Sign in to use this feature.

Years

Between: -

Subjects

remove_circle_outline
remove_circle_outline
remove_circle_outline
remove_circle_outline
remove_circle_outline
remove_circle_outline
remove_circle_outline
remove_circle_outline
remove_circle_outline

Journals

remove_circle_outline
remove_circle_outline
remove_circle_outline
remove_circle_outline
remove_circle_outline
remove_circle_outline
remove_circle_outline
remove_circle_outline
remove_circle_outline
remove_circle_outline
remove_circle_outline
remove_circle_outline

Article Types

Countries / Regions

remove_circle_outline
remove_circle_outline
remove_circle_outline
remove_circle_outline
remove_circle_outline
remove_circle_outline
remove_circle_outline

Search Results (1,719)

Search Parameters:
Keywords = harvest index

Order results
Result details
Results per page
Select all
Export citation of selected articles as:
10 pages, 630 KB  
Article
Influence of Short-Term Olive Fruit Storage Conditions on the Quality of Virgin Olive Oil: A Case Study of Three Cultivars (‘Kalinjot’, ‘Leccino’, and ‘Frantoio’) in Albania
by Onejda Kyçyk, Angjelina Vuksani, Gjoke Vuksani, Florina Pazari and Tokli Thomaj
AppliedChem 2026, 6(1), 6; https://doi.org/10.3390/appliedchem6010006 - 9 Jan 2026
Abstract
This study examined the influence of short-term olive fruit storage on the quality of virgin olive oil (VOO) from three cultivars (‘Kalinjot’, ‘Leccino’, and ‘Frantoio’) grown in southwest Albania. Olive fruits were processed immediately after harvest, or after 10 days of storage under [...] Read more.
This study examined the influence of short-term olive fruit storage on the quality of virgin olive oil (VOO) from three cultivars (‘Kalinjot’, ‘Leccino’, and ‘Frantoio’) grown in southwest Albania. Olive fruits were processed immediately after harvest, or after 10 days of storage under ambient conditions (20–22 °C) and refrigeration (5 °C). Oils were evaluated for physicochemical quality parameters (free acidity, peroxide value, and UV absorption indices), as well as bioactive and sensory-related compounds (bitterness index, chlorophylls, carotenoids, and total phenolic content). Results showed that immediate processing yielded the highest quality oils, with low free acidity (0.28–0.35%) and preserved bioactive compounds. Ambient storage led to marked deterioration, including significant increases in free acidity and peroxide values, loss of pigments, and 20–70% reduction in phenolic content, accompanied by decreased bitterness. In contrast, cold storage mitigated these effects, maintaining values closer to baseline and preserving sensory and functional attributes. ANOVA confirmed significant effects of storage duration, temperature, and cultivar on most parameters, with ‘Kalinjot’ exhibiting greater stability compared to ‘Frantoio’ and ‘Lecino’. These findings highlight that minimizing the interval between harvest and milling is critical for ensuring oil quality, while refrigerated storage offers a practical strategy to safeguard chemical and sensory characteristics when immediate processing is not feasible. Full article
Show Figures

Figure 1

24 pages, 2964 KB  
Article
Unveiling the Genomic Architecture of Phenotypic Plasticity Using Multiple GWAS Approaches Under Contrasting Conditions of Water Availability: A Model for Barley
by Sebastián Arenas and Andrés J. Cortés
Int. J. Mol. Sci. 2026, 27(2), 652; https://doi.org/10.3390/ijms27020652 - 8 Jan 2026
Abstract
Phenotypic plasticity is a key mechanism by which crops adjust to fluctuating environmental conditions, yet its genetic basis under drought remains poorly characterized in barley (Hordeum vulgare). We hypothesized that phenotypic plasticity under drought is controlled by a distinct, trait-specific genetic [...] Read more.
Phenotypic plasticity is a key mechanism by which crops adjust to fluctuating environmental conditions, yet its genetic basis under drought remains poorly characterized in barley (Hordeum vulgare). We hypothesized that phenotypic plasticity under drought is controlled by a distinct, trait-specific genetic architecture that can be detected using complementary plasticity metrics and genome-wide association studies (GWAS). Here, we examined data from 1277 spring barley genotypes grown under well-watered and water-limited conditions to quantify plastic responses across two developmental traits (i.e., heading time, and maturity) and seven productivity-related traits (i.e., total dry matter, plant grain yield, grain number, grain weight, harvest index, vegetative dry weight, and grain-filling period). The experimental design, based on contrasting water regimes across a large diversity panel, allowed robust assessment of genotype-by-environment interactions. We combined five complementary plasticity estimators with four independent GWAS approaches to resolve the genomic architecture underlying trait-specific plasticity. Environmental effects dominated variation in yield-related traits, whereas developmental traits remained more genetically determined. The different plasticity metrics captured distinct but partially overlapping response dimensions, and their integration greatly increased the robustness of association signals. A total of 239 high-confidence SNPs obtained for top traits, those associated across metrics and methods, were enriched in coding regions and mapped to genes involved in osmoregulation, carbohydrate metabolism, hormonal pathways, and ion transport. A total of 27 high-confidence SNPs were located in coding regions, showing genotype-specific differences in the magnitude and even direction of phenotypic plasticity. These loci exhibited opposite allelic effects across water regimes, consistent with context-dependent antagonistic pleiotropy. The fact that candidate alleles for the plastic response modulate environmental sensitivity differently highlights that drought resilience arises from environment-contingent genetic architectures. Overall, these results provide a comprehensive framework for dissecting plasticity and identify concrete genomic targets for indirect selection targeting crop resilience with improved performance under increasingly variable water availability. Full article
(This article belongs to the Special Issue Abiotic Stress Tolerance and Genetic Diversity in Plants, 2nd Edition)
Show Figures

Figure 1

21 pages, 7841 KB  
Article
Study on Predicting Cotton Boll Opening Rate Based on UAV Multispectral Imagery
by Chen Xue, Lingbiao Kong, Shengde Chen, Changfeng Shan, Lechun Zhang, Cancan Song, Yubin Lan and Guobin Wang
Agronomy 2026, 16(2), 162; https://doi.org/10.3390/agronomy16020162 - 8 Jan 2026
Viewed by 18
Abstract
The cotton boll opening rate (BOR) is an important indicator for evaluating the physiological maturation process of cotton and the critical stage of yield formation, and it provides essential guidance for subsequent defoliant application and mechanical harvesting. The investigation of cotton BOR usually [...] Read more.
The cotton boll opening rate (BOR) is an important indicator for evaluating the physiological maturation process of cotton and the critical stage of yield formation, and it provides essential guidance for subsequent defoliant application and mechanical harvesting. The investigation of cotton BOR usually relies on manual field surveys, which are time-consuming and destructive, making it difficult to achieve large-scale and efficient monitoring. UAV remote sensing technology has been widely used in crop growth monitoring due to its operational flexibility and high image resolution. However, because of the dense growth of the cotton canopy in UAV remote sensing imagery, the boll opening condition in the lower parts of the canopy cannot be completely observed. In contrast, UAV imagery can effectively monitor cotton leaf chlorophyll content (SPAD) and leaf area index (LAI), both of which undergo continuous changes during the boll opening process. Therefore, this study proposes using SPAD and LAI retrieved from UAV multispectral imagery as physiological intermediary variables to construct an empirical statistical equation and compare it with end-to-end machine learning baselines. Multispectral and ground synchronous data (n = 360) were collected in Baibi Town, Anyang, Henan Province, across four dates (8/28, 9/6, 9/13, 9/24). Twenty-eight commonly used vegetation indices were calculated from multispectral imagery, and Pearson’s correlation analysis was conducted to select indices sensitive to cotton SPAD, LAI, and BOR. Prediction models were constructed using the Random Forest (RF), Gradient Boosting Decision Tree (GBDT), Support Vector Machine (SVM), and Partial Least Squares (PLS) models. The results showed that GBDT achieved the best prediction performance for SPAD (R2 = 0.86, RMSE = 1.19), while SVM performed best for LAI (R2 = 0.77, RMSE = 0.38). The quadratic polynomial equation constructed using SPAD and LAI achieved R2 = 0.807 and RMSE = 0.109 in BOR testing, which was significantly better than the baseline model using vegetation indices to directly regress BOR. The method demonstrated stable performance in spatial mapping of BOR during the boll opening period and showed promising potential for guiding defoliant application and harvest timing. Full article
(This article belongs to the Special Issue Innovations in Agriculture for Sustainable Agro-Systems)
Show Figures

Figure 1

19 pages, 2648 KB  
Article
Connection Between the Microbial Community and the Management Zones Used in Precision Agriculture Cultivation
by Mátyás Cserháti, Dalma Márton, Ádám Csorba, Milán Farkas, Neveen Almalkawi, Ádám Hegyi, Balázs Kriszt and Tamás Szegi
Agriculture 2026, 16(2), 156; https://doi.org/10.3390/agriculture16020156 - 8 Jan 2026
Viewed by 34
Abstract
In precision agriculture, the delineation of Management Zones (MZs) is essential for optimizing input use efficiency and site-specific nutrient management. MZs are established based on spatial variability derived from remote sensing data—such as Normalized Difference Vegetation Index (NDVI) from satellite or UAV-based imagery—and [...] Read more.
In precision agriculture, the delineation of Management Zones (MZs) is essential for optimizing input use efficiency and site-specific nutrient management. MZs are established based on spatial variability derived from remote sensing data—such as Normalized Difference Vegetation Index (NDVI) from satellite or UAV-based imagery—and yield maps collected during harvest. However, the microbial community composition of the soil is often overlooked in MZ delineation. To address this gap, we investigated the soil bacterial community structure across different MZs in an arable field. The zones were delineated using NDVI data, soil profiles were described, and bulk soil samples were collected. Soil physicochemical parameters were analyzed in parallel with 16S rRNA gene amplicon sequencing to characterize bacterial community composition and diversity. The results demonstrated that soil texture and soil organic matter content were the primary drivers influencing bacterial community structure across the field. Moreover, patterns in microbial composition aligned closely with MZ delineations, indicating that microbial profiles could aid in better understanding and supporting the nutrient management practices. Our findings suggest that soil microbiological data can enhance the stability and biological relevance of MZ definitions, thereby improving resource allocation, soil health management, and overall sustainability in precision farming systems. Full article
(This article belongs to the Section Artificial Intelligence and Digital Agriculture)
Show Figures

Figure 1

13 pages, 1771 KB  
Article
Exogenous Putrescine Application Mitigates Chill Injury in Melon Fruit During Cold Storage by Regulating Polyamine Metabolism and CBF Gene Expression
by Xiaoxue Li, Kelaremu Kelimujiang, Zhixia Zhao, Jian Zhang, Hong Yue, Pufan Zheng, Yinxing Zhang, Ting Zhang and Cunkun Chen
Horticulturae 2026, 12(1), 63; https://doi.org/10.3390/horticulturae12010063 - 4 Jan 2026
Viewed by 165
Abstract
When kept at a low temperature, yellow melons are prone to chilling injury. It is widely known that applying putrescine (Put) after harvest can prevent chilling harm in fruit. The best dosage of Put for treating yellow melon remains unknown, and the underlying [...] Read more.
When kept at a low temperature, yellow melons are prone to chilling injury. It is widely known that applying putrescine (Put) after harvest can prevent chilling harm in fruit. The best dosage of Put for treating yellow melon remains unknown, and the underlying mechanisms are not well understood. This study aimed to investigate the effects of exogenous putrescine application on chilling injury in melons and to elucidate the underlying physiological and molecular mechanisms involved. In this study, melons were treated with various concentrations of Put (0, 1, 2, and 4 mM), and the phenotype, chilling injury index, endogenous polyamine content, activities of crucial enzymes, and expression levels of associated genes (CmADC, CmODC, CmSAMDC1-4, CmSPDS1-2, CmSPMS1-2, and CmCBF1-4) were measured during storage. In our study on yellow melon, we found that treatment with 2 mM Put optimally alleviated chilling injury. This effect was achieved by enhancing the activities of ADC, AIH, CPA, ODC, SAMDC, DAP, and PAO, thereby regulating the endogenous levels of Put, Spd, and Spm. Furthermore, Put mainly impacted the expression of CmCBFs, which might help regulate downstream cold-inducible genes, leading to the improvement of tolerance in yellow melon fruit. Exogenous Put enhances melon chilling tolerance by activating endogenous polyamine biosynthesis and the CBF signaling pathway. This provides an effective strategy for post-harvest preservation of melons and might serve as a guide for future research into the mechanism involved in Put-induced chilling tolerance in horticulture crops. Full article
Show Figures

Figure 1

29 pages, 6257 KB  
Article
WGMG-Net: A Wavelet-Guided Real-Time Instance Segmentation Framework for Automated Post-Harvest Grape Quality Assessment
by Haoyuan Hao, Lvhan Zhuang, Yi Yang, Chongchong Yu, Xinting Yang and Jiangbo Li
Agriculture 2026, 16(1), 121; https://doi.org/10.3390/agriculture16010121 - 2 Jan 2026
Viewed by 184
Abstract
Grading of table grapes depends on reliable berry-level phenotyping, yet manual inspection is subjective and slow. A wavelet-guided instance segmentation network named WGMG-Net is introduced for automated assessment of post-harvest grape clusters. A multi-scale feature merging module based on discrete wavelet transform is [...] Read more.
Grading of table grapes depends on reliable berry-level phenotyping, yet manual inspection is subjective and slow. A wavelet-guided instance segmentation network named WGMG-Net is introduced for automated assessment of post-harvest grape clusters. A multi-scale feature merging module based on discrete wavelet transform is used to preserve edges under dense occlusion, and a bivariate fusion enhanced attention mechanism is used to strengthen channel and spatial cues. Instance masks are produced for all berries, a regression head estimates the total berry count, and a mask-derived compactness index assigns clusters to three tightness grades. On a Shine Muscat dataset with 252 cluster images acquired on a simulated sorting line, the WGMG-Net variant attains a mean average precision at Intersection over Union (IoU) 0.5 of 98.98 percent and at IoU 0.5 to 0.95 of 87.76 percent, outperforming Mask R-CNN, PointRend and YOLO models with fewer parameters. For berry counting, a mean absolute error of 1.10 berries, root mean square error of 1.48 berries, mean absolute percentage error of 2.82 percent, accuracy within two berries of 92.86 percent and Pearson correlation of 0.986 are achieved. Compactness grading reaches Top-1 accuracy of 98.04 percent and Top-2 accuracy of 100 percent, supporting the use of WGMG-Net for grape quality evaluation. Full article
(This article belongs to the Section Artificial Intelligence and Digital Agriculture)
Show Figures

Figure 1

18 pages, 2219 KB  
Article
Supplementary Light Intensity and Harvest Date Affect Midrib Oxidative Pinking and Related Metabolites in Two Romaine Lettuce Cultivars with Contrasting Discolouration Sensitivities
by Muhamad Hazwan Yahya, Martin Chadwick and Carol Wagstaff
Horticulturae 2026, 12(1), 57; https://doi.org/10.3390/horticulturae12010057 - 1 Jan 2026
Viewed by 137
Abstract
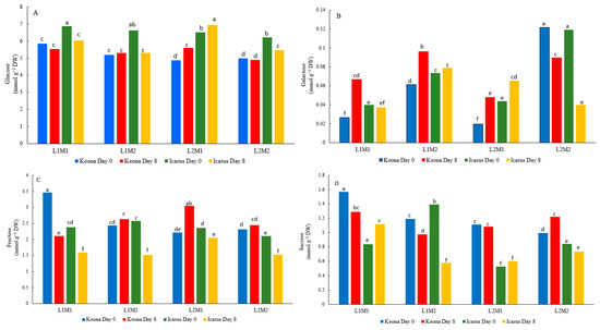
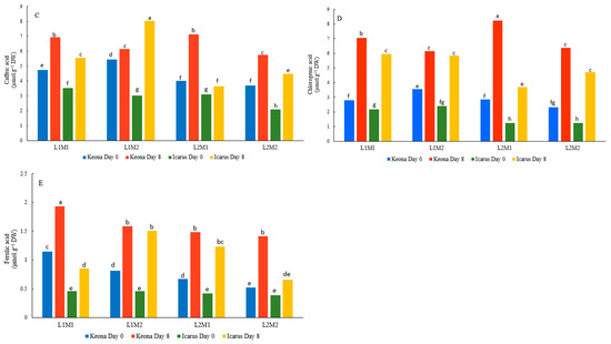
This study elucidates the variations in phenolic acids, soluble sugars, and pinking development of midribs of two cultivars of Romaine lettuce (Keona—high pinking and Icarus—low pinking) under two light intensities (high L1—558 and low L2—244 µmol m−2 s−1) harvested at [...] Read more.
This study elucidates the variations in phenolic acids, soluble sugars, and pinking development of midribs of two cultivars of Romaine lettuce (Keona—high pinking and Icarus—low pinking) under two light intensities (high L1—558 and low L2—244 µmol m−2 s−1) harvested at two harvest dates (M1—42 and M2—49 days after transplanting, DAT). The pinking index of Keona was higher than that of Icarus on 8 days of storage (5 °C). The concentrations of cinnamic acid were reduced in most treatments for both cultivars during storage, except for Keona grown in L2 with M2 harvest. Upon storage, the concentrations of coumaric acid in Keona were similar regardless of light intensities and harvest dates. Coumaric acid and caffeic acid concentrations in Icarus in L1 harvested at M2 were the highest. Low light intensity with M1 harvest enhanced the concentration of chlorogenic acid in Keona, but a similar situation reduced its content in Icarus during storage. Icarus contained higher initial concentrations of glucose under both light intensities, regardless of harvest dates, compared to Keona. In conclusion, high pinking was associated with high phenolic acids except for cinnamic acid. High light intensities and more advanced harvests increased the pinking of Keona but not of the Icarus. Full article
(This article belongs to the Special Issue Horticultural Crops Responses to LED Lighting)
Show Figures

Figure 1

20 pages, 1883 KB  
Article
Agrivoltaics in the Tropics: Soybean Yield Stability and Microclimate Buffering Across Wet and Dry Seasons
by Sung Yoon, MinKyoung Kim, SeungYeun Han and Jai-Young Lee
Agronomy 2026, 16(1), 116; https://doi.org/10.3390/agronomy16010116 - 1 Jan 2026
Viewed by 378
Abstract
Agrivoltaics (APV) offers a promising dual land-use solution for food and energy production, yet empirical data regarding its impact on leguminous crops in tropical monsoon climates remain limited. This study evaluated the microclimate, growth, and yield of soybean (Glycine max) under an APV [...] Read more.
Agrivoltaics (APV) offers a promising dual land-use solution for food and energy production, yet empirical data regarding its impact on leguminous crops in tropical monsoon climates remain limited. This study evaluated the microclimate, growth, and yield of soybean (Glycine max) under an APV system compared to an open-field control during the wet and dry seasons in Bogor, Indonesia. The APV structure reduced incident solar radiation by approximately 35%, significantly lowering soil temperatures and maintaining higher soil moisture across both seasons. In the wet season, the APV treatment significantly increased grain yield (3528.8 vs. 1708.3 kg ha−1, +106%) relative to the open field by mitigating excessive heat and radiative loads, which enhanced pod retention. In the dry season, APV maintained a yield advantage (2025.6 vs. 1724.4 kg ha−1, +17%), driven by improved water conservation and a higher harvest index. Notably, shading did not delay phenological development or hinder vegetative growth in either season. These findings demonstrate that APV systems can contribute to sustainably higher yields and stability in tropical environments by buffering against season-specific environmental stresses, suggesting a viable pathway for sustainable agricultural intensification in equatorial regions. Full article
(This article belongs to the Section Farming Sustainability)
Show Figures

Figure 1

20 pages, 2951 KB  
Article
Vibration-Excited Combined Harvester for Dual Harvesting of Ears and Stalks: Design and Experiments
by Xinxin Wang, Yang Wang, Qian Wang, Xiang Li, Ruo Liu, Junlin Liu, Yansong Gong, Yushuai Liu and Duanyang Geng
Agriculture 2026, 16(1), 104; https://doi.org/10.3390/agriculture16010104 - 31 Dec 2025
Viewed by 206
Abstract
Aiming at the reliability of ear picking and the consistency of stalk chopping length in the process of corn ear and stalk harvesting, a new type of corn harvester with both ear and stalk harvesting based on exciting ear picking was developed. Based [...] Read more.
Aiming at the reliability of ear picking and the consistency of stalk chopping length in the process of corn ear and stalk harvesting, a new type of corn harvester with both ear and stalk harvesting based on exciting ear picking was developed. Based on the vertical cutting table, the machine realizes the excitation of the ear during the process of stalk transportation by rotating the eight-edged special-shaped pick-up roll, and the stable and orderly transportation of stalks before cutting is realized by the way of clamping and conveying with the rear rollers. By analyzing the configuration and parameter determination methods of the main working parts, the high-efficiency and low-loss harvest of the ear was realized, and the consistency of the cut length of the stalk was guaranteed. A discrete element model (DEM) of ear-bearing maize plants was established using EDEM (version 2024, Altair Engineering, Troy, MI, USA) simulation software, and a five-factor, three-level quadratic orthogonal rotation experiment was conducted based on Response Surface Methodology (RSM). The simulation results indicated that the optimal operational quality was achieved under the following parameters: a header angle of 10°, a snapping roller speed of 942 rpm, a clamping roller speed of 215 rpm, and a moving blade speed of 1450 rpm. Furthermore, multiple sets of field trials were conducted at various forward speeds to validate these findings. The mean values of seed loss rate, ear loss rate, and seed breakage rate are 0.51%, 0.55%, and 0.32%, respectively, for the harvester at operating speeds of 4 km/h, 6 km/h, 8 km/h, and 10 km/h. The σ values are 97%, 98%, 97%, and 98%. The field harvesting performance indexes meet the requirements of technical specifications for evaluating the operation quality of corn combine harvester, and meet the design requirements of low loss, high efficiency, and consistency of stem chopping length. Full article
(This article belongs to the Section Agricultural Technology)
Show Figures

Figure 1

39 pages, 3919 KB  
Article
Useful Plants in Homegardens and Their Contribution to Food Self-Sufficiency in a Rural Community
by Plácida Virgen López-Gallardo, Mónica Pérez-Nicolás, José Amando Gil Vera-Castillo, Alfredo Saynes-Vásquez, Irán Alia-Tejacal, Arturo de la Rosa-Galindo, Omar Jacobo-Villegas and Victoriano Evodio Cruz Cruz
Sustainability 2026, 18(1), 394; https://doi.org/10.3390/su18010394 - 31 Dec 2025
Viewed by 333
Abstract
Homegardens are traditional agroforestry systems that harbor genetic resources and ancestral knowledge, as well as contributing to food security and self-sufficiency in many rural communities. In this study, we analyze homegardens in a Mixtec community in coastal Oaxaca, Mexico, to document their arrangement [...] Read more.
Homegardens are traditional agroforestry systems that harbor genetic resources and ancestral knowledge, as well as contributing to food security and self-sufficiency in many rural communities. In this study, we analyze homegardens in a Mixtec community in coastal Oaxaca, Mexico, to document their arrangement and components, the useful flora and fauna they contain, and the social, cultural and economic aspects associated with their management. We used snowball sampling to perform semistructured interviews with 36 women in charge of homegardens, which represented 10% of the total homes in the community. During guided tours, we diagrammed the homegardens and collected and identified plant specimens to compile a full floristic listing. Plant specimens were deposited in the CHAP herbarium. We also calculated the Jacknife alpha diversity index and Sorensen’s beta diversity index to quantify the diversity of the garden flora. We summarized the interview data using descriptive statistics and performed a multiple regression analysis to evaluate the effects of the size of the homegarden and the homegarden owner’s age, years of school attendance, and language use on the number of useful plant species in the garden. Additionally, we conducted a multiple correspondence analysis on the homegardens, the sociodemographic variables, and the plant species contained. The components of the homegardens were the main dwelling, patio, kitchen, bathroom, chicken coop, and pigpen. We documented 15 animal species from 15 genera and 13 families and 236 plant species from 197 genera and 84 families. The most represented plant families were Araceae, Fabaceae and Apocynaceae. The main plant uses were ornamental, edible, and medicinal. The multiple correspondence analysis and multiple regression both showed sociodemographic variables to make a very low contribution to homegarden species richness (evidenced by low percentage variance explained and no statistically significant effects, respectively). The first-order Jacknife diversity index estimated a total of 309 plant species present in the homegardens, indicating high agrobiodiversity. The Sorensen index value ranged from 0.400 to 0.513. Similarity among the gardens was mostly due to high similarity among edible plants. There was community-level resilience in family food self-sufficiency, as 80.56% of the interviewees use harvest from their homegardens to cover their families’ food needs. Women play a central role in the establishment and management of the gardens. Overall, our findings demonstrate that homegardens in this community are sustainable; have high agrobiodiversity; provide food, medicine, and well-being to residents; contribute to food self-sufficiency; and conserve agrobiodiversity as well as traditional culture and knowledge. Full article
(This article belongs to the Section Sustainability, Biodiversity and Conservation)
Show Figures

Figure 1

15 pages, 6156 KB  
Article
Gestational High-Fat Diet Drives Premature Differentiation of Orexigenic Neurons and Reactivity of Astrocytes in the Fetal Rat Lateral Hypothalamus
by Nuria Galindo-Solano, Ximena Trejo-Villarreal, Geovanna Díaz-Olivares, Gustavo Rea-Palomino, Dayna Montes-Aguirre, Maricela Villagrán-Santa-Cruz and Gabriel Gutiérrez-Ospina
Brain Sci. 2026, 16(1), 52; https://doi.org/10.3390/brainsci16010052 - 30 Dec 2025
Viewed by 227
Abstract
Background/Objectives: Gestational exposure to a high-fat diet (HFD) reprograms hypothalamic orexigenic circuits prenatally. However, whether astrocytes, critical modulators of this system, are also imprinted by HFD in the fetal brain remains unknown. We investigated the impact of HFD on the prenatal neuroglial [...] Read more.
Background/Objectives: Gestational exposure to a high-fat diet (HFD) reprograms hypothalamic orexigenic circuits prenatally. However, whether astrocytes, critical modulators of this system, are also imprinted by HFD in the fetal brain remains unknown. We investigated the impact of HFD on the prenatal neuroglial architecture of the lateral hypothalamic area (LHA). Methods: Female Wistar rats were fed a control or a 60% fat diet for 12 weeks. Upon reaching obesity (Lee index ≥ 310), dams were mated. Fetuses were harvested via cesarean section at term, and their brains were processed for immunohistochemistry and morphometry to assess cell proliferation, orexin neuron density, and astrocytic reactivity in the LHA. Results: HFD significantly increased cell proliferation and orexinergic neuron density, and induced early signs of astrocyte reactivity in the fetal LHA. These findings reveal that both neuronal and glial components of the LHA orexigenic axis are structurally reprogrammed before birth. Conclusions: This study provides the first evidence that HFD simultaneously alters neuronal and glial developmental trajectories in the fetal hypothalamus. The concurrent programming of astrocytes and orexigenic neurons suggests a prenatal origin for neuroinflammatory susceptibility, reframing obesity as a neurodevelopmental disorder shaped by early life nutritional environments. Full article
(This article belongs to the Section Developmental Neuroscience)
Show Figures

Figure 1

22 pages, 726 KB  
Article
Spatial Variation in Cd, Pb, Hg, and Zn Accumulation in Edible Wild-Growing Mushroom Species from Different Environmentally Loaded Areas in Southern Poland: Risk Assessment and Implications for Consumer Safety
by Monika Rusin, Joanna Domagalska, Agnieszka Czendlik, Natalia Wróbel and Anna Kidoń
Toxics 2026, 14(1), 36; https://doi.org/10.3390/toxics14010036 - 29 Dec 2025
Viewed by 377
Abstract
The uptake and accumulation of heavy metals by wild-grown mushrooms is raising health concerns for consumers worldwide with respect to variability conditioned by species and harvesting site specificity. This study aims to evaluate the concentration of elements (Zn) and heavy metals (Cd, Pb, [...] Read more.
The uptake and accumulation of heavy metals by wild-grown mushrooms is raising health concerns for consumers worldwide with respect to variability conditioned by species and harvesting site specificity. This study aims to evaluate the concentration of elements (Zn) and heavy metals (Cd, Pb, Hg) in wild-growing edible mushroom samples (n = 200) collected from industrial and non-industrial areas in Poland. Over half of the analyzed mushroom samples (51%) exceeded EU limits for Cd, Pb, or Hg. Xerocomellus chrysenteron and X. subtomentosus (XCS) showed the highest accumulation, with median Cd and Pb concentrations of 3.53 mg/kg and 0.63 mg/kg fresh mass, respectively, in industrial areas. Spatial factors, including distance from emission sources and wind direction, significantly influenced element accumulation, with Cd levels in XCS up to 20 times higher than in Suillus species. A high-consumption scenario (96 g/day) indicated a substantial non-carcinogenic risk (HQ > 1) from Cd exposure via XCS consumption, both in industrial (HQ up to 9.01) and non-industrial areas (HQ max = 1.80), with cumulative hazard index (HI) ranging from 1.21 to 11.01. It is imperative to select the optimal regions for mushroom harvesting and to refrain from consuming species that accumulate elements to the greatest extent. Full article
(This article belongs to the Section Agrochemicals and Food Toxicology)
Show Figures

Graphical abstract

25 pages, 1862 KB  
Article
Agro-Morphological Characterization of 14 Quinoa (Chenopodium quinoa Willd.) × Pitseed Goosefoot (C. berlandieri Moq.) Interspecific Hybrid-Derived Lines in an Arid Zone
by Elmer Gonzalo Ramos-Tarifa, Alberto Anculle-Arenas, José Luis Bustamante-Muñoz, Eric N. Jellen and Mayela Elizabeth Mayta-Anco
Agronomy 2026, 16(1), 82; https://doi.org/10.3390/agronomy16010082 - 27 Dec 2025
Viewed by 378
Abstract
Quinoa, in addition to its nutritional benefits, is adaptable to, and tolerant of, high-altitude and Mediterranean environmental conditions. However, its largely cross-compatible free-living ancestor, pitseed goosefoot, possesses expansive adaptive variation as its ecotypes are found on arid or well-drained soils throughout temperate and [...] Read more.
Quinoa, in addition to its nutritional benefits, is adaptable to, and tolerant of, high-altitude and Mediterranean environmental conditions. However, its largely cross-compatible free-living ancestor, pitseed goosefoot, possesses expansive adaptive variation as its ecotypes are found on arid or well-drained soils throughout temperate and subtropical North America. In this context, the objective of this study was to characterize F7:10 lines from quinoa × pitseed goosefoot hybrids to identify promising lines with desirable agronomic traits and adaptation to hyper-arid production environments. The agro-morphological characterization of 14 interspecific experimental lines plus wild parents (5), checks (3, including one derived from a much earlier wide cross), and an F2 population was performed for 25 quantitative and 26 qualitative descriptors, along with calculation of the selection index. Among the morphological variables, the average number of primary branches per plant (NPB) was six (CV = 78%), the average plant height (PH) was 143.5 cm (CV = 40%), and the average panicle diameter (PDI) was 17.9 cm (CV = 62%). With regard to the yield component variables, the average harvest index (HI) was 39% (CV = 36%), the average weight of 1000 grains (W1000G) was 2.59 g (CV = 42%), and the average yield per hectare (HYP) was 4.68 t ha−1 (CV = 65%). Regarding the correlations between variables, it was observed that all phenological phases showed positive correlations with plant height (PH) and negative correlations with yield components, specifically with DG, DT, HI, and W1000G. The highest-yielding lines were GR10 (8.16 t ha−1), GR07 (7.53 t ha−1), GR11 (7.27 t ha−1), and GR01 (7.02 t ha−1). Multivariate and cluster analyses identified four groups of lines, with groups II and IV standing out for their desirable agronomic traits. However, based on the selection index, lines RL08, RL07, ER06, GR03, and GR11 were identified as the most promising. In terms of quality, 18 out of the 23 lines were classified as sweet (<0.11% saponin) and 5 as bitter (>0.11 saponin). In conclusion, the selection index identified pitseed goosefoot cross-derived quinoa lines having superior yield potential, short plant height, large grain size, early maturity, and low saponin content. Full article
Show Figures

Figure 1

22 pages, 2367 KB  
Article
Harnessing the Potential of a Secondary Metabolite-Based Formulation for the Post-Harvest Disease Management and Shelf Life Extension of Banana
by Karma Beer, T. Damodaran, M. Muthukumar, Prasenjit Debnath, Akath Singh and Maneesh Mishra
Metabolites 2026, 16(1), 22; https://doi.org/10.3390/metabo16010022 - 25 Dec 2025
Viewed by 279
Abstract
Background: Post-harvest losses in bananas, particularly due to diseases such as anthracnose and stem-end rot, significantly limit their storage life and marketability. Developing effective and non-toxic treatments to prolong the shelf life of fruits while maintaining quality is crucial inenabling long-distance transport and [...] Read more.
Background: Post-harvest losses in bananas, particularly due to diseases such as anthracnose and stem-end rot, significantly limit their storage life and marketability. Developing effective and non-toxic treatments to prolong the shelf life of fruits while maintaining quality is crucial inenabling long-distance transport and facilitating exports. Methods: The most popular and commercial banana variety, ‘Grand Naine’, was treated with a proprietary secondary metabolite-based formulation (this refers to a solution containing natural compounds produced by living organisms, which are not directly involved in growth but can influence various biological processes, such as antimicrobial activity) and stored under cold conditions at 13 °C, using vacuum packaging (a method where air is removed from the packaging to reduce spoilage and prolong freshness). Untreated fruits were considered as controls, meaning that they were not subjected to the treatment and served as a baseline for comparison. Shelf life-related parameters such as ethylene production (a plant hormone responsible for triggering fruit ripening), ACC oxidase activity (an enzyme central to ethylene synthesis), respiration rate (the rate at which fruit consumes oxygen and produces carbon dioxide), firmness, total soluble solids (TSS; measures the sugar content in fruit), acidity, and metabolic composition were assessed, including indices of susceptibility to disease. These measurements were taken at regular intervals for both treated and control fruits. Results: Secondary metabolite-treated bananas maintained quality for 45 days, staying free from anthracnose and stem-end rot. Control fruits showed over-ripening and an 11.6% percent disease index (PDI). Treated fruits had lower ethylene production (7.80 μg/kg/s vs. 10.03 μg/kg/s in controls), reduced ACC oxidase activity, and a slower respiration rate, delaying ripening. They also had greater firmness (1.45 kg/cm2), optimal TSS (13.5 °Brix), balanced acidity (0.58%), and increased flavonoid and antioxidant levels compared to controls. Conclusions: Secondary metabolite-based treatment, combined with cold storage and vacuum packaging, extended banana shelf life to 45 days, minimized disease, and preserved fruit quality. This approach substantially reduced post-harvest losses, demonstrating export potential through extended storage. Full article
(This article belongs to the Section Food Metabolomics)
Show Figures

Figure 1

19 pages, 811 KB  
Article
Dissipation of Triazole Residues and Their Impact on Quality Parameters and Nutrient Contents in Tomato Fruits and Products: From Farm to Table
by Eman S. Elkholy, Atta A. Shalaby, Mahmoud M. Ramadan, Laila A. Al-Shuraym, Mustafa Shukry, Qichun Zhang, Ahmed A. A. Aioub and Rania M. Abd El-Hamid
Toxics 2026, 14(1), 20; https://doi.org/10.3390/toxics14010020 - 24 Dec 2025
Viewed by 291
Abstract
Triazole fungicides are used to protect tomato yield from fungal infection. However, information regarding triazole residues and dissipation profiles is limited. This study aimed to evaluate the behavior, residue dissipation, and potential risks of penconazole (PCZ, 10% EC, 25 cm3/100 L [...] Read more.
Triazole fungicides are used to protect tomato yield from fungal infection. However, information regarding triazole residues and dissipation profiles is limited. This study aimed to evaluate the behavior, residue dissipation, and potential risks of penconazole (PCZ, 10% EC, 25 cm3/100 L water) and difenoconazole (DFZ, 25% EC, 50 cm3/100 L water) applied during the fruiting stage of tomatoes over 15 days in Mit Al-Qurashi village, Dakahlia Governorate, Egypt. The study also examined the residue levels of PCZ and DFZ in tomatoes following household preparation methods, as well as the health risks and residue intake associated with these pesticides. Additionally, the impact of PCZ and DFZ residues on macro- and micro-nutrient levels, as well as quality parameters in tomato fruits, was investigated. Our data showed that PCZ and DFZ exhibited dissipation rates recorded at 70.88% and 73.33% after 6 days of application, then increased to 99.74% and 98.25% after 15 days of application, respectively, corresponding to half-lives of 2.08 and 2.78 days. The pre-harvest intervals (PHIs) were determined to be 9 days for DFZ and 12 days for PCZ. Based on risk assessment and Health Risk Index (HRI) calculations, the withholding periods for using treated tomato fruits for human consumption were extended to 15 days for DFZ treatment and reduced to 9 days for PCZ. Notably, tomato fruits treated with PCZ or DFZ could be safely consumed one day after application if processed into paste. However, other forms of processing, including washing with water, acetic acid (5%), and sodium carbonate (5%) for 5 min, significantly reduced the residue levels of the tested fungicides. Moreover, the tested fungicides not only significantly reduced the levels of macro- and micronutrients in tomato fruits but also altered the quality parameters of the tomatoes. These findings could guide the safe and responsible use of PCZ and DFZ in tomatoes, helping to prevent potential health risks to consumers. Full article
Show Figures

Graphical abstract

Back to TopTop