.R.; Martinez-Medina, A. Untapping the potential of plant mycobiomes for applications in agriculture. Curr. Opin. Plant Biol. 2021, 60, 102034. [Google Scholar] [CrossRef]
- Yang, T.; Tedersoo, L.; Liu, X.; Gao, G.-F.; Dong, K.; Adams, J.M.; Chu, H. Fungi stabilize multi-kingdom community in a high elevation timberline ecosystem. iMeta 2022, 1, e49. [Google Scholar] [CrossRef]
- García-Sánchez, M.; Palma, J.M.; Ocampo, J.A.; García-Romera, I.; Aranda, E. Arbuscular mycorrhizal fungi alleviate oxidative stress induced by ADOR and enhance antioxidant responses of tomato plants. J. Plant Physiol. 2014, 171, 421–428. [Google Scholar] [CrossRef]
- Estévez, I.H.; Hernández, M.R. Plant Glutathione S-transferases: An overview. Plant Gene 2020, 23, 100233. [Google Scholar] [CrossRef]
- Liu, D.; Liu, Y.; Rao, J.; Wang, G.; Li, H.; Ge, F.; Chen, C. Overexpresssion of the glutathione S transferase Gene from Pyrus pyrifolia fruit improves tolerance to abiotic stress in transgenic tobacco plants. Mol. Biol. 2013, 47, 515–523. [Google Scholar] [CrossRef]
- Mayer, Z.; Dug, N.H.; Sasvári, Z.; Posta, K. How arbuscular mycorrhizal fungi influence the defense system of sunflower during different abiotic stresses. Acta Biol. Gungarica 2017, 68, 376–387. [Google Scholar] [CrossRef]
- Chen, S.; Yan, Y.; Wang, Y.; Wu, M.; Mao, Q.; Chen, Y.; Ren, J.; Liu, A.; Lin, X.; Ahammed, G. Trichoderma asperellum reduces phoxim residue in roots by promoting plant detoxification potential in Solanum lycopersicum L. Environ. Pollut. 2020, 259, 113893. [Google Scholar] [CrossRef] [PubMed]
- Ahsan, T.; Chen, J.; Zhao, X.; Irfan, M.; Wu, Y. Exometabolomix study of extracellular metabolites is tobacco plant induced by ethyl acetate extracts of Streptomyces diastatochromogenes KX852460. J. Radiat. Res. Appl. Sci. 2019, 12, 157–165. [Google Scholar] [CrossRef]
- El-Skarkawy, H.H.A.; Rashad, Y.M.; Elazab, N.T. Induction of multiple defense responses in wheat plants against stripe rust using mycorrhizal fungi and Streptomyces viridosporus HH1. Biocontrol 2023, 68, 525–535. [Google Scholar] [CrossRef]
- Rashad, Y.M.; Al-Askar, A.A.; Ghoneem, K.M.; Saber, W.; Hafez, E.E. Chitinolytic Streptomyces griseorubens E44G enhances the biocontrol efficacy against Fusarium wilt disease of tomato. Phytoparasitica 2017, 45, 227–237. [Google Scholar] [CrossRef]
- Rashad, Y.M.; Moussa, T.A.A. Biocontrol agents for fungal plant diseases management. In Cottage Industry of Biocontrol Agents and Their Applications: Practical Aspects to Deal Biologically with Pests and Stresses Facing Strategic Crops; El-Wakeil, N., Saleh, M., Abu-hashim, M., Eds.; Springer International Publishing: Cham, Switzerland, 2020; pp. 337–363. [Google Scholar]
- Harir, M.; Bendif, H.; Bellahcene, M.; Fortas, Z.; Pogni, R. Streptomyces Secondary Metabolites. In Basid Biology and Applications of Actinobacteria; Enany, S., Ed.; IntechOpen: London, UK, 2018; pp. 99–122. [Google Scholar] [CrossRef]
- Szczałba, M.; Kopta, T.; Gąstoł, M.; Sękara, A. Comprehensive insight into arbuscular mycorrhizal fungi, Trichoderma spp. and plant multilevel interactions with emphasis on biostimulation of horticultural crops. J. Appl. Microbiol. 2019, 127, 630–647. [Google Scholar] [CrossRef]





Disclaimer/Publisher’s Note: The statements, opinions and data contained in all publications are solely those of the individual author(s) and contributor(s) and not of MDPI and/or the editor(s). MDPI and/or the editor(s) disclaim responsibility for any injury to people or property resulting from any ideas, methods, instructions or products referred to in the content. |
© 2024 by the authors. Licensee MDPI, Basel, Switzerland. This article is an open access article distributed under the terms and conditions of the Creative Commons Attribution (CC BY) license (https://creativecommons.org/licenses/by/4.0/).
Share and Cite
Almuslimawi, A.A.A.; Kuchár, B.; Navas, S.E.A.; Turóczi, G.; Posta, K. The Effect of Combined Application of Biocontrol Microorganisms and Arbuscular Mycorrhizal Fungi on Plant Growth and Yield of Tomato (Solanum lycopersicum L.). Agriculture 2024, 14, 768. https://doi.org/10.3390/agriculture14050768
Almuslimawi AAA, Kuchár B, Navas SEA, Turóczi G, Posta K. The Effect of Combined Application of Biocontrol Microorganisms and Arbuscular Mycorrhizal Fungi on Plant Growth and Yield of Tomato (Solanum lycopersicum L.). Agriculture. 2024; 14(5):768. https://doi.org/10.3390/agriculture14050768
Chicago/Turabian StyleAlmuslimawi, Alaa Abdulkadhim A., Borbála Kuchár, Susana Estefania Araujo Navas, György Turóczi, and Katalin Posta. 2024. "The Effect of Combined Application of Biocontrol Microorganisms and Arbuscular Mycorrhizal Fungi on Plant Growth and Yield of Tomato (Solanum lycopersicum L.)" Agriculture 14, no. 5: 768. https://doi.org/10.3390/agriculture14050768
APA StyleAlmuslimawi, A. A. A., Kuchár, B., Navas, S. E. A., Turóczi, G., & Posta, K. (2024). The Effect of Combined Application of Biocontrol Microorganisms and Arbuscular Mycorrhizal Fungi on Plant Growth and Yield of Tomato (Solanum lycopersicum L.). Agriculture, 14(5), 768. https://doi.org/10.3390/agriculture14050768

