Risk Assessment of Heavy Metal Accumulation in Cucumber Fruits and Soil in a Greenhouse System with Long-Term Application of Organic Fertilizer and Chemical Fertilizer
Abstract
1. Introduction
2. Materials and Methods
2.1. Site Description and Experiment Design
2.2. Sampling and Analyses
2.2.1. Cucumber Sampling and Analyses
2.2.2. Soil Sampling and Analyses
2.3. Calculations
2.3.1. Bioconcentration Factor
2.3.2. Soil Contamination Level Analysis
2.3.3. Human Health Risk Assessment
2.4. Statistical Analysis
3. Results
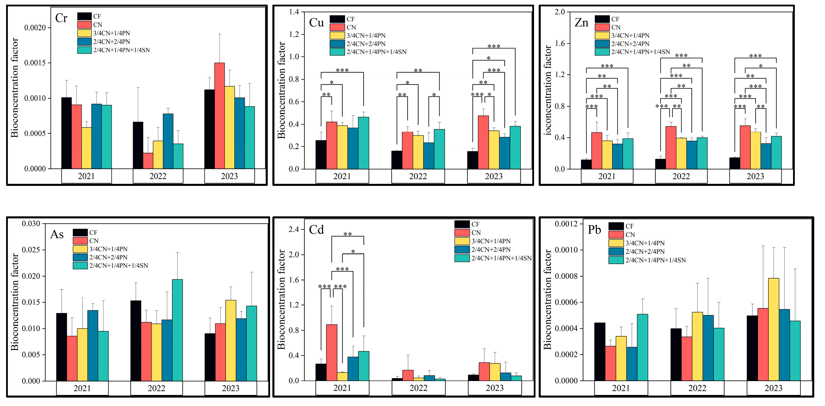
3.1. Concentrations of HMs in Soils and Cucumber Fruits
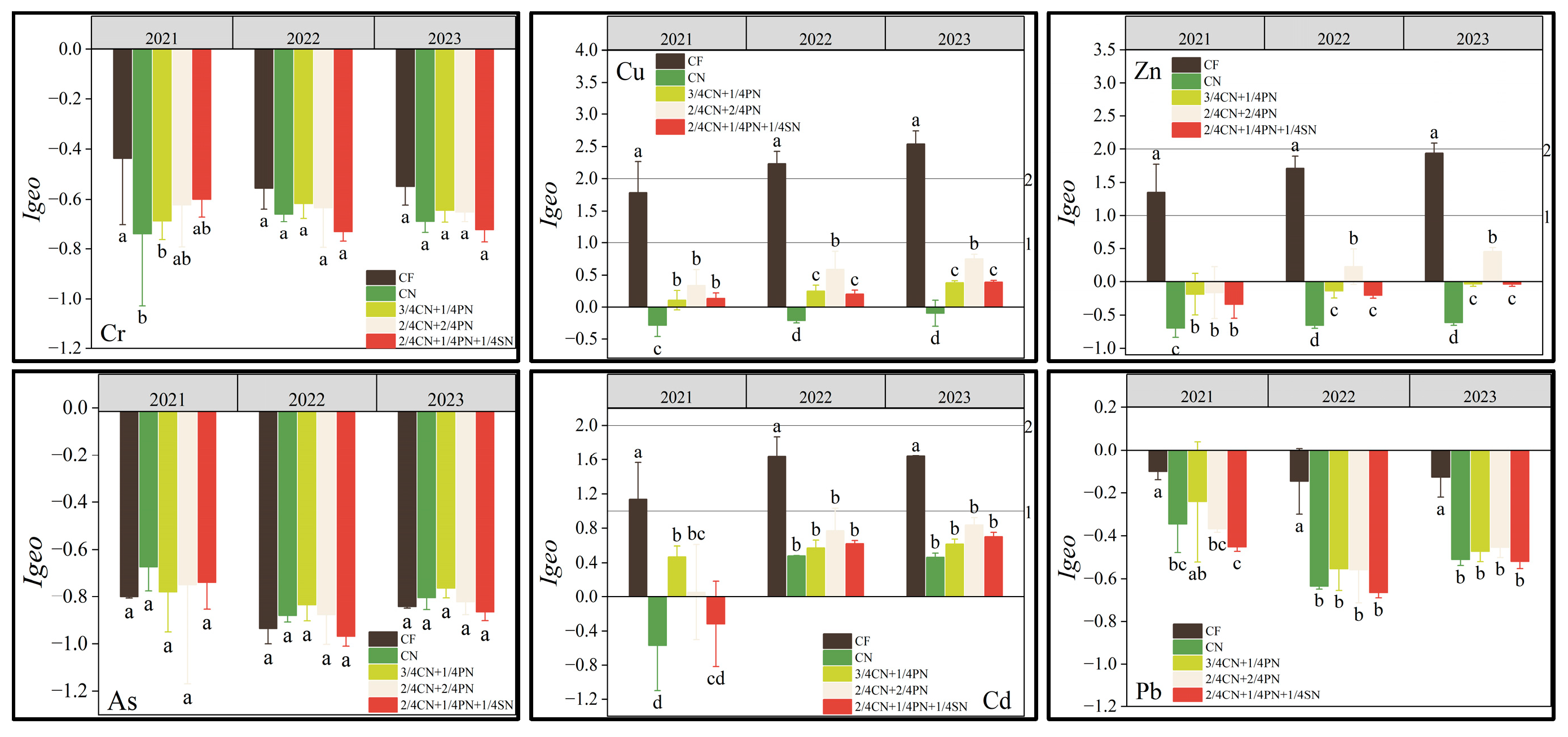
3.2. Soil Contamination Level
3.3. Human Health Risk
3.3.1. Non-CR of Cr, Zn, Cu, Cd, As and Pb
3.3.2. CCR of Cr, Cd, As, and Pb
3.4. Relationship between Soil Nutrients and Soil HM Concentrations
4. Discussion
4.1. Concentrations of HMs in Cucumber Fruits as Affected by SW and PM Application
4.2. Concentrations of HMs in Soil as Affected by SW and PM Application
4.3. Relative Contribution of HMs to Health Risk and Priority Control HMs
4.4. Fertilization Management Strategy of GVP
5. Conclusions
Supplementary Materials
Author Contributions
Funding
Institutional Review Board Statement
Data Availability Statement
Conflicts of Interest
References
- Wang, R.; Min, J.; Kronzucker, H.J.; Li, Y.; Shi, W. N and P runoff losses in China’s vegetable production systems: Loss characteristics, impact, and management practices. Sci. Total Environ. 2019, 663, 971–979. [Google Scholar] [CrossRef] [PubMed]
- Wang, X.; Dou, Z.; Shi, X.; Zou, C.; Liu, D.; Wang, Z.; Guan, X.; Sun, Y.; Wu, G.; Zhang, B. Innovative management programme reduces environmental impacts in Chinese vegetable production. Nat. Food 2021, 2, 47–53. [Google Scholar] [CrossRef] [PubMed]
- Li, J.; Wan, X.; Liu, X.; Chen, Y.; Slaughter, L.C.; Weindorf, D.C.; Dong, Y. Changes in soil physical and chemical characteristics in intensively cultivated greenhouse vegetable fields in North China. Soil Tillage Res. 2019, 195, 104366. [Google Scholar] [CrossRef]
- Zhang, B.; Li, Q.; Cao, J.; Zhang, C.; Song, Z.; Zhang, F.; Chen, X. Reducing nitrogen leaching in a subtropical vegetable system. Agric. Ecosyst. Environ. 2017, 241, 133–141. [Google Scholar] [CrossRef]
- Xu, Y.; Ma, Y.; Cayuela, M.L.; Sánchez-Monedero, M.A.; Wang, Q. Compost biochemical quality mediates nitrogen leaching loss in a greenhouse soil under vegetable cultivation. Geoderma 2020, 358, 113984. [Google Scholar] [CrossRef]
- Bai, X.; Gao, J.; Wang, S.; Cai, H.; Chen, Z.; Zhou, J. Excessive nutrient balance surpluses in newly built solar greenhouses over five years leads to high nutrient accumulations in soil. Agric. Ecosyst. Environ. 2020, 288, 106717. [Google Scholar] [CrossRef]
- Li, H.; Dai, M.; Dai, S.; Dong, X. Current status and environment impact of direct straw return in China’s cropland–A review. Ecotoxicol. Environ. Saf. 2018, 159, 293–300. [Google Scholar] [CrossRef]
- Li, F.; Cheng, S.; Yu, H.; Yang, D. Waste from livestock and poultry breeding and its potential assessment of biogas energy in rural China. J. Clean. Prod. 2016, 126, 451–460. [Google Scholar] [CrossRef]
- Liang, F.; Li, B.; Vogt, R.D.; Mulder, J.; Song, H.; Chen, J.; Guo, J. Straw return exacerbates soil acidification in major Chinese croplands. Resour. Conserv. Recycl. 2023, 198, 107176. [Google Scholar] [CrossRef]
- Peng, H.; Chen, Y.; Weng, L.; Ma, J.; Ma, Y.; Li, Y.; Islam, M.S. Comparisons of heavy metal input inventory in agricultural soils in North and South China: A review. Sci. Total Environ. 2019, 660, 776–786. [Google Scholar] [CrossRef]
- Guan, T.-X.; Lu, Z.-P.; Yue, M.; Li, B.-G.; Fu, A.-G.; Zhang, X.-D.; Li, Z.-H. Accumulation of livestock manure–derived heavy metals in the Hexi Corridor oasis agricultural alkaline soil and bioavailability to Chinese cabbage (Brassica pekinensis L.) after 4-year continuous application. Environ. Pollut. 2024, 341, 122969. [Google Scholar] [CrossRef] [PubMed]
- Zhen, H.; Jia, L.; Huang, C.; Qiao, Y.; Li, J.; Li, H.; Chen, Q.; Wan, Y. Long-term effects of intensive application of manure on heavy metal pollution risk in protected-field vegetable production. Environ. Pollut. 2020, 263, 114552. [Google Scholar] [CrossRef]
- Xiang, Y.; Li, Y.; Luo, X.; Liu, Y.; Yue, X.; Yao, B.; Xue, J.; Zhang, L.; Fan, J.; Xu, X. Manure properties, soil conditions and managerial factors regulate greenhouse vegetable yield with organic fertilizer application across China. Front. Plant Sci. 2022, 13, 1009631. [Google Scholar] [CrossRef] [PubMed]
- Hussain, M.I.; Khan, Z.I.; Akhter, P.; Al-Hemaid, F.M.; Al-Hashimi, A.; Elshikh, M.S.; Ahmad, K.; Yang, H.-H. Potential of organic amendments for heavy metal contamination in soil–coriander system: Environmental fate and associated ecological risk. Sustainability 2022, 14, 11374. [Google Scholar] [CrossRef]
- Liu, J.; Wang, Y.; Liu, X.; Xu, J. Occurrence and health risks of heavy metals in greenhouse soils and vegetables across China. Agric. Ecosyst. Environ. 2021, 321, 107632. [Google Scholar] [CrossRef]
- Wu, P.; Guo, Z.; Hua, K.; Wang, D. Long-term application of organic amendments changes heavy metals accumulation in wheat grains by affecting soil chemical properties and wheat yields. J. Soils Sediments 2023, 23, 2136–2147. [Google Scholar] [CrossRef]
- Bao, S. Soil and Agricultural Chemistry Analysis; China Agriculture Press: Beijing, China, 2000. [Google Scholar]
- Adamo, P.; Iavazzo, P.; Albanese, S.; Agrelli, D.; De Vivo, B.; Lima, A. Bioavailability and soil-to-plant transfer factors as indicators of potentially toxic element contamination in agricultural soils. Sci. Total Environ. 2014, 500, 11–22. [Google Scholar] [CrossRef]
- State Environmental Protection Administration of China. Environmental quality evaluation standards for farmland of greenhouse vegetables production (HJ/T 333); China Environmental Science Press: Beijing, China, 2006. [Google Scholar]
- Wei, B.; Yang, L. A review of heavy metal contaminations in urban soils, urban road dusts and agricultural soils from China. Microchem. J. 2010, 94, 99–107. [Google Scholar] [CrossRef]
- Wu, W.; Wu, P.; Yang, F.; Sun, D.-l.; Zhang, D.-X.; Zhou, Y.-K. Assessment of heavy metal pollution and human health risks in urban soils around an electronics manufacturing facility. Sci. Total Environ. 2018, 630, 53–61. [Google Scholar] [CrossRef]
- Hu, W.; Huang, B.; Shi, X.; Chen, W.; Zhao, Y.; Jiao, W. Accumulation and health risk of heavy metals in a plot-scale vegetable production system in a peri-urban vegetable farm near Nanjing, China. Ecotoxicol. Environ. Saf. 2013, 98, 303–309. [Google Scholar] [CrossRef]
- Liu, B.; Ai, S.; Zhang, W.; Huang, D.; Zhang, Y. Assessment of the bioavailability, bioaccessibility and transfer of heavy metals in the soil-grain-human systems near a mining and smelting area in NW China. Sci. Total Environ. 2017, 609, 822–829. [Google Scholar] [CrossRef] [PubMed]
- Da Rosa Couto, R.; Faversani, J.; Ceretta, C.A.; Ferreira, P.A.A.; Marchezan, C.; Facco, D.B.; Garlet, L.P.; Silva, J.S.; Comin, J.J.; Bizzi, C.A. Health risk assessment and soil and plant heavy metal and bromine contents in field plots after ten years of organic and mineral fertilization. Ecotoxicol. Environ. Saf. 2018, 153, 142–150. [Google Scholar] [CrossRef] [PubMed]
- Yang, L.; Liu, G.; Di, L.; Wu, X.; You, W.; Huang, B. Occurrence, speciation, and risks of trace metals in soils of greenhouse vegetable production from the vicinity of industrial areas in the Yangtze River Delta, China. Environ. Sci. Pollut. Res. 2019, 26, 8696–8708. [Google Scholar] [CrossRef]
- Yu, H.; Xiao, H.; Cui, Y.; Liu, Y.; Tan, W. High nitrogen addition after the application of sewage sludge compost decreased the bioavailability of heavy metals in soil. Environ. Res. 2022, 215, 114351. [Google Scholar] [CrossRef]
- Su, Y.; Kwong, R.W.; Tang, W.; Yang, Y.; Zhong, H. Straw return enhances the risks of metals in soil? Ecotoxicol. Environ. Saf. 2021, 207, 111201. [Google Scholar] [CrossRef]
- Kalbitz, K.; Wennrich, R. Mobilization of heavy metals and arsenic in polluted wetland soils and its dependence on dissolved organic matter. Sci. Total Environ. 1998, 209, 27–39. [Google Scholar] [CrossRef] [PubMed]
- Pérez-Esteban, J.; Escolástico, C.; Masaguer, A.; Vargas, C.; Moliner, A. Soluble organic carbon and pH of organic amendments affect metal mobility and chemical speciation in mine soils. Chemosphere 2014, 103, 164–171. [Google Scholar] [CrossRef]
- De Conti, L.; Ceretta, C.A.; Ferreira, P.A.; Lourenzi, C.R.; Girotto, E.; Lorensini, F.; Tiecher, T.L.; Marchezan, C.; Anchieta, M.G.; Brunetto, G. Soil solution concentrations and chemical species of copper and zinc in a soil with a history of pig slurry application and plant cultivation. Agric. Ecosyst. Environ. 2016, 216, 374–386. [Google Scholar] [CrossRef]
- Zu, Y.; Bock, L.; Schvartz, C.; Colinet, G.; Li, Y. Factors affecting trace element content in periurban market garden subsoil in Yunnan Province, China. J. Environ. Sci. 2011, 23, 488–496. [Google Scholar] [CrossRef]
- Kalkhajeh, Y.K.; Huang, B.; Hu, W.; Ma, C.; Gao, H.; Thompson, M.L.; Hansen, H.C.B. Environmental soil quality and vegetable safety under current greenhouse vegetable production management in China. Agric. Ecosyst. Environ. 2021, 307, 107230. [Google Scholar] [CrossRef]
- Król, A.; Mizerna, K.; Bożym, M. An assessment of pH-dependent release and mobility of heavy metals from metallurgical slag. J. Hazard. Mater. 2020, 384, 121502. [Google Scholar] [CrossRef] [PubMed]
- Cai, Z.; Xu, M.; Wang, B.; Zhang, L.; Wen, S.; Gao, S. Effectiveness of crop straws, and swine manure in ameliorating acidic red soils: A laboratory study. J. Soils Sediments 2018, 18, 2893–2903. [Google Scholar] [CrossRef]
- Qian, X.; Wang, Z.; Shen, G.; Chen, X.; Tang, Z.; Guo, C.; Gu, H.; Fu, K. Heavy metals accumulation in soil after 4 years of continuous land application of swine manure: A field-scale monitoring and modeling estimation. Chemosphere 2018, 210, 1029–1034. [Google Scholar] [CrossRef]
- Heimann, L.; Roelcke, M.; Hou, Y.; Ostermann, A.; Ma, W.; Nieder, R. Nutrients and pollutants in agricultural soils in the peri-urban region of Beijing: Status and recommendations. Agric. Ecosyst. Environ. 2015, 209, 74–88. [Google Scholar] [CrossRef]
- Song, Y.C.; Sivakumar, S.; Nguyen, T.T.; Kim, S.; Kim, B.G. The immobilization of heavy metals in biosolids using phosphate amendments—Comparison of EPA (6010 and 3051) and selective sequential extraction methods. J. Hazard. Mater. 2009, 167, 1033–1037. [Google Scholar] [CrossRef] [PubMed]
- Chen, H.; Teng, Y.; Lu, S.; Wang, Y.; Wang, J. Contamination features and health risk of soil heavy metals in China. Sci. Total Environ. 2015, 512, 143–153. [Google Scholar] [CrossRef]
- Hale, B.; Evans, L.; Lambert, R. Effects of cement or lime on Cd, Co, Cu, Ni, Pb, Sb and Zn mobility in field-contaminated and aged soils. J. Hazard. Mater. 2012, 199, 119–127. [Google Scholar] [CrossRef]
- Wang, S.; Kwak, J.-H.; Islam, M.S.; Naeth, M.A.; El-Din, M.G.; Chang, S.X. Biochar surface complexation and Ni (II), Cu (II), and Cd (II) adsorption in aqueous solutions depend on feedstock type. Sci. Total Environ. 2020, 712, 136538. [Google Scholar] [CrossRef]
- Yang, S.; Zhao, J.; Chang, S.X.; Collins, C.; Xu, J.; Liu, X. Status assessment and probabilistic health risk modeling of metals accumulation in agriculture soils across China: A synthesis. Environ. Int. 2019, 128, 165–174. [Google Scholar] [CrossRef]
- Li, J.; Li, C.; Sun, H.-J.; Juhasz, A.L.; Luo, J.; Li, H.-B.; Ma, L.Q. Arsenic relative bioavailability in contaminated soils: Comparison of animal models, dosing schemes, and biological end points. Environ. Sci. Technol. 2016, 50, 453–461. [Google Scholar] [CrossRef]
- Watanabe, T.; Urayama, M.; Shinano, T.; Okada, R.; Osaki, M. Application of ionomics to plant and soil in fields under long-term fertilizer trials. Springerplus 2015, 4, 781. [Google Scholar] [CrossRef] [PubMed]
- Wang, Y.; Zhu, Y.; Zhang, S.; Wang, Y. What could promote farmers to replace chemical fertilizers with organic fertilizers? J. Clean. Prod. 2018, 199, 882–890. [Google Scholar] [CrossRef]
- Cai, Y.; Zheng, Z.; Schaefer, F.; Stinner, W.; Yuan, X.; Wang, H.; Cui, Z.; Wang, X. A review about pretreatment of lignocellulosic biomass in anaerobic digestion: Achievement and challenge in Germany and China. J. Clean. Prod. 2021, 299, 126885. [Google Scholar] [CrossRef]
- The Risk Assessment Information System. Toxicity Profiles, Condensed Toxicity Summary for Mercury. 2018. Available online: https://rais.ornl.gov/cgi-bin/tools/TOX_search (accessed on 22 June 2024).
- Ministry of Environmental Protection of the People’s Republic of China (MEP). Exposure Factors Handbook of Chinese Population; China Environmental Science Press: Beijing, China, 2013. [Google Scholar]
- United States Environmental Protection Agency (USEPA). Hazardous Waste Management System; Identification and Listing of Hazardous Waste; Toxicity Characteristics Revisions; Final Rule; USEPA: Washington, DC, USA, 1990.
- Integrated Risk Information System (IRIS). Assessments; U.S. Environmental Protection Agency: Washington, DC, USA, 2006. Available online: https://cfpub.epa.gov/ncea/iris_drafts/AtoZ.cfm (accessed on 5 May 2024).
- US Environmental Protection Agency (USEPA). Exposure Factors Handbook; Office of Research and Development, USEPA: Washington, DC, USA, 2011.
- Pre-Feasibility Study of Coal Mine Methane Recovery and Utilization at the Sawang Colliery, East Bokaro Coal Field, India; Advanced Resources International, Inc. under Contract to the U.S. Environmental Protection Agency: Washington DC, USA, 2015.
- Wang, X.; Dan, Z.; Cui, X.; Zhang, R.; Zhou, S.; Wenga, T.; Yan, B.; Chen, G.; Zhang, Q.; Zhong, L. Contamination, ecological and health risks of trace elements in soil of landfill and geothermal sites in Tibet. Sci. Total Environ. 2020, 715, 136639. [Google Scholar] [CrossRef]
- WHO. IARC Monographs on the Evaluation of Carcinogenic Risks to Humans; World Health Organization: Lyon, France, 1990; Volume 49, Available online: https://publications.iarc.fr/67 (accessed on 10 June 2024).
- Yuan, Y.; Xiang, M.; Liu, C.; Theng, B.K.G. Chronic impact of an accidental wastewater spill from a smelter, China: A study of health risk of heavy metal(loid)s via vegetable intake. Ecotoxicol. Environ. Saf. 2019, 182, 109401. [Google Scholar] [CrossRef]







| Nutrient | Treatments | CH Input (kg·ha−1) | PM Input (kg·ha−1) | SW Input (kg·ha−1) | Total Input (kg·ha−1) |
|---|---|---|---|---|---|
| N | CF | 900.0 | 900.0 | 0 | 1800.0 |
| CN | 600.0 | 0 | 0 | 600.0 | |
| 3/4CN + 1/4PN | 450.0 | 150.0 | 0 | 600.0 | |
| 2/4CN + 2/4PN | 300.0 | 300.0 | 0 | 600.0 | |
| 2/4CN + 1/4PN + 1/4SN | 300.0 | 150.0 | 300.0 | 600.0 | |
| P2O5 | CF | 900.0 | 700.0 | 0 | 1600.0 |
| CN | 300.0 | 0 | 0 | 300.0 | |
| 3/4CN + 1/4PN | 183.3 | 116.7 | 0. | 300.0 | |
| 2/4CN + 2/4 PN | 66.7 | 233.3 | 0 | 300.0 | |
| 2/4CN + 1/4PN + 1/4SN | 143.0 | 116.7 | 40.3 | 300.0 | |
| K2O | CF | 900.0 | 564.0 | 0 | 1463.0 |
| CN | 525.0 | 0 | 0 | 525.0 | |
| 3/4CN + 1/4PN | 431.0 | 94.0 | 0 | 525.0 | |
| 2/4CN + 2/4 PN | 337.0 | 188.0 | 0 | 525.0 | |
| 2/4CN + 1/4PN + 1/4SN | 190.1 | 94.0 | 240.9 | 525.0 |
| Treatments | pH | Total N (g·kg−1) | SOM (g·kg−1) | AP (mg·kg−1) | AK (mg·kg−1) | C/N ratio | NH4+-N (mg·kg−1) | NO3-N (mg·kg−1) |
|---|---|---|---|---|---|---|---|---|
| CF | 5.08 ± 0.08 | 4.61 ± 0.82 | 118.1 ± 17.1 | 285.1 ± 47.8 | 1058.1 ± 116.8 | 9.81 ± 1.75 | 854.5 ± 91.7 | 104.3 ± 11.3 |
| CN | 7.67 ± 0.16 | 0.86 ± 0.05 | 22.2 ± 0.9 | 38.4 ± 1.5 | 257.0 ± 89.6 | 10.09 ± 1.66 | 230.5 ± 14.6 | 55.1 ± 20.9 |
| 3/4CN + 1/4PN | 7.54 ± 0.16 | 1.14 ± 0.11 | 41.8 ± 12.7 | 62.4 ± 7.0 | 239.2 ± 93.3 | 10.22 ± 2.27 | 357.7 ± 71.8 | 57.8 ± 20.1 |
| 2/4CN + 2/4PN | 7.53 ± 0.20 | 1.44 ± 0.19 | 36.3 ± 4.3 | 76.2 ± 14.0 | 261.0 ± 80.6 | 10.08 ± 1.89 | 414.5 ± 26.3 | 46.1 ± 12.1 |
| 2/4CN + 1/4PN + 1/4SN | 7.45 ± 0.11 | 1.62 ± 0.18 | 42.6 ± 3.1 | 68.3 ± 6.7 | 320.7 ± 70.9 | 10.34 ± 1.48 | 615.0 ± 33.9 | 42.6 ± 11.9 |
Disclaimer/Publisher’s Note: The statements, opinions and data contained in all publications are solely those of the individual author(s) and contributor(s) and not of MDPI and/or the editor(s). MDPI and/or the editor(s) disclaim responsibility for any injury to people or property resulting from any ideas, methods, instructions or products referred to in the content. |
© 2024 by the authors. Licensee MDPI, Basel, Switzerland. This article is an open access article distributed under the terms and conditions of the Creative Commons Attribution (CC BY) license (https://creativecommons.org/licenses/by/4.0/).
Share and Cite
Zhang, Y.; Tang, S.; Li, Y.; Li, R.; Huang, S.; Wang, H. Risk Assessment of Heavy Metal Accumulation in Cucumber Fruits and Soil in a Greenhouse System with Long-Term Application of Organic Fertilizer and Chemical Fertilizer. Agriculture 2024, 14, 1870. https://doi.org/10.3390/agriculture14111870
Zhang Y, Tang S, Li Y, Li R, Huang S, Wang H. Risk Assessment of Heavy Metal Accumulation in Cucumber Fruits and Soil in a Greenhouse System with Long-Term Application of Organic Fertilizer and Chemical Fertilizer. Agriculture. 2024; 14(11):1870. https://doi.org/10.3390/agriculture14111870
Chicago/Turabian StyleZhang, Yuwei, Shan Tang, Yali Li, Ruonan Li, Shaowen Huang, and Hong Wang. 2024. "Risk Assessment of Heavy Metal Accumulation in Cucumber Fruits and Soil in a Greenhouse System with Long-Term Application of Organic Fertilizer and Chemical Fertilizer" Agriculture 14, no. 11: 1870. https://doi.org/10.3390/agriculture14111870
APA StyleZhang, Y., Tang, S., Li, Y., Li, R., Huang, S., & Wang, H. (2024). Risk Assessment of Heavy Metal Accumulation in Cucumber Fruits and Soil in a Greenhouse System with Long-Term Application of Organic Fertilizer and Chemical Fertilizer. Agriculture, 14(11), 1870. https://doi.org/10.3390/agriculture14111870
