Next Article in Journal
Role of an Aqueous Extract of Duckweed (Lemna minor L.) in Increasing Salt Tolerance in Olea europaea L.
Previous Article in Journal
Trade-Off Strategy for Usage of Phosphorus Fertilizer in Calcareous Soil-Grown Winter Wheat: Yield, Phosphorus Use Efficiency, and Zinc Nutrition Response
 
 
Font Type:
Arial Georgia Verdana
Font Size:
Aa Aa Aa
Line Spacing:
Column Width:
Background:
Article

Design and Test of Seed–Fertilizer Replenishment Device for Wheat Seeder

National Key Laboratory of Agricultural Equipment Technology, Chinese Academy of Agricultural Mechanization Sciences Group Co., Ltd., Beijing 100083, China
*
Author to whom correspondence should be addressed.
Agriculture 2024, 14(3), 374; https://doi.org/10.3390/agriculture14030374
Submission received: 15 January 2024 / Revised: 4 February 2024 / Accepted: 5 February 2024 / Published: 26 February 2024
(This article belongs to the Section Agricultural Technology)

Abstract

In view of existing problems, such as the seed and fertilizer supply link for wheat seeders still relying on manual installation and the lack of practical application equipment, a seed–fertilizer replenishment device based on the three-degree-of-freedom mechanical arm and screw conveying principle is designed using the seed box installation and supply as the operation scenario to replace the manual installation process. Combined with the requirements of the seed box replenishment operation, the key parameters of the replenishment robot arm and the screw conveyor auger are determined. Then, the kinematic model of the replenishment robot arm is established based on the modified D-H method, forward and inverse kinematics calculations are performed, and the workspace is analyzed using the Monte Carlo method. Based on this, the robotic arm task path is designed, the fifth-degree polynomial interpolation method is used to complete the trajectory planning, and MATLAB R2016a software is used to simulate the motion trajectories of each joint, verifying the feasibility of the trajectory planning solution. Finally, a prototype is trial-produced and quadratic regression orthogonal testing and response surface analyses are conducted to obtain the optimal working parameters of the replenishment device. The verification test shows that when the angular velocity of the lumbar joint of the replenishment device is 4°/s, the speed of screw conveyor is 90 r/min, and the angle of the big arm is 12°, the conveying loss rate is 3.98%, and the conveying efficiency is 0.833 kg/s. The relative errors with the theoretical optimal values are 4.2% and 2.4%, respectively, both less than 5%. The supply trajectory is reasonable, and the robot arm runs smoothly. This study can provide reference for the design of seed–fertilizer replenishment device for wheat seeders.

1. Introduction

Wheat is one of the most important food crops in the world today. In 2021, China’s cereal planting area reached 100,177 thousand hectares, of which the wheat planting area reached 23,380 thousand hectares [1,2,3]. With the improvement of the seed metering structure and the development of precision seeding control technology, the operating efficiency and quality of wheat seeders have been greatly improved [4,5,6,7,8]. Researchers combine theoretical analysis and experimental data to carry out structural improvement and optimization designs of different structural types of seed metering devices such as mechanical, pneumatic, and centrifugal types, and they obtain the optimal operating parameters through simulation methods such as finite element and discrete element analysis to achieve high-speed seeding with a low breakage rate. By introducing intelligent control algorithms such as information-sensing fusion technology and adaptive fuzzy PID, the accuracy of the seeding volume has been significantly improved compared with traditional control methods, and the efficiency of precision seeding has been greatly improved [9,10,11,12,13,14,15,16,17]. However, the current seed box capacity of wheat seeders is limited and cannot meet the needs of continuous operation in large areas. Although increasing the volume of the seed box can increase the seed carrying capacity to a certain extent, it will also increase the size and weight of the machine, increase the energy consumption of the tractor, and affect the trafficability of the machine. In addition, excessive weight of the seeder will compact the soil, reduce soil porosity and air permeability, and affect seeding depth and seeding uniformity, resulting in poor seeding and ultimately affecting crop growth. Therefore, in order to improve the service life of the seeder and to avoid the above problems, it is necessary to study the seed box replenishment device and method.
For foreign countries, the UNVERFERTH410XL seed supply truck designed by John Deere Company [18] in the United States is equipped with multiple replaceable standard specification transfer seed boxes, uses a belt conveyor to output seeds, and achieves precise control of the discharging position by adjusting the length and angle of the conveying pipe. The 4-BoxSeedTote of CrustBuster Company (Spearville, KS, USA) [19] also uses a belt conveyor to reduce the breakage rate during seed transportation. In addition, it supports operators to use remote control devices to control the operation of the conveyor belt, seed box gate, and the length of the transportation pipe. The 55-series SeedRunner designed by the American Unverferth Manufacturing Company (Kalida, OH, USA) [20] integrates the silo into the seed supply truck, further increasing the seed carrying capacity and making it more versatile. The above seed conveying equipment improves the efficiency of seed box replenishment, but the operator still has to manually adjust the position of the conveying pipe during the replenishment process, and the adjustable area is small, making it impossible to fully automate the replenishment process. For China, Wei Liguo [21] et al. designed an adaptive docking and supply device for seed boxes with adjustable row spacing, and Lan Yubin [22] et al. designed an automatic replenishing vehicle suitable for unmanned seeders. But the above-mentioned device only remains in the theoretical stage. At present, seed box replenishment is mostly completed manually, or auxiliary equipment is used for ton package transportation. The lack of complete seed box replenishment equipment greatly limits the operating efficiency and quality of wheat seeders.
In response to the above problems, this article designed a seed–fertilizer replenishment device for wheat seeders, which integrates the replenishment mechanical arm with the spiral seed conveying auger to realize automatic docking and quantitative replenishment of the seed box, improving the replenishment efficiency of the seed box. Combining the task scenario and installation speed requirements, the key dimensions of the robotic arm and auger were designed; the kinematic analysis and trajectory planning of the robotic arm were performed, and simulation verification was completed. Finally, the trial production of the device was completed and orthogonal tests were conducted to obtain the optimal working parameters and verify the rationality of the device design and theoretical model. This research also provides technical reference for seed and fertilizer replenishment in unmanned farms.

2. Seed–Fertilizer Replenishment Device Plan and Working Principle

The field operation status of the wheat seeder is shown in Figure 1. When the seed box margin is insufficient, the machine tool stops working and opens the seed box cover. The seed box supply device is pulled by a tractor to the working area, which is behind the seeder. Compared with the two sides of the seeder, the rear working range is wider, which can effectively avoid interference between machines during vehicle driving and the docking process between the supply device and the seed box. The seed box of the wheat seeder is a wide integrated structure. The structure of the fertilizer box is similar to the seed box, but the width is usually smaller than the seed box. According to the characteristics of the seed and fertilizer box replenishment operation under this type of structure, the replenishment device and replenishment strategy are designed.
The structure of the wheat-seeder seed-box supply device is shown in Figure 2a, which mainly consists of a silo frame device, a supplying mechanical arm, and a screw conveyor system. The front side of the silo frame device is equipped with an articulated frame connected to the tractor vehicle, and the bottom is the feed port of the screw conveyor device with an adjustable opening. The supply-robot arm is installed at the front end of the silo and consists of three connecting rods: a waist joint, a big arm, and a small arm. There are spiral augers installed inside the waist joint and the big arm, respectively. The auger shaft at the bottom of the waist joint and the auger power shaft are driven by a chain. The supply device can be articulated and pulled with a tractor, and the tractor’s PTO system provides power to the screw conveyor. The two conveying augers at the big-arm joint of the supply manipulator are connected with universal joints, and the rotational speeds remain consistent. Each joint of the robotic arm is a rotating joint and is driven by a hydraulic push rod or hydraulic motor. The flow change of the hydraulic system is controlled through an electromagnetic proportional valve to control the joint speed of the robotic arm.
The working principle of the supply device is shown in Figure 2b. First, the supply vehicle is pulled by a tractor to the area behind the seed box of the seeder. At the same time, the vehicle’s body is parallel to the seed box, and the point O0 of the waist-joint axis is located in the middle of the width direction of the seed box. The supply-robot arm first moves to the right positioning point, and with the cooperation of the three joint angles, the discharge port moves along the center line of the seed box to the left positioning point. At the same time, the screw conveyor works to continuously output seeds. After reaching the preset supply amount, the screw conveyor stops, and then the supply-robot arm is reset, the seed-box cover of the seeder is closed, and the supply operation is completed. The structural parameters of the seed-box supply device are shown in Table 1.

3. Structural Design of Seed–Fertilizer Replenishment Device for Wheat Seeder

3.1. Structural Design and Kinematic Analysis of Supply-Robot Arm

3.1.1. Structural Design of Supply-Robot Arm

The main design parameter of the supply-robot arm is the length of each link [23,24]. The length of the waist-joint link is mainly determined using the frame size and the relative height of the seeder and the ground. The small arm link is mainly responsible for adjusting the inclination angle of the discharge port, so the docking range is mainly determined using the length of the big arm link. Due to limitations in the range of motion of the joint drive components and the joint structure, the maximum design angle of the big-arm joint is 45°, and the angle range during normal operation is usually 0~30°. During operation, a safe distance of about 1 m should be left between the two machines to prevent interference between vehicles. In order to meet the above operation requirements, the following requirements should be met:
l 2 sin θ 2 > d 1 + h
where l 2 is the big arm link length, mm; θ 2 is the angle between the boom link and the horizontal plane, mm; d 1 is half the width of the supply device, mm; and h is the machine working distance, mm.
When the joint angle of the big arm is 30°, the projection distance in the horizontal plane is the shortest. At this time, the length of the big-arm-connecting rod can be obtained, which is greater than 2078.5 mm. Finally, based on the actual situation, the size of the big arm is rounded to 2180 mm. At the same time, the small-arm-connecting rod is determined according to the structural characteristics. The size is 350 mm.

3.1.2. Kinematic Analysis of Supply-Robot Arm

(1)
Forward kinematic analysis
In order to obtain the relationship between the spatial coordinates of the outlet of the supply device and the joint angle of the robotic arm, a kinematic analysis of the robotic arm was performed [25,26]. The modified D-H method is used to set the link coordinate system of the robotic arm. A base coordinate system is established on the frame and each link coordinate system is established at the drive shaft of the rod. The link coordinate system of the supply-robot arm is shown in Figure 3.
According to the modified D-H method modeling rules, the parameter α i 1 represents the rotation angle between the connecting rod joint axis z i 1 and z i , and the parameter θ i represents the angle through which the connecting rod i has rotated around the joint axis z from the initial value. The parameter a i 1 is the distance between the joint rotation axes, and the parameter d i represents the distance between the relative positions of the links. The final D-H link parameters of the docking robotic arm are obtained as shown in Table 2. Among them, l 1 = 1195 mm, l 2 = 2180 mm, l 3 = 350 mm, a = 480 mm, and the rotation angle ranges of each joint are shown in Table 3.
The transformation matrix between adjacent connecting rod coordinate systems is as follows:
T 1 0 = [ cos θ 1 sin θ 1 0 0 sin θ 1 cos θ 1 0 0 0 0 1 l 1 0 0 0 1 ] T 2 1 = [ cos θ 2 sin θ 2 0 0 0 0 1 d 2 sin θ 2 cos θ 2 0 0 0 0 0 1 ] T 3 2 = [ cos θ 3 sin θ 3 0 l 2 sin θ 3 cos θ 3 0 0 0 0 1 0 0 0 0 1 ]
The transformation matrix of the coordinate system {3} relative to the coordinate system {0} can be obtained by multiplying the transformation matrices of each adjacent link:
P 0 = T 3 0 P 3 = T 1 0 T 2 1 T 3 2 P 3
The forward kinematics equation of the supply-robot arm is obtained as follows:
T 3 0 = [ n x o x a x P x n y o y a y P y n z o z a z P z 0 0 0 1 ]
where
n x = c 1 c 23 , n y = s 1 c 23 , n z = s 23 , o x = c 1 s 23 , o y = s 1 s 23 , o z = c 23 , a x = s 1 , a y = c 1 , a z = 0 , P x = s 1 d 2 + c 1 c 2 l 2 , P y = s 1 c 2 l 2 c 1 d 2 , P z = l 1 + s 2 l 2 . Besides, s 1 = sin θ 1 , c 1 = cos θ 1 , s 2 = sin θ 2 , c 2 = cos θ 2 , s 23 = sin ( θ 2 + θ 3 ) , c 23 = cos ( θ 2 + θ 3 ) .
The forward kinematics equation of the modified D-H method obtains the position coordinates of the center of the end of the connecting rod’s rotation axis. In order to obtain the coordinates of the end of the connecting rod, which is the discharge port, the original forward kinematics equation must be multiplied by the transformation vector: [ l 3 0 0 1 ] T . The forward kinematic equation of the connecting-rod end point is obtained as follows:
{ P x = c 1 c 23 l 3 + s 1 d 2 + c 1 c 2 l 2 P y = s 1 c 23 l 3 + s 1 c 2 l 2 c 1 d 2 P z = s 23 l 3 + l 1 + s 2 l 2
(2)
Inverse kinematic analysis
By analyzing the working requirements, the target posture of the end link of the robotic arm in the base coordinate system can be obtained. In order to control the hydraulic drive element to make the robotic arm reach the target posture, inverse kinematics analysis is performed. The solution process of each joint is as follows. Multiply the forward kinematics equations on the left by [ T 1 0 ] 1 to find the following:
[ T 1 0 ] 1 T 3 0 = [ T 1 0 ] 1 T 1 0 T 2 1 T 3 2
[ T 1 0 ] 1 T 3 0 = [ c 1 n x + s 1 n y c 1 o x + s 1 o y c 1 a x + s 1 a y c 1 P x + s 1 P y c 1 n y s 1 n x c 1 o y s 1 o x c 1 a y s 1 a x c 1 P y s 1 P x n z o z a z P z l 1 0 0 0 1 ]
[ T 1 0 ] 1 T 1 0 T 2 1 T 3 2 = [ c 23 s 23 0 c 2 l 2 0 0 1 d 2 s 23 c 23 0 s 2 l 2 0 0 0 1 ]
Let the elements (3, 4) in Equations (6) and (7) correspond to the same, and we can find
P z l 1 = s 2 l 2
Using trigonometric substitution we can solve
θ 2 = ± arcsin ( P z l 1 l 2 )
For the two possible solutions for the positive and negative signs, due to the restrictions on the angle range and rotation direction, a unique solution can be obtained, that is
θ 2 = arcsin ( P z l 1 l 2 )
In the same way, if the elements (2, 4) in Equations (6) and (7) are equal, we can find
{ c 1 P x + s 1 P y = c 2 l 2 c 1 P y s 1 P x = d 2
which can be solved using
θ 1 = arctan ( d 2 P x + c 2 l 2 P y c 2 l 2 P x d 2 P y )
Let the elements (3, 1) and (3, 2) in Equations (6) and (7) correspond to the same:
{ n z = s 23 o z = c 23
We can find
θ 2 + θ 3 = arctan ( n z o z )
θ 3 = arctan ( n z o z ) arcsin ( P z l 1 l 2 )
So far, the mathematical relationship between the joint angle of the supply manipulator and the spatial posture of the discharge port has been obtained.

3.2. Parameter Design of Screw Conveyor Device

The screw conveyor is a continuous conveying equipment that uses rotating spiral blades to push materials for forced conveying. Under the condition of ensuring sufficient and stable feeding, the material in the device has a stable filling coefficient [27]. Under this condition, the output of the material can be controlled by controlling the advancement speed of the material in the device. Therefore, controllable quantitative output of seeds can be achieved by designing the spiral auger parameters rationally. The structure of the spiral auger is shown in Figure 4.
The calculation formula for the conveying capacity Q of the spiral auger per unit time is as follows
Q = π 4 D 2 S n φ ρ ε
where Q is spiral conveyor flow rate, kg/min; D is spiral blade diameter, m; S is pitch, m; n is spiral blade speed, r/min; φ is fill factor; ρ is material density, kg/m3; ε is the inclined conveying coefficient.
It can be seen from Formula (16) that the conveying volume Q per unit time is related to D, S, n, φ , ρ , and ε , among which the material density of wheat seeds is 680 kg/m3, the filling coefficient φ , and the inclined conveying coefficient ε are related to the inclination angle. The inclined conveying coefficient is shown in Table 4.
During the spiral conveying process, the periodic changes in the space of the spiral cavity cause the real-time flow rate to pulsate. In order to ensure the uniformity and stability of the conveyed flow rate, each part of the spiral auger adopts the same pitch and blade diameter, at the same time, trying to choose a larger rotation speed within the permitted range to reduce the impact of periodic changes on flow consistency. Each section of the spiral auger is at horizontal, vertical, and inclination angles within the range of 0°~30° according to the actual installation and working status. It can be seen from Table 4 that the inclined conveying coefficient is the smallest in the vertical state, so the flow rate of the auger at the waist joint is the lowest at the same speed. The flow value of this section of the auger is the maximum flow rate that the entire screw conveying system can output, so it is φ = 0.46, ε = 0.30 for calculation. Increasing the spiral blade speed n can increase the conveying flow rate, but if the speed is too high, the centrifugal force on the material will be too large and the material will be thrown to the pipe wall, making it impossible to convey. The spiral speed satisfies the following empirical formula:
n max = A / D
where n max is maximum screw speed, r/min; A is comprehensive characteristic coefficient of materials.
The value of the comprehensive characteristic coefficient of the material is related to the state and surface properties of the material itself. For wheat seeds, the empirical value A = 46 is taken. According to the provisions of the Machinery Industry Standard of the People’s Republic of China JB/T7679-2019 [28] “Screw Conveyor”, the nominal diameter D size series of the spiral blades are 100, 125, 160, 200, 250, 315, and 400 mm, etc. The blades’ diameters are 200 mm, which is determined based on the structural dimensions of the whole machine. The size of the pitch determines the value of the helix angle and the slip surface where the material runs. It is usually calculated according to the following formula:
S = K s D
where Ks is the pitch coefficient.
Referring to the empirical value of the screw conveyor design, the pitch coefficient is usually Ks = 0.8~1.0. Combined with the recommended value in the above standards, the pitch is 200 mm. The value of the spiral blade speed should be less than its maximum value:
n n max
From Formula (17), it can be gathered that the maximum critical speed of the designed spiral blade is 102.9 r/min. According to the requirements of the research project on the supply flow value, the seed supply volume must reach 50 kg per minute. From Formula (16), it can be gathered that the rotation speed of the spiral blade at this flow rate is 84.7 r/min, which is lower than the maximum critical speed, which proves that the parameters of the designed spiral auger are reasonable and provides parameters for the selection of the reduction ratio of the power input sprocket. The flow rate at the maximum critical speed is 60.7 kg/min. Finally, the diameter Dl of the spiral auger shaft is usually 0.2~0.35 times the diameter of the spiral blade, so the shaft diameter is 40 mm.

4. Design of Seed-Supply Track for Wheat Seeder

4.1. Waypoint Selection

The supply-robot arm is large in size and weight, and has a large motion inertia. In order to ensure that it does not interfere or collide with other devices in the operating environment during the docking process, its docking motion trajectory is divided into the following five parts. In the first stage, the big arm is raised to a certain angle to adjust the discharge port to a certain height to prevent interference with other machines during subsequent movements. In the second stage, the waist joint and the small-arm joint cooperate to move the discharge port to the location point on the right side of the seed box. In the third stage, the small-arm-joint angle is adjusted so that the position of the outlet is always kept near the center line of the seed box. At the same time, the waist joint rotates until the outlet reaches the left location point of the seed box. At this time, the outlet returns to the location point on the right side of the seed box in the reverse direction, and repeat this stage until the seed box is full. In the fourth stage, the small-arm joint returns to the initial angle, and the waist joint returns to the initial state. In the fifth stage, the height of the big arm is reduced to the initial state.
The coordinates of the location points on both sides of the seed box are the key to the trajectory planning of this section. According to the positioning information of the seed box from the sensor, the coordinate values of the positioning points in the base coordinate system of the supply device can be obtained. In order to make the seed drop point located on both sides of the center line in the seed box, the coordinate values should be corrected. In the direction of the x0 coordinate axis, the offset distance caused by the seed falling parabola must be compensated, as shown in Figure 5. Assume that the offset distance between the seed throwing point and the end point of the discharge port is dp. Under ideal conditions, the following relationship is satisfied:
d p = ( P z h z ) tan ( π 2 + θ 2 + θ 3 )
where hz is the height of seeder, m.
Before starting the first phase of the exercise, the initial target value of the upper-arm-joint angle θ2 must be determined. In the third phase of the path, when the waist-joint angle θ1 = 90°, the big-arm-joint angle reaches the maximum value. Therefore, the target value of θ2 can be obtained using the following formula:
l 2 cos θ 2 + l 3 cos θ 2 + d p = d 1 + h + d 2
Seed transportation is carried out in the third stage. The value of θ1 corresponding to the left and right location points can be calculated from the inverse kinematics equation. The angle sensor is set to detect the value of θ1; when the value of θ1 corresponding to the right location point is triggered for the first time, the PTO acts, and the screw conveyor starts to run for replenishment; and when θ1 returns to this angle value again, it enters the next stage of the round trip. When it is detected that the seed box is full, the PTO is closed, the screw conveyor stops replenishing, and ends the journey after reaching the right positioning point this time.

4.2. Trajectory Planning

The connecting rod of the supply manipulator is large in size and weight, and the inertial force generated during operation is large. Sudden changes in joint angles will cause sudden changes in the force on the device, causing damage to the driving components. The running trajectory under the designed path is mainly straight, and there are no complex trajectories and intermediate path points that must be passed through, so this article performs trajectory planning in the joint space. In practical applications, a fifth-order polynomial [29] is usually used to interpolate the trajectory function of the joint angle:
θ ( t ) = a 0 + a 1 t + a 2 t 2 + a 3 t 3 + a 4 t 4 + a 5 t 5
There are a total of six undetermined coefficients in the formula. There are six constraints on the position, velocity, and acceleration of the same joint angle at the starting point and end point of a trajectory. Therefore, the constraints can be obtained as follows:
{ θ 0 = a 0 θ ˙ 0 = a 1 θ ¨ 0 = 2 a 2 θ f = a 0 + a 1 t f + a 2 t f 2 + a 3 t f 3 + a 4 t f 4 + a 5 t f 5 θ ˙ f = a 1 + 2 a 2 t f + 3 a 3 t f 2 + 4 a 4 t f 3 + 5 a 5 t f 4 θ ¨ f = 2 a 2 + 6 a 3 t f + 12 a 4 t f 2 + 20 a 5 t f 3
In order to obtain a smooth motion curve, the starting and ending values of the angular velocity of each joint in each trajectory are 0. The device itself has a large load. In order to protect the stability of the driving components and its own structure, the starting and ending values of the angular acceleration are set to 0, and the polynomial can be obtained through simplification. The coefficients are
θ ( t ) = θ 0 + 10 θ f 10 θ 0 t f 3 t 3 + 15 θ 0 15 θ f t f 4 t 4 + 6 θ f 6 θ 0 t f 5 t 5
At this point, the interpolation function for trajectory planning under joint angles is obtained. Set the straight-line trajectory of the outlet coordinates from the right positioning point (355, 1575, 2741) to the middle point (−480, 1541, 2741) and then to the left positioning point (−1186, 1095, 2741). The total time is set to 8 s; use the trajectory of the third stage to verify the planning results. Calculated using the inverse kinematics equation, the joint angle coordinates corresponding to each point are (60°, 45°, −45°), (90°, 45°, −90°), (120°, 45°, −45°); the first-stage motion trajectory under this target point is used to verify the planning effect of θ2. Write a program and draw the image in MATLAB, and obtain the relationship between the angle, angular velocity, and angular acceleration of each joint with time under this trajectory, as shown in Figure 6.
It can be observed from the figure that the joint angles of each segment of the planned trajectory change smoothly, there are no sudden changes in angular velocity and angular acceleration, the movement process of the robotic arm is smooth, and no large vibrations are generated, which can effectively protect the transmission structure and driving components of the robotic arm.

5. Simulation and Test of Seed–Fertilizer Replenishment Device for Wheat Seeder

5.1. Workspace Simulation

The workspace is an important basis for measuring the working performance of the supply manipulator. The Monte Carlo method [30,31] is used to verify the workspace of the manipulator. The joint angles of the manipulator are randomly traversed within the permitted value range. The kinematic equations are solved to obtain the corresponding end-point position of the robotic arm at each joint angle to form its workspace. Write programs in MATLAB software to draw three-dimensional and two-dimensional cross-sections of the workspace, use the Rand function to generate random values within the value range of each joint angle, and solve the corresponding spatial coordinates of the end points through the forward kinematics equation. Take the values and plot in the spatial coordinate system in the form of a point cloud diagram. Take the random number of points N = 100,000 and draw the three-dimensional workspace and planar workspace of the robotic arm, as shown in Figure 7 and Figure 8.
It can be seen from the figure that the maximum length of the horizontal coverage of the replenishment robot’s arm’s working space is 3162 mm, and the maximum width of the longitudinal swing range is 568 mm, which can meet the requirements of the replenishment seed box for the working space.

5.2. Prototype Test

5.2.1. Test Plan

In order to verify the theoretical analysis results and actual operating performance of the seed–fertilizer supply device, a device prototype was built and tested. The waist joint of the prototype is driven by a hydraulic motor with deceleration gears. The big-arm and small-arm joints are driven by a hydraulic cylinder, respectively. The hydraulic system flow of each driving element is adjusted using an electromagnetic proportional valve to control the movement process. Angle sensors installed on each joint detect the joint angle in real time to achieve precise closed-loop control of the angular displacement of each joint of the robotic arm. The test was conducted in the factory of Shandong Beiyuan Machinery Equipment Co., Ltd. in December 2023. The test object was wheat seeds, and the variety was Zhong Mai 175. The tractor model is FOISON F-1000; its PTO speed is adjustable in 8 levels within the range of 540–720 r/min. The auger power input shaft sprocket reduction ratio is 1:8, and the width of the seed supply box is 2440 mm.
In preliminary tests, it was found that when the angular velocity of lumbar joint is higher than 12°/s, a large number of seeds are thrown out of the seed box, resulting in serious seed transportation losses, and the impact force on the joint of the robotic arm is large when starting and stopping. When it is lower than 4°/s, the total replenishment time will be long, resulting in low replenishment efficiency. When the speed of the screw conveyor is higher than 90 r/min, a large number of wheat seeds fall outside the seed box, resulting in high transportation loss. When it is lower than 67.5 r/min, the seed transportation efficiency is low, resulting in a waste of resources. The minimum limit value of the angle of the big arm that the big-arm structure can reach is 0°. When it is greater than 30°, the supply efficiency of the device is relatively low, and the distance between the discharge port and the seed box is too large. In order to further analyze the impact of various factors on replenishment efficiency and mass loss rate, and obtain the optimal working parameter combination, a quadratic regression orthogonal test of three factors and three levels was conducted on the influencing factors. The test factors and levels are shown in Table 5.

5.2.2. Test Indicator and Method

Design the test with reference to the current standards GB/T5667-2008 [32] “Agricultural Machinery Production Test Methods” and GB/T5262-2008 [33] “General Provisions for Determination of Agricultural Machinery Test Conditions”. Adjust various machine parameters according to the orthogonal experimental design, set the waist-joint angular speed by controlling the proportional solenoid valve flow, adjust the PTO speed to change the auger speed, and change the relative position of the seed box and the supply device to adjust the tilt angle of the big arm during supply operations. Complete the supply operations under each group of test factor combinations.
In order to evaluate the operating effect of the screw conveyor system of the supply device, two evaluation indicators are set: conveying efficiency Vc and conveying loss rate Mc. Before the test starts, let the conveying device run for a period of time to complete the pre-filling of the barrel, and then transport the seeds to the target seed box according to the set trajectory, and time it for 10 s. After the timer ends, weigh the mass of the seeds in the seed box as Mr. Collect the seeds that have not fallen into the seed box. The mass of the seeds in the seed box and the part falling into the seed box are weighed together as Mf. The theoretical output mass M is converted from the aforementioned spiral conveying flow calculation formula. The conveying loss rate and conveying efficiency are calculated as shown in Equation (25).
{ M c = | M r M M | × 100 % V c = M f t c
where Mr is effective supply quality, kg; M is theoretical output quality, kg; Mf is actual output quality, kg; tc is replenishment time, s.

5.2.3. Test Results and Analysis

Based on the Box-Benhnken center combination design theory in the Design-Expert13.0 software, the lumbar joint angular velocity, auger rotation speed, and big-arm tilt angle are selected as influencing factors to conduct a response surface test study, with the conveying loss rate and conveying efficiency as the response values. A three-factor, three-level quadratic regression orthogonal experimental scheme is used for parameter optimization. The prototype test of the seed–fertilizer supply device of the wheat seeder is shown in Figure 9, and the orthogonal test plan and results are shown in Table 6.
Based on the above experimental data, the Design-Expert13 software was used to perform multiple regression fitting analysis on the experimental results, and the quadratic regression equation model of the conveying loss rate Y1 and the conveying efficiency Y2 was obtained as
Y 1 = 3.06 + 1.73 X 1 + 1.61 X 2 + 0.3287 X 3 + 0.3175 X 1 X 2 0.0050 X 1 X 3 0.0525 X 2 X 3 + 0.4465 X 1 2 + 1.25 X 2 2 + 1.69 X 3 2
Y 2 = 0.7508 + 0.0015 X 1 + 0.1139 X 2 0.0141 X 3 + 0.0025 X 1 X 2 + 0.0000 X 1 X 3 0.0018 X 2 X 3 + 0.0002 X 1 2 + 0.007 X 2 2 + 0.0005 X 3 2
The results of variance analysis are shown in Table 7. According to the results of variance analysis, the p values of the conveying loss rate and conveying efficiency model in the response surface model are both less than 0.0001, indicating that the regression model is highly significant. In the conveying loss rate, four regression items X1, X2, X22, and X32 have a highly significant impact on the regression model (p < 0.01), and two regression items X3 and X12 have a significant impact on the regression model (p < 0.05). There are three regression items in conveying efficiency, X2, X3, and X22, which have a highly significant impact on the regression model (p < 0.01). Under the equation after removing the non-significant regression terms
Y 1 = 3.06 + 1.73 X 1 + 1.61 X 2 + 0.3287 X 3 + 0.4465 X 1 2 + 1.25 X 2 2 + 1.69 X 3 2
Y 2 = 0.7508 + 0.1139 X 2 0.0141 X 3 + 0.007 X 2 2
According to the analysis results of the regression model, Design-Expert13 software is used to draw a response surface for the impact of interactive factors on the conveying loss rate and conveying efficiency, as shown in Figure 10 and Figure 11.
(1)
Effects of independent factors
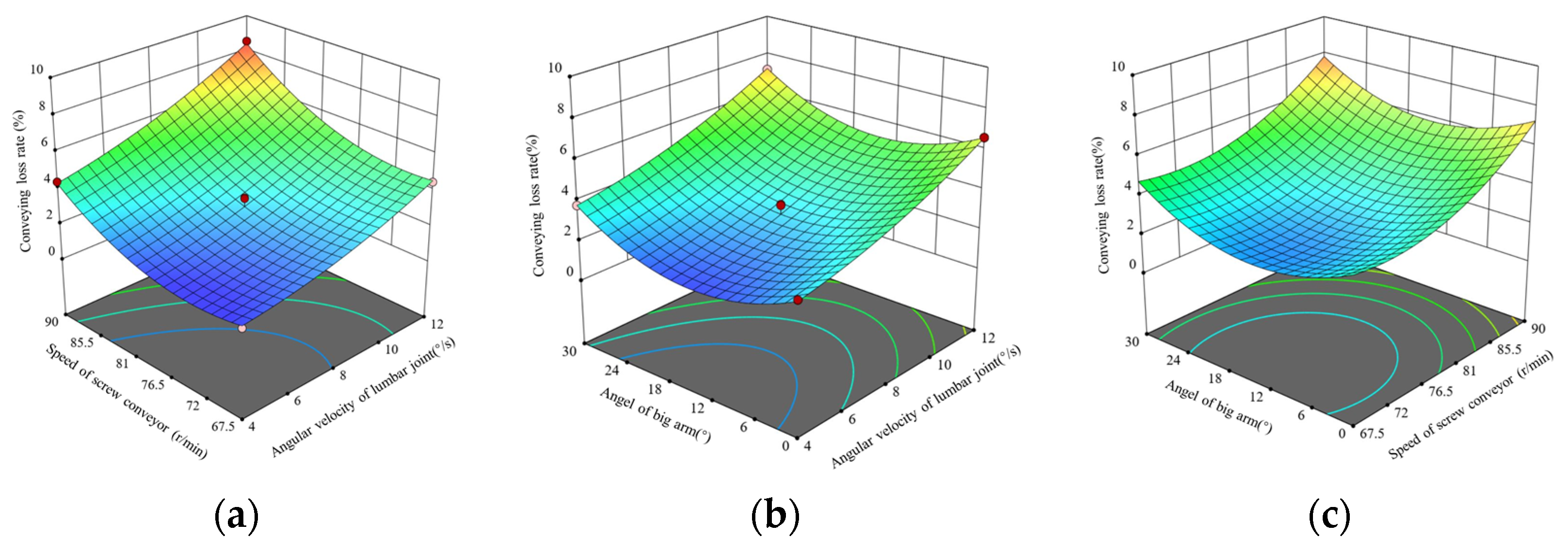
From Figure 10, the impact of independent factors on the conveying loss rate can be analyzed. The conveying loss rate increases with the increase in the speed of the screw conveyor and angular velocity of the lumbar joint. As the angle of the big arm increases, the conveying loss rate first decreases and then increases. Similarly, by analyzing Figure 11, it can be found that the conveying efficiency increases as the speed of the screw conveyor increases. As the angle of the big arm increases, the conveying efficiency decreases to a certain extent. However, changes in the angular velocity of the lumbar joint have no obvious impact on the conveying efficiency.
(2)
Effects of interactive factors
Among the interaction factors, the one that has the most significant influence on the conveying loss rate and conveying efficiency is analyzed.
It can be seen from Figure 10a that when the auger rotation speed increases from 67.5 r/min to 90 r/min and the lumbar joint angular velocity increases from 4°/s to 12°/s, the conveying loss rate gradually increases. The reason for the above phenomenon is that as the auger speed increases, the seeds collide with the pipe wall and flow back under the action of centrifugal force, resulting in a reduction in the conveying volume. In addition, the increase in the auger speed increases the seed throwing range at the discharge port. The increase in the angular velocity of the lumbar joint causes the seeds to be thrown out of the seed box under the action of centrifugal force, further increasing the conveying loss rate.
It can be seen from Figure 11a that when the auger rotation speed increases from 67.5 r/min to 90 r/min and the big-arm joint angle decreases from 30° to 0°, the conveying efficiency continues to increase. The reason for the above phenomenon is that the increase in auger speed increases the transportation volume per unit time. As the tilt angle of the big arm increases, the auger filling rate decreases and the seed return flow increases, which reduces the conveying efficiency. However, since the conveying volume of the lumbar joint auger is not enough to reach the maximum filling volume of the auger in the big arm, the angle of the big arm has little impact on the conveying efficiency.

5.2.4. Parameter Optimization and Experimental Verification

Optimize and solve the objective function, and the constraint conditions are
{ s . t .   min Y 1 ( X 1 , X 2 , X 3 ) s . t .   max Y 2 ( X 1 , X 2 , X 3 ) s . t .   4 / s X 1 12 / s s . t .   67 . 5   r / min X 2 90.0   r / min s . t .   0 X 3 30 s . t .   0 Y 1 10 % s . t .   0 Y 2 1   kg / s
The theoretical optimal solution is obtained when the lumbar joint angular velocity is 4°/s, the speed of the screw conveyor is 88.4 r/min, and the angle of the big arm is 11.77°, the minimum conveying loss rate is 3.82%, and the maximum conveying efficiency is 0.854 kg/s. Basically consistent with theoretical analysis and prediction, it can be used as a reference for device operating parameters. In order to verify the accuracy of the optimization results, three repeated verification tests were completed using the above parameters. The test method is consistent with the above method, and the results are averaged. Considering the feasibility of adjusting the test parameters, the speed of the screw conveyor is rounded to 90 r/min, the angle of big arm is rounded to 12°, and the lumbar joint angular velocity is 4°/s. The test results are shown in Table 8.
It can be seen from Table 8 that the average values of the experimental verification values of the supply device’s conveying loss rate and conveying efficiency are 3.98% and 0.833 kg/s, respectively. The relative errors between the experimental values and the theoretical optimization values are 4.2% and 2.4%, respectively, both of which are less than 5%. The parameter optimization results are reliable. In addition, during the test, each joint moved smoothly, with only a slight tremor when starting and stopping, and no obvious impact or vibration.

6. Conclusions

(1)
In view of the current situation that the installation of seeds and fertilizers on wheat seeders relies on manual labor, an automatic seed–fertilizer supply device based on a three-degree-of-freedom mechanical arm and the screw conveying principle is designed. The pitch and blade diameter of the conveying auger are determined to be 200 mm, and the supplying mechanical big-arm length is 2180 mm.
(2)
The kinematic modeling analysis of the supply-robot arm is carried out, the supply path is determined, and the supply trajectory is planned using a fifth-order polynomial. MATLAB is used to simulate and verify the workspace and trajectory planning effects.
(3)
After trial-making a prototype and conducting a quadratic regression orthogonal test, the optimal working parameters of the screw conveyor device are obtained: the lumbar joint angular speed is 4°/s, the speed of screw conveyor is 88.4 r/min, and the arm inclination angle is 11.77°, and the minimum conveying loss rate is 3.82%, and the maximum conveying efficiency is 0.854 kg/s. The supply path is reasonably designed, and the robotic arm operates stably, which verifies the feasibility of the design.
It is found in the test that when the screw conveyor rotates at a high speed, the material flow will spread in a conical shape at the outlet, and some seeds will be thrown out of the seed box, and the damage of seeds caused by the collision between the seeds and the side wall will be more serious. In addition, during the replenishment process, the output flow rate is always a fixed value, and the replenishment efficiency needs to be improved. In the future, the outlet structure will be improved and filled with flexible materials such as rubber to condense the material flow, and the different auger speeds will be adaptively matched according to the amount of filling in the seed box to improve the transportation efficiency and stability of the entire replenishment process. In the future, unmanned driving and spatial location recognition technology can be combined to realize seed and fertilizer replenishment in unmanned farm scenarios and fill the technical gap.

Author Contributions

Conceptualization, L.W. (Liguo Wei) and Q.W.; data curation, L.W. (Liguo Wei) and K.N.; formal analysis, L.W. (Liguo Wei) and S.B.; funding acquisition, K.N.; investigation, L.W. (Liang Wei); methodology, L.W. (Liguo Wei) and Q.W.; project administration, L.W. (Liguo Wei) and K.N.; resources, S.B.; software, C.Q. and N.H.; supervision, L.W. (Liang Wei) and C.Q.; visualization, Q.W. and N.H.; writing—original draft, L.W. (Liguo Wei) and Q.W.; Writing—review and editing, L.W. (Liguo Wei) and Q.W. All authors have read and agreed to the published version of the manuscript.

Funding

This research was funded by the National Key Research and Development China Project, grant number (2022YFD2001502). The APC was funded by Xinjiang Uygur Autonomous Region Major Science and Technology Special Projects (2022A02003-3).

Institutional Review Board Statement

Not applicable.

Data Availability Statement

The data presented in this study are available on request from the corresponding author. The data are not publicly available as the device is in the research and development stage; it needs to be further studied and improved.

Conflicts of Interest

Author Liguo Wei was employed by the company Chinese Academy of Agricultural Mechanization Sciences Group Co., Ltd. The remaining authors declare that the research was conducted in the absence of any commercial or financial relationships that could be construed as potential conflicts of interest.

References

  1. Ke, L. Research on Key Technologies of Flexible Reels for Wheat Harvesters. Master’s Thesis, Shandong Agricultural University, Tai’an, China, 2022. [Google Scholar]
  2. Song, C.; Geng, H.; Fei, S.; Li, L.; Gan, T.; Zeng, C.; Xiao, Y.; Tao, Z. Research on wheat variety yield estimation based on multi-source data. Spectrosc. Spectr. Anal. 2023, 43, 2210–2219. [Google Scholar] [CrossRef]
  3. Hou, J.; Ma, D.; Li, H.; Zhang, Z.; Zhou, J.; Shi, S. Design and Experiment of Pneumatic Centrifugal Combined Precision Seed Metering Device for Wheat. Trans. Chin. Soc. Agric. Mach. 2023, 54, 35–45. [Google Scholar]
  4. Lu, C.; Fu, W.; Zhao, C.; Mei, H.; Meng, Z.; Dong, J.; Gao, N.; Wang, X.; Li, L. Design and experiment on real-time monitoring system of wheat seeding. Trans. Chin. Soc. Agric. Eng. 2017, 33, 32–40. [Google Scholar] [CrossRef]
  5. Chen, J.; Li, Y.; Qin, C.; Liu, C. Design and test of capacitive detection system for wheat seeding quantity. Trans. Chin. Soc. Agric. Eng. 2018, 34, 51–58. [Google Scholar] [CrossRef]
  6. Jiang, M.; Liu, C.; Du, X.; Dai, L.; Huang, R.; Yuan, H. Development of seeding rate detection system for precision and small amount sowing of wheat. Trans. Chin. Soc. Agric. Eng. 2021, 37, 50–58. [Google Scholar] [CrossRef]
  7. Gou, W.; Ma, R.; Yang, W.; Fan, G.; Lei, X.; Hui, K.; Yang, H. Design of opener on no-till wheat seeder. Trans. Chin. Soc. Agric. Eng. 2012, 28, 21–25. [Google Scholar]
  8. He, X.; Zhang, J.; Zhang, R.; Zhu, Y.; Wang, W.; Zhang, H. Development of the seed-ditch compaction device for wide-boundary sowing wheat. Trans. Chin. Soc. Agric. Eng. 2023, 39, 18–29. [Google Scholar] [CrossRef]
  9. Luo, W.; Chen, X.; Qin, M.; Guo, K.; Ling, J.; Gu, F.; Hu, Z. Design and Experiment of Uniform Seed Device for Wide-Width Seeder of Wheat after Rice Stubble. Agriculture 2023, 13, 2173. [Google Scholar] [CrossRef]
  10. An, X.; Cheng, X.; Wang, X.; Han, Y.; Li, H.; Liu, L.; Liu, M.; Liu, M.; Zhang, X. Design and Experimental Testing of a Centrifugal Wheat Strip Seeding Device. Agriculture 2023, 13, 1883. [Google Scholar] [CrossRef]
  11. Yan, B.X.; Zhang, D.X.; Cui, T.; He, X.T.; Ding, Y.Q.; Yang, L. Design of pneumatic maize precision seed-metering device with synchronous rotating seed plate and vacuum chamber. Trans. Chin. Soc. Agric. Eng. 2017, 33, 15–23. [Google Scholar]
  12. Liao, Y.T.; Wang, L.; Liao, Q.X. Design and test of an inside-filling pneumatic precision centralized seed-metering device for rapeseed. Int. J. Agric. Biol. Eng. 2017, 10, 56–62. [Google Scholar]
  13. Ma, X.; Gong, Q.; Wang, Q.; Xu, D.; Zhou, Y.; Chen, G.; Cao, X.; Wang, L. Design of an Air Suction Wheel-Hole Single Seed Drill for a Wheat Plot Dibbler. Agriculture 2022, 12, 1735. [Google Scholar] [CrossRef]
  14. Yang, W.; Li, J.; Fang, X.; Shang, S.; Du, W. Domestic and Foreign Current Situation and Development Trend of Seeding Mechanization in Maize Breeding. Agric. Eng. 2018, 8, 9–15. [Google Scholar]
  15. The First Oyjord Plot Seeder. Available online: https://www.oyjord.org/2017/08/29/the-first-oyjord-plot-seeder/ (accessed on 26 March 2022).
  16. Zhang, Z.; Guo, Q.; He, J.; Zhao, M.; Xing, Z.; Zeng, C.; Lin, H.; Wang, Q. Design and Experiment of Side-Shift Stubble Avoidance System for No-Till Wheat Seeder Based on Deviation-Perception Fusion Technology. Agriculture 2023, 13, 180. [Google Scholar] [CrossRef]
  17. Chen, J.; Li, Y.; Qin, C.; Liu, C. Design and Experiment of Precision Detecting System for Wheat-planter Seeding Quantity. Trans. Chin. Soc. Agric. Mach. 2019, 50, 66–74. [Google Scholar]
  18. Shi, Y.; Cheng, X.; Xi, X.; Shan, X.; Jin, Y.; Zhang, R. Research progress on the path tracking control methods for agricultural machinery navigation. Trans. Chin. Soc. Agric. Eng. 2023, 39, 1–14. [Google Scholar] [CrossRef]
  19. Fanshier, B.; Marler, R.L. CRUSTBUSTER/SPEED KING Inc. Grain Conveyor with High Lift Belt. U.S. Patent 201,113,374,404, 4 July 2013. [Google Scholar]
  20. Green Markets Fertilizer New, Pricing, Regulation and Supply Chain Group. Unverferth Unveils New Liquid Fert Applicator; American Unverferth Manufacturing Company: Kalida, OH, USA, 2016; Volume 40, p. 16. [Google Scholar]
  21. China Academy of Agricultural Mechanization Sciences Group Co., Ltd. An Automatic Docking and Feeding Device and Method for Seed Boxes of Seeders. CN Patent 202,310,673,150.8, 15 September 2023.
  22. Shandong University of Technology. An Automatic Feeding Vehicle Suitable for Driverless Seeders. CN Patent 202,310,230,615.2, 9 May 2023.
  23. Zhao, X.; Cao, G.; Zhang, P.; Ma, Z.; Zhao, L.; Chen, J. Dynamic Analysis and Lightweight Design of 3-DOF Apple Picking Manipulator. Trans. Chin. Soc. Agric. Mach. 2023, 54, 88–98. [Google Scholar]
  24. Tian, H.; Ma, H.; Wei, J. Workspace and Structural Parameters Analysis for Manipulator of Serial Robot. Trans. Chin. Soc. Agric. Mach. 2013, 44, 196–201. [Google Scholar]
  25. Guo, W.; Chen, Y.; Hou, X.; Hu, N. Inverse kinematics solving and motion control for a weeding robotic arm. Trans. Chin. Soc. Agric. Eng. 2009, 25, 108–112. [Google Scholar]
  26. Quan, L.; Peng, T.; Shen, L.; An, S.; Ji, Z.; Sun, T. Parameter optimization and experiment of manipulator for three-dimensional seedling tray management robot. Trans. Chin. Soc. Agric. Eng. 2017, 33, 10–19. [Google Scholar] [CrossRef]
  27. Mondal, D.; Ghosh, N. Study on filling factor of short length screw conveyor with flood-feeding condition. Mater. Today Proc. 2018, 5, 1286–1291. [Google Scholar] [CrossRef]
  28. JB/T7679-2019; Screw Conveyor. China Machine Press: Beijing, China, 2019.
  29. Wang, H.; Yang, Z.; Han, D.; Yao, Z.; Chen, J. Design and Experiment of Automatic Bowl Changing and Pot Shifting Secondary Transplanting Machine for Non-woven Container Seedlings. Trans. Chin. Soc. Agric. Mach. 2023, 54 (Suppl. S1), 84–92. [Google Scholar]
  30. Li, Z.; Fan, G.; Liang, Z.; Niu, C. Workspace analysis and experiments of orchard platform based on D-H method. Trans. Chin. Soc. Agric. Eng. 2020, 36, 25–34. [Google Scholar] [CrossRef]
  31. Liu, Z.; Liu, H.; Luo, Z.; Zhang, X. Improvement on Monte Carlo Method for Robot Workspace Determination. Trans. Chin. Soc. Agric. Mach. 2013, 44, 230–235. [Google Scholar]
  32. GB/T5667-2008; Agricultural Machinery Production Test Methods. Standards Press of China: Beijing, China, 2009.
  33. GB/T5262-2008; General Provisions for Determination of Agricultural Machinery Test Conditions. Standards Press of China: Beijing, China, 2009.
Figure 1. Wheat seeder field operation.
Figure 1. Wheat seeder field operation.
Agriculture 14 00374 g001
Figure 2. Replenishment device solution. (a) Structure of the supply device, 1. small arm (discharge port), 2. big arm, 3. spiral conveyor auger, 4. bin, 5. waist joint, 6. auger power shaft, 7. articulated frame, 8. wheel, 9. adjustable feed port; (b) principles of seed-box replenishment.
Figure 2. Replenishment device solution. (a) Structure of the supply device, 1. small arm (discharge port), 2. big arm, 3. spiral conveyor auger, 4. bin, 5. waist joint, 6. auger power shaft, 7. articulated frame, 8. wheel, 9. adjustable feed port; (b) principles of seed-box replenishment.
Agriculture 14 00374 g002
Figure 3. Modified D-H linkage coordinate system of supply-robot arm.
Figure 3. Modified D-H linkage coordinate system of supply-robot arm.
Agriculture 14 00374 g003
Figure 4. Structural diagram of spiral auger.
Figure 4. Structural diagram of spiral auger.
Agriculture 14 00374 g004
Figure 5. Docking principle of side view.
Figure 5. Docking principle of side view.
Agriculture 14 00374 g005
Figure 6. Changes in the motion status of each joint using the trajectory planning method in this paper. (a) Motion parameters of θ1; (b) motion parameters of θ2; and (c) motion parameters of θ3.
Figure 6. Changes in the motion status of each joint using the trajectory planning method in this paper. (a) Motion parameters of θ1; (b) motion parameters of θ2; and (c) motion parameters of θ3.
Agriculture 14 00374 g006
Figure 7. 3D workspace of the supply-robot arm.
Figure 7. 3D workspace of the supply-robot arm.
Agriculture 14 00374 g007
Figure 8. Planar workspace of the supply-robot arm. (a) x-y view; (b) x-z view.
Figure 8. Planar workspace of the supply-robot arm. (a) x-y view; (b) x-z view.
Agriculture 14 00374 g008
Figure 9. Scene of prototype test.
Figure 9. Scene of prototype test.
Agriculture 14 00374 g009
Figure 10. Response surface of the impact of interactive factors on conveying loss rate. (a) Speed of screw conveyor and angular velocity of lumbar joint. (b) Angel of big arm and angular velocity of lumbar joint. (c) Angel of big arm and speed of screw conveyor.
Figure 10. Response surface of the impact of interactive factors on conveying loss rate. (a) Speed of screw conveyor and angular velocity of lumbar joint. (b) Angel of big arm and angular velocity of lumbar joint. (c) Angel of big arm and speed of screw conveyor.
Agriculture 14 00374 g010
Figure 11. Response surface of the impact of interactive factors on conveying efficiency. (a) Speed of screw conveyor and angular velocity of lumbar joint. (b) Angel of big arm and angular velocity of lumbar joint. (c) Angel of big arm and speed of screw conveyor.
Figure 11. Response surface of the impact of interactive factors on conveying efficiency. (a) Speed of screw conveyor and angular velocity of lumbar joint. (b) Angel of big arm and angular velocity of lumbar joint. (c) Angel of big arm and speed of screw conveyor.
Agriculture 14 00374 g011
Table 1. Supply device structural parameters.
Table 1. Supply device structural parameters.
ParameterValue
Total measurement/(mm × mm × mm)3650 × 1600 × 1850
Silo size/(mm × mm × mm)1850 × 1500 × 880
Volume/m31.5
Wheelbase/mm1360
Supporting power value/kw12~37
PTO rated speed540
Table 2. Modified D-H linkage parameters of supply-robot arm.
Table 2. Modified D-H linkage parameters of supply-robot arm.
Linkage   ( i ) α i 1 (rad) a i 1 (mm) d i (mm) θ i (rad)
100 l 1 θ 1
2π/20−a θ 2
30 l 2 0 θ 3
Table 3. Rotation range of each joint.
Table 3. Rotation range of each joint.
JointMinimum (°)Maximum (°)
θ 1 −180180
θ 2 045
θ 3 −90−45
Table 4. Inclined conveying coefficient.
Table 4. Inclined conveying coefficient.
ItemInclination (°)
0510152030405060708090
Fill factor φ 10.970.940.920.880.820.760.700.640.580.520.46
Inclined conveying coefficient ε 0.50.460.460.420.400.380.360.350.350.320.320.30
Table 5. Factor level of experiment.
Table 5. Factor level of experiment.
LevelFactor
Angular Velocity of Lumbar Joint X1/(°/s)Speed of Screw Conveyor X2/(r/min)Angel of Big Arm X3/(°)
−1 467.50
0 878.7515
1 1290.030
Table 6. Results of orthogonal experimental.
Table 6. Results of orthogonal experimental.
No.Angular Velocity of Lumbar Joint X1/(°/s)Speed of Screw Conveyor X2/(r/min)Angel of Big Arm X3/(°)Conveying Loss Rate Y1/%Conveying Efficiency Y2/(kg/s)
1 467.5151.610.647
2 478.7503.190.761
3 478.75303.790.735
4 490154.390.87
5 867.504.080.658
6 867.5304.910.631
7 89007.190.889
8 890307.810.855
9 1267.5154.490.641
10 1278.7506.610.768
11 1278.75307.190.742
12 1290158.540.874
13 878.75152.430.751
14 878.75153.560.749
15 878.75152.940.747
16 878.75152.870.756
17 878.75153.510.751
Table 7. Variance analysis.
Table 7. Variance analysis.
SourceConveying Loss RateConveying Efficiency
Sum of SquaresDegree of FreedomMean SquareFpSum of SquaresDegree of FreedomMean SquareFp
Model 66.9797.4452.16<0.00010.105690.0117943.53<0.0001
X 1 23.98123.98168.09<0.00010101.450.268
X 2 20.61120.61144.47<0.00010.103710.10378342.11<0.0001
X 3 0.864610.86466.060.04330.001610.0016128.35<0.0001
X 1 X 2 0.403210.40322.830.13660102.010.1992
X 1 X 3 0.000110.00010.00070.979601001
X 2 X 3 0.01110.0110.07730.7890100.98510.354
X 1 2 0.839410.83945.880.04572.13 × 10−712.13 × 10−70.01710.8995
X 2 2 6.5716.5746.050.00030.000210.000216.470.0048
X 3 2 11.98111.9883.95<0.00019.50 × 10−719.50 × 10−70.07640.7902
Residual 0.998670.1427 0.000170
Lack of fit 0.098730.03290.14620.92690301.260.4008
Pure error 0.899940.225 040
Total 67.9716 0.105716
Note: p < 0.01 means highly significant; p < 0.05 means significant.
Table 8. Results of verification experiment.
Table 8. Results of verification experiment.
Test No.Conveying Loss Rate/%Conveying Efficiency/(kg/s)
Experimental ValueModel-Predicted ValueRelative ErrorExperimental ValueModel-Predicted ValueRelative Error
14.013.825.0%0.8360.8542.1%
23.953.823.4%0.8310.8542.7%
33.983.824.2%0.8330.8542.5%
Average3.983.824.2%0.8330.8542.4%
Disclaimer/Publisher’s Note: The statements, opinions and data contained in all publications are solely those of the individual author(s) and contributor(s) and not of MDPI and/or the editor(s). MDPI and/or the editor(s) disclaim responsibility for any injury to people or property resulting from any ideas, methods, instructions or products referred to in the content.

Share and Cite

MDPI and ACS Style

Wei, L.; Wang, Q.; Niu, K.; Bai, S.; Wei, L.; Qiu, C.; Han, N. Design and Test of Seed–Fertilizer Replenishment Device for Wheat Seeder. Agriculture 2024, 14, 374. https://doi.org/10.3390/agriculture14030374

AMA Style

Wei L, Wang Q, Niu K, Bai S, Wei L, Qiu C, Han N. Design and Test of Seed–Fertilizer Replenishment Device for Wheat Seeder. Agriculture. 2024; 14(3):374. https://doi.org/10.3390/agriculture14030374

Chicago/Turabian Style

Wei, Liguo, Qi Wang, Kang Niu, Shenghe Bai, Liang Wei, Conghui Qiu, and Nana Han. 2024. "Design and Test of Seed–Fertilizer Replenishment Device for Wheat Seeder" Agriculture 14, no. 3: 374. https://doi.org/10.3390/agriculture14030374

APA Style

Wei, L., Wang, Q., Niu, K., Bai, S., Wei, L., Qiu, C., & Han, N. (2024). Design and Test of Seed–Fertilizer Replenishment Device for Wheat Seeder. Agriculture, 14(3), 374. https://doi.org/10.3390/agriculture14030374

Note that from the first issue of 2016, this journal uses article numbers instead of page numbers. See further details here.

Article Metrics

Back to TopTop