The Dynamic Characteristics and Influencing Factors of Soil Respiration in Different Types of Grasslands in the Barkol Lake Basin
Abstract
1. Introduction
2. Materials and Methods
2.1. Overview of the Study Area
2.2. The Experimental Design
2.3. Measurement Methods
2.3.1. The Temperature Measurement Method
2.3.2. Coefficient of Variation
2.3.3. Method for Measuring Soil Moisture Content
2.3.4. Standardized Calculation Formula for Soil Respiration
2.4. The Indicator System and Model Construction
3. Results and Analysis
3.1. Characteristics of Changes in Soil Respiration
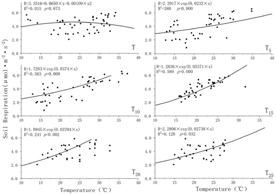
3.2. Relationships Between Changes in the Soil Respiration Rates and Temperature
3.3. The Temperature Sensitivity Coefficient Q10 of Soil Respiration
3.4. Soil Moisture Content
4. Discussion
4.1. Interaction Effects of Soil Respiration, SM and Soil Temperature
4.2. Two-Factor Fitting Regression Models of Soil Respiration, Soil Temperature and SM
5. Conclusions
Author Contributions
Funding
Institutional Review Board Statement
Data Availability Statement
Acknowledgments
Conflicts of Interest
References
- Liu, S.; Fang, J. Effects of soil respiration and temperature at global scale. Acta Ecol. Sin. 1997, 5, 19–26. [Google Scholar]
- Lal, R. Global Potential of Soil Carbon Sequestration to Mitigate the Greenhouse Effect. Crit. Rev. Plant Sci. 2003, 22, 151–184. [Google Scholar] [CrossRef]
- Barneze, A.S.; Whitaker, J.; McNamara, N.P.; Ostle, N.J. Interactions between climate warming and land management regulate greenhouse gas fluxes in a temperate grassland ecosystem. Sci. Total Environ. 2022, 833, 155212. [Google Scholar] [CrossRef] [PubMed]
- Chen, T.; Lin, C.; Song, T.; Guo, R.; Cai, Y.; Chen, W.; Xiong, D.; Jiang, Q.; Chen, G. Does root respiration of subtropical Chinese fir seedlings acclimate to seasonal temperature variation or experimental soil warming? Agric. For. Meteorol. 2021, 308–309, 108612. [Google Scholar] [CrossRef]
- Han, M.; Tang, M.; Shi, B.; Jin, G. Effect of canopy gap size on soil respiration in a mixed broadleaved-Korean pine forest: Evidence from biotic and abiotic factors. Eur. J. Soil Biol. 2020, 99, 103194. [Google Scholar] [CrossRef]
- Aslam, T.; Choudhary, M.A.; Saggar, S. Influence of land-use management on CO2 emissions from a silt loam soil in New Zealand. Agric. Ecosyst. Environ. 2000, 77, 257–262. [Google Scholar] [CrossRef]
- Li, C.; Wang, W.; Wang, K.; Wang, Y.; Zhang, M. Responses of greenhouse gas emissions to increased precipitation events in different ecosystems: A meta-analysis. CATENA 2024, 246, 108400. [Google Scholar] [CrossRef]
- Liu, Y.; Chen, R.; Han, C.; Liu, Z.; Yang, Z.; Zhao, Y. Diurnal pattern and characteristic of soil respiration and net ecosystem carbon exchange in alpine meadow ecosystem on the northeastern Qinghai-Tibet Plateau. Ecol. Indic. 2024, 165, 112–180. [Google Scholar] [CrossRef]
- Liu, Y.L.; Wang, J.F.; Jiang, G.L.; Wang, L.Y.; Fu, Z.T.; Kang, H.-J.; Wu, Q.-B. Differences in respiration components and their dominant regulating factors across three alpine grasslands on the Qinghai–Tibet Plateau. Adv. Clim. Chang. Res. 2023, 14, 437–448. [Google Scholar] [CrossRef]
- Liu, L.; Sayer, E.J.; Deng, M.L.; Liu, W.; Wang, X.; Yang, S.; Huang, J.; Luo, J.; Su, Y.; Grünzweig, J.M.; et al. The grassland carbon cycle: Mechanisms, responses to global changes, and potential contribution to carbon neutrality. Fundam. Res. 2023, 3, 209–218. [Google Scholar] [CrossRef]
- Atkin, O.K.; Tjoelker, M.G. Thermal acclimation and the dynamic response of plant respiration to temperature. Trends Plant Sci. 2003, 8, 343–351. [Google Scholar] [CrossRef] [PubMed]
- He, Y.B.; Myers, A.N.; Newcomer, M.E.; Ladau, J.; Holmquist, J.R.; Brown, J.B.; Falco, N. Effects of spatial variability in vegetation phenology, climate, landcover, biodiversity, topography, and soil property on soil respiration across a coastal ecosystem. Heliyon 2024, 10, e30470. [Google Scholar] [CrossRef] [PubMed]
- Raich, J.W. The global carbon dioxide flux in soil respiration and its relationship to vegetation and climate. Tellus 1992, 44B, 81–99. [Google Scholar] [CrossRef]
- Wen, C.; Shan, Y.; Xing, T.; Liu, L.; Yin, G.; Ye, R.; Liu, X.; Chang, H.; Yi, F.; Liu, S.; et al. Effects of nitrogen and water addition on ecosystem carbon fluxes in a heavily degraded desert steppe. Glob. Ecol. Conserv. 2024, 52, e02981. [Google Scholar] [CrossRef]
- Wang, Y.; Wang, Z.; Li, H.; Shen, T.; Zhang, X.; Li, J.; Han, G. Grazing decreased soil organic carbon by decreasing aboveground biomass in a desert steppe in Inner Mongolia. J. Environ. Manag. 2023, 347, 119112. [Google Scholar] [CrossRef]
- Guan, C.; Chen, N.; Qiao, L.; Zhao, C. Photosynthesis regulates the diel hysteresis pattern between soil respiration and soil temperature in a steppe grassland. Geoderma 2022, 408, 115561. [Google Scholar] [CrossRef]
- Han, Y.; Wang, G.; Xiong, L.; Xu, Y.; Li, S. Rainfall effect on soil respiration depends on antecedent soil moisture. Sci. Total Environ. 2024, 926, 172130. [Google Scholar] [CrossRef]
- Chen, Z.; Leffler, A.J. Soil basal respiration and nitrogen mineralization from C3 and C4 grass dominated plant communities respond differently to temperature and soil water variation. J. Arid Environ. 2024, 224, 105235. [Google Scholar] [CrossRef]
- Shahid, M.; Singh, U.B.; Farah, M.A.; Al-Anazi, K.M. Phyto-toxicological effect of fipronil to plant seedlings: Assessing germination attributes, root-tip morphology, oxidative stress, and cellular respiration indices. Pestic. Biochem. Physiol. 2024, 205, 106135. [Google Scholar] [CrossRef]
- Sun, K.; Chen, C.; Du, J.; Wang, L.; Lei, B. Determination of Cenozoic sedimentary structures using integrated geophysical surveys: A case study in the Barkol Basin, Xinjiang, China. J. Appl. Geophys. 2018, 148, 152–162. [Google Scholar] [CrossRef]
- Sun, K.; Chen, C.; Du, J.; Wang, L.; Lei, B. Erratum to “Determination of Cenozoic sedimentary structures using integrated geophysical surveys: A case study in the Barkol Basin, Xinjiang, China”. J. Appl. Geophys. 2018, 151, 184–185. [Google Scholar] [CrossRef]
- Zhao, X.; Hou, X.; Zhang, D.; Yang, Y.; Huang, Z.; Liu, Q. Records of iodine isotopes (129I, 127I) in the Barkol peat bog from northwest China and their sources, transport and preservation. Chemosphere 2021, 279, 130531. [Google Scholar] [CrossRef] [PubMed]
- Zhong, W.; Pen, Z.; Xue, J.; Ouyang, J.; Tang, X.; Cao, J. Geochemistry of sediments from Barkol Lake in the westerly influenced northeast Xinjiang: Implications for catchment weathering intensity during the Holocene. J. Asian Earth Sci. 2012, 50, 7–13. [Google Scholar] [CrossRef]
- Yan, K.; Jiang, Y.H. Discussion on Adjustment and Combination of Natural Grassland Classification System in Xinjiang. Grass-Feed. Livest. 2024, 1, 52–60. [Google Scholar]
- Kim, J.; Chang, W. Modified soil respiration model (URESP) extended to sub-zero temperatures for biostimulated petroleum hydrocarbon-contaminated sub-Arctic soils. Sci. Total Environ. 2019, 667, 400–411. [Google Scholar] [CrossRef]
- Scandellari, F.; Zanotelli, D.; Ceccon, C.; Bolognesi, M.; Montagnani, L.; Cassol, P.; Melo, G.W.; Tagliavini, M. Enhancing prediction accuracy of soil respiration in an apple orchard by integrating photosynthetic activity into a temperature-related model. Eur. J. Soil Biol. 2015, 70, 77–87. [Google Scholar] [CrossRef]
- Tuomi, M.; Vanhala, P.; Karhu, K.; Fritze, H.; Liski, J. Heterotrophic soil respiration—Comparison of different models describing its temperature dependence. Ecol. Model. 2008, 211, 182–190. [Google Scholar] [CrossRef]
- Huang, Z.; Liu, Y.; Huang, P.; Li, Z.; Zhang, X. A new concept for modelling the moisture dependence of heterotrophic soil respiration. Soil Biol. Biochem. 2023, 185, 109147. [Google Scholar] [CrossRef]
- Liu, H.; Rezanezhad, F.; Zhao, Y.; He, H.; Van Cappellen, P.; Lennartz, B. The apparent temperature sensitivity (Q10) of peat soil respiration: A synthesis study. Geoderma 2024, 443, 116844. [Google Scholar] [CrossRef]
- Meyer, N.; Meyer, H.; Welp, G.; Amelung, W. Soil respiration and its temperature sensitivity (Q10): Rapid acquisition using mid-infrared spectroscopy. Geoderma 2018, 323, 31–40. [Google Scholar] [CrossRef]
- Yan, J.; Feng, Y.; Li, J.; Li, H.; Ding, G. Response of soil respiration and Q10 to temperature and moisture in naturally regenerated and bare lands based on an 11-year observation period. CATENA 2022, 208, 105711. [Google Scholar] [CrossRef]
- Pavelka, M.; Acosta, M.; Marek, M.V.; Kutsch, W.; Janous, D. Dependence of the Q10 values on the depth of the soil temperature measuring point. Plant Soil 2007, 292, 171–179. [Google Scholar] [CrossRef]















| Month | Alpine Meadow | Temperate Desert Steppe | Temperate Steppe Desert | Lowland Meadow |
|---|---|---|---|---|
| May | −0.725 * | −0.516 * | 0.706 * | 0.375 |
| June | −0.149 | −0.238 | −0.089 | 0.756 * |
| July | −0.071 | 0.032 | −0.690 * | 0.243 |
| August | −0.231 | −0.436 | −0.226 | −0.284 |
| September | −0.392 | −0.412 * | −0.106 | 0.576 |
| October | −0.343 | −0.618 | 0.017 | 0.463 |
| Grassland Type | Bivariate Correlation | Partial Correlation Analysis 1 | Partial Correlation Analysis 2 | ||||
|---|---|---|---|---|---|---|---|
| Variable | T | RS | Control Variable | RS | Control Variable | RS | |
| Alpine meadow | T | 0.836 ** | 0.641 ** | T | |||
| SM | −0.44 * | 0.045 | SM | 0.416 ** | |||
| Temperate desert steppe | T | 0.412 ** | 0.533 ** | T | |||
| SM | −0.299 * | 0.263 | SM | 0.445 ** | |||
| Temperate steppe desert | T | 0.679 * | 0.592 ** | T | |||
| SM | −0.116 | 0.089 | SM | 0.387 ** | |||
| Lowland meadow | T | 0.564 ** | 0.551 ** | T | |||
| SM | 0.143 | 0.263 | SM | 0.146 | |||
| Soil Temperature | Two-Factor Fitting Equation | R2 | p |
|---|---|---|---|
| Alpine meadow | R = 0.023T + 0.094SM − 0.375 | 0.776 | 0.011 |
| Temperate desert steppe | R = 0.141T − 0.163SM − 0.367 | 0.758 | 0.014 |
| Temperate steppe desert | R = 0.021T + 0.025SM + 0.504 | 0.763 | 0.013 |
| Lowland meadow | R = 0.129 + 5.174SM − 0.502 | 0.800 | 0.008 |
Disclaimer/Publisher’s Note: The statements, opinions and data contained in all publications are solely those of the individual author(s) and contributor(s) and not of MDPI and/or the editor(s). MDPI and/or the editor(s) disclaim responsibility for any injury to people or property resulting from any ideas, methods, instructions or products referred to in the content. |
© 2024 by the authors. Licensee MDPI, Basel, Switzerland. This article is an open access article distributed under the terms and conditions of the Creative Commons Attribution (CC BY) license (https://creativecommons.org/licenses/by/4.0/).
Share and Cite
Cao, X.; Zhao, C.; Jia, H.; Yang, J. The Dynamic Characteristics and Influencing Factors of Soil Respiration in Different Types of Grasslands in the Barkol Lake Basin. Agriculture 2024, 14, 2182. https://doi.org/10.3390/agriculture14122182
Cao X, Zhao C, Jia H, Yang J. The Dynamic Characteristics and Influencing Factors of Soil Respiration in Different Types of Grasslands in the Barkol Lake Basin. Agriculture. 2024; 14(12):2182. https://doi.org/10.3390/agriculture14122182
Chicago/Turabian StyleCao, Xiangdong, Chengyi Zhao, Hongtao Jia, and Jinyu Yang. 2024. "The Dynamic Characteristics and Influencing Factors of Soil Respiration in Different Types of Grasslands in the Barkol Lake Basin" Agriculture 14, no. 12: 2182. https://doi.org/10.3390/agriculture14122182
APA StyleCao, X., Zhao, C., Jia, H., & Yang, J. (2024). The Dynamic Characteristics and Influencing Factors of Soil Respiration in Different Types of Grasslands in the Barkol Lake Basin. Agriculture, 14(12), 2182. https://doi.org/10.3390/agriculture14122182

