Effects of Biological Additives on the Fermentation Quality and Microbial Community of High-Moisture Oat Silage
Abstract
1. Introduction
2. Materials and Methods
2.1. Materials and Reagents
2.2. Silage Preparation
2.3. Analysis of Fermentation Characteristics and Chemical Composition
2.4. Microbiological Analysis
2.5. Bacterial Community Sequencing Analysis
2.6. Statistical Analysis
3. Results
3.1. Characteristics of the Fresh Material Before Ensiling
3.2. Chemical Composition of Oat Silage
3.3. Fermentation Characteristics of Oat Silage
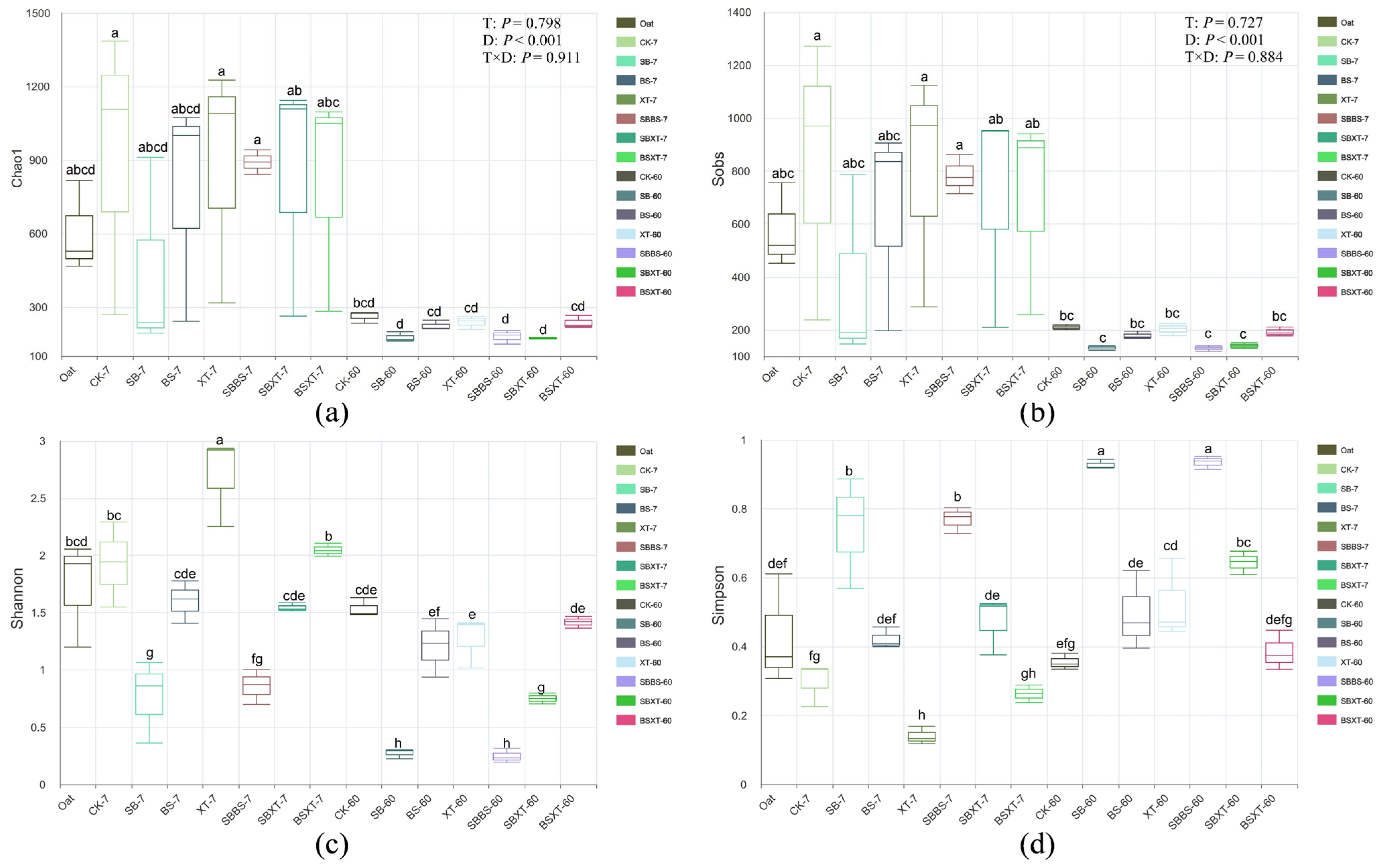
3.4. Effects of Additives on the Bacterial Community of Oat Silage
4. Discussion
4.1. Analysis of Fermentation Characteristics and Chemical Compositions of Oat Silage
4.2. Analysis of Microbial Community of Oat Silage
4.3. Correlation Analysis of Microbial Community and Fermentation Quality of Oat Silage
4.4. Predicted Functions of the Microbial Community in Oat Silage
5. Conclusions
Author Contributions
Funding
Institutional Review Board Statement
Data Availability Statement
Acknowledgments
Conflicts of Interest
References
- Menon, R.; Gonzalez, T.; Ferruzzi, M.; Jackson, E.; Winderl, D.; Watson, J. Oats-from farm to fork. Adv. Food Nutr. Res. 2016, 77, 1–55. [Google Scholar] [PubMed]
- Zhang, K.; Dong, R.; Hu, X.; Ren, C.; Li, Y. Oat-Based Foods: Chemical Constituents, Glycemic Index, and the Effect of Processing. Foods 2021, 10, 1304. [Google Scholar] [CrossRef] [PubMed]
- Mason, P.A. Dealing with silage effluent: Technical opportunities. In Silage Effluent: Problems and Solutions; Stark, B.A., Wilkinson, J.M., Eds.; Chalcombe Publications: Marlow, UK, 1988; pp. 21–36. [Google Scholar]
- Troller, J.A.; Stinson, J.V. Moisture Requirements for Growth and Metabolite Production by Lactic Acid Bacteria. Appl. Environ. Microbiol. 1981, 42, 682–687. [Google Scholar] [CrossRef] [PubMed]
- Li, P.; Liao, C.; Yan, L.; Zhang, C.; Chen, L.; You, M.; Cheng, Q.; Chen, C. Effects of Small-Scale Silo Types and Additives on Silage Fermentation and Bacterial Community of High Moisture Alfalfa on the Qinghai-Tibetan Plateau. Anim. Feed. Sci. Technol. 2023, 299, 115594. [Google Scholar] [CrossRef]
- Gebrehanna, M.M.; Gordon, R.J.; Madani, A.; VanderZaag, A.C.; Wood, J.D. Silage Effluent Management: A Review. J. Environ. Manag. 2014, 143, 113–122. [Google Scholar] [CrossRef]
- Zi, X.; Li, M.; Chen, Y.; Lv, R.; Zhou, H.; Tang, J. Effects of Citric Acid and Lactobacillus Plantarum on Silage Quality and Bacterial Diversity of King Grass Silage. Front. Microbiol. 2021, 12, 631096. [Google Scholar] [CrossRef]
- Jones, B.A.; Muck, R.E.; Ricke, S.C. Selection and Application of Streptococcus Bovis as a Silage Inoculant. Appl. Environ. Microbiol. 1991, 57, 3000–3005. [Google Scholar] [CrossRef]
- Guo, X.; Guo, W.; Yang, M.; Sun, Y.; Wang, Y.; Yan, Y.; Zhu, B. Effect of Bacillus Additives on Fermentation Quality and Bacterial Community during the Ensiling Process of Whole-Plant Corn Silage. Processes 2022, 10, 978. [Google Scholar] [CrossRef]
- Lowes, K.F.; Shearman, C.A.; Payne, J.; MacKenzie, D.; Archer, D.B.; Merry, R.J.; Gasson, M.J. Prevention of Yeast Spoilage in Feed and Food by the Yeast Mycocin HMK. Appl. Environ. Microbiol. 2000, 66, 1066–1076. [Google Scholar] [CrossRef]
- Wang, S.; Zhao, J.; Dong, Z.; Li, J.; Kak, N.A.; Shao, T. Sequencing and Microbiota Transplantation to Determine the Role of Microbiota on the Fermentation Type of Oat Silage. Bioresour. Technol. 2020, 309, 123371. [Google Scholar] [CrossRef]
- Knudsen, K.E.B. Fiber and Nonstarch Polysaccharide Content and Variation in Common Crops Used in Broiler Diets. Poult. Sci. 2014, 93, 2380–2393. [Google Scholar] [CrossRef] [PubMed]
- Wang, Q.; Wang, R.; Wang, C.; Dong, W.; Zhang, Z.; Zhao, L.; Zhang, X. Effects of Cellulase and Lactobacillus Plantarum on Fermentation Quality, Chemical Composition, and Microbial Community of Mixed Silage of Whole-Plant Corn and Peanut Vines. Appl. Biochem. Biotechnol. 2022, 194, 2465–2480. [Google Scholar] [CrossRef] [PubMed]
- Barbosa, F.C.; Silvello, M.A.; Goldbeck, R. Cellulase and Oxidative Enzymes: New Approaches, Challenges and Perspectives on Cellulose Degradation for Bioethanol Production. Biotechnol. Lett. 2020, 42, 875–884. [Google Scholar] [CrossRef] [PubMed]
- Polizeli, M.; Rizzatti, A.C.S.; Monti, R.; Terenzi, H.F.; Jorge, J.A.; Amorim, D.D.S. Xylanases from fungi: Properties and industrial applications. Appl. Microbiol. Biotechnol. 2005, 67, 577–591. [Google Scholar] [CrossRef]
- Liu, W.; Si, Q.; Sun, L.; Wang, Z.; Liu, M.; Du, S.; Ge, G.; Jia, Y. Effects of Cellulase and Xylanase Addition on Fermentation Quality, Aerobic Stability, and Bacteria Composition of Low Water-Soluble Carbohydrates Oat Silage. Fermentation 2023, 9, 638. [Google Scholar] [CrossRef]
- Liu, W.; Du, S.; Sun, L.; Wang, Z.; Ge, G.; Jia, Y. Study on Dynamic Fermentation of Oat Silage Assisted by Exogenous Fibrolytic Enzymes. Plants 2023, 13, 6. [Google Scholar] [CrossRef]
- Xu, J.; Zhang, K.; Lin, Y.; Li, M.; Wang, X.; Yu, Q.; Sun, H.; Cheng, Q.; Xie, Y.; Wang, C.; et al. Effect of Cellulase and Lactic Acid Bacteria on the Fermentation Quality, Carbohydrate Conversion, and Microbial Community of Ensiling Oat with Different Moisture Contents. Front. Microbiol. 2022, 13, 1013258. [Google Scholar] [CrossRef]
- Broderick, G.A.; Kang, J.H. Automated Simultaneous Determination of Ammonia and Total Amino Acids in Ruminal Fluid and in Vitro Media. J. Dairy. Sci. 1980, 63, 64–75. [Google Scholar] [CrossRef]
- Arthur Thomas, T. An Automated Procedure for the Determination of Soluble Carbohydrates in Herbage. J. Sci. Food Agric. 1977, 28, 639–642. [Google Scholar] [CrossRef]
- Association of Official Agricultural Chemists [AOAC]. Official Methods of Analysis of the AOAC International, 16th ed.; AOAC International: Washington, MD, USA, 1995. [Google Scholar]
- Van Soest, P.J.; Robertson, J.B.; Lewis, B.A. Methods for Dietary Fiber, Neutral Detergent Fiber, and Nonstarch Polysaccharides in Relation to Animal Nutrition. J. Dairy. Sci. 1991, 74, 3583–3597. [Google Scholar] [CrossRef]
- McDonald, P.; Henderson, A.R.; Heron, S.J.E. The Biochemistry of Silage; Chalcombe Publications: Marlow, UK, 1991; p. 340. [Google Scholar]
- Xiong, Y.; Xu, J.; Guo, L.; Chen, F.; Jiang, D.; Lin, Y.; Guo, C.; Li, X.; Chen, Y.; Ni, K.; et al. Exploring the Effects of Different Bacteria Additives on Fermentation Quality, Microbial Community and in Vitro Gas Production of Forage Oat Silage. Animals 2022, 12, 1122. [Google Scholar] [CrossRef] [PubMed]
- Tahir, M.; Li, J.; Xin, Y.; Wang, T.; Chen, C.; Zhong, Y.; Zhang, L.; Liu, H.; He, Y.; Wen, X.; et al. Response of Fermentation Quality and Microbial Community of Oat Silage to Homofermentative Lactic Acid Bacteria Inoculation. Front. Microbiol. 2023, 13, 1091394. [Google Scholar] [CrossRef] [PubMed]
- Tian, J.; Xu, N.; Liu, B.; Huan, H.; Gu, H.; Chu, D.; Ding, C. Interaction Effect of Silo Density and Additives on the Fermentation Quality, Microbial Counts, Chemical Composition and in Vitro Degradability of Rice Straw Silage. Bioresour. Technol. 2020, 297, 122412. [Google Scholar] [CrossRef] [PubMed]
- da Silva, T.C.; da Silva, L.D.; Santos, E.M.; Oliveira, J.S.; Perazzo, A.F. Importance of the Fermentation to Produce High-Quality Silage. Ferment. Process 2017, 8, 1–20. [Google Scholar]
- Li, X.-M.; Chen, F.; Wang, X.; Sun, L.; Guo, L.; Xiong, Y.; Wang, Y.; Zhou, H.-Z.; Jia, S.; Yang, F.; et al. Impacts of Low Temperature and Ensiling Period on the Bacterial Community of Oat Silage by SMRT. Microorganisms 2021, 9, 274. [Google Scholar] [CrossRef]
- Gänzle, M.G. Lactic Metabolism Revisited: Metabolism of Lactic Acid Bacteria in Food Fermentations and Food Spoilage. Curr. Opin. Food Sci. 2015, 2, 106–117. [Google Scholar] [CrossRef]
- Valk, L.C.; Luttik, M.A.H.; de Ram, C.; Pabst, M.; van den Broek, M.; van Loosdrecht, M.C.M.; Pronk, J.T. A Novel D-Galacturonate Fermentation Pathway in Lactobacillus Suebicus Links Initial Reactions of the Galacturonate-Isomerase Route with the Phosphoketolase Pathway. Front. Microbiol. 2020, 10, 3027. [Google Scholar] [CrossRef]
- Kim, D.; Dong Lee, K.; Choon Choi, K. Role of LAB in Silage Fermentation: Effect on Nutritional Quality and Organic Acid Production-an Overview. Aims Agric. Food 2021, 6, 216–234. [Google Scholar] [CrossRef]
- Cruz Ramos, H.; Hoffmann, T.; Marino, M.; Nedjari, H.; Presecan-Siedel, E.; Dreesen, O.; Glaser, P.; Jahn, D. Fermentative Metabolism of Bacillus Subtilis: Physiology and Regulation of Gene Expression. J. Bacteriol. 2000, 182, 3072–3080. [Google Scholar] [CrossRef]
- Wang, Y.; He, L.; Xing, Y.; Zheng, Y.; Zhou, W.; Pian, R.; Yang, F.; Chen, X.; Zhang, Q. Dynamics of Bacterial Community and Fermentation Quality during Ensiling of Wilted and Unwilted Moringa Oleifera Leaf Silage with or without Lactic Acid Bacterial Inoculants. mSphere 2019, 4, e00341-19. [Google Scholar] [CrossRef]
- Wang, C.; He, L.; Xing, Y.; Zhou, W.; Yang, F.; Chen, X.; Zhang, Q. Fermentation Quality and Microbial Community of Alfalfa and Stylo Silage Mixed with Moringa Oleifera Leaves. Bioresour. Technol. 2019, 284, 240–247. [Google Scholar] [CrossRef] [PubMed]
- Kung, L.; Shaver, R.D.; Grant, R.J.; Schmidt, R.J. Silage Review: Interpretation of Chemical, Microbial, and Organoleptic Components of Silages. J. Dairy. Sci. 2018, 101, 4020–4033. [Google Scholar] [CrossRef] [PubMed]
- Zheng, M.; Niu, D.; Zuo, S.; Mao, P.; Meng, L.; Xu, C. The Effect of Cultivar, Wilting and Storage Period on Fermentation and the Clostridial Community of Alfalfa Silage. Ital. J. Anim. Sci. 2017, 17, 336–346. [Google Scholar] [CrossRef]
- Qiu, C.; Liu, N.; Diao, X.; He, L.; Zhou, H.; Zhang, W. Effects of Cellulase and Xylanase on Fermentation Characteristics, Chemical Composition and Bacterial Community of the Mixed Silage of King Grass and Rice Straw. Microorganisms 2024, 12, 561. [Google Scholar] [CrossRef] [PubMed]
- Liu, Q.; Zong, C.; Dong, Z.; Wu, J.; Zhu, J.; Li, J.; Zhang, J.; Shao, T. Effects of Cellulolytic Lactic Acid Bacteria on the Lignocellulose Degradation, Sugar Profile and Lactic Acid Fermentation of High-Moisture Alfalfa Ensiled in Low-Temperature Seasons. Cellulose 2020, 27, 7955–7965. [Google Scholar] [CrossRef]
- Tanizawa, Y.; Tohno, M.; Kaminuma, E.; Nakamura, Y.; Arita, M. Complete Genome Sequence and Analysis of Lactobacillus Hokkaidonensis LOOC260T, a Psychrotrophic Lactic Acid Bacterium Isolated from Silage. BMC Genom. 2015, 16, 240. [Google Scholar] [CrossRef]
- Donaghy, J.; McKay, A.M. Purification and characterization of a feruloyl esterase from the fungus Penicilliumexpansum. J. Appl. Microbiol. 1997, 83, 718–726. [Google Scholar] [CrossRef]
- Mu, L.; Xie, Z.; Hu, L.; Chen, G.; Zhang, Z. Cellulase Interacts with Lactobacillus Plantarum to Affect Chemical Composition, Bacterial Communities, and Aerobic Stability in Mixed Silage of High-Moisture Amaranth and Rice Straw. Bioresour. Technol. 2020, 315, 123772. [Google Scholar] [CrossRef]
- Ni, K.; Wang, F.; Zhu, B.; Yang, J.; Zhou, G.; Pan, Y.; Tao, Y.; Zhong, J. Effects of Lactic Acid Bacteria and Molasses Additives on the Microbial Community and Fermentation Quality of Soybean Silage. Bioresour. Technol. 2017, 238, 706–715. [Google Scholar] [CrossRef]
- Wang, M.; Wu, L.; Guo, Y.; Sun, J.; Deng, M.; Liu, G.; Li, Y.; Sun, B. Effects of Fermented Herbal Tea Residue on Meat Quality, Rumen Fermentation Parameters and Microbes of Black Goats. AMB Express 2023, 13, 106. [Google Scholar] [CrossRef]
- Xiao, Y.; Sun, L.; Xin, X.; Xu, L.; Du, S. Physicochemical Characteristics and Microbial Community Succession during Oat Silage Prepared without or with Lactiplantibacillus Plantarum or Lentilactobacillus Buchneri. Microbiol. Spectr. 2023, 11, e0222823. [Google Scholar] [CrossRef] [PubMed]
- Jiang, H.; Wang, H.; Bao, B.; Qu, H.; Wang, J.; Sun, L.; Liu, B.; Gao, F. Effect of Compound Additives on Nutritional Composition, Fermentation Quality, and Bacterial Community of High-Moisture Alfalfa Silage. Fermentation 2023, 9, 453. [Google Scholar] [CrossRef]
- Li, D.; Ni, K.; Zhang, Y.; Lin, Y.; Yang, F. Influence of Lactic Acid Bacteria, Cellulase, Cellulase-Producing Bacillus Pumilus and Their Combinations on Alfalfa Silage Quality. J. Integr. Agric. 2018, 17, 2768–2782. [Google Scholar] [CrossRef]
- Bai, J.; Ding, Z.; Ke, W.; Xu, D.; Wang, M.; Huang, W.; Zhang, Y.; Liu, F.; Guo, X. Different Lactic Acid Bacteria and Their Combinations Regulated the Fermentation Process of Ensiled Alfalfa: Ensiling Characteristics, Dynamics of Bacterial Community and Their Functional Shifts. Microb. Biotechnol. 2021, 14, 1171–1182. [Google Scholar] [CrossRef]
- Flythe, M.D.; Russell, J.B. The Effect of PH and a Bacteriocin (Bovicin HC5) on Clostridium Sporogenes MD1, a Bacterium That Has the Ability to Degrade Amino Acids in Ensiled Plant Materials1. FEMS Microbiol. Ecol. 2004, 47, 215–222. [Google Scholar] [CrossRef]
- Yuan, X.; Li, J.; Dong, Z.; Shao, T. The Reconstitution Mechanism of Napier Grass Microiota during the Ensiling of Alfalfa and Their Contributions to Fermentation Quality of Silage. Bioresour. Technol. 2020, 297, 122391. [Google Scholar] [CrossRef]





| Item | Oat |
|---|---|
| DM (g kg−1 FM) | 227.19 ± 3.74 |
| CP (g kg−1 DM) | 149.80 ± 2.65 |
| WSC (g kg−1 DM) | 73.73 ± 1.55 |
| NDF (g kg−1 DM) | 565.73 ± 2.01 |
| ADF (g kg−1 DM) | 381.50 ± 4.84 |
| HC (g kg−1 DM) | 184.23 ± 5.01 |
| pH | 6.02 ± 0.05 |
| LAB (log cfug−1 FM) | 3.11 ± 0.06 |
| Molds and yeasts (log cfug−1 FM) | 6.05 ± 0.10 |
| Item | Treatment | p-Value | ||||||||||
|---|---|---|---|---|---|---|---|---|---|---|---|---|
| Day | CK | SB | BS | XT | SBBS | SBXT | BSXT | SEM | T | D | TxD | |
| DM (g kg−1 FM) | 7 | 216.86 Ca | 228.39 ABCa | 228.71 ABCa | 215.79 Ca | 237.05 Aa | 231.57 ABa | 219.32 BCa | 1.17 | <0.001 | 0.005 | 0.977 |
| 30 | 209.38 Ba | 219.31 ABa | 219.61 ABa | 212.50 Ba | 226.64 Aa | 221.32 ABa | 218.25 ABa | |||||
| 60 | 214.68 CDa | 227.16 ABa | 224.51 ABCa | 209.84 Da | 231.47 Aa | 225.74 ABCa | 217.38 BCDa | |||||
| CP (g kg−1 DM) | 7 | 140.28 Aa | 151.92 Aa | 147.35 Aa | 140.14 Aa | 150.06 Aa | 148.85 Aa | 145.66 Aa | 1.05 | <0.001 | 0.455 | 0.898 |
| 30 | 136.05 CDa | 152.63 ABa | 144.07 BCa | 130.18 Da | 155.73 Aa | 146.49 ABCa | 142.27 BCa | |||||
| 60 | 138.62 Ca | 150.73 ABa | 145.88 ABCa | 137.73 Ca | 153.29 Aa | 148.16 ABCa | 142.13 ABCa | |||||
| WSC (g kg−1 DM) | 7 | 52.02 BCa | 52.95 ABCa | 50.87 Ca | 52.63 ABCa | 54.26 ABCa | 56.46 Aa | 55.50 ABa | 0.99 | <0.001 | <0.001 | 0.675 |
| 30 | 35.14 Db | 38.15 BCb | 37.91 BCb | 40.96 ABb | 40.59 ABb | 42.73 Ab | 40.15 ABb | |||||
| 60 | 32.08 Cb | 36.15 BCb | 35.28 BCb | 38.48 ABb | 38.72 ABb | 41.16 Ab | 40.68 Ab | |||||
| NDF (g kg−1 DM) | 7 | 557.53 Aa | 542.22 Aa | 549.47 Aa | 508.44 Ca | 526.61 Ba | 503.57 Ca | 503.50 Ca | 6.48 | <0.001 | <0.001 | 0.005 |
| 30 | 496.38 Ab | 464.25 BCb | 473.16 Bb | 413.57 Db | 455.27 Cb | 405.29 Db | 408.74 Db | |||||
| 60 | 485.82 Ab | 446.37 BCb | 457.53 Bb | 429.05 Db | 436.17 CDb | 404.13 Eb | 402.47 Eb | |||||
| ADF (g kg−1 DM) | 7 | 362.64 A | 355.62 A | 363.85 A | 358.32 A | 353.18 A | 355.26 A | 359.38 A | 4.46 | <0.001 | <0.001 | 0.001 |
| 30 | 335.36 A | 307.29 BC | 308.41 B | 287.02 BCD | 295.62 BC | 268.93 D | 285.74 CD | |||||
| 60 | 307.73 Ab | 282.48 Bb | 288.04 Bb | 285.39 Bb | 275.49 Bb | 275.16 Bb | 282.36 Bb | |||||
| HC (g kg−1 DM) | 7 | 194.89 Aa | 186.60 Ba | 185.62 Ba | 150.12 Da | 173.43 Ca | 148.31 Da | 144.12 Da | 2.71 | <0.001 | <0.001 | <0.001 |
| 30 | 161.02 Ac | 156.96 Ab | 164.75 Ab | 126.55 Cb | 159.65 Ab | 136.36 Bab | 123.00 Cb | |||||
| 60 | 178.09 Ab | 163.89 BCb | 169.49 Bb | 143.66 Da | 160.68 Cb | 128.97 Eb | 120.11 Fb | |||||
| Item | Treatment | p-Value | ||||||||||
|---|---|---|---|---|---|---|---|---|---|---|---|---|
| Day | CK | SB | BS | XT | SBBS | SBXT | BSXT | SEM | T | D | TxD | |
| pH | 7 | 4.24 Aa | 3.83 Ca | 4.04 Ba | 4.33 Aa | 3.82 Ca | 3.94 BCa | 4.20 Aa | 0.02 | <0.001 | <0.001 | <0.001 |
| 30 | 4.16 Aab | 3.79 Ca | 3.83 Cab | 4.12 ABb | 3.77 Ca | 3.78 Cb | 4.02 Bb | |||||
| 60 | 4.07 Ab | 3.82 Ca | 3.86 BCb | 3.88 BCc | 3.83 Ca | 3.80 Cb | 3.95 Bb | |||||
| LA (g kg−1 DM) | 7 | 37.68 Eb | 64.64 Ab | 54.36 BCb | 44.86 DEb | 67.39 Ab | 59.52 ABb | 49.32 CDb | 1.71 | <0.001 | <0.001 | 0.757 |
| 30 | 43.43 Db | 75.11 ABa | 68.84 BCa | 59.77 Ca | 80.51 Aa | 73.53 ABab | 61.57 Ca | |||||
| 60 | 55.48 Ca | 78.18 Aa | 76.43 Aa | 65.46 Ba | 82.79 Aa | 77.31 Aa | 66.38 Ba | |||||
| AA (g kg−1 DM) | 7 | 14.43 Ab | 8.41B Cb | 14.14 Aa | 13.83 Ab | 6.66 Cb | 9.78 BCb | 11.66B Cb | 0.62 | <0.001 | <0.001 | 0.396 |
| 30 | 21.40 Aa | 10.19 Cb | 16.60 Ba | 17.75 Bab | 8.98 Cb | 10.36 Cb | 17.01 Ba | |||||
| 60 | 24.81 Aa | 15.17B CDa | 19.27 BCa | 19.53 Ba | 13.43 Da | 14.45 CDa | 19.05 BCa | |||||
| PA (g kg−1 DM) | 7 | 3.03 Ac | 1.47 Dc | 2.57 Bc | 2.09 Cc | 1.98 Cc | 1.35 Db | 2.72 ABc | 0.18 | <0.001 | <0.001 | <0.001 |
| 30 | 4.03 Bb | 3.05 Db | 3.50 Cb | 4.69 Ab | 2.38 Eb | 2.27 Ea | 4.13 Bb | |||||
| 60 | 5.91 Ba | 3.77 Ea | 4.40 Da | 6.87 Aa | 2.63 Fa | 2.46 Fa | 5.07 Ca | |||||
| BA (g kg−1 DM) | 7 | 1.56 Bc | 0.77 DEa | 1.05 CDb | 1.38 ABb | 0.57 Eb | 0.79 DEb | 1.13 BCb | 0.08 | <0.001 | <0.001 | <0.001 |
| 30 | 2.25 Ab | 0.83 Da | 1.37 Ca | 1.76 Ba | 0.68 Da | 0.95 Dab | 1.69 Ba | |||||
| 60 | 3.25 Aa | 0.88 Ea | 1.54 Ca | 1.97 Ba | 0.75 Ea | 1.15 Da | 1.85 Ba | |||||
| NH3-N (g kg−1 TN) | 7 | 27.36 Bc | 19.86 DEc | 22.93 CDc | 31.97 Ac | 18.41 Ec | 20.83 DEc | 25.62 BCc | 2.27 | <0.001 | <0.001 | <0.001 |
| 30 | 37.52 Ab | 27.72 CDb | 31.62BCb | 40.39 Ab | 26.49 Db | 28.24 CDb | 33.10 Bb | |||||
| 60 | 74.56 Aa | 55.07 Ca | 63.95 Ba | 66.21 Ba | 48.63 Da | 58.44 Ca | 66.44 Ba | |||||
| Flieg’s point | 7 | 56.77 Cb | 73.78 Aa | 65.26 Bb | 53.41 Cc | 74.18 Aa | 69.35 ABb | 58.45 Cb | 0.93 | <0.001 | <0.001 | <0.001 |
| 30 | 60.01 Cab | 75.11 Aa | 73.52 Aa | 61.44 BCb | 75.87 Aa | 75.31 Aa | 65.61 Ba | |||||
| 60 | 63.64 Ca | 74.01 Aa | 72.3 ABa | 71.10 ABa | 73.74 Aa | 74.77 Aa | 68.52 Ba | |||||
Disclaimer/Publisher’s Note: The statements, opinions and data contained in all publications are solely those of the individual author(s) and contributor(s) and not of MDPI and/or the editor(s). MDPI and/or the editor(s) disclaim responsibility for any injury to people or property resulting from any ideas, methods, instructions or products referred to in the content. |
© 2024 by the authors. Licensee MDPI, Basel, Switzerland. This article is an open access article distributed under the terms and conditions of the Creative Commons Attribution (CC BY) license (https://creativecommons.org/licenses/by/4.0/).
Share and Cite
Huang, Y.; Zhang, S.; Hu, M.; Yang, S.; Hui, A.; Zhang, W.; Wu, Z. Effects of Biological Additives on the Fermentation Quality and Microbial Community of High-Moisture Oat Silage. Agriculture 2024, 14, 2275. https://doi.org/10.3390/agriculture14122275
Huang Y, Zhang S, Hu M, Yang S, Hui A, Zhang W, Wu Z. Effects of Biological Additives on the Fermentation Quality and Microbial Community of High-Moisture Oat Silage. Agriculture. 2024; 14(12):2275. https://doi.org/10.3390/agriculture14122275
Chicago/Turabian StyleHuang, Yifei, Siling Zhang, Maoling Hu, Shuyuan Yang, Ailing Hui, Wencheng Zhang, and Zeyu Wu. 2024. "Effects of Biological Additives on the Fermentation Quality and Microbial Community of High-Moisture Oat Silage" Agriculture 14, no. 12: 2275. https://doi.org/10.3390/agriculture14122275
APA StyleHuang, Y., Zhang, S., Hu, M., Yang, S., Hui, A., Zhang, W., & Wu, Z. (2024). Effects of Biological Additives on the Fermentation Quality and Microbial Community of High-Moisture Oat Silage. Agriculture, 14(12), 2275. https://doi.org/10.3390/agriculture14122275

