Utilization of Rhodopseudomonas palustris in Crop Rotation Practice Boosts Rice Productivity and Soil Nutrient Dynamics
Abstract
1. Introduction
2. Materials and Methods
2.1. Experimental Design and Setup
2.2. Preparation and Application of PNSB
2.3. Crop Management Practices
2.4. Field Data Collection
2.5. Antioxidant Enzyme Activity Analysis
2.6. Analysis of 5-Aminolevulinic Acid
2.7. Statistical Analysis
3. Results
3.1. Growing Environmental Conditions
3.2. Antioxidant Enzyme Activity
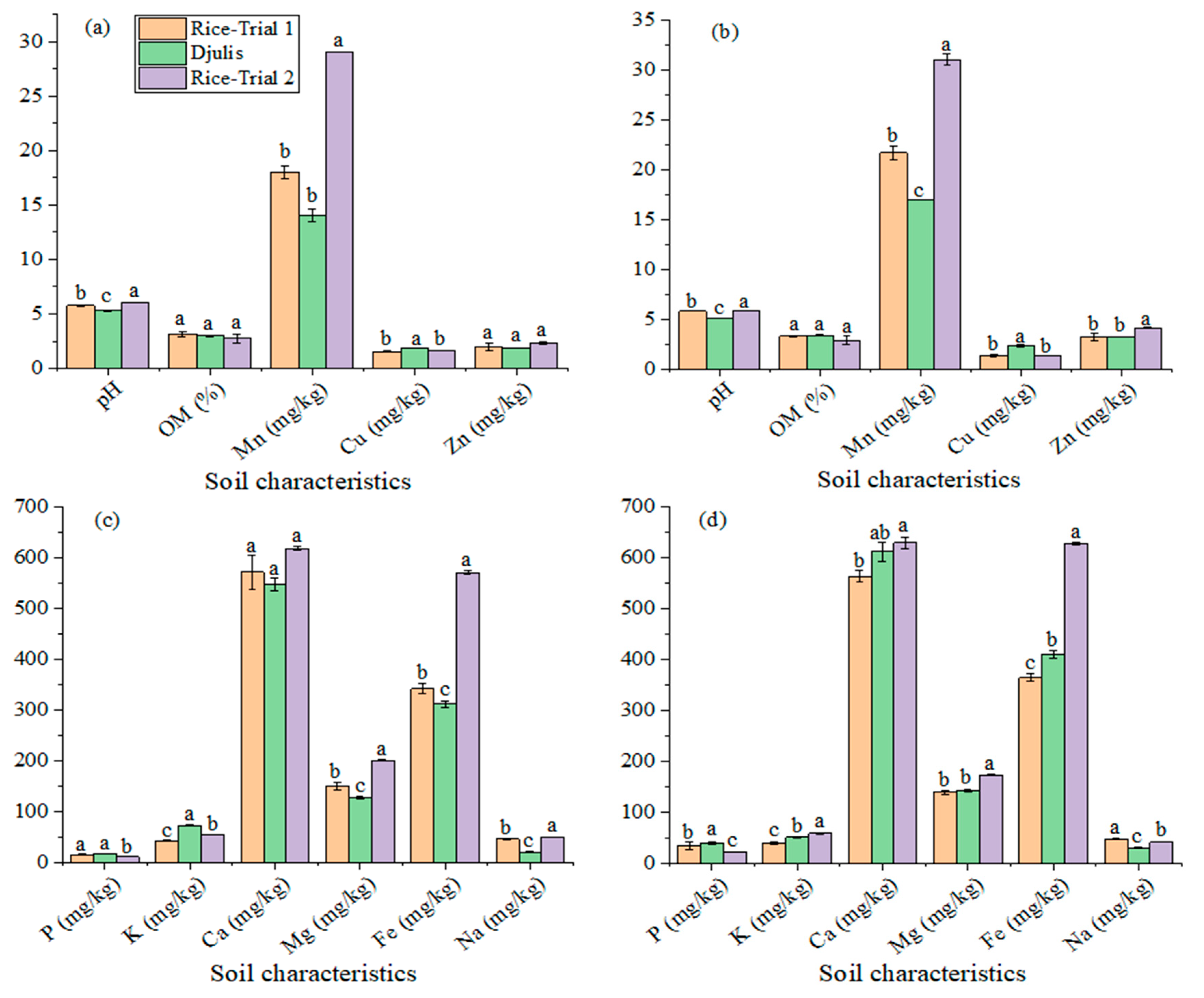
3.3. Soil Nutrient Change
3.4. Below-Ground Environment Conditions
3.5. Analysis of 5-Aminolevulinic Acid
3.6. Above-Ground Plant Performance
3.7. Below-Ground Plant Performance
3.8. Yield Components and Grain Metrics
3.9. Grain Yield and Resource Allocation
4. Discussion
4.1. Growing Environmental Conditions
4.2. Soil Nutrient Change
4.3. Synergetic Effects on Rice Growth and Yield
5. Conclusions
Author Contributions
Funding
Institutional Review Board Statement
Data Availability Statement
Acknowledgments
Conflicts of Interest
References
- Khush, G.S. Strategies for Increasing the Yield Potential of Cereals: Case of Rice as an Example. Stud. Plant Sci. 2013, 132, 433–436. [Google Scholar] [CrossRef]
- Kumar, N.; Chhokar, R.S.; Meena, R.P.; Kharub, A.S.; Gill, S.C.; Tripathi, S.C.; Gupta, O.P.; Mangrauthia, S.K.; Sundaram, R.M.; Sawant, C.P.; et al. Challenges and Opportunities in Productivity and Sustainability of Rice Cultivation System: A Critical Review in Indian Perspective. Cereal Res. Commun. 2022, 50, 573–601. [Google Scholar] [CrossRef]
- Nguyen, N.; Ferrero, A. Meeting the Challenges of Global Rice Production. Paddy Water Environ. 2006, 4, 1–9. [Google Scholar] [CrossRef]
- Prasad, R.; Shivay, Y.S.; Kumar, D. Current Status, Challenges, and Opportunities in Rice Production. In Rice Production Worldwide; Chauhan, B.S., Jabran, K., Mahajan, G., Eds.; Springer International Publishing: Cham, Switzerland, 2017; pp. 1–32. ISBN 978-3-319-47516-5. [Google Scholar]
- Baweja, P.; Kumar, S.; Kumar, G. Fertilizers and Pesticides: Their Impact on Soil Health and Environment. In Soil Health; Giri, B., Varma, A., Eds.; Soil Biology; Springer International Publishing: Cham, Switzerland, 2020; pp. 265–285. ISBN 978-3-030-44364-1. [Google Scholar]
- Prashar, P.; Shah, S. Impact of Fertilizers and Pesticides on Soil Microflora in Agriculture. In Sustainable Agriculture Reviews: Volume 19; Lichtfouse, E., Ed.; Sustainable Agriculture Reviews; Springer International Publishing: Cham, Switzerland, 2016; pp. 331–361. ISBN 978-3-319-26777-7. [Google Scholar]
- Sharma, N.; Singhvi, R. Effects of Chemical Fertilizers and Pesticides on Human Health and Environment: A Review. Int. J. Agric. Environ. Biotechnol. 2017, 10, 675. [Google Scholar] [CrossRef]
- Srivastav, A.L. Chapter 6—Chemical Fertilizers and Pesticides: Role in Groundwater Contamination. In Agrochemicals Detection, Treatment and Remediation; Prasad, M.N.V., Ed.; Butterworth-Heinemann: Oxford, UK, 2020; pp. 143–159. ISBN 978-0-08-103017-2. [Google Scholar]
- Berg, H. Rice Monoculture and Integrated Rice-Fish Farming in the Mekong Delta, Vietnam—Economic and Ecological Considerations. Ecol. Econ. 2002, 41, 95–107. [Google Scholar] [CrossRef]
- Goulart, R.Z.; Reichert, J.M.; Rodrigues, M.F. Cropping Poorly-Drained Lowland Soils: Alternatives to Rice Monoculture, Their Challenges and Management Strategies. Agric. Syst. 2020, 177, 102715. [Google Scholar] [CrossRef]
- He, D.; Zhan, J.; Xie, L. Problems, Challenges and Future of Plant Disease Management: From an Ecological Point of View. J. Integr. Agric. 2016, 15, 705–715. [Google Scholar] [CrossRef]
- Dadhich, R.K.; Meena, R.S.; Reager, M.L.; Kansotia, B.C. Response of Bio-Regulators to Yield and Quality of Indian Mustard (Brassica Czernj. and Cosson) under Different Irrigation Environments. J. Appl. Nat. Sci. 2015, 7, 52–57. [Google Scholar] [CrossRef]
- Kakraliya, S.K.; Singh, U.; Bohra, A.; Choudhary, K.K.; Kumar, S.; Meena, R.S.; Jat, M.L. Nitrogen and Legumes: A Meta-Analysis. In Legumes for Soil Health and Sustainable Management; Meena, R.S., Das, A., Yadav, G.S., Lal, R., Eds.; Springer: Singapore, 2018; pp. 277–314. ISBN 9789811302534. [Google Scholar]
- Karlen, D.L.; Wollenhaupt, N.C.; Erbach, D.C.; Berry, E.C.; Swan, J.B.; Eash, N.S.; Jordahl, J.L. Long-Term Tillage Effects on Soil Quality. Soil Tillage Res. 1994, 32, 313–327. [Google Scholar] [CrossRef]
- Kumar, S.; Meena, R.S.; Datta, R.; Verma, S.K.; Yadav, G.S.; Pradhan, G.; Molaei, A.; Rahman, G.K.M.M.; Mashuk, H.A. Legumes for Carbon and Nitrogen Cycling: An Organic Approach. In Carbon and Nitrogen Cycling in Soil; Datta, R., Meena, R.S., Pathan, S.I., Ceccherini, M.T., Eds.; Springer: Singapore, 2020; pp. 337–375. ISBN 9789811372643. [Google Scholar]
- Adelana, A.; Aduramigba-Modupe, V.; Oke, A.; Are, K.; Ojo, O.; Adeyolanu, O. Soil Quality Assessment under Different Long-Term Rice-Based Cropping Systems in a Tropical Dry Savanna Ecology of Northern Nigeria. Acta Ecol. Sin. 2022, 42, 312–321. [Google Scholar] [CrossRef]
- Huang, M.; Tian, A.; Chen, J.; Cao, F.; Chen, Y.; Liu, L. Soil Bacterial Communities in Three Rice-Based Cropping Systems Differing in Productivity. Sci. Rep. 2020, 10, 9867. [Google Scholar] [CrossRef] [PubMed]
- Kumar, R.; Mishra, J.S.; Rao, K.K.; Mondal, S.; Hazra, K.K.; Choudhary, J.S.; Hans, H.; Bhatt, B.P. Crop Rotation and Tillage Management Options for Sustainable Intensification of Rice-Fallow Agro-Ecosystem in Eastern India. Sci. Rep. 2020, 10, 11146. [Google Scholar] [CrossRef] [PubMed]
- Kantachote, D.; Nunkaew, T.; Kantha, T.; Chaiprapat, S. Biofertilizers from Rhodopseudomonas Strains to Enhance Rice Yields and Reduce Methane Emissions. Appl. Soil Ecol. 2016, 100, 154–161. [Google Scholar] [CrossRef]
- Sundar, L.S.; Chao, Y.-Y. Potential of Purple Non-Sulfur Bacteria in Sustainably Enhancing the Agronomic and Physiological Performances of Rice. Agronomy 2022, 12, 2347. [Google Scholar] [CrossRef]
- Kantha, T.; Kantachote, D.; Klongdee, N. Potential of Biofertilizers from Selected Rhodopseudomonas Strains to Assist Rice (Oryza Subsp. Indica) Growth under Salt Stress and to Reduce Greenhouse Gas Emissions. Ann. Microbiol. 2015, 65, 2109–2118. [Google Scholar] [CrossRef]
- Wong, W.-T.; Tseng, C.-H.; Hsu, S.-H.; Lur, H.-S.; Mo, C.-W.; Huang, C.-N.; Hsu, S.-C.; Lee, K.-T.; Liu, C.-T. Promoting Effects of a Single Rhodopseudomonas Inoculant on Plant Growth by Brassica under Low Fertilizer Input. Microbes Environ. 2014, 29, 303–313. [Google Scholar] [CrossRef] [PubMed]
- Hsu, S.; Lo, K.; Fang, W.; Lur, H.; Liu, C. Application of phototrophic bacterial inoculant to reduce nitrate content in hydroponic leafy vegetables. Crop Environ. Bioinform. 2015, 12, 30–41. [Google Scholar]
- Xu, J.; Feng, Y.; Wang, Y.; Luo, X.; Tang, J.; Lin, X. The Foliar Spray of Rhodopseudomonas Grown under Stevia Residue Extract Promotes Plant Growth via Changing Soil Microbial Community. J. Soils Sediments 2016, 16, 916–923. [Google Scholar] [CrossRef]
- Xu, J.; Feng, Y.; Wang, Y.; Lin, X. Effect of Rhizobacterium Rhodopseudomonas Inoculation on Stevia Plant Growth and Soil Microbial Community. Pedosphere 2018, 28, 793–803. [Google Scholar] [CrossRef]
- Hua, J.-F.; Feng, Y.-Z.; Bai, J.-F.; Yin, Y.-L.; Lin, X.-G. Co-Inoculation with Am Fungus Glomus and the Photoheterotrophic Purple Nonsulfur Bacterium Rhodopseudomonas Results in Mutual Inhibition and Lower Arsenic Accumulation of Nicotiana in an Arsenic Contaminated Soil. Fresenius Environ. Bull. 2014, 23, 867–874. [Google Scholar]
- Su, P.; Tan, X.; Li, C.; Zhang, D.; Cheng, J.; Zhang, S.; Zhou, X.; Yan, Q.; Peng, J.; Zhang, Z.; et al. Photosynthetic Bacterium Rhodopseudomonas GJ-22 Induces Systemic Resistance against Viruses. Microb. Biotechnol. 2017, 10, 612–624. [Google Scholar] [CrossRef] [PubMed]
- Han, J. The Influence of Photosynthetic Bacteria Treatments on the Crop Yield, Dry Matter Content, and Protein Content of the Mushroom Agaricus bisporus. Sci. Hortic. 1999, 82, 171–178. [Google Scholar] [CrossRef]
- Yin, Z.P.; Shang, Z.W.; Wei, C.; Ren, J.; Song, X.S. Foliar Sprays of Photosynthetic Bacteria Improve the Growth and Anti-Oxidative Capability on Chinese Dwarf Cherry Seedlings. J. Plant Nutr. 2012, 35, 840–853. [Google Scholar] [CrossRef]
- Batool, K.; tuz Zahra, F.; Rehman, Y. Arsenic-Redox Transformation and Plant Growth Promotion by Purple Nonsulfur Bacteria Rhodopseudomonas CS2 and Rhodopseudomonas SS5. BioMed Res. Int. 2017, 2017, e6250327. [Google Scholar] [CrossRef]
- Harada, N.; Nishiyama, M.; Otsuka, S.; Matsumoto, S. Effects of Inoculation of Phototrophic Purple Bacteria on Grain Yield of Rice and Nitrogenase Activity of Paddy Soil in a Pot Experiment. Soil Sci. Plant Nutr. 2005, 51, 361–367. [Google Scholar] [CrossRef]
- Iwai, R.; Uchida, S.; Yamaguchi, S.; Sonoda, F.; Tsunoda, K.; Nagata, H.; Nagata, D.; Koga, A.; Goto, M.; Maki, T.; et al. Effects of Seed Bio-Priming by Purple Non-Sulfur Bacteria (PNSB) on the Root Development of Rice. Microorganisms 2022, 10, 2197. [Google Scholar] [CrossRef] [PubMed]
- Khuong, N.Q.; Kantachote, D.; Thuc, L.V.; Huu, T.N.; Nhan, T.C.; Nguyen, P.C.; Thu, L.T.M.; Van, T.B.; Xuan, N.T.; Xuan, L.N.T.; et al. Use of Potent Acid Resistant Strains of Rhodopseudomonas Spp. in Mn-Contaminated Acidic Paddies to Produce Safer Rice and Improve Soil Fertility. Soil Tillage Res. 2022, 221, 105393. [Google Scholar] [CrossRef]
- Nookongbut, P.; Kantachote, D.; Megharaj, M.; Naidu, R. Reduction in Arsenic Toxicity and Uptake in Rice (Oryza L.) by As-Resistant Purple Nonsulfur Bacteria. Environ. Sci. Pollut. Res. 2018, 25, 36530–36544. [Google Scholar] [CrossRef]
- Yen, K.S.; Sundar, L.S.; Chao, Y.-Y. Foliar Application of Rhodopseudomonas Enhances the Rice Crop Growth and Yield under Field Conditions. Plants 2022, 11, 2452. [Google Scholar] [CrossRef]
- Wang, Y.; Peng, S.; Hua, Q.; Qiu, C.; Wu, P.; Liu, X.; Lin, X. The Long-Term Effects of Using Phosphate-Solubilizing Bacteria and Photosynthetic Bacteria as Biofertilizers on Peanut Yield and Soil Bacteria Community. Front. Microbiol. 2021, 12, 693535. [Google Scholar] [CrossRef]
- Costa, M.P.; Chadwick, D.; Saget, S.; Rees, R.M.; Williams, M.; Styles, D. Representing Crop Rotations in Life Cycle Assessment: A Review of Legume LCA Studies. Int. J. Life Cycle Assess 2020, 25, 1942–1956. [Google Scholar] [CrossRef]
- Tanveer, A.; Ikram, R.M.; Ali, H.H. Crop Rotation: Principles and Practices. In Agronomic Crops: Volume 2: Management Practices; Hasanuzzaman, M., Ed.; Springer: Singapore, 2019; pp. 1–12. ISBN 978-981-329-783-8. [Google Scholar]
- Yu, T.; Mahe, L.; Li, Y.; Wei, X.; Deng, X.; Zhang, D. Benefits of Crop Rotation on Climate Resilience and Its Prospects in China. Agronomy 2022, 12, 436. [Google Scholar] [CrossRef]
- Hsu, S.-H.; Shen, M.-W.; Chen, J.-C.; Lur, H.-S.; Liu, C.-T. The Photosynthetic Bacterium Rhodopseudomonas Strain PS3 Exerts Plant Growth-Promoting Effects by Stimulating Nitrogen Uptake and Elevating Auxin Levels in Expanding Leaves. Front. Plant Sci. 2021, 12, 93. [Google Scholar] [CrossRef] [PubMed]
- Jhang, C.F.; Sundar, L.S.; Wu, H.B.; Chao, Y.-Y. Exogenous Calcium Fertilizer Supplementation Regulates Production Period in Djulis (Chenopodium Koidz.). Plant Prod. Sci. 2022, 25, 421–433. [Google Scholar] [CrossRef]
- Sundar, L.S.; Chang, Y.-T.; Chao, Y.-Y. Investigating the Efficacy of Purple Non-Sulfur Bacteria (PNSB) Inoculation on Djulis (Chenopodium Koidz.) Growth, Yield, and Maturity Period Modulation. Plant Soil 2023, 496, 289–317. [Google Scholar] [CrossRef]
- Chao, W.-L.; Gan, K.D.; Chao, C.C. Nitrification and Nitrifying Potential of Tropical and Subtropical Soils. Biol. Fertil. Soils 1993, 15, 87–90. [Google Scholar] [CrossRef]
- Chang, E.-H.; Chung, R.-S.; Tsai, Y.-H. Effect of Different Application Rates of Organic Fertilizer on Soil Enzyme Activity and Microbial Population. Soil Sci. Plant Nutr. 2007, 53, 132–140. [Google Scholar] [CrossRef]
- Lee, S.-K.; Lur, H.-S.; Lo, K.-J.; Cheng, K.-C.; Chuang, C.-C.; Tang, S.-J.; Yang, Z.-W.; Liu, C.-T. Evaluation of the Effects of Different Liquid Inoculant Formulations on the Survival and Plant-Growth-Promoting Efficiency of Rhodopseudomonas Strain PS3. Appl. Microbiol. Biotechnol. 2016, 100, 7977–7987. [Google Scholar] [CrossRef]
- Fan, W.; Jia, Y.; Li, X.; Jiang, W.; Lu, L. Phytoavailability and Geospeciation of Cadmium in Contaminated Soil Remediated by Rhodobacter sphaeroides. Chemosphere 2012, 88, 751–756. [Google Scholar] [CrossRef]
- Wu, J.; Wang, Y.; Lin, X. Purple Phototrophic Bacterium Enhances Stevioside Yield by Stevia via Foliar Spray and Rhizosphere Irrigation. PLoS ONE 2013, 8, e67644. [Google Scholar] [CrossRef]
- Sundar, L.S.; Chen, G.S. Study on the Growth Performance of Lettuce (Lactuca) and Pak Choi (Brassica) in Different Aquaponic Growing Systems. Horticulturae 2020, 6, 69. [Google Scholar] [CrossRef]
- Sundar, L.S.; Lal, A.A.; Kumar, J.S.V. Growing Condition and Varietal Impact on Growth Performance and Yield of Yard Long Bean (Vigna) Varieties Cultivated under Tropical Climate. Legume Res. 2021, 45, 39–45. [Google Scholar] [CrossRef]
- Sundar, L.S.; Lal, A.A. Effects of Plant Population Density on the Growth, Survival Rate and Yield of Common Beans (Phaseolus Spp.) Cultivated under Tropical Climate. Legume Res. 2022, 45, 469–474. [Google Scholar] [CrossRef]
- Bradford, M.M. A Rapid and Sensitive Method for the Quantitation of Microgram Quantities of Protein Utilizing the Principle of Protein-Dye Binding. Anal. Biochem. 1976, 72, 248–254. [Google Scholar] [CrossRef] [PubMed]
- Nakano, Y.; Asada, K. Hydrogen Peroxide Is Scavenged by Ascorbate-Specific Peroxidase in Spinach Chloroplasts. Plant Cell Physiol. 1981, 22, 867–880. [Google Scholar] [CrossRef]
- Kato, M.; Shimizu, S. Chlorophyll Metabolism in Higher Plants. VII. Chlorophyll Degradation in Senescing Tobacco Leaves; Phenolic-Dependent Peroxidative Degradation. Can. J. Bot. 1987, 65, 729–735. [Google Scholar] [CrossRef]
- Foster, J.G.; Hess, J.L. Responses of Superoxide Dismutase and Glutathione Reductase Activities in Cotton Leaf Tissue Exposed to an Atmosphere Enriched in Oxygen. Plant Physiol. 1980, 66, 482–487. [Google Scholar] [CrossRef] [PubMed]
- Paoletti, F.; Aldinucci, D.; Mocali, A.; Caparrini, A. A Sensitive Spectrophotometric Method for the Determination of Superoxide Dismutase Activity in Tissue Extracts. Anal. Biochem. 1986, 154, 536–541. [Google Scholar] [CrossRef] [PubMed]
- Mauzerall, D.; Granick, S. The Occurrence and Determination of δ-Aminolevulinic Acid and Porphobilinogen in Urine. J. Biol. Chem. 1956, 219, 435–446. [Google Scholar] [CrossRef]
- de los Reyes, B.G.; Myers, S.J.; McGrath, J.M. Differential Induction of Glyoxylate Cycle Enzymes by Stress as a Marker for Seedling Vigor in Sugar Beet (Beta vulgaris). Mol. Gen. Genom. 2003, 269, 692–698. [Google Scholar] [CrossRef]
- Parent, B.; Turc, O.; Gibon, Y.; Stitt, M.; Tardieu, F. Modelling Temperature-Compensated Physiological Rates, Based on the Co-Ordination of Responses to Temperature of Developmental Processes. J. Exp. Bot. 2010, 61, 2057–2069. [Google Scholar] [CrossRef] [PubMed]
- Yan, C.; Ding, Y.; Wang, Q.; Liu, Z.; Li, G.; Muhammad, I.; Wang, S. The Impact of Relative Humidity, Genotypes and Fertilizer Application Rates on Panicle, Leaf Temperature, Fertility and Seed Setting of Rice. J. Agric. Sci. 2010, 148, 329–339. [Google Scholar] [CrossRef]
- Rathnayake, W.M.U.K.; Silva, R.P.D.; Dayawansa, N.D.K. Assessment of the Suitability of Temperature and Relative Humidity for Rice Cultivation in Rainfed Lowland Paddy Fields in Kurunegala District. Trop. Agric. Res. 2016, 27, 370–388. [Google Scholar] [CrossRef]
- Lind, K.R.; Lee, N.; Sizmur, T.; Siemianowski, O.; Bruggen, S.V.; Ganapathysubramaniam, B.; Cademartiri, L. Plant Growth Environments with Programmable Relative Humidity and Homogeneous Nutrient Availability. PLoS ONE 2016, 11, e0155960. [Google Scholar] [CrossRef] [PubMed]
- O’Leary, J.W.; Knecht, G.N. The Effect of Relative Humidity on Growth, Yield, and Water Consumption of Bean Plants1. J. Am. Soc. Hortic. Sci. 1971, 96, 263–265. [Google Scholar] [CrossRef]
- Liu, Q.; Wu, X.; Chen, B.; Ma, J.; Gao, J. Effects of Low Light on Agronomic and Physiological Characteristics of Rice Including Grain Yield and Quality. Rice Sci. 2014, 21, 243–251. [Google Scholar] [CrossRef]
- Shafiq, I.; Hussain, S.; Raza, M.A.; Iqbal, N.; Asghar, M.A.; Raza, A.; Fan, Y.; Mumtaz, M.; Shoaib, M.; Ansar, M.; et al. Crop Photosynthetic Response to Light Quality and Light Intensity. J. Integr. Agric. 2021, 20, 4–23. [Google Scholar] [CrossRef]
- Jagdish Rice Cultivation in Greenhouse: A Profitable Business Plan for Sustainable Farming. Available online: https://www.agrifarming.in/rice-cultivation-in-greenhouse-a-profitable-business-plan-for-sustainable-farming (accessed on 30 June 2023).
- Huang, S.; Jacoby, R.P.; Shingaki-Wells, R.N.; Li, L.; Millar, A.H. Differential Induction of Mitochondrial Machinery by Light Intensity Correlates with Changes in Respiratory Metabolism and Photorespiration in Rice Leaves. New Phytol. 2013, 198, 103–115. [Google Scholar] [CrossRef]
- Chen, H.; Wu, Y.-C.; Teng, C.-Y. Temporal Variation of the Relationships between Rice Yield and Climate Variables since 1925. PeerJ 2023, 11, e16045. [Google Scholar] [CrossRef]
- Stern, R.D.; Cooper, P.J.M. Assessing Climate Risk and Climate Change Using Rainfall Data—A Case Study from Zambia. Exp. Agric. 2011, 47, 241–266. [Google Scholar] [CrossRef]
- Benestad, R.E.; Lussana, C.; Lutz, J.; Dobler, A.; Landgren, O.; Haugen, J.E.; Mezghani, A.; Casati, B.; Parding, K.M. Global Hydro-Climatological Indicators and Changes in the Global Hydrological Cycle and Rainfall Patterns. PLoS Clim. 2022, 1, e0000029. [Google Scholar] [CrossRef]
- Rahman, M.A.; Kang, S.; Nagabhatla, N.; Macnee, R. Impacts of Temperature and Rainfall Variation on Rice Productivity in Major Ecosystems of Bangladesh. Agric. Food Secur. 2017, 6, 10. [Google Scholar] [CrossRef]
- Mainuddin, M.; Peña-Arancibia, J.L.; Karim, F.; Hasan, M.M.; Mojid, M.A.; Kirby, J.M. Long-Term Spatio-Temporal Variability and Trends in Rainfall and Temperature Extremes and Their Potential Risk to Rice Production in Bangladesh. PLoS Clim. 2022, 1, e0000009. [Google Scholar] [CrossRef]
- Kumar, P.; Sahu, N.C.; Ansari, M.A.; Kumar, S. Climate Change and Rice Production in India: Role of Ecological and Carbon Footprint. J. Agribus. Dev. Emerg. Econ. 2021, 13, 260–278. [Google Scholar] [CrossRef]
- Dar, M.H.; Bano, D.A.; Waza, S.A.; Zaidi, N.W.; Majid, A.; Shikari, A.B.; Ahangar, M.A.; Hossain, M.; Kumar, A.; Singh, U.S. Abiotic Stress Tolerance-Progress and Pathways of Sustainable Rice Production. Sustainability 2021, 13, 2078. [Google Scholar] [CrossRef]
- Hussain, S.; Huang, J.; Huang, J.; Ahmad, S.; Nanda, S.; Anwar, S.; Shakoor, A.; Zhu, C.; Zhu, L.; Cao, X.; et al. Rice Production Under Climate Change: Adaptations and Mitigating Strategies. In Environment, Climate, Plant and Vegetation Growth; Fahad, S., Hasanuzzaman, M., Alam, M., Ullah, H., Saeed, M., Ali Khan, I., Adnan, M., Eds.; Springer International Publishing: Cham, Switzerland, 2020; pp. 659–686. ISBN 978-3-030-49732-3. [Google Scholar]
- Arai-Sanoh, Y.; Ishimaru, T.; Ohsumi, A.; Kondo, M. Effects of Soil Temperature on Growth and Root Function in Rice. Plant Prod. Sci. 2010, 13, 235–242. [Google Scholar] [CrossRef]
- Ouda, S.; Zohry, A.; Noreldin, T. Crop Rotation Maintains Soil Sustainability. In Crop Rotation: An Approach to Secure Future Food; Ouda, S., Zohry, A.E.-H., Noreldin, T., Eds.; Springer International Publishing: Cham, Switzerland, 2018; pp. 55–76. ISBN 978-3-030-05351-2. [Google Scholar]
- Li, Q.; Zhang, D.; Zhang, J.; Zhou, Z.; Pan, Y.; Yang, Z.; Zhu, J.; Liu, Y.; Zhang, L. Crop Rotations Increased Soil Ecosystem Multifunctionality by Improving Keystone Taxa and Soil Properties in Potatoes. Front. Microbiol. 2023, 14, 1034761. [Google Scholar] [CrossRef]
- Khuong, N.Q.; Kantachote, D.; Onthong, J.; Xuan, L.N.T.; Sukhoom, A. Enhancement of Rice Growth and Yield in Actual Acid Sulfate Soils by Potent Acid-Resistant Rhodopseudomonas Strains for Producing Safe Rice. Plant Soil 2018, 429, 483–501. [Google Scholar] [CrossRef]
- Khuong, N.Q.; Huu, T.N.; Thuc, L.V.; Thu, L.T.M.; Xuan, D.T.; Quang, L.T.; Nhan, T.C.; Tran, H.N.; Tien, P.D.; Xuan, L.N.T.; et al. Two Strains of Luteovulum (Purple Nonsulfur Bacteria) Promote Rice Cultivation in Saline Soils by Increasing Available Phosphorus. Rhizosphere 2021, 20, 100456. [Google Scholar] [CrossRef]
- Huu, T.N.; Giau, T.T.N.; Ngan, P.N.; Van, T.T.B.; Khuong, N.Q. Potential of Phosphorus Solubilizing Purple Nonsulfur Bacteria Isolated from Acid Sulfate Soil in Improving Soil Property, Nutrient Uptake, and Yield of Pineapple (Ananas Merrill) under Acidic Stress. Appl. Environ. Soil Sci. 2022, 2022, e8693479. [Google Scholar] [CrossRef]
- Khuong, N.Q.; Sakpirom, J.; Oanh, T.O.; Thuc, L.V.; Thu, L.T.M.; Xuan, D.T.; Quang, L.T.; Xuan, L.N.T. Isolation and Characterization of Novel Potassium-Solubilizing Purple Nonsulfur Bacteria from Acidic Paddy Soils Using Culture-Dependent and Culture-Independent Techniques. Braz. J. Microbiol. 2023, 54, 2333–2348. [Google Scholar] [CrossRef] [PubMed]
- Taiz, L.; Zeiger, E.; Møller, I.M.; Murphy, A. Plant Physiology and Development, 6th ed.; Sinauer Associates Incorporated: Sunderland, MA, USA, 2015; ISBN 978-1-60535-353-1. [Google Scholar]
- Nookongbut, P.; Kantachote, D.; Khuong, N.Q.; Sukhoom, A.; Tantirungkij, M.; Limtong, S. Selection of Acid-Resistant Purple Nonsulfur Bacteria from Peat Swamp Forests to Apply as Biofertilizers and Biocontrol Agents. J. Soil Sci. Plant Nutr. 2019, 19, 488–500. [Google Scholar] [CrossRef]
- Khuong, N.Q.; Kantachote, D.; Nookongbut, P.; Onthong, J.; Thanh Xuan, L.N.; Sukhoom, A. Mechanisms of Acid-Resistant Rhodopseudomonas Strains to Ameliorate Acidic Stress and Promote Plant Growth. Biocatal. Agric. Biotechnol. 2020, 24, 101520. [Google Scholar] [CrossRef]
- Khuong, N.Q.; Kantachote, D.; Thuc, L.V.; Nookongbut, P.; Xuan, L.N.T.; Nhan, T.C.; Xuan, N.T.T.; Tantirungkij, M. Potential of Mn2+-Resistant Purple Nonsulfur Bacteria Isolated from Acid Sulfate Soils to Act as Bioremediators and Plant Growth Promoters via Mechanisms of Resistance. J. Soil Sci. Plant Nutr. 2020, 20, 2364–2378. [Google Scholar] [CrossRef]
- Rohdich, F.; Wungsintaweekul, J.; Eisenreich, W.; Richter, G.; Schuhr, C.A.; Hecht, S.; Zenk, M.H.; Bacher, A. Biosynthesis of Terpenoids: 4-Diphosphocytidyl-2C-Methyl-d-Erythritol Synthase of Arabidopsis Thaliana. Proc. Natl. Acad. Sci. USA 2000, 97, 6451–6456. [Google Scholar] [CrossRef] [PubMed]
- Hsieh, M.-H.; Chang, C.-Y.; Hsu, S.-J.; Chen, J.-J. Chloroplast Localization of Methylerythritol 4-Phosphate Pathway Enzymes and Regulation of Mitochondrial Genes in ispD and ispE Albino Mutants in Arabidopsis. Plant Mol. Biol. 2008, 66, 663–673. [Google Scholar] [CrossRef] [PubMed]
- Tripathy, B.C.; Pattanayak, G.K. Chlorophyll Biosynthesis in Higher Plants. In Photosynthesis: Plastid Biology, Energy Conversion and Carbon Assimilation; Eaton-Rye, J.J., Tripathy, B.C., Sharkey, T.D., Eds.; Advances in Photosynthesis and Respiration; Springer: Dordrecht, The Netherlands, 2012; pp. 63–94. ISBN 978-94-007-1579-0. [Google Scholar]
- Farhat, N.; Elkhouni, A.; Zorrig, W.; Smaoui, A.; Abdelly, C.; Rabhi, M. Effects of Magnesium Deficiency on Photosynthesis and Carbohydrate Partitioning. Acta Physiol. Plant 2016, 38, 145. [Google Scholar] [CrossRef]
- Harada, Y.; Murayama, Y.; Takamatsu, T.; Otsuji, E.; Tanaka, H. 5-Aminolevulinic Acid-Induced Protoporphyrin IX Fluorescence Imaging for Tumor Detection: Recent Advances and Challenges. Int. J. Mol. Sci. 2022, 23, 6478. [Google Scholar] [CrossRef] [PubMed]
- Sun, T.; Wang, P.; Rao, S.; Zhou, X.; Wrightstone, E.; Lu, S.; Yuan, H.; Yang, Y.; Fish, T.; Thannhauser, T.; et al. Co-Chaperoning of Chlorophyll and Carotenoid Biosynthesis by ORANGE Family Proteins in Plants. Mol. Plant 2023, 16, 1048–1065. [Google Scholar] [CrossRef] [PubMed]
- Tan, S.; Cao, J.; Xia, X.; Li, Z. Advances in 5-Aminolevulinic Acid Priming to Enhance Plant Tolerance to Abiotic Stress. Int. J. Mol. Sci. 2022, 23, 702. [Google Scholar] [CrossRef]
- Sasaki, K.; Ikeda, S.; Nishizawa, Y.; Hayashi, M. Production of 5-Aminolevulinic Acid by Photosynthetic Bacteria. J. Ferment. Technol. 1987, 65, 511–515. [Google Scholar] [CrossRef]
- Nunkaew, T.; Kantachote, D.; Kanzaki, H.; Nitoda, T.; Ritchie, R.J. Effects of 5-Aminolevulinic Acid (ALA)-Containing Supernatants from Selected Rhodopseudomonas Strains on Rice Growth under NaCl Stress, with Mediating Effects on Chlorophyll, Photosynthetic Electron Transport and Antioxidative Enzymes. Electron. J. Biotechnol. 2014, 17, 4. [Google Scholar] [CrossRef]
- Pierik, R.; Tholen, D.; Poorter, H.; Visser, E.J.W.; Voesenek, L.A.C.J. The Janus Face of Ethylene: Growth Inhibition and Stimulation. Trends Plant Sci. 2006, 11, 176–183. [Google Scholar] [CrossRef] [PubMed]
- Edelmann, H.G. Plant Root Development: Is the Classical Theory for Auxin-Regulated Root Growth False? Protoplasma 2022, 259, 823–832. [Google Scholar] [CrossRef]
- Vessey, J.K. Plant Growth Promoting Rhizobacteria as Biofertilizers. Plant Soil 2003, 255, 571–586. [Google Scholar] [CrossRef]
- Tsavkelova, E.A.; Klimova, S.Y.; Cherdyntseva, T.A.; Netrusov, A.I. Microbial Producers of Plant Growth Stimulators and Their Practical Use: A Review. Appl. Biochem. Microbiol. 2006, 42, 117–126. [Google Scholar] [CrossRef]
- Bending, G.D.; Rodríguez-Cruz, M.S.; Lincoln, S.D. Fungicide Impacts on Microbial Communities in Soils with Contrasting Management Histories. Chemosphere 2007, 69, 82–88. [Google Scholar] [CrossRef]
- Kaymak, H.C. Potential of PGPR in Agricultural Innovations. In Plant Growth and Health Promoting Bacteria; Maheshwari, D.K., Ed.; Microbiology Monographs; Springer: Berlin/Heidelberg, Germany, 2011; pp. 45–79. ISBN 978-3-642-13612-2. [Google Scholar]
- Wani, S.H.; Kumar, V.; Shriram, V.; Sah, S.K. Phytohormones and Their Metabolic Engineering for Abiotic Stress Tolerance in Crop Plants. Crop J. 2016, 4, 162–176. [Google Scholar] [CrossRef]
- Talukdar, M.; Swain, D.K.; Bhadoria, P.B.S. Effect of IAA and BAP Application in Varying Concentration on Seed Yield and Oil Quality of Guizotia Abyssinica (L.f.) Cass. Ann. Agric. Sci. 2022, 67, 15–23. [Google Scholar] [CrossRef]
- Bose, A.; Gardel, E.J.; Vidoudez, C.; Parra, E.A.; Girguis, P.R. Electron Uptake by Iron-Oxidizing Phototrophic Bacteria. Nat. Commun. 2014, 5, 3391. [Google Scholar] [CrossRef]
- Spaepen, S.; Vanderleyden, J.; Remans, R. Indole-3-Acetic Acid in Microbial and Microorganism-Plant Signaling. FEMS Microbiol. Rev. 2007, 31, 425–448. [Google Scholar] [CrossRef] [PubMed]
- Mujahid, M.; Sasikala, C.; Ramana, C.V. Production of Indole-3-Acetic Acid and Related Indole Derivatives from L-Tryptophan by Rubrivivax benzoatilyticus JA2. Appl. Microbiol. Biotechnol. 2011, 89, 1001–1008. [Google Scholar] [CrossRef] [PubMed]
- Kang, Z.; Zhang, J.; Zhou, J.; Qi, Q.; Du, G.; Chen, J. Recent Advances in Microbial Production of δ-Aminolevulinic Acid and Vitamin B12. Biotechnol. Adv. 2012, 30, 1533–1542. [Google Scholar] [CrossRef] [PubMed]
- Wu, Y.; Jin, X.; Liao, W.; Hu, L.; Dawuda, M.M.; Zhao, X.; Tang, Z.; Gong, T.; Yu, J. 5-Aminolevulinic Acid (ALA) Alleviated Salinity Stress in Cucumber Seedlings by Enhancing Chlorophyll Synthesis Pathway. Front. Plant Sci. 2018, 9, 635. [Google Scholar] [CrossRef]
- Wang, J.; Zhang, J.; Li, J.; Dawuda, M.M.; Ali, B.; Wu, Y.; Yu, J.; Tang, Z.; Lyu, J.; Xiao, X.; et al. Exogenous Application of 5-Aminolevulinic Acid Promotes Coloration and Improves the Quality of Tomato Fruit by Regulating Carotenoid Metabolism. Front. Plant Sci. 2021, 12, 683868. [Google Scholar] [CrossRef] [PubMed]
- Zhang, Y.; Yu, C.; Lin, J.; Liu, J.; Liu, B.; Wang, J.; Huang, A.; Li, H.; Zhao, T. OsMPH1 Regulates Plant Height and Improves Grain Yield in Rice. PLoS ONE 2017, 12, e0180825. [Google Scholar] [CrossRef] [PubMed]
- Li, R.; Li, M.; Ashraf, U.; Liu, S.; Zhang, J. Exploring the Relationships Between Yield and Yield-Related Traits for Rice Varieties Released in China From 1978 to 2017. Front. Plant Sci. 2019, 10, 430305. [Google Scholar] [CrossRef]
- Ye, T.; Li, Y.; Zhang, J.; Hou, W.; Zhou, W.; Lu, J.; Xing, Y.; Li, X. Nitrogen, Phosphorus, and Potassium Fertilization Affects the Flowering Time of Rice (Oryza L.). Glob. Ecol. Conserv. 2019, 20, e00753. [Google Scholar] [CrossRef]
- Shankar, T.; Malik, G.C.; Banerjee, M.; Dutta, S.; Praharaj, S.; Lalichetti, S.; Mohanty, S.; Bhattacharyay, D.; Maitra, S.; Gaber, A.; et al. Prediction of the Effect of Nutrients on Plant Parameters of Rice by Artificial Neural Network. Agronomy 2022, 12, 2123. [Google Scholar] [CrossRef]
- Tian, G.; Gao, L.; Kong, Y.; Hu, X.; Xie, K.; Zhang, R.; Ling, N.; Shen, Q.; Guo, S. Improving Rice Population Productivity by Reducing Nitrogen Rate and Increasing Plant Density. PLoS ONE 2017, 12, e0182310. [Google Scholar] [CrossRef]
- Zha, M.; Zhao, Y.; Wang, Y.; Chen, B.; Tan, Z. Strigolactones and Cytokinin Interaction in Buds in the Control of Rice Tillering. Front. Plant Sci. 2022, 13, 837136. [Google Scholar] [CrossRef]
- Zhou, W.; Yan, F.; Chen, Y.; Ren, W. Optimized Nitrogen Application Increases Rice Yield by Improving the Quality of Tillers. Plant Prod. Sci. 2022, 25, 311–319. [Google Scholar] [CrossRef]
- Bauer, B.; von Wirén, N. Modulating Tiller Formation in Cereal Crops by the Signalling Function of Fertilizer Nitrogen Forms. Sci. Rep. 2020, 10, 20504. [Google Scholar] [CrossRef]
- Wang, Y.; Wang, D.; Shi, P.; Omasa, K. Estimating Rice Chlorophyll Content and Leaf Nitrogen Concentration with a Digital Still Color Camera under Natural Light. Plant Methods 2014, 10, 36. [Google Scholar] [CrossRef]
- Xiong, D.; Chen, J.; Yu, T.; Gao, W.; Ling, X.; Li, Y.; Peng, S.; Huang, J. SPAD-Based Leaf Nitrogen Estimation Is Impacted by Environmental Factors and Crop Leaf Characteristics. Sci. Rep. 2015, 5, 13389. [Google Scholar] [CrossRef]
- Mehrabi, F.; Sepaskhah, A.R. Leaf Nitrogen, Based on SPAD Chlorophyll Reading Can Determine Agronomic Parameters of Winter Wheat. Int. J. Plant Prod. 2022, 16, 77–91. [Google Scholar] [CrossRef]
- Elbadry, M.; Elbanna, K. Response of Four Rice Varieties to Rhodobacter at Seedling Stage. World J. Microbiol. Biotechnol. 1999, 15, 363–367. [Google Scholar] [CrossRef]
- Koprna, R.; Humplík, J.F.; Špíšek, Z.; Bryksová, M.; Zatloukal, M.; Mik, V.; Novák, O.; Nisler, J.; Doležal, K. Improvement of Tillering and Grain Yield by Application of Cytokinin Derivatives in Wheat and Barley. Agronomy 2021, 11, 67. [Google Scholar] [CrossRef]
- Kaohsiung District Agricultural Research and Extension Station Lab of Agronomic Crops. Available online: https://www.kdais.gov.tw/en/ws.php?id=5559 (accessed on 19 January 2023).
- Zhang, J.; Li, G.; Song, Y.; Liu, Z.; Yang, C.; Tang, S.; Zheng, C.; Wang, S.; Ding, Y. Lodging Resistance Characteristics of High-Yielding Rice Populations. Field Crops Res. 2014, 161, 64–74. [Google Scholar] [CrossRef]
- Liu, S.; Huang, Y.; Xu, H.; Zhao, M.; Xu, Q.; Li, F. Genetic Enhancement of Lodging Resistance in Rice Due to the Key Cell Wall Polymer Lignin, Which Affects Stem Characteristics. Breed Sci. 2018, 68, 508–515. [Google Scholar] [CrossRef]
- Shah, L.; Yahya, M.; Shah, S.M.A.; Nadeem, M.; Ali, A.; Ali, A.; Wang, J.; Riaz, M.W.; Rehman, S.; Wu, W.; et al. Improving Lodging Resistance: Using Wheat and Rice as Classical Examples. Int. J. Mol. Sci. 2019, 20, 4211. [Google Scholar] [CrossRef] [PubMed]
- Guo, Z.; Liu, X.; Zhang, B.; Yuan, X.; Xing, Y.; Liu, H.; Luo, L.; Chen, G.; Xiong, L. Genetic Analyses of Lodging Resistance and Yield Provide Insights into Post-Green-Revolution Breeding in Rice. Plant Biotechnol. J. 2021, 19, 814–829. [Google Scholar] [CrossRef] [PubMed]
- Luo, X.; Wu, Z.; Fu, L.; Dan, Z.; Yuan, Z.; Liang, T.; Zhu, R.; Hu, Z.; Wu, X. Evaluation of Lodging Resistance in Rice Based on an Optimized Parameter from Lodging Index. Crop Sci. 2022, 62, 1318–1332. [Google Scholar] [CrossRef]
- Tsugawa, S.; Shima, H.; Ishimoto, Y.; Ishikawa, K. Thickness-Stiffness Trade-off Improves Lodging Resistance in Rice. Sci. Rep. 2023, 13, 10828. [Google Scholar] [CrossRef]











| Treatments | Superoxide Dismutase (SOD) | Ascorbate Peroxidase (APX) | Catalase (CAT) | Glutathione Reductase (GR) |
|---|---|---|---|---|
| Units mg−1 Protein | ||||
| −PNSB | 0.139 ± 0.010 | 0.092 ± 0.008 | 0.015 ± 0.001 | 0.016 ± 0.010 |
| +PNSB | 0.132 ± 0.012 | 0.089 ± 0.007 | 0.018 ± 0.002 | 0.014 ± 0.009 |
| Treatments | Root Length (cm) | Root Volume (cm3) | Root Dry Weight (g) |
|---|---|---|---|
| −PNSB | 43.5 ± 0.21 b | 200 ± 0.00 a | 18.1 ± 2.20 b |
| +PNSB | 57.8 ± 2.65 a | 333 ± 1.11 a | 41.6 ± 4.01 a |
| Parameters | Trial 1 | Trial 2 | ||
|---|---|---|---|---|
| −PNSB | +PNSB | −PNSB | +PNSB | |
| Productive tillers/hill (%) | 46.2 ± 2.50 bC | 61.9 ± 2.64 aB | 94.9 ± 2.74 aA | 97.9 ± 0.96 aA |
| Average grain/hill (g) | 26.3 ± 1.32 bC | 32.5 ± 1.31 aB | 36.2 ± 1.35 bB | 43.3 ± 1.75 aA |
| Grain fertility (%) | 75.6 ± 1.32 aB | 79.3 ± 2.12 aB | 95.9 ± 0.88 aA | 95.4 ± 0.22 aA |
| 1000 grain weight (g) | 23.7 ± 0.17 bA | 24.2 ± 0.06 aA | 21.3 ± 0.29 aB | 22.8 ± 0.29 aB |
| Parameters | Trial 1 | Trial 2 | ||
|---|---|---|---|---|
| −PNSB | +PNSB | −PNSB | +PNSB | |
| Grain yield (t ha−1) | 6.30 ± 0.32 bC | 7.79 ± 0.32 aB | 8.69 ± 0.33 bB | 10.4 ± 0.42 aA |
| Shoot dry weight (t ha−1) | 24.1 ± 1.98 aB | 20.7 ± 0.29 aB | 21.3 ± 0.42 bB | 27.7 ± 0.68 aA |
| Harvest index | 0.27 ± 0.02 bB | 0.38 ± 0.01 aA | 0.41 ± 0.01 aA | 0.37 ± 0.01 aA |
Disclaimer/Publisher’s Note: The statements, opinions and data contained in all publications are solely those of the individual author(s) and contributor(s) and not of MDPI and/or the editor(s). MDPI and/or the editor(s) disclaim responsibility for any injury to people or property resulting from any ideas, methods, instructions or products referred to in the content. |
© 2024 by the authors. Licensee MDPI, Basel, Switzerland. This article is an open access article distributed under the terms and conditions of the Creative Commons Attribution (CC BY) license (https://creativecommons.org/licenses/by/4.0/).
Share and Cite
Sundar, L.S.; Yen, K.-S.; Chang, Y.-T.; Chao, Y.-Y. Utilization of Rhodopseudomonas palustris in Crop Rotation Practice Boosts Rice Productivity and Soil Nutrient Dynamics. Agriculture 2024, 14, 758. https://doi.org/10.3390/agriculture14050758
Sundar LS, Yen K-S, Chang Y-T, Chao Y-Y. Utilization of Rhodopseudomonas palustris in Crop Rotation Practice Boosts Rice Productivity and Soil Nutrient Dynamics. Agriculture. 2024; 14(5):758. https://doi.org/10.3390/agriculture14050758
Chicago/Turabian StyleSundar, Laurence Shiva, Kuei-Shan Yen, Yao-Tsung Chang, and Yun-Yang Chao. 2024. "Utilization of Rhodopseudomonas palustris in Crop Rotation Practice Boosts Rice Productivity and Soil Nutrient Dynamics" Agriculture 14, no. 5: 758. https://doi.org/10.3390/agriculture14050758
APA StyleSundar, L. S., Yen, K.-S., Chang, Y.-T., & Chao, Y.-Y. (2024). Utilization of Rhodopseudomonas palustris in Crop Rotation Practice Boosts Rice Productivity and Soil Nutrient Dynamics. Agriculture, 14(5), 758. https://doi.org/10.3390/agriculture14050758

