A Hybrid LSTM Approach for Irrigation Scheduling in Maize Crop
Abstract
1. Introduction
2. Materials and Methods
2.1. Study Area and Data Collection
2.2. Methods
2.2.1. The Long Short-Term Memory Model (LSTM) Process
2.2.2. LSTM Model Training and Hyperparameter Tuning
2.2.3. Evaluation Metrics for the LSTM Model
2.2.4. AQUACROP Model Simulations
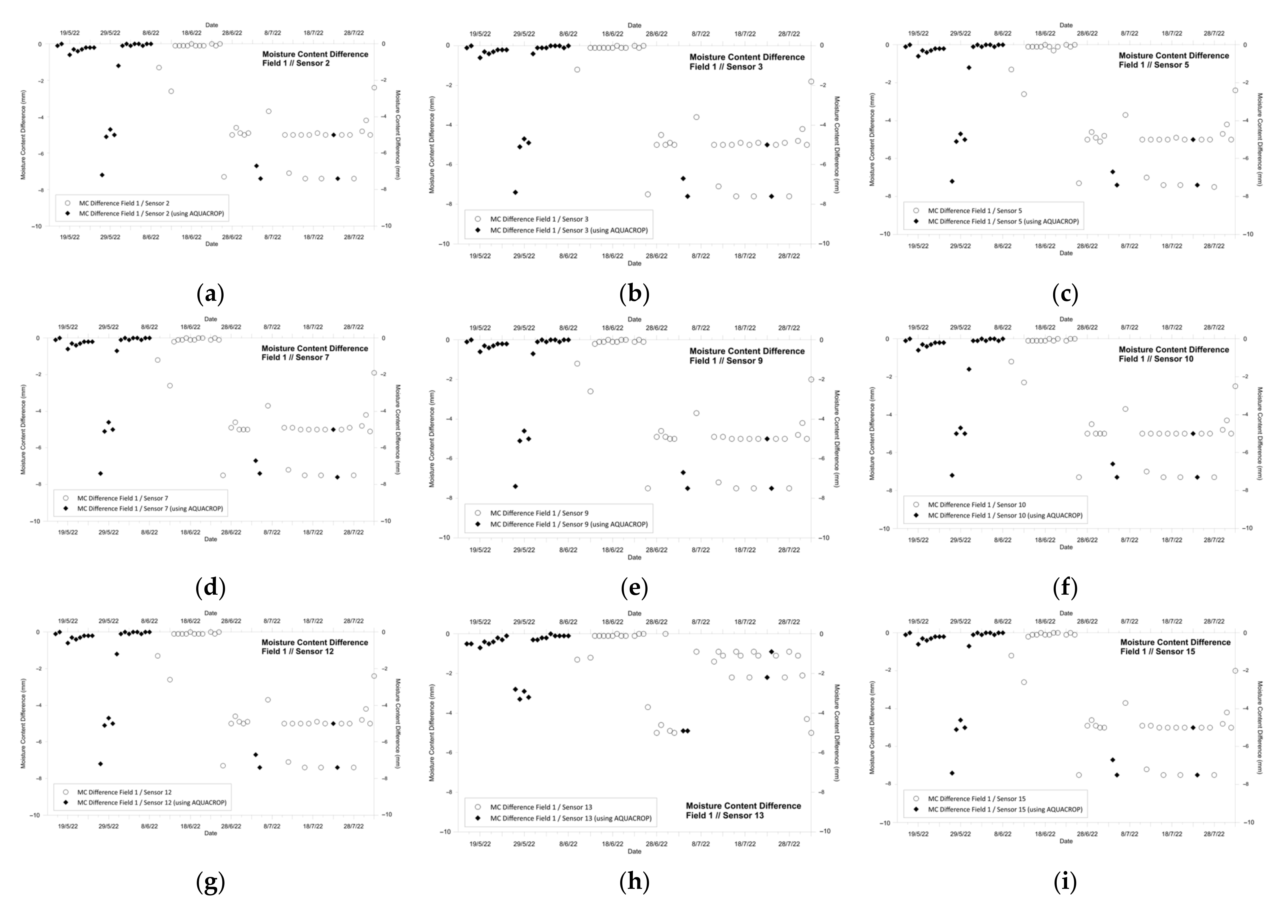
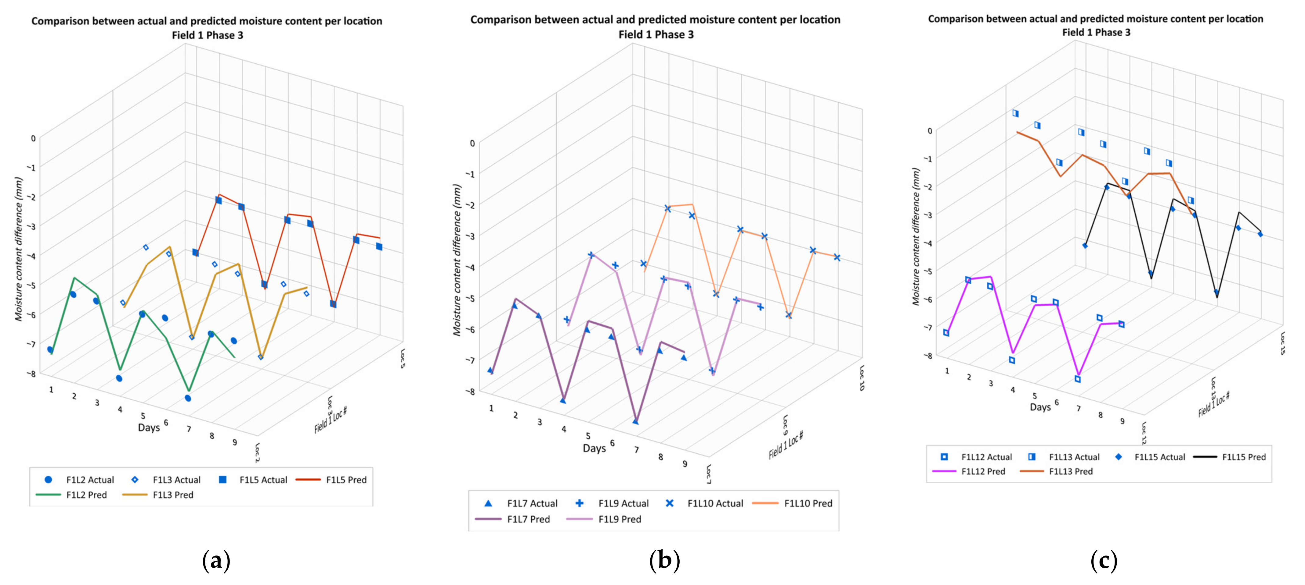
3. Results and Discussion
4. Conclusions
Author Contributions
Funding
Institutional Review Board Statement
Data Availability Statement
Conflicts of Interest
Appendix A





References
- Ramachandran, V.; Ramalakshmi, R.; Kavin, B.P.; Hussain, I.; Almaliki, A.H.; Almaliki, A.A.; Elnaggar, A.Y.; Hussein, E.E. Exploiting IoT and its enabled technologies for irrigation needs in agriculture. Water 2022, 14, 719. [Google Scholar] [CrossRef]
- Guan, Y.; Grote, K.; Schott, J.; Leverett, K. Prediction of soil water content and electrical conductivity using random forest methods with UAV multispectral and ground-coupled geophysical data. Remote Sens. 2022, 14, 1023. [Google Scholar] [CrossRef]
- Dumedah, G.; Coulibaly, P. Evaluation of statistical methods for infilling missing values in high-resolution soil moisture data. J. Hydrol. 2011, 400, 95–102. [Google Scholar] [CrossRef]
- Lin, S.L. Application of machine learning to a medium Gaussian support vector machine in the diagnosis of motor bearing faults. Electronics 2021, 10, 2266. [Google Scholar] [CrossRef]
- Wu, T.; Zhang, W.; Jiao, X.; Guo, W.; Hamoud, Y.A. Evaluation of stacking and blending ensemble learning methods for estimating daily reference evapotranspiration. Comput. Electron. Agric. 2022, 184, 106039. [Google Scholar] [CrossRef]
- Karandish, F.; Šimůnek, J. A comparison of numerical and machine-learning modeling of soil water content with limited input data. J. Hydrol. 2016, 543, 892–909. [Google Scholar] [CrossRef]
- Hong, Z.; Kalbarczyk, Z.; Iyer, R.K. Using a wireless sensor network and machine learning techniques. In Proceedings of the 2016 IEEE International Conference on Smart Computing (SMARTCOMP), St. Louis, MO, USA, 18–20 May 2016. [Google Scholar]
- Adeyemi, O.; Grove, I.; Peets, S.; Domun, Y.; Norton, T. Dynamic neural network modelling of soil moisture content for predictive irrigation scheduling. Sensors 2018, 18, 3408. [Google Scholar] [CrossRef]
- Tsang, S.W.; Jim, C.Y. Applying artificial intelligence modeling to optimize green roof irrigation. Energy Build. 2016, 127, 360–369. [Google Scholar] [CrossRef]
- Gu, J.; Yin, G.; Huang, P.; Guo, J.; Chen, L. An improved back propagation neural network prediction model for subsurface drip irrigation system. Comput. Electr. Eng. 2017, 60, 58–65. [Google Scholar] [CrossRef]
- Ramos, M.M.P.; Del Alamo, C.L.; Zapana, R.A. Forecasting of meteorolog1ical weather time series through a feature vector based on correlation. In Proceedings of the Computer Analysis of Images and Patterns: 18th International Conference, Salerno, Italy, 3–5 September 2019; Part I 18. Springer International Publishing: Berlin/Heidelberg, Germany, 2019; pp. 542–553. [Google Scholar]
- Farzad, M.; Shafieifar, M.; Azizinamini, A. Experimental and numerical study on bond strength between conventional concrete and Ultra High-Performance Concrete (UHPC). Eng. Struct. 2019, 186, 297–305. [Google Scholar] [CrossRef]
- Agyeman, B.T.; Naouri, M.; Appels, W.; Liu, J. Irrigation management zone delineation and optimal irrigation scheduling for center pivot irrigation systems. IFAC Pap. 2023, 56, 9906–9911. [Google Scholar] [CrossRef]
- Jenitha, R.; Rajesh, K. Intelligent irrigation scheduling scheme based on deep bi-directional LSTM technique. Int. J. Environ. Sci. Technol. 2023, 21, 1905–1922. [Google Scholar] [CrossRef]
- FAO. AquaCrop Stand-Alone Program, Version 7.0. 2022; Food and Agriculture Organization of the United Nations, Land and Water Division: Rome, Italy, 2022; Available online: https://www.fao.org/aquacrop/software/aquacropplug-inprogramme/en/ (accessed on 8 October 2022).
- Sandhu, R.; Irmak, S. Performance of AquaCrop model in simulating maize growth, yield, and evapotranspiration under rainfed, limited and full irrigation. Agric. Water Manag. 2019, 223, 105687. [Google Scholar] [CrossRef]
- Zhao, H.; Di, L.; Guo, L.; Zhang, C.; Lin, L. An Automated Data-Driven Irrigation Scheduling Approach Using Model Simulated Soil Moisture and Evapotranspiration. Sustainability 2023, 15, 12908. [Google Scholar] [CrossRef]
- Türkler, L.; Akkan, T.; Akkan, L.Ö. Detection of Water Leakage in Drip Irrigation Systems Using Infrared Technique in Smart Agricultural Robots. Sensors 2023, 23, 9244. [Google Scholar] [CrossRef] [PubMed]
- Sharu, E.H.; Ab Razak, M.S. Hydraulic Performance and Modelling of Pressurized Drip Irrigation System. Water 2020, 12, 2295. [Google Scholar] [CrossRef]
- Mouazen, A.M. Soil survey device. In International Publication Published under the Patent Cooperation Treaty (PCT); International Publication Number: WO2006/015463; World Intellectual Property Organization, International Bureau: Geneva, Switzerland, 2006. [Google Scholar]
- Dragino. LSE01-LoRaWAN Soil Moisture & EC Sensor User Manual. Available online: https://www.dragino.com/products/agriculture-weather-station/item/277-se01-lb.html (accessed on 17 August 2023).
- Kganyago, M.; Mhangara, P.; Alexandridis, T.; Laneve, G.; Ovakoglou, G.; Mashiyi, N. Validation of sentinel-2 leaf area index (LAI) product derived from SNAP toolbox and its comparison with global LAI products in an African semi-arid agricultural landscape. Remote Sens. Lett. 2020, 11, 883–892. [Google Scholar] [CrossRef]
- Maimaitijiang, M.; Sagan, V.; Sidike, P.; Daloye, A.M.; Erkbol, H.; Fritschi, F.B. Crop monitoring using satellite/UAV data fusion and machine learning. Remote Sens. 2020, 12, 1357. [Google Scholar] [CrossRef]
- Bianchi, F.M.; Maiorino, E.; Kampffmeyer, M.C.; Rizzi, A.; Jenssen, R. Recurrent Neural Networks for Short-Term Load Forecasting: An Overview and Comparative Analysis; Springer: Cham, Switzerland, 2017. [Google Scholar]
- Nguyen, A.D.; Le Nguyen, P.; Vu, V.H.; Pham, Q.V.; Nguyen, V.H.; Nguyen, M.H.; Nguyen, T.H.; Nguyen, K. Accurate discharge and water level forecasting using ensemble learning with genetic algorithm and singular spectrum analysis-based denoising. Sci. Rep. 2022, 12, 19870. [Google Scholar] [CrossRef]
- Kratzert, F.; Klotz, D.; Brenner, C.; Schulz, K.; Herrnegger, M. Rainfall–runoff modelling using long short-term memory (LSTM) networks. Hydrol. Earth Syst. Sci. 2018, 22, 6005–6022. [Google Scholar] [CrossRef]
- Ishfaque, M.; Dai, Q.; Haq, N.U.; Jadoon, K.; Shahzad, S.M.; Janjuhah, H.T. Use of recurrent neural network with long short-term memory for seepage prediction at Tarbela Dam, KP, Pakistan. Energies 2022, 15, 3123. [Google Scholar] [CrossRef]
- Belete, D.M.; Huchaiah, M.D. Grid search in hyperparameter optimization of machine learning models for prediction of HIV/AIDS test results. Int. J. Comput. Appl. 2022, 44, 875–886. [Google Scholar] [CrossRef]
- Yu, C.; Qi, X.; Ma, H.; He, X.; Wang, C.; Zhao, Y. LLR: Learning learning rates by LSTM for training neural networks. Neurocomputing 2020, 394, 41–50. [Google Scholar] [CrossRef]
- Zhang, J.; Hu, F.; Li, L.; Xu, X.; Yang, Z.; Chen, Y. An adaptive mechanism to achieve learning rate dynamically. Neural Comput. Appl. 2019, 31, 6685–6698. [Google Scholar] [CrossRef]
- Yin, H.; Jin, D.; Gu, Y.H.; Park, C.J.; Han, S.K.; Yoo, S.J. STL-ATTLSTM: Vegetable price forecasting using STL and attention mechanism-based LSTM. Agriculture 2020, 10, 612. [Google Scholar] [CrossRef]
- Achieng, K.O. Modelling of soil moisture retention curve using machine learning techniques: Artificial and deep neural networks vs. support vector regression models. Comput. Geosci. 2022, 133, 104320. [Google Scholar] [CrossRef]
- Kour, K.; Gupta, D.; Rashid, J.; Gupta, K.; Kim, J.; Han, K.; Mohiuddin, K. Smart Framework for Quality Check and Determination of Adulterants in Saffron Using Sensors and AquaCrop. Agriculture 2023, 13, 776. [Google Scholar] [CrossRef]
- Wang, F.; Xue, J.; Xie, R.; Ming, B.; Wang, K.; Hou, P.; Zhang, L.; Li, S. Assessing growth and water productivity for drip-irrigated maize under high plant density in arid to semi-humid climates. Agriculture 2022, 12, 97. [Google Scholar] [CrossRef]
- Schaap, M.G.; Leij, F.J.; van Genuchten, M.T. ROSETTA: A Computer Program for Estimating Soil Hydraulic Parameters with Hierarchical Pedotransfer Functions. J. Hydrol. 2001, 251, 163–176. [Google Scholar] [CrossRef]
- Van Genuchten, M.T. A Closed-Form Equation for Predicting the Hydraulic Conductivity of Unsaturated Soils. Soil Sci. Soc. Am. J. 1980, 44, 892–898. [Google Scholar] [CrossRef]
- Zhang, J.; Zhu, Y.; Zhang, X.; Ye, M.; Yang, J. Developing a Long Short-Term Memory (LSTM) based model for predicting water table depth in agricultural areas. J. Hydrol. 2018, 561, 918–929. [Google Scholar] [CrossRef]
- Alibabaei, K.; Gaspar, P.D.; Lima, T.M. Modeling soil water content and reference evapotranspiration from climate data using deep learning method. Appl. Sci. 2021, 11, 5029. [Google Scholar] [CrossRef]












| Model | Phase | |||
|---|---|---|---|---|
| Phase 1 | Phase 2 | Phase 3 | Phase 4 | |
| Training | 11 May–17 June 2022 | 11 May–28 June 2022 | 11 May–12 July 2022 | 11 May–24 July 2022 |
| Testing | 18 June–28 June 2022 | 29 June–12 July 2022 | 13 July–24 July 2022 | 25 July–3 August 2022 |
| Model | Hyperparameters | Values |
|---|---|---|
| LSTM | Number of fully connected layers | 1, 2, 3 |
| First layer size | 16, 32, 64, 100 | |
| Second layer size | 16, 32, 64, 100 | |
| Optimizer | Adam, SGD, RMSprop | |
| Dropout rate | 0, 0.1, 0.2 | |
| Number of epochs | 40, 80, 120 | |
| Batch size | 8, 16, 32 |
| Loc # | Silt | Clay | Sand | θr | θs | α | n | Ks | USDA Texture |
|---|---|---|---|---|---|---|---|---|---|
| (%) | (cm3/cm3) | (1/cm) | (−) | (cm/Day) | |||||
| Loc 2 | 29.99 | 37.36 | 32.68 | 0.0822 | 0.4411 | 0.0116 | 1.4204 | 8.77 | Clay Loam |
| Loc 3 | 28.79 | 39.36 | 32.01 | 0.0820 | 0.4429 | 0.0108 | 1.4388 | 10.41 | Clay Loam |
| Loc 5 | 29.48 | 36.75 | 34.25 | 0.0837 | 0.4453 | 0.0122 | 1.4052 | 8.46 | Clay Loam |
| Loc 7 | 30.05 | 38.21 | 31.51 | 0.0811 | 0.4388 | 0.0110 | 1.4346 | 9.42 | Clay Loam |
| Loc 9 | 30.62 | 38.90 | 30.49 | 0.0798 | 0.4370 | 0.0107 | 1.4455 | 9.82 | Clay Loam |
| Loc 10 | 29.74 | 35.87 | 34.65 | 0.0839 | 0.4445 | 0.0126 | 1.3969 | 7.97 | Clay Loam |
| Loc 12 | 30.97 | 37.27 | 31.30 | 0.0805 | 0.4361 | 0.0113 | 1.4296 | 8.60 | Clay Loam |
| Loc 13 | 30.29 | 40.06 | 29.50 | 0.0789 | 0.4356 | 0.0100 | 1.4608 | 10.79 | Clay |
| Loc 15 | 30.07 | 38.71 | 31.02 | 0.0806 | 0.4381 | 0.0108 | 1.4413 | 9.80 | Clay Loam |
| Loc # | Silt | Clay | Sand | θr | θs | α | n | Ks | USDA Texture |
|---|---|---|---|---|---|---|---|---|---|
| (%) | (cm3/cm3) | (1/cm) | (−) | (cm/Day) | |||||
| Loc 8 | 35.70 | 29.13 | 35.17 | 0.0824 | 0.4319 | 0.0162 | 1.3479 | 5.23 | Clay Loam |
| Loc 11 | 35.24 | 29.20 | 35.56 | 0.0828 | 0.4332 | 0.0161 | 1.3463 | 5.30 | Clay Loam |
| Loc 14 | 34.54 | 31.84 | 33.63 | 0.0814 | 0.4330 | 0.0144 | 1.3751 | 5.80 | Clay Loam |
| Loc 16 | 35.01 | 30.14 | 34.85 | 0.0823 | 0.4331 | 0.0155 | 1.3565 | 5.44 | Clay Loam |
| Loc 17 | 32.86 | 30.74 | 36.40 | 0.0840 | 0.4387 | 0.0152 | 1.3521 | 6.03 | Clay Loam |
| Loc 18 | 32.51 | 32.54 | 34.95 | 0.0831 | 0.4383 | 0.0141 | 1.3726 | 6.38 | Clay Loam |
| Phase 1 | Phase 2 | Phase 3 | Phase 4 | |
|---|---|---|---|---|
| 0.8264 | 0.8163 | 0.8422 | 0.9181 | |
| 0.9280 | 1.033 | 0.7220 | 0.4908 |
| Phase 1 | Phase 2 | Phase 3 | Phase 4 | |
|---|---|---|---|---|
| 0.8392 | 0.7602 | 0.7992 | 0.8417 | |
| 1.0242 | 1.5349 | 1.2582 | 0.6682 |
Disclaimer/Publisher’s Note: The statements, opinions and data contained in all publications are solely those of the individual author(s) and contributor(s) and not of MDPI and/or the editor(s). MDPI and/or the editor(s) disclaim responsibility for any injury to people or property resulting from any ideas, methods, instructions or products referred to in the content. |
© 2024 by the authors. Licensee MDPI, Basel, Switzerland. This article is an open access article distributed under the terms and conditions of the Creative Commons Attribution (CC BY) license (https://creativecommons.org/licenses/by/4.0/).
Share and Cite
Dolaptsis, K.; Pantazi, X.E.; Paraskevas, C.; Arslan, S.; Tekin, Y.; Bantchina, B.B.; Ulusoy, Y.; Gündoğdu, K.S.; Qaswar, M.; Bustan, D.; et al. A Hybrid LSTM Approach for Irrigation Scheduling in Maize Crop. Agriculture 2024, 14, 210. https://doi.org/10.3390/agriculture14020210
Dolaptsis K, Pantazi XE, Paraskevas C, Arslan S, Tekin Y, Bantchina BB, Ulusoy Y, Gündoğdu KS, Qaswar M, Bustan D, et al. A Hybrid LSTM Approach for Irrigation Scheduling in Maize Crop. Agriculture. 2024; 14(2):210. https://doi.org/10.3390/agriculture14020210
Chicago/Turabian StyleDolaptsis, Konstantinos, Xanthoula Eirini Pantazi, Charalampos Paraskevas, Selçuk Arslan, Yücel Tekin, Bere Benjamin Bantchina, Yahya Ulusoy, Kemal Sulhi Gündoğdu, Muhammad Qaswar, Danyal Bustan, and et al. 2024. "A Hybrid LSTM Approach for Irrigation Scheduling in Maize Crop" Agriculture 14, no. 2: 210. https://doi.org/10.3390/agriculture14020210
APA StyleDolaptsis, K., Pantazi, X. E., Paraskevas, C., Arslan, S., Tekin, Y., Bantchina, B. B., Ulusoy, Y., Gündoğdu, K. S., Qaswar, M., Bustan, D., & Mouazen, A. M. (2024). A Hybrid LSTM Approach for Irrigation Scheduling in Maize Crop. Agriculture, 14(2), 210. https://doi.org/10.3390/agriculture14020210

